Next Article in Journal
Output-Based Event-Driven Dissipative Fuzzy Control of DC Microgrids Subject to Hybrid Attacks
Next Article in Special Issue
Design and Analysis of a High-Speed Slotless Permanent Magnet Synchronous Motor Considering Air-Gap Airflow
Previous Article in Journal
Nonlinear Dynamic Modeling of Flexible Cable in Overhead Bridge Crane and Trajectory Optimization Under Full-Constraint Conditions
 
 
Font Type:
Arial Georgia Verdana
Font Size:
Aa Aa Aa
Line Spacing:
Column Width:
Background:
Article

Magnetic-Track Relationship and Correction of Magnetic Force Model for EMS High-Speed Maglev Train

1
State Key Laboratory of High-speed Maglev Transportation Technology, College of Transportation, Tongji University, Shanghai 200092, China
2
State Key Laboratory of High-Speed Maglev Transportation Technology, CRRC Qingdao Sifang Co., Ltd., Qingdao 266111, China
3
School of Aerospace Engineering and Applied Mechanics, Tongji University, Shanghai 200092, China
*
Author to whom correspondence should be addressed.
These authors contributed equally to this work.
Actuators 2025, 14(11), 514; https://doi.org/10.3390/act14110514
Submission received: 17 September 2025 / Revised: 8 October 2025 / Accepted: 17 October 2025 / Published: 24 October 2025

Abstract

The high-speed maglev train employs linear induction motors for propulsion and incorporates electromagnetic suspension for levitation. Ensuring the stability of the suspension control is imperative for the effective operation of the maglev train at high speeds, necessitating precise calculation of the suspension force. The commonly employed models, while simple in structure, lack the accuracy needed for high-precision suspension control. This paper conducts finite element analysis to simulate the static suspension conditions of high-speed maglev trains and refines the magnetic force calculation model using the obtained data to minimize computational inaccuracies arising from factors like magnetoresistance effects. The revised model is particularly well-suited for scenarios with significant air gaps and elevated currents, showcasing practical value for engineering applications.

1. Introduction

The rise in population and urban sprawl has exposed the inadequacy of basic public transportation services to meet the escalating needs of commuters [1]. Maglev trains, distinguished by their high speed, minimal noise, environment-friendly, and lightweight construction, emerge as a prime candidate for addressing the demands of future transit systems [2,3]. Maglev trains can be divided into the electrodynamic suspension (EDS) type and the electromagnetic suspension (EMS) type. Unlike traditional trains that rely on wheel-rail friction for propulsion, maglev trains employ electromagnets to levitate above the track at a stable air gap, propelling forward without physical contact [4,5]. The suspension control system plays a crucial role in supporting suspension and traction, yet its model displays significant nonlinearity and is susceptible to disturbances [6]. Precision in suspension control hinges on accurate magnetic force calculations, crucial for optimizing the performance of the suspension control system. Inaccurate magnetic force calculations can impair suspension system performance, especially the stability of large-gap motions during starting and braking. This study aims to enhance the efficacy of the calculation model by addressing nonlinear factors.
It is noted that contemporary research and development in maglev train technology is actively pursued in several countries, including China, Japan, Germany, South Korea, and Brazil. In high-speed maglev trains, the suspension system primarily comprises components such as the secondary suspension system, suspension frame, long stator linear motor, guideway, and guidance system (see Figure 1). Scholars have explored various calculation methods, including the finite element method (FEM), equivalent magnetic circuit (EMC) method, and simplified calculation method, tailored to the electromagnetic suspension system. Schmid, P [7] proposed a novel reduced-order model for maglev electromagnets that accurately captures static and dynamic behavior for control system design. By employing a genetic algorithm, Stephan, R.M [8] addressed the normal force problem through the optimization of a linear induction motor for low-speed maglev applications. Han [9] focused on lateral vibration reduction in a maglev train by developing a multibody model that includes electromagnets. Rao [10] designed a special excitation system to study the coupling characteristics of thrust and suspension force in a maglev train. Ding [11] investigated the eddy current effect on the suspension force in a medium-speed maglev train using a 3-D finite-element method. Wang [12] conducted electromagnetic simulations of the magnetic field of the linear motor in a suspension -type permanent magnet maglev train using ANSYS 2023R2 software, laying a foundation for analyzing the electromagnetic distribution on the surface of the train. Hao [13] conducted a numerical simulation to analyze the suspension force and drag force in a superconducting electrodynamic maglev train, considering different suspension heights. Yang [14] studied the eddy current effect in the rail of a medium and low-speed maglev transportation system and proposed solutions to mitigate it. Furthermore, Hao [15] built a 3-D model of a high-temperature superconducting electrodynamic suspension system for a high-speed maglev train to analyze suspension and drag forces. Wang [16] established a dynamic interaction model to study the vertical dynamic interaction of a low-to-medium-speed maglev train-bridge system. Jiang [17] optimized the size of the Halbach array of permanent magnets for a magnetic suspension system in a permanent magnet maglev train. Min Kim [18] investigated a finite element method for designing suspension and guidance magnets for semi-high-speed maglev trains. These studies collectively contribute to the understanding and optimization of suspension force in maglev trains, which is essential for their efficient and safe operation.
Though plenty of meaningful efforts have been devoted, there still exist many issues to be solved for magnetic force calculation models of high-speed maglev vehicles, which can be listed as follows:
(1)
The calculation of suspension force in the mathematical model of maglev trains is complex and requires numerous iterative computations, which poses a challenge for practical application due to its intricacy.
(2)
The finite element method (FEM) is capable of accurately simulating real magnetic fields and facilitates efficient computations using computers. However, the demanding computational requirements and high resource consumption in complex scenarios limit its suitability for the early stages of system design.
(3)
Magnetic force computation models are commonly utilized in the initial design phases of suspension systems, following linear principles in their calculations. In real magnetic fields, the magnetic force demonstrates nonlinear variations as the suspension air gap height and excitation current increase, attributed to the diverse material composition of the stator core and the complex slot-pole structure on its surface in long stator linear motors [19]. These investigations lack a comprehensive systematic approach to addressing and rectifying the non-uniform factors present in the magnetic field.
The enhancement of precision in suspension control necessitates the rectification of error factors present in magnetic force calculation models. This study employs finite element software to replicate static suspension in maglev trains, assess discrepancies between theoretical magnetic force models and real-world settings, and evaluate the impacts of various factors on the results. Subsequently, it refines the calculation formulas to improve accuracy while maintaining practical simplicity for engineering applications. The primary contributions of this research can be outlined as follows:
(1)
The revised model is particularly well-suited for scenarios with significant air gaps and elevated currents, showcasing practical value for engineering applications by reducing the root mean square error (RMSE) of the original simplified model by approximately 50% when compared to finite element simulation data.
(2)
Throughout the model refinement process, the study systematically investigates the influence of diverse electromagnetic environmental factors on the calculations, with a particular focus on the magnetic reluctance of the core material. Magnetic reluctance, analogous to resistance in an electrical circuit, represents the opposition a material offers to the magnetic flux. Under high excitation currents, the core material approaches saturation, causing its magnetic reluctance to increase nonlinearly and thus reducing the effective magnetic flux.
The subsequent sections of this paper are structured as follows. Section 2 introduces the modeling of the static magnetic track relationship of high-speed maglev trains. Section 3 simulates the dynamic magnetic track relationship, while Section 4 includes a detailed discussion of the revised model’s development process. Finally, Section 5 concludes the main conclusions of the whole paper.

2. Modeling and Analysis of Static Magnetic Track Relationship

The high-speed maglev system, illustrated in Figure 1, features a suspended structure. During train operation, the excitation coil of the suspension electromagnet is powered by direct current (DC) from the battery, creating a suspension electromagnetic field [20]. This field interacts with the elongated stator tracks on both sides, resulting in an electromagnetic force that suspends the car body. The focus of this study lies in examining the suspension electromagnetic environment of the long stator track model in maglev trains. Consequently, when constructing the model, it is sufficient to establish a relationship between the onboard suspension electromagnet and the long stator core.
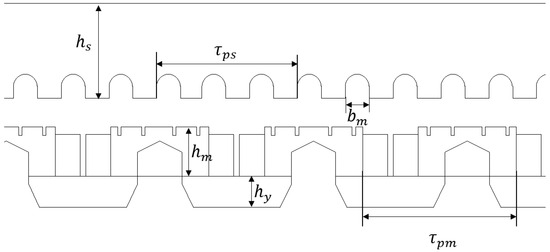
The 3D representation of the long stator linear synchronous motor (LSM) in high-speed maglev trains is depicted in Figure 1, showcasing a single mover module. The key geometric parameters of LSM are labeled in Figure 2. The structure comprises two main components: the stator side and the mover side. The stator side consists of the stator three-phase winding and the stator core, while the mover side comprises ten complete magnetic poles and two end magnetic poles [1]. Notably, both the stator winding and the excitation winding are wound with aluminum wires. The stator excitation, a three-phase alternating current (AC), is utilized to generate a traveling wave magnetic field, whereas the excitation winding is connected to DC to produce the primary magnetic field. The generator windings distributed within the slots of the suspended electromagnet charge the onboard battery at low speeds and supply electricity to equipment such as air conditioning and lighting at high speeds.
Table 1 lists the basic structural parameters of the long-stator LSM.
Since the excitation coil of the long stator linear motor is wound along the longitudinal direction of the electromagnet (Z-direction), the magnetic field is primarily distributed in the X-Y plane. A two-dimensional model is capable of effectively reflecting the real magnetic field environment.
The electromagnetic environment within the air gap is influenced by both the stator current and the excitation coil current [21]. In this study, a static magnetic field analysis is separately performed on two suspension electromagnet models and one long stator track model to investigate this influence. The corresponding 2D finite element model is shown in Figure 3 and Figure 4.
To reduce the complexity of the linear synchronous motor for the EMS maglev train, a few assumptions are used as follows in this paper [21].
(1)
Assuming that the current in the stator and mover windings remains constant under steady-state conditions.
(2)
It is taken into account the nonlinearity of silicon steel sheet permeability of the iron core.
When the maglev train runs stably, the synchronous speed is shown as follows.
v s = 2 f τ p s
While f is the frequency of the three symmetrical currents of 50 Hz, τ p s is the pole pitch of the long stator of 258 mm. The long stator coil wind has symmetrical three-phase AC, which is as shown in Equation (2), the secondary winding group has excitation DC of 25 A and 270 turns.
i a = I m sin ( ω t + θ 0 ) i b = I m sin ( ω t + θ 0 + 2 3 π ) i c = I m sin ( ω t + θ 0 2 3 π )
While   I m is the current amplitude of 1000 A, ω is the angular frequency of three-phase AC, and θ 0 is the initial phase of the current, which is calculated when the driving force has the maximum value. In this paper, a complete 2D transient electromagnetic field model was built by using Ansys Electronics Desktop 2022 software.
In the realm of finite element simulations, enhancing computational accuracy is markedly achieved through a more refined mesh division of the model. To attain optimal performance, the model predominantly adopts a coarse meshing strategy throughout its entire domain, with refinement selectively applied to the crucial teeth slot regions of both the stator and mover cores. This approach ensures a balance between computational efficiency and accuracy.
The depiction of the simulated magnetic flux density at t = 0.02 s for the suspension electromagnet and extended stator is illustrated in Figure 5 and Figure 6. The magnetic field lines traverse through the stator, air gap, and mover, forming a closed loop with minimal leakage in the coil [21]. The magnetic flux density distribution between the electromagnet and stator core is predominantly aligned in the z-direction, coinciding with the suspension force direction, exhibiting. Nonetheless, the presence of slots on the stator and mover introduces a minor magnetic flux density component in the x-direction or thrust direction. The magnetic flux density in the x and y directions is shown in Figure 7.
The examination involved utilizing two-dimensional finite element models of two suspension electromagnets as the subjects of analysis. The distance between the suspension air gap was consistently set at 12.5 mm, while current values within the excitation coils were arranged in arithmetic progressions. The research focused on evaluating the magnetic field distribution in the specified gap and assessing how suspension electromagnetic force values varied with changes in current. A graphical representation of the relationship between static suspension force and excitation current is illustrated in Figure 8a. The findings suggest a direct correlation between the achieved static suspension force and excitation current, indicating an approximately linear positive relationship with the square of the excitation current.
Furthermore, by employing the same model with a 25 A excitation, the magnetic field and suspension force variations within the air gap were examined as the gap width changed in 0.5 mm intervals. The association between static suspension force and air gap dimensions is presented in Figure 8b. The results reveal that the static suspension force decreases as the air gap length increases, aligning with a quadratic-like pattern where the suspension force inversely scales linearly with the square of the suspension air gap length.

3. Analysis of Dynamic Maglev–Rail Interaction for High-Speed Maglev Trains

The preceding section of the paper investigated the static magnetic track interaction in high-speed maglev trains, detailing the electromagnetic distribution across the gap of suspension and the mechanical attributes of the suspension force. In maglev train operation, the suspension electromagnets synchronously traverse the guideway, leading to temporal-spatial variations [22]. Additionally, intricate tooth-slot structures on the surfaces of stator cores impose a discernible impact on the magnetic flux density within the air gap [23]. To further investigate the electromagnetic environment within the suspension system, this section utilizes transient simulation techniques to simulate the movement of the suspension electromagnets in space. This involves defining the simulation’s scope and parameters to create a series of models that represent the object’s specific positions at different time points. Through this method, the section aims to analyze the temporal changes in various electromagnetic quantities within the suspension air gap, offering valuable insights into their dynamic behavior over time.
The key distinction between transient and static magnetic field analyses resides in defining a Band motion region to differentiate moving from static objects and establishing the mechanical properties of movers, such as motion region size and velocity. The Band region is essential to prevent any intersection with the object boundaries and maintain the integrity of the designated motion area. By enveloping the moving object’s surface with an air pocket that covers the entire model, the solution domain ensures connectivity for accurate simulation results.
The dynamic simulation model is shown in Figure 9, where the moving objects are two suspended electromagnets that perform linear motion at a speed of 430 km/h while maintaining a constant gap of 12.5 mm beneath the long stator core.
At a uniform speed of 430 km/h, the maglev vehicle’s armature three-phase AC exhibits a corresponding angular frequency denoted as 83333.3 °/s. Assuming an effective armature current amplitude of 1200 A, with the phase angles specifically configured at 150 ° for phase A, 30 ° for phase B, and −90 ° for phase C, the armature current load is dynamically modulated following a sinusoidal pattern. Subsequently, a static load is applied through the mover’s DC excitation current, which is set at 25 A and flows through 270 turns.
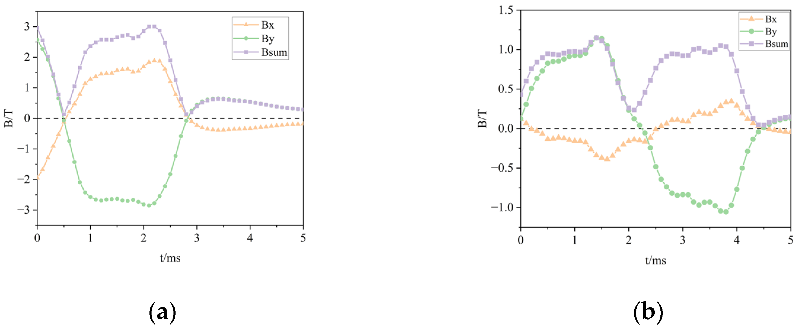
The variation in the suspension force with the moving time of the mover is shown in Figure 10. As can be seen from the figure, there exists a 6-fold frequency fluctuation in the suspension force within one cycle, yet the fluctuation amplitude is not significant. One cycle refers to the time taken for the mover to travel exactly two stator pole pitches.
v = 430 km / h
T = 2 τ p s v = 4.32 ms
Figure 11 presents the spatial locations of Node 25 and Node 127 on the model. Figure 12 presents the temporal variation curves of magnetic flux density components B x , B y , and their resultant vector B s u m at specific nodes on the stator during a complete cycle of mover movement. The figure highlights a significant predominance of magnetic flux density in the Y-direction over the X-direction. The main component of the air-gap magnetic field is the DC excitation magnetic field, with minimal disruptions from variations in the armature magnetic field. Peak magnetic flux density occurs when the mover poles pass by, surpassing values observed when the mover coils are in proximity. The inclusion of slots on both the stator and mover leads to a reduction in magnetic flux density within the resultant magnetic field and the excitation magnetic field.

4. Modification of Static Electromagnetic Force Model

The dynamic analysis in Section 3 reveals the high-frequency force fluctuations caused by the slotted armature (Figure 10). Building on this understanding, the magnetic force model revised in Section 4 is intended for static and quasi-static conditions. This model accurately captures the fundamental force component, which is paramount for suspension controller design.
The linear motor structure for EMS magnetic suspension trains consists of several electromagnet suspension units combined. In the TR-type high-speed maglev train, there are eight suspension systems positioned alongside the carriage [24]. Each system is composed of an electromagnet core, excitation coils, and control circuits, integrating with the long stator cores on the track sides to create a long-stator linear synchronous motor.
The suspension and propulsion mechanisms of EMS magnetic suspension trains rely on linear motors, and the electromagnetic force generated is predominantly examined using the Maxwell stress tensor and virtual work techniques [22]. However, the accuracy of the former method is affected by variations in integration path selection, making the virtual work approach the preferable option for electromagnetic force analysis. In calculations, a pole pitch is typically selected as the solution domain, with a common structure shown in Figure 13.
Based on the principle of the virtual work method, by neglecting flux leakage and edge effects and assuming a uniform magnetic field distribution, the suspension electromagnetic force F z acting on the armature can be derived as:
F z = W m Z | Ψ = c o n s tan t = S B 0 2 μ 0
where W m is the magnetic field energy of the system; B 0 is the magnetic flux density in the suspension gap; Ψ is the magnetic flux linkage; and μ 0 is the vacuum permeability.
Based on the principle of magnetic flux continuity and Ampere’s circuital law, by neglecting the magnetic resistance of the electromagnet and the suspension body, a simplified formula for the electromagnetic force can be further derived as:
F z = μ 0 N 2 S 4 I Z 0 2
where N is the number of turns in the single-sided coil winding, and I is the excitation winding current.
Through simulation calculations at different gap lengths, the variation curve of the simplified magnetic force calculation model concerning current is obtained, as shown in Figure 14. It can be concluded that in the simplified magnetic force calculation model, the longer the suspension air gap length, the smaller the generated electromagnetic force, which continues to increase with the increase in current.
When developing a simplified electromagnetic force calculation model, we adopt basic assumptions:
(1)
Uniform magnetic field distribution across stator, mover, and air gap;
(2)
Linear unsaturated behavior of the iron core;
(3)
Neglect of flux leakage and hysteresis effects;
(4)
Assuming that the magnetic circuit distribution is in an ideal state, where only the magnetic resistance in the air gap needs to be considered.
However, the EMS-type electromagnetic suspension system, a large air gap device, experiences uneven magnetic field distribution, wide current variations, and significant nonlinearity due to various factors.
The model structure induces an uneven distribution of magnetic flux lines within the air gap of the suspended electromagnetic iron system, with edges exhibiting outward diffusion, resulting in a notable bending and deformation of the flux lines. The edge effect intensifies with an increase in the system’s air gap size. In addition to the edge effect, the reluctance effect of the system’s iron core and flux leakage also influence the electromagnetic force. Based on electromagnetic theory, the suspended electromagnetic iron system generates force primarily through air gap magnetic field energy. While the iron core boasts significantly higher permeability and correspondingly lower reluctance than air, it still exerts a moderate influence on the electromagnetic force magnitude.
The previously mentioned factors undermine the fundamental assumptions of initial theoretical magnetic field calculations, leading to substantial deviations from actual simulation results. Figure 15 reveals a difference between simplified and finite element magnetic force models, especially under large air gaps and high currents. Thus, a critical revision of the calculation formula for the simplified model is imperative.
The correction methods for theoretical calculations are primarily divided into three categories: error compensation method, correction coefficient method, and direct fitting method. Under large air gaps and high currents, the simplified magnetic force model demonstrates substantial errors versus the finite element model, yet both exhibit congruent variation trends and error patterns, rendering the correction coefficient method a suitable approach for refinement.
The primary causes of errors include magnetic field inhomogeneity, core reluctance, and magnetic flux leakage. Remedial actions to enhance the theoretical model will be directed towards rectifying these individual factors.
  • Magnetic field inhomogeneity
The magnetic flux within the magnetic field is primarily distributed in two directions: along the lamination direction of the silicon steel sheets and within the plane of these sheets. Since the thickness of the silicon steel sheets is relatively small, it is generally believed that the magnetic circuit perpendicular to the lamination direction is uniformly distributed. Within the plane of the silicon steel sheets, the magnetic circuits near the edges display an outward diffusion pattern due to the influence of the tooth grooves in the iron cores at both ends. This causes the magnetic circuits to undergo bending deformations, resulting in unequal lengths across various regions within the air gap. Consequently, this phenomenon gives rise to magnetic field inhomogeneity.
When conducting electromagnetic force calculations, the adoption of average magnetic circuit length is widely accepted as satisfactory for most precision needs, with errors associated with the magnetic circuit typically considered negligible. As a result, the impact of magnetic field non-uniformity on the calculated results can be disregarded without significant compromise to accuracy.
The correction factor for unevenness, denoted as k 1 :
k 1 = 1
2.
Magnetic resistance of the iron core
The magnetic flux density when only considering air gap magnetic resistance is as follows.
B 0 = N I 2 Z 0 / μ 0
The magnetic flux density when considering both air gap magnetic resistance and iron core magnetic resistance is as follows.
B 1 = N I l s μ s + 2 Z 0 μ 0
μ s = B H = f H H
where μ s is the magnetic permeability of the iron core, and l s is the magnetic circuit length.
Incorporating the B-H curve, or fundamental magnetization curve, of the iron core material is essential for considering both iron core magnetic resistance and flux leakage. Utilizing TR08 as a case study, the EMS-type maglev train’s electromagnetic suspension system employs 50WW800 silicon steel sheets as its iron core material, and Figure 16 illustrates the corresponding fundamental magnetization curve.
The B-H curve can be divided into four distinct phases:
(1)
The initial phase, which involves the material commences with a slow increase in magnetic flux density due to the application of a relatively weak external magnetic field;
(2)
The rapid growth phase, characterized by a swift increase in magnetic flux density as the external magnetic field strengthens, displaying a linear relationship between the two;
(3)
The plateau phase, where further increases in the external magnetic field result in a decelerated growth rate of magnetic flux density, approaching saturation;
(4)
The saturation phase, where magnetization of the material nears saturation, and the B-H curve exhibits a quasi-linear growth pattern.
The magnetoresistance correction coefficient k 2 is as follows:
k 2 = B 1 B 0 = 2 Z 0 l s μ r + 2 Z 0 μ r
μ r = μ s μ 0
where μ r is the relative magnetic permeability.
The influence of changes in the suspension gap on the correction factor for iron core magnetic resistance is minimal, with the factor primarily correlated to the excitation current.
The relationship between the excitation current and the correction factor when the suspension gap length is 12.5 mm is depicted in Figure 17. When the current is relatively small, the iron core of the electromagnet has not reached saturation, resulting in minor variations in k 2 . However, once the current exceeds a certain threshold, the iron core of the electromagnet becomes saturated, causing k 2 to rapidly decrease with the increase in current, approaching zero asymptotically.
The fitting model is shown as follows.
k 2 = 0.00498 I 3 0.2956 I 2 + 5.017 I + 5.466 I < 25 A 0.0003654 I 2 0.558 I + 36 I 25 A
3.
Leakage flux
Most of the magnetic flux from the magnetic poles in the electromagnetic environment of the train suspension system flows back to neighboring poles through the long stator iron core. However, a small portion of the magnetic flux does not pass through the long stator iron core and directly returns to neighboring poles, constituting what is known as leakage flux.
The magnetic flux line distribution in the field is governed by the suspension air gap length, with wider gaps exacerbating unevenness and consequently augmenting leakage flux. The distribution diagrams of magnetic flux lines for two suspension electromagnets at different air gap heights are shown in Figure 18. As the gap widens, magnetic flux distribution grows more erratic, enhancing the leakage flux proportion. Therefore, the actual electromagnetic force on the suspension electromagnet within the gap markedly undershoots predictions that overlook leakage flux.
The expression for the leakage flux coefficient k 3 is as follows. It highlights that the leakage coefficient k 3 is mainly influenced by the extent of the suspension air gap, and the associated alteration association is depicted in Figure 19.
B 1 = B 0 k 3
The fitting model is shown as follows:
k 3 = 4.894 Z 3 + 86.45 Z 2 507.5 Z + 1064 Z < 7 mm 0.2844 Z 2 10.36 Z + 110.3 Z 7 mm
The corrected model for magnetic force calculation is finally obtained as follows:
F 1 = k 1 k 2 k 3 F 0
k 1 = 1 k 2 = 0.00498 I 3 0.2956 I 2 + 5.017 I + 5.466 I < 25 A 0.0003654 I 2 0.558 I + 36 I 25 A k 3 = 4.894 Z 3 + 86.45 Z 2 507.5 Z + 1064 Z < 7 mm 0.2844 Z 2 10.36 Z + 110.3 Z 7 mm
By employing both the original model and the modified model, the electromagnetic force of the maglev train is calculated under the condition where the air gap length is 12.5 mm and the excitation current varies from 0 to 25 A. This calculated electromagnetic force is then compared with the suspension electromagnetic force obtained through ANSYS finite element simulation, as illustrated in Figure 20, to validate the accuracy of the modified model.
It is noteworthy from Figure 20 that the accuracy advantage of the corrected model diminishes at lower excitation currents (<5 A). This is an expected result, as the correction factors k 2 (core reluctance) and k 3 (flux leakage) are designed to address nonlinearities that become dominant at higher field strengths. At low currents, the core operates in its linear region with minimal saturation and reduced relative leakage, causing the corrected model to converge towards the original simplified model, which is reasonably accurate under these conditions.
The performance of the correction model is observed to be superior to that of the simplified model under high current conditions, with a significant reduction in errors compared to the finite element model, leading to a noticeable improvement in accuracy.
It is important to note that the proposed correction model was developed and validated based on static and quasi-static finite element simulations. As such, the coefficients k 1 , k 2 , and k 3 are treated as functions of instantaneous current and gap, without considering dynamic effects. A key limitation is the influence of vehicle speed, where induced eddy currents in the laminated cores can alter the magnetic field distribution, potentially affecting the suspension force and the validity of the correction coefficients. Investigating these dynamic electromagnetic effects and developing a speed-dependent force model represents a crucial and necessary direction for future research.

5. Conclusions

In this paper, aiming at improving the calculation accuracy of suspension force in the suspension system of high-speed maglev trains, a finite element model of the magnetic suspension system is established. Based on this, the electromagnetic environment of the suspension system was analyzed. Using the finite element method, the static and dynamic suspension of two suspension electromagnet models were simulated, respectively, and the resulting suspension force was precisely calculated. Comparing the data from finite element simulation and magnetic force model, it is found that factors such as magnetic field inhomogeneity, core reluctance, and magnetic flux leakage affect the calculation accuracy of suspension force under large air gap conditions. After adjusting for error factors, an enhanced and highly accurate magnetic force calculation model is ultimately proposed.
Compared with the original model, The refined magnetic force calculation model demonstrates a significant reduction in errors as the suspension air gap widens. During significant fluctuations in air gap height, the revised model provides better assurance of the accuracy of suspension control. However, the process of correcting the model primarily relies on data derived from two-dimensional finite element simulations, which poses limitations on the scope of data sources and consequently affects the reliability of the correction. In the future, we will attempt to research other magnetic force calculation models to obtain more diverse correction bases, and apply the revised models to the suspension control system of maglev vehicles for experimental verification.

Author Contributions

Conceptualization, Y.S.; methodology, Y.S.; software, M.C.; validation, M.C., D.W. and X.M.; formal analysis, Z.J.; investigation, M.C.; resources, D.W. and X.M.; data curation, Y.S.; writing—original draft preparation, M.C. and D.W.; writing—review and editing, Y.S.; visualization, X.M. and Z.J.; supervision, Y.S., Z.J. and D.W.; project administration, Y.S.; funding acquisition, Y.S. All authors have read and agreed to the published version of the manuscript.

Funding

This research was funded by National Natural Science Foundation of China (52272374, 52272374), the Open Foundation of the State Key Laboratory of High-speed Maglev Transportation Technology (No. SKLM-SFCF-2023-004), Taishan Industrial Experts Program No. tscx202408140, Fundamental Research Funds for the Central Universities (No. 22120230311).

Data Availability Statement

The primary data underlying this study contain sensitive information and are subject to confidentiality agreements. Therefore, they are not available for public sharing.

Conflicts of Interest

Authors Donghua Wu and Xin Miao were employed by the company State Key Laboratory of High-speed Maglev Transportation Technology, CRRC Qingdao Sifang Co., Ltd. The remaining authors declare that the research was conducted in the absence of any commercial or financial relationships that could be construed as a potential conflict of interest.

Abbreviations

The following abbreviations are used in this manuscript:
EMSElectromagnetic Suspension
EDSElectrodynamic Suspension
FEMFinite Element Method
EMCEquivalent Magnetic Circuit
DCDirect Current
ACAlternating Current
LSMLinear Synchronous Motor

References

  1. Cao, J.; Deng, X.; Li, D.; Jia, B. Electromagnetic Analysis and Optimization of High-speed Maglev Linear Synchronous Motor Based on Field-circuit Coupling. CES Trans. Electr. Mach. Syst. 2022, 6, 118–123. [Google Scholar] [CrossRef]
  2. Deng, Z.G.; Wang, L.; Li, H.T.; Li, J.P.; Wang, H.D.; Yu, J.B. Dynamic Studies of the HTS Maglev Transit System. IEEE Trans. Appl. Supercond. 2021, 31, 1–5. [Google Scholar] [CrossRef]
  3. Li, H.; He, Y.; Wang, L.; Li, Z.; Deng, Z.; Zhang, W. Enhancing Lateral Dynamic Performance of HTS Maglev Vehicles Using Electromagnetic Shunt Dampers: Optimisation and Experimental Validation. Veh. Syst. Dyn. 2025, 1–20. [Google Scholar] [CrossRef]
  4. Sun, Y.; He, Z.; Xu, J.; Sun, W.; Lin, G. Dynamic Analysis and Vibration Control for a Maglev Vehicle-Guideway Coupling System with Experimental Verification. Mech. Syst. Signal Process. 2023, 188, 109954. [Google Scholar] [CrossRef]
  5. Feng, K.; Qiang, H.; Xiao, C.; Huang, H.; Hai, Y.; Sun, Y. Yaw Feedback Control of Active Steering Vehicle Based on Differential Flatness Theory. J. Theor. Appl. Mech. 2025, 63, 131–149. [Google Scholar] [CrossRef]
  6. Sun, Y.; Gao, D.-G.; He, Z.; Qiang, H. Influence of Electromagnet-Rail Coupling on Vertical Dynamics of EMS Maglev Trains. Mechatron. Intell. Transp. Syst. 2022, 1, 2–11. [Google Scholar] [CrossRef]
  7. Schmid, P.; Schneider, G.; Dignath, F.; Liang, X.; Eberhard, P. Static and Dynamic Modeling of the Electromagnets of the Maglev Vehicle Transrapid. IEEE Trans. Magn. 2021, 57, 1–15. [Google Scholar] [CrossRef]
  8. De Oliveira, R.A.H.; Stephan, R.M.; Ferreira, A.C. Optimized Linear Motor for Urban Superconducting Magnetic Levitation Vehicles. IEEE Trans. Appl. Supercond. 2020, 30, 1–8. [Google Scholar] [CrossRef]
  9. Han, W.T.; Sun, J.J.; Liu, X.K.; Guo, H.X.; Wang, J.S. A Novel Hybrid Suspension Electromagnet for Middle-low Speed Maglev Train. J. Magn. 2017, 22, 463–471. [Google Scholar] [CrossRef]
  10. Rao, J.; Wang, K.; Wang, B. A Special Excitation System for Analysis of Coupling Characteristics of Thrust and Levitation Force of Maglev Train. Transp. Syst. Technol. 2018, 4, 45–51. [Google Scholar] [CrossRef]
  11. Ding, J.; Yang, X.; Long, Z.; Dang, N. Three-dimensional Numerical Analysis and Optimization of Electromagnetic Suspension System for 200 km/h Maglev Train Considering Eddy Current Effect. IEEE Access 2018, 6, 61547–61555. [Google Scholar] [CrossRef]
  12. Yongchao, W.; Kuangang, F.; Qishou, P. Magnetic Field Analysis of Hollow Halbach Long Stator Permanent Magnet Synchronous Linear Motor for Suspension Permanent Magnet Maglev Train. J. Electromagn. Eng. Sci. 2023, 23, 326–334. [Google Scholar] [CrossRef]
  13. Hao, L.; Huang, Z.; Qiu, D.; Dong, F.; Sun, Z. Numerical Simulation of Levitation Force and Drag Force of Superconductiong Electrodynamic Maglev Train; Department of Electrical Engineering, Shanghai Jiao Tong University: Shanghai, China, 2018. [Google Scholar]
  14. Yang, Y.; Zhang, W.; Tong, L.; Peng, Q.; Luo, H.; Suo, J. Analysis and Solution of Eddy Current Induced in Rail for Medium and Low Speed Maglev Transportation System. Transp. Syst. Technol. 2018, 4, 129–137. [Google Scholar] [CrossRef]
  15. Hao, L.; Huang, Z.; Dong, F.; Qiu, D.; Shen, B.; Jin, Z. Study on Electrodynamic Suspension System with High-Temperature Superconducting Magnets for a High-Speed Maglev Train. IEEE Trans. Appl. Supercond. 2019, 29, 3600105. [Google Scholar] [CrossRef]
  16. Wang, D.; Li, X.; Liang, L.; Qiu, X. Dynamic Interaction Analysis of Bridges Induced by a Low-To-Medium–Speed Maglev Train. J. Vib. Control 2020, 26, 2013–2025. [Google Scholar] [CrossRef]
  17. Jiang, Y.; Deng, Y.; Zhu, P.; Yang, M.; Zhou, F. Optimization on Size of Halbach Array Permanent Magnets for Magnetic Levitation System for Permanent Magnet Maglev Train. IEEE Access 2021, 9, 44989–45000. [Google Scholar] [CrossRef]
  18. Min, K.; Jae-Hoon, J.; Jaewon, L.; Chang-Hyun, K.; Mooncheol, W. Design and Control of Levitation and Guidance Systems for a Semi-High-Speed Maglev Train. J. Electr. Eng. Technol. 2017, 12, 117–125. [Google Scholar]
  19. Yonezu, T.; Watanabe, K.; Suzuki, E.; Sasakawa, T. Study on Electromagnetic Force Characteristics Acting on Levitation/Guidance Coils of a Superconducting Maglev Vehicle System. IEEE Trans. Magn. 2017, 53, 1–5. [Google Scholar] [CrossRef]
  20. Zhang, T.B.; Shen, D.; Jiang, S.H.; Xu, H.Z. Adaptive Fixed-Time Antilock Control of Levitation System of High-Speed Maglev Train. IEEE Trans. Intell. Veh. 2023, 8, 3394–3404. [Google Scholar] [CrossRef]
  21. Bo, K.; Xiong, Y.; Yu, X.; Wu, J.; Wang, Y. Study on Transient Electromagnetic Characteristics Based on Typical Soft Magnetic Material for EMS Maglev Train; National Key Laboratory of Science and Technology on Vessel Integrated Power System, Naval University of Engineering: Wuhan, China, 2021. [Google Scholar]
  22. Long, Z.; He, G.; Xue, S. Study of EDS & EMS Hybrid Suspension System with Permanent-Magnet Halbach Array. IEEE Trans. Magn. 2011, 47, 4717–4724. [Google Scholar] [CrossRef]
  23. Xu, X.J.; Liu, C.H.; Yan, Y.; Chen, H.D.; Fang, L.; Wang, Y.L.; Wu, L.H. Modeling and Simulation of the Magnetic Method for High Voltage Direct Current Inspection Robot. J. Magn. 2018, 23, 423–435. [Google Scholar] [CrossRef]
  24. Shi, Y.; Ma, W.; Li, M.; Xu, Z. Research on dynamics of a new high-speed maglev vehicle. Veh. Syst. Dyn. 2022, 60, 721–742. [Google Scholar] [CrossRef]
Figure 1. Long stator LSM structure.
Figure 1. Long stator LSM structure.
Actuators 14 00514 g001
Figure 2. The key geometric parameters of long stator LSM.
Figure 2. The key geometric parameters of long stator LSM.
Actuators 14 00514 g002
Figure 3. Two suspension electromagnets model.
Figure 3. Two suspension electromagnets model.
Actuators 14 00514 g003
Figure 4. One long stator track model.
Figure 4. One long stator track model.
Actuators 14 00514 g004
Figure 5. (a) Magnetic field lines of two suspension electromagnets model; (b) magnetic flux density contour plot of two suspension electromagnets model.
Figure 5. (a) Magnetic field lines of two suspension electromagnets model; (b) magnetic flux density contour plot of two suspension electromagnets model.
Actuators 14 00514 g005
Figure 6. (a) Magnetic field lines of one long stator track model; (b) magnetic flux density contour plot of one long stator track model.
Figure 6. (a) Magnetic field lines of one long stator track model; (b) magnetic flux density contour plot of one long stator track model.
Actuators 14 00514 g006
Figure 7. Magnetic vector and flux density modulus.
Figure 7. Magnetic vector and flux density modulus.
Actuators 14 00514 g007
Figure 8. (a) Suspension force vs. excitation current at a constant gap of 12.5 mm; (b) suspension force vs. suspension gap at a constant excitation current of 25 A.
Figure 8. (a) Suspension force vs. excitation current at a constant gap of 12.5 mm; (b) suspension force vs. suspension gap at a constant excitation current of 25 A.
Actuators 14 00514 g008
Figure 9. Dynamic finite element model.
Figure 9. Dynamic finite element model.
Actuators 14 00514 g009
Figure 10. The variation in the suspension force within one cycle.
Figure 10. The variation in the suspension force within one cycle.
Actuators 14 00514 g010
Figure 11. The spatial locations of Node 25 and Node 127 on the model.
Figure 11. The spatial locations of Node 25 and Node 127 on the model.
Actuators 14 00514 g011
Figure 12. (a) The variation in magnetic flux density within one cycle at Node25; (b) the variation in magnetic flux density within one cycle at Node127.
Figure 12. (a) The variation in magnetic flux density within one cycle at Node25; (b) the variation in magnetic flux density within one cycle at Node127.
Actuators 14 00514 g012
Figure 13. Electromagnetic suspension structure. Where S is the cross-sectional area of a single magnetic pole; Z 0 is the suspension gap between the armature and the iron yoke.
Figure 13. Electromagnetic suspension structure. Where S is the cross-sectional area of a single magnetic pole; Z 0 is the suspension gap between the armature and the iron yoke.
Actuators 14 00514 g013
Figure 14. Mechanical characteristic curve of the calculation model.
Figure 14. Mechanical characteristic curve of the calculation model.
Actuators 14 00514 g014
Figure 15. Compare of suspension force with different models. (a) Gap = 2 mm; (b) Gap = 4 mm; (c) Gap = 6 mm; (d) Gap = 8 mm.
Figure 15. Compare of suspension force with different models. (a) Gap = 2 mm; (b) Gap = 4 mm; (c) Gap = 6 mm; (d) Gap = 8 mm.
Actuators 14 00514 g015aActuators 14 00514 g015b
Figure 16. B-H curve.
Figure 16. B-H curve.
Actuators 14 00514 g016
Figure 17. The relationship between k 2 and current.
Figure 17. The relationship between k 2 and current.
Actuators 14 00514 g017
Figure 18. Distribution map of magnetic force lines.
Figure 18. Distribution map of magnetic force lines.
Actuators 14 00514 g018
Figure 19. The relationship between the change of k 3 and the suspension gap.
Figure 19. The relationship between the change of k 3 and the suspension gap.
Actuators 14 00514 g019
Figure 20. Compare of suspension force with different calculated method.
Figure 20. Compare of suspension force with different calculated method.
Actuators 14 00514 g020
Table 1. Basic structural parameters of long stator LSM.
Table 1. Basic structural parameters of long stator LSM.
ParameterNumber Value
Number of poles12
Stator   pole   pitch   τ p s (mm)258
Mover   pole   pitch   τ p m (mm)266.5
Stator   core   height   h s (mm)89
Stator   slot   width   b m (mm)43
Mover   core   height   h m (mm)170
Yoke   height   h y (mm)56
Disclaimer/Publisher’s Note: The statements, opinions and data contained in all publications are solely those of the individual author(s) and contributor(s) and not of MDPI and/or the editor(s). MDPI and/or the editor(s) disclaim responsibility for any injury to people or property resulting from any ideas, methods, instructions or products referred to in the content.

Share and Cite

MDPI and ACS Style

Chen, M.; Wu, D.; Sun, Y.; Miao, X.; Jin, Z. Magnetic-Track Relationship and Correction of Magnetic Force Model for EMS High-Speed Maglev Train. Actuators 2025, 14, 514. https://doi.org/10.3390/act14110514

AMA Style

Chen M, Wu D, Sun Y, Miao X, Jin Z. Magnetic-Track Relationship and Correction of Magnetic Force Model for EMS High-Speed Maglev Train. Actuators. 2025; 14(11):514. https://doi.org/10.3390/act14110514

Chicago/Turabian Style

Chen, Meiyun, Donghua Wu, Yougang Sun, Xin Miao, and Zheyan Jin. 2025. "Magnetic-Track Relationship and Correction of Magnetic Force Model for EMS High-Speed Maglev Train" Actuators 14, no. 11: 514. https://doi.org/10.3390/act14110514

APA Style

Chen, M., Wu, D., Sun, Y., Miao, X., & Jin, Z. (2025). Magnetic-Track Relationship and Correction of Magnetic Force Model for EMS High-Speed Maglev Train. Actuators, 14(11), 514. https://doi.org/10.3390/act14110514

Note that from the first issue of 2016, this journal uses article numbers instead of page numbers. See further details here.

Article Metrics

Back to TopTop