Sign in to use this feature.

Years

Between: -

Subjects

remove_circle_outline
remove_circle_outline
remove_circle_outline
remove_circle_outline
remove_circle_outline
remove_circle_outline
remove_circle_outline

Journals

Article Types

Countries / Regions

Search Results (20)

Search Parameters:
Keywords = propulsion and levitation

Order results
Result details
Results per page
Select all
Export citation of selected articles as:
19 pages, 10686 KB  
Article
Design and Investigation of Powertrain with In-Wheel Motor for Permanent Magnet Electrodynamic Suspension Maglev Car
by Zhentao Ding, Jingguo Bi, Siyi Wu, Chong Lv, Maoru Chi and Zigang Deng
Actuators 2026, 15(1), 58; https://doi.org/10.3390/act15010058 - 16 Jan 2026
Abstract
A new type of transportation vehicle, the maglev car, is gaining attention in the automotive and maglev industries due to its potential to meet personalized urban mobility and future travel needs. To optimize the chassis layout of maglev cars, this paper proposes a [...] Read more.
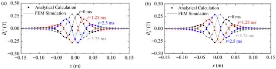
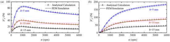
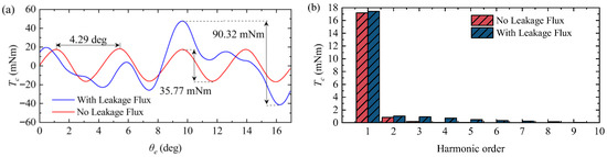
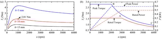
A new type of transportation vehicle, the maglev car, is gaining attention in the automotive and maglev industries due to its potential to meet personalized urban mobility and future travel needs. To optimize the chassis layout of maglev cars, this paper proposes a compact powertrain integrating electrodynamic suspension with in-wheel motor technology, in which a permanent magnet electrodynamic in-wheel motor (PMEIM) enables integrated propulsion and levitation. First, the PMEIM external magnetic field distribution is characterized by analytical and finite element (FEM) approaches, revealing the magnetic field distortion of the contactless powertrain. Subsequently, the steady-state electromagnetic force is modeled and the operating states of the PMEIM powertrain are calculated and determined. Next, the PMEIM electromagnetic design is conducted, and its electromagnetic structure rationality is verified through magnetic circuit and parametric analysis. Finally, an equivalent prototype is constructed, and the non-contact electromagnetic forces of the PMESM are measured in bench testing. Results indicate that the PMEIM powertrain performs propulsion and levitation functions, demonstrating 14.2 N propulsion force and 45.8 N levitation force under the rated condition, with a levitation–weight ratio of 2.52, which hold promise as a compact and flexible drivetrain solution for maglev cars. Full article
(This article belongs to the Section Actuators for Surface Vehicles)
Show Figures

Figure 1

25 pages, 2387 KB  
Review
Review of Emerging Hybrid Gas–Magnetic Bearings for Aerospace Electrical Machines
by Mohammad Reza Karafi and Pedram Asef
World Electr. Veh. J. 2025, 16(12), 662; https://doi.org/10.3390/wevj16120662 - 8 Dec 2025
Viewed by 544
Abstract
Hybrid Gas–Magnetic Bearings (HGMBs) are an emerging technology ready to completely change high-speed oil-free rotor support in aerospace electric motors. Because HGMBs combine the stiffness and load capacity of gas bearings with the active control of magnetic bearings, enabling oil-free, contactless rotor support [...] Read more.
Hybrid Gas–Magnetic Bearings (HGMBs) are an emerging technology ready to completely change high-speed oil-free rotor support in aerospace electric motors. Because HGMBs combine the stiffness and load capacity of gas bearings with the active control of magnetic bearings, enabling oil-free, contactless rotor support from zero to ultra-high speeds. They offer more load capacity of standalone magnetic bearings while maintaining full levitation across the entire speed range. Dual-mode operation, magnetic at low speeds and gas film at high speeds, minimizes control power and thermal losses, making HGMBs ideal for high-speed aerospace systems such as cryogenic turbopumps, electric propulsion units, and hydrogen compressors. While not universally optimal, HGMBs excel where extreme speed, high load, and stringent efficiency requirements converge. Advances in modeling, control, and manufacturing are expected to accelerate their adoption, marking a shift toward hybrid electromagnetic–aerodynamic rotor support for next-generation aerospace propulsion. This review provides a thorough overview of emerging HGMBs, emphasizing their design principles, performance metrics, application case studies, and comparative advantages over conventional gas or magnetic bearings. We include both a historical perspective and the latest developments, supported by technical data, experimental results, and insights from recent literature. We also present a comparative discussion including future research directions for HGMBs in aerospace electrical machine applications. Full article
Show Figures

Figure 1

21 pages, 4928 KB  
Article
System Identification and Robust Control Method for Magnetic Bearings in Ship Propulsion Shaft Systems
by Feng Xiong, Tianqi Yin, Neng Zhang, Wenhao Xu and Yan Li
J. Mar. Sci. Eng. 2025, 13(11), 2096; https://doi.org/10.3390/jmse13112096 - 4 Nov 2025
Viewed by 525
Abstract
In the field of rotating machinery, such as marine propulsion shafting, magnetic bearing-supported propulsion systems have garnered significant attention due to their non-mechanical contact advantages. To address the problem that the design of magnetic bearing controllers, based on theoretical models, neglects the dynamic [...] Read more.
In the field of rotating machinery, such as marine propulsion shafting, magnetic bearing-supported propulsion systems have garnered significant attention due to their non-mechanical contact advantages. To address the problem that the design of magnetic bearing controllers, based on theoretical models, neglects the dynamic characteristics of practical components like power amplifiers and displacement sensors, making it difficult to achieve ideal performance in practical applications, this paper proposes a control method for Hybrid Magnetic Bearings (HMBs) that combines a time-domain identification model with robust control. The method first models the power amplifier, HMB, and displacement sensor as an equivalent single system and obtains its high-precision transfer function model by performing system identification on its time-domain data using the least squares method. Based on this foundation, a PID controller is designed using the loop-shaping method to enhance the system’s robustness and control performance. Both simulations and experiments on an HMB test rig confirmed the controller’s effectiveness. The system showed excellent levitation, dynamic stability, and disturbance rejection, with experimental results closely matching simulations. The experimental results are consistent with the simulation results. This method provides a practical and feasible technical approach for enhancing the control performance of magnetic bearing-supported propulsion shafting. Full article
(This article belongs to the Section Ocean Engineering)
Show Figures

Figure 1

17 pages, 4479 KB  
Article
Magnetic-Track Relationship and Correction of Magnetic Force Model for EMS High-Speed Maglev Train
by Meiyun Chen, Donghua Wu, Yougang Sun, Xin Miao and Zheyan Jin
Actuators 2025, 14(11), 514; https://doi.org/10.3390/act14110514 - 24 Oct 2025
Viewed by 1054
Abstract
The high-speed maglev train employs linear induction motors for propulsion and incorporates electromagnetic suspension for levitation. Ensuring the stability of the suspension control is imperative for the effective operation of the maglev train at high speeds, necessitating precise calculation of the suspension force. [...] Read more.
The high-speed maglev train employs linear induction motors for propulsion and incorporates electromagnetic suspension for levitation. Ensuring the stability of the suspension control is imperative for the effective operation of the maglev train at high speeds, necessitating precise calculation of the suspension force. The commonly employed models, while simple in structure, lack the accuracy needed for high-precision suspension control. This paper conducts finite element analysis to simulate the static suspension conditions of high-speed maglev trains and refines the magnetic force calculation model using the obtained data to minimize computational inaccuracies arising from factors like magnetoresistance effects. The revised model is particularly well-suited for scenarios with significant air gaps and elevated currents, showcasing practical value for engineering applications. Full article
Show Figures

Figure 1

36 pages, 4752 KB  
Article
A New Concept of Hybrid Maglev-Derived Systems for Faster and More Efficient Rail Services Compatible with Existing Infrastructure
by Jesus Felez, Miguel A. Vaquero-Serrano, David Portillo, Santiago Antunez, Giuseppe Carcasi, Angela Nocita, Michael Schultz-Wildelau, Lorenzo A. Parrotta, Gerardo Fasano and Pietro Proietti
Sustainability 2025, 17(11), 5056; https://doi.org/10.3390/su17115056 - 30 May 2025
Viewed by 4840
Abstract
Magnetic levitation (maglev) technology offers significant advantages for rail transport, including frictionless propulsion, reduced noise, and lower maintenance costs. However, its widespread adoption has been limited due to the need for a dedicated infrastructure incompatible with conventional rail networks. The MaDe4Rail project, funded [...] Read more.
Magnetic levitation (maglev) technology offers significant advantages for rail transport, including frictionless propulsion, reduced noise, and lower maintenance costs. However, its widespread adoption has been limited due to the need for a dedicated infrastructure incompatible with conventional rail networks. The MaDe4Rail project, funded by Europe’s Rail Joint Undertaking (ERJU), explores Maglev-Derived Systems (MDSs) as means to integrate maglev-inspired solutions into existing railway corridors with minimal modifications. This paper focuses on the so-called “hybrid MDS” configuration, which refers to levitating systems that can operate on existing rail infrastructure. Unlike current maglev systems, which require dedicated tracks, the proposed MDS system is designed to operate on conventional rail tracks, allowing for its compatibility with traditional trains and ensuring the interoperability of lines. In order to identify the most viable solution, two different configurations have been analysed. The evaluated scenario could benefit from the introduction of hybrid MDSs based on magnetic levitation, where a group of single vehicles, also called pods, is used in a virtual coupling configuration. The objective of this case study is to increase the capacity of traffic on the existing railway line by significantly reducing travel time, while maintaining a similar energy consumption to that of the current conventional trains operating on this line. Simulation results indicate that the hybrid MDS can optimise railway operations by taking advantage of virtual coupling to improve traffic flow, reducing travel times and energy consumption with the optimisation of the aerodynamic drag. The system achieves a balance between increased speed and energy efficiency, making it a viable alternative for future rail transport. An initial cost–benefit analysis suggests that the hybrid MDS could deliver substantial economic advantages, positioning it as a promising solution for enhancing European railway networks with minimal infrastructure investment. Full article
Show Figures

Figure 1

16 pages, 6866 KB  
Article
Three-Dimensional Hybrid Finite Element–Boundary Element Analysis of Linear Induction Machines
by Razzak Marzouk and Layth Qaseer
Electronics 2025, 14(7), 1261; https://doi.org/10.3390/electronics14071261 - 23 Mar 2025
Viewed by 497
Abstract
A three-dimensional model of a three-phase linear induction motor (LIM) is analyzed by using hybrid finite element–boundary element (FEM-BEM) analysis. Two models with aluminum rotors are considered, one with back iron and the other without back iron. The outer boundary is chosen arbitrarily [...] Read more.
A three-dimensional model of a three-phase linear induction motor (LIM) is analyzed by using hybrid finite element–boundary element (FEM-BEM) analysis. Two models with aluminum rotors are considered, one with back iron and the other without back iron. The outer boundary is chosen arbitrarily in free space to enclose the motor. The problem domain is divided into rectangular brick elements. The FEM is applied for the interior region, and the BEM is applied for the outer surface. The iron parts can be simulated either as constant permeability regions or regions with the actual magnetization B-H curve. The electromagnetic field problem is solved in terms of the magnetic vector potential. Performance parameters such as propulsion force, levitation force, and dissipated power are then obtained. A comparison of the results with the available measurements from cited references shows agreement within 4–5% for the model without back iron and 9–14% for the model with back iron. It also shows the significant impact of the hybrid FEM-BEM in comparison with the FEM. Full article
(This article belongs to the Section Electrical and Autonomous Vehicles)
Show Figures

Figure 1

25 pages, 9482 KB  
Article
Maglev Derived Systems: An Interoperable Freight Vehicle Application Focused on Minimal Modifications to the Rail Infrastructure and Vehicles
by Jesus Felez, Miguel A. Vaquero-Serrano, William Z. Liu, Carlos Casanueva, Michael Schultz-Wildelau, Gerard Coquery and Pietro Proietti
Machines 2024, 12(12), 863; https://doi.org/10.3390/machines12120863 - 28 Nov 2024
Cited by 2 | Viewed by 4300
Abstract
Magnetic levitation (maglev) offers unique opportunities for guided transport; however, only a few existing maglev systems have demonstrated their potential benefits. This paper explores the potential of maglev-derived systems (MDS) in conventional rail, focusing on the use of linear motors to enhance freight [...] Read more.
Magnetic levitation (maglev) offers unique opportunities for guided transport; however, only a few existing maglev systems have demonstrated their potential benefits. This paper explores the potential of maglev-derived systems (MDS) in conventional rail, focusing on the use of linear motors to enhance freight operations. Such traction boosters provide additional propulsion capabilities by reducing the train consist’s dependence on wheel–rail adhesion and improving performance without needing an additional locomotive. The study analyses the Gothenburg–Borås railway in Sweden, a single-track, mixed-traffic line with limited capacity and slow speeds, where installing linear motors on uphill sections would allow freight trains to match the performance of passenger trains, even under challenging adhesion conditions. Target speed profiles were precomputed using dynamic programming, while a model predictive control algorithm determined the optimal train state and control trajectories. The results show that freight trains can achieve desired speeds but at the cost of increased energy consumption. A system-level cost–benefit analysis reveals a positive impact with a positive benefit-to-cost ratio. Although energy consumption increases, the time savings and reduced CO2 emissions from shifting goods from road to rail demonstrate substantial economic and environmental benefits, improving the efficiency and sustainability of rail freight traffic. Full article
Show Figures

Figure 1

24 pages, 12109 KB  
Article
Case Study of an Integrated Design and Technical Concept for a Scalable Hyperloop System
by Domenik Radeck, Florian Janke, Federico Gatta, João Nicolau, Gabriele Semino, Tim Hofmann, Nils König, Oliver Kleikemper, Felix He-Mao Hsu, Sebastian Rink, Felix Achenbach and Agnes Jocher
Appl. Syst. Innov. 2024, 7(6), 113; https://doi.org/10.3390/asi7060113 - 11 Nov 2024
Cited by 2 | Viewed by 5288
Abstract
This paper presents the design process and resulting technical concept for an integrated hyperloop system, aimed at realizing efficient high-speed ground transportation. This study integrates various functions into a coherent and technically feasible solution, with key design decisions that optimize performance and cost-efficiency. [...] Read more.
This paper presents the design process and resulting technical concept for an integrated hyperloop system, aimed at realizing efficient high-speed ground transportation. This study integrates various functions into a coherent and technically feasible solution, with key design decisions that optimize performance and cost-efficiency. An iterative design process with domain-specific experts, regular reviews, and a dataset with a single source of truth were employed to ensure continuous and collective progress. The proposed hyperloop system features a maximum speed of 600 kmh and a capacity of 21 passengers per pod (vehicle). It employs air docks for efficient boarding, electromagnetic suspension (EMS) combined with electrodynamic suspension (EDS) for high-speed lane switching, and short stator motor technology for propulsion. Cooling is managed through water evaporation at an operating pressure of 10 mbar, while a 300 kW inductive power supply (IPS) provides onboard power. The design includes a safety system that avoids emergency exits along the track and utilizes separated safety-critical and high-bandwidth communication. With prefabricated concrete parts used for the tube, construction costs can be reduced and scalability improved. A dimensioned cross-sectional drawing, as well as a preliminary pod mass budget and station layout, are provided, highlighting critical technical systems and their interactions. Calculations of energy consumption per passenger kilometer, accounting for all functions, demonstrate a distinct advantage over existing modes of transportation, achieving greater efficiency even at high speeds and with smaller vehicle sizes. This work demonstrates the potential of a well-integrated hyperloop system to significantly enhance transportation efficiency and sustainability, positioning it as a promising extension to existing modes of travel. The findings offer a solid framework for future hyperloop development, encouraging further research, standardization efforts, and public dissemination for continued advancements. Full article
(This article belongs to the Section Control and Systems Engineering)
Show Figures

Figure 1

17 pages, 1651 KB  
Article
Pulsed Propulsion of Unmanned Aerial Vehicles by Centrifugal Force Modulation—First-Order Theory and Practicability
by Wolfgang Holzapfel
Appl. Sci. 2024, 14(10), 4229; https://doi.org/10.3390/app14104229 - 16 May 2024
Cited by 1 | Viewed by 2587
Abstract
A novel technique suitable for the propulsion of small unmanned aerial vehicles (UAV) is discussed in this paper. This approach utilizes the rotational energy of airborne gyro rotors and converts it into translational propulsion for the vehicle. The energy conversion is achieved by [...] Read more.
A novel technique suitable for the propulsion of small unmanned aerial vehicles (UAV) is discussed in this paper. This approach utilizes the rotational energy of airborne gyro rotors and converts it into translational propulsion for the vehicle. The energy conversion is achieved by generating precisely directed centrifugal force pulses through short-duration rotor unbalances. The accurate control of the timing and magnitude of these unbalances is crucial for successful propulsion generation. Our first-order theory of controlled unbalance propulsion (CUP) predicts the potential for achieving high translational accelerations and vehicle velocities up to orbital levels. Power-saving levitation of UAVs can be attained. In this paper, we provide traceable evidence that pulsed centrifugal propulsion is based on well-established laws of physics and can be realized using state-of-the-art technologies. Full article
(This article belongs to the Section Aerospace Science and Engineering)
Show Figures

Figure 1

14 pages, 11394 KB  
Article
Propulsion and Suspension Concept of the Technical University of Munich Hyperloop Full-Scale Demonstrator
by Domenik Radeck, Felix He-Mao Hsu, Florian Janke, Gabriele Semino, Tim Hofmann, Sebastian Rink and Agnes Jocher
Appl. Syst. Innov. 2024, 7(2), 19; https://doi.org/10.3390/asi7020019 - 22 Feb 2024
Cited by 3 | Viewed by 4865
Abstract
The hyperloop concept envisions a low pressure tube and capsules, called pods, traveling at the speed of commercial aircraft as a sustainable, future-proof mass transportation system between cities. However, in contrast to the use case of such a system, the detailed technical concept [...] Read more.
The hyperloop concept envisions a low pressure tube and capsules, called pods, traveling at the speed of commercial aircraft as a sustainable, future-proof mass transportation system between cities. However, in contrast to the use case of such a system, the detailed technical concept is still under development. One challenging difference in comparison to other modes of transportation lies in the technical concept of the infrastructure, which is hard to change in the long term and therefore allows a few iterations only. This study’s key contribution is to showcase the conceptual design decisions of the 24 m full-scale Hyperloop Demonstrator at the Technical University of Munich (TUM) for the propulsion and suspension system, featuring the design decision tree (DDT) method as a framework to visualize and explain the technical design decisions and dependencies of complex hardware systems. The construction of the full-scale demonstrator not only proved the feasibility of the concept but also provided valuable concept-level experiences, which are shared within this work. Compared to existing maglev and hyperloop concepts, the presented concept features a separated air-cored long stator propulsion system and a homopolar electromagnetic suspension at the bottom with the track wrapping around the vehicle, revealing promising advantages like the structural simplification of the infrastructure and the independence of the guideway and tube. Full article
Show Figures

Figure 1

19 pages, 9552 KB  
Article
Preliminary Feasibility Study of a Magnetic Levitation Rotor Sail for Coastal Area Operations
by Kwangseok Lee, Yun Ho Kim, Junghyung Park, Bonggi Choi and Hee Jin Kang
J. Mar. Sci. Eng. 2024, 12(1), 32; https://doi.org/10.3390/jmse12010032 - 22 Dec 2023
Cited by 4 | Viewed by 3388
Abstract
The continuous strengthening of environmental regulations is expected to have a significant impact on the vessel operations of shipping companies. Each country must reduce greenhouse gas emissions from ships operating in domestic coastal areas to meet its Nationally Determined Contributions (NDC). For new [...] Read more.
The continuous strengthening of environmental regulations is expected to have a significant impact on the vessel operations of shipping companies. Each country must reduce greenhouse gas emissions from ships operating in domestic coastal areas to meet its Nationally Determined Contributions (NDC). For new vessels, we are assessing potential emission reductions through various technologies, recognizing that transitioning to alternative fuels is inevitable to achieve our ultimate goal of zero emissions. However, the introduction of alternative fuels for ships involves numerous challenges, including the overall replacement of propulsion systems, etc. Additionally, to ensure that existing ships can comply with the gradually increasing environmental regulations, the immediate adoption of bridge technologies that can be applied is essential. Rotor sails are recognized as a technology that can be installed on both new ships and vessels in operation, offering carbon emission reductions through thrust assistance. Rotor sails have traditionally been mainly employed on ocean routes with consistent wind patterns. In this paper, we conducted a review of the feasibility of operating rotor sails in coastal areas where wind direction frequently changes and wind intensity is not constant. Particularly, a concept of a rotor sail with magnetic bearings for the rotor sail system, utilizing the principle of magnetic levitation, is suggested. The reduction in frictional forces during rotor sail operation contributes to increased maintainability and advantages in terms of noise and vibration. Specifically, in this study, a structural design for minimizing weight for optimal performance has been carried out. Full article
(This article belongs to the Special Issue Sustainable Ship Design and Digital Twin Yard)
Show Figures

Figure 1

16 pages, 6623 KB  
Article
Dynamics of Separation of Unmanned Aerial Vehicles from the Magnetic Launcher Cart during Takeoff
by Edyta Ładyżyńska-Kozdraś, Anna Sibilska-Mroziewicz, Krzysztof Sibilski, Danyil Potoka and Andrzej Żyluk
Electronics 2023, 12(13), 2883; https://doi.org/10.3390/electronics12132883 - 29 Jun 2023
Cited by 5 | Viewed by 2436
Abstract
Most aircraft launchers exhibit a rapid acceleration of the launching aircraft, often exceeding ten times the acceleration due to gravity. However, only magnetic launchers offer flexible control over the propulsion force of the launcher cart, enabling precise control over the aircraft’s acceleration and [...] Read more.
Most aircraft launchers exhibit a rapid acceleration of the launching aircraft, often exceeding ten times the acceleration due to gravity. However, only magnetic launchers offer flexible control over the propulsion force of the launcher cart, enabling precise control over the aircraft’s acceleration and speed during its movement on the launcher. Consequently, extensive research is being conducted on magnetic launchers to ensure the repeatability of launch parameters, protect against aircraft overloads, and ensure operator safety. This article describes the process of modeling and analyzing the dynamical properties of a launch cart of an innovative prototype launcher, which employs a passive magnetic suspension with high-temperature superconductors, developed under the GABRIEL project. The developed mathematical model of the magnetic catapult cart was employed to conduct numerical studies of the longitudinal and lateral movement of the cart, as well as the configuration of the UAV–cart system during UAV takeoff under variable atmospheric conditions. An essential aspect of the research involved experimentally determining the magnetic levitation force generated by the superconductors as a function of the gap. The results obtained demonstrate that the analyzed catapult design enables safe UAV takeoff. External factors and potential vibrations resulting from uneven mass distribution in the UAV–cart system are effectively balanced by the magnetic forces arising from the Meissner effect and the flux pinning phenomenon. The primary advantage of the magnetic levitation catapult, in comparison to commercial catapults, lies in its ability to provide a reduced and consistent acceleration throughout the entire takeoff process. Full article
Show Figures

Figure 1

15 pages, 4055 KB  
Article
Combined Propulsion and Levitation Control for Maglev/Hyperloop Systems Utilizing Asymmetric Double-Sided Linear Induction Motors
by Vladimir Kuptsov, Poria Fajri, Md. Rasheduzzaman, Salvador Magdaleno-Adame and Konstantin Hadziristic
Machines 2022, 10(2), 131; https://doi.org/10.3390/machines10020131 - 11 Feb 2022
Cited by 6 | Viewed by 6035
Abstract
This article presents a new method for combined levitation and propulsion control in maglev/Hyperloop systems by selectively applying AC and DC modes of operation to a group of asymmetric double-sided linear induction motors (ADSLIMs). Although adjusting the AC current magnitude of lower and [...] Read more.
This article presents a new method for combined levitation and propulsion control in maglev/Hyperloop systems by selectively applying AC and DC modes of operation to a group of asymmetric double-sided linear induction motors (ADSLIMs). Although adjusting the AC current magnitude of lower and upper primary windings in ADSLIMs allows simultaneous control of thrust and lift forces, the limitation of this current balancing technique prohibits them from producing a high lift force while operating with low thrust force. To overcome this limitation and to simultaneously control the thrust and lift forces of the ADSLIMs with high efficiency under different operating conditions, a combination of AC and DC modes of operation is proposed. AC mode of operation consists of feeding different AC current amplitudes to the upper and lower ADSLIM primary windings to produce and control the required thrust and lift forces. The DC mode of operation consists of controlling one or several ADSLIMs to operate with DC excitation to realize the desired lift force at lower thrusts which otherwise cannot be achieved by operating in AC mode alone. The concept of the new combined control strategy is studied using two-dimensional finite element (FE) electromagnetic simulations and compared with an Inductrack permanent magnet (PM) based passive magnetic levitation system. Full article
(This article belongs to the Special Issue Design and Control of Electrical Machines)
Show Figures

Figure 1

15 pages, 10334 KB  
Article
A New Hyperloop Transportation System: Design and Practical Integration
by Mohammad Bhuiya, Md Mohiminul Aziz, Fariha Mursheda, Ryan Lum, Navjeet Brar and Mohamed Youssef
Robotics 2022, 11(1), 23; https://doi.org/10.3390/robotics11010023 - 8 Feb 2022
Cited by 10 | Viewed by 8858
Abstract
This paper introduces a new Hyperloop transportation system’s design and implementation. The main contribution of this paper is the design and integration of propulsion components for a linear motion system, with battery storage. The proposed Hyperloop design provides a high-speed transportation means for [...] Read more.
This paper introduces a new Hyperloop transportation system’s design and implementation. The main contribution of this paper is the design and integration of propulsion components for a linear motion system, with battery storage. The proposed Hyperloop design provides a high-speed transportation means for passengers and freights by utilizing linear synchronous motors. In this study, a three-phase inverter was designed and simulated using PSIM. A prototype of this design was built and integrated with a linear synchronous motor. The operation of full system integration satisfies a proof-of-concept design. A study of the inverter system in conjunction with a linear synchronous motor for a ridged Hyperloop system is made. The prototype of this system achieves propulsion for the bidirectional movements. Battery state of charge simulation results are given in a typical motoring and braking scenario. Full article
(This article belongs to the Special Issue Advances in Industrial Robotics and Intelligent Systems)
Show Figures

Figure 1

15 pages, 4135 KB  
Article
Fundamental Design and Modelling of the Superconducting Magnet for the High-Speed Maglev: Mechanics, Electromagnetics, and Loss Analysis during Instability
by Zhihao Wu, Jianxun Jin, Boyang Shen, Luning Hao, Youguang Guo and Jianguo Zhu
Machines 2022, 10(2), 113; https://doi.org/10.3390/machines10020113 - 3 Feb 2022
Cited by 11 | Viewed by 5337
Abstract
The high-temperature superconductor (HTS) has been recognised as one of the most up-and-coming materials thanks to its superior electromagnetic performance (e.g., zero resistance). For a high-speed maglev, the HTS magnet can be the most crucial component because it is in charge of both [...] Read more.
The high-temperature superconductor (HTS) has been recognised as one of the most up-and-coming materials thanks to its superior electromagnetic performance (e.g., zero resistance). For a high-speed maglev, the HTS magnet can be the most crucial component because it is in charge of both the levitation and the propulsion of the maglev. Therefore, a fundamental study of HTS magnets for maglev is crucial. This article presents the fundamental design and modelling of the superconducting magnet for a high-speed maglev, including mechanics, electromagnetics, and loss analysis during instability. First, the measurements of the superconducting wire were performed. The HTS magnet was primarily designed and modelled to fulfil the basic electromagnetic requirements (e.g., magnetic field) in order to drive the maglev at a high speed. The modelling was verified by experimental tests on a scale-down HTS magnet. A more professional model using the H-formulation based on the finite element method (FEM) was built to further investigate some deeper physical phenomenon of the HTS magnet (e.g., current density and loss behaviours), particularly in situations where the high-speed maglev is in the normal steady state or encountering instability. Full article
(This article belongs to the Special Issue Feature Papers to Celebrate the First Impact Factor of Machines)
Show Figures

Figure 1

Back to TopTop