Sign in to use this feature.

Years

Between: -

Subjects

remove_circle_outline
remove_circle_outline
remove_circle_outline
remove_circle_outline
remove_circle_outline
remove_circle_outline
remove_circle_outline
remove_circle_outline
remove_circle_outline

Journals

remove_circle_outline
remove_circle_outline
remove_circle_outline
remove_circle_outline
remove_circle_outline

Article Types

Countries / Regions

remove_circle_outline
remove_circle_outline
remove_circle_outline
remove_circle_outline
remove_circle_outline
remove_circle_outline
remove_circle_outline
remove_circle_outline

Search Results (191)

Search Parameters:
Keywords = primary intensification

Order results
Result details
Results per page
Select all
Export citation of selected articles as:
27 pages, 7772 KB  
Article
Trade-Offs, Synergies, and Driving Mechanisms of Ecosystem Services in the Gully Region of the Loess Plateau
by Meijuan Zhang and Xianglong Tang
Land 2026, 15(4), 623; https://doi.org/10.3390/land15040623 - 10 Apr 2026
Abstract
As a core area for soil and water conservation on the Loess Plateau and a national primary shale oil production zone, Qingyang City faces an increasingly acute contradiction between its inherently fragile ecological base and energy development activities. From the dual perspectives of [...] Read more.
As a core area for soil and water conservation on the Loess Plateau and a national primary shale oil production zone, Qingyang City faces an increasingly acute contradiction between its inherently fragile ecological base and energy development activities. From the dual perspectives of ecological regulating services and production-supporting services, this study selected six key ecosystem services—habitat quality (HQ), soil retention (SR), carbon storage (CS), water yield (WY), food supply (FS), and grassland forage supply (GS)—to comprehensively assess their spatiotemporal evolution, trade-off/synergy relationships, and driving mechanisms from 2000 to 2020. The results indicate: (1) Significant changes occurred in the total amounts and spatial patterns of all ecosystem services during 2000–2020. HQ showed a fluctuating upward trend, while SR, FS, and GS increased overall; by contrast, CS and WY generally declined. (2) Ecosystem services exhibited a differentiated pattern characterized by “intra-category synergy and inter-category trade-off.” Regulating and supporting services were generally dominated by synergistic relationships, although clear differences remained among specific service pairs; provisioning services generally showed trade-offs with regulating services, among which the trade-offs between FS–HQ and between FS–GS were the most pronounced, whereas FS–CS showed a certain degree of synergy. (3) Driving force analysis revealed a continuous decline in the influence of natural factors and a sharp intensification of human activity factors. Groundwater level and land-use intensity became core drivers of pattern shifts, with their explanatory power increasing significantly. The study reveals that ecosystem services in Qingyang have rapidly transitioned from being dominated by natural hydrothermal conditions to being profoundly reshaped by energy development activities, exposing the region to the ecological risk of a “resource curse.” These findings provide a scientific basis and management insights for achieving coordinated development between resource exploitation and ecological conservation in ecologically fragile areas of the Loess Plateau. Full article
Show Figures

Figure 1

18 pages, 594 KB  
Article
Structured Functional Assessment Pathway and Pharmacological Optimization During Cardiovascular Rehabilitation in Chronic Heart Failure: A Retrospective Tertiary Center Study
by Miruna Popovici, Abhinav Sharma, Gabriel Florin Razvan Mogos, Nilima Rajpal Kundnani, Daniel Duda Marius Seiman, Victor Buciu and Simona Ruxanda Dragan
Life 2026, 16(4), 603; https://doi.org/10.3390/life16040603 - 4 Apr 2026
Viewed by 266
Abstract
Introduction: Optimization of guideline-directed medical therapy in chronic heart failure remains challenging in real-world practice, particularly outside settings with routine cardiopulmonary exercise testing. In this context, cardiovascular rehabilitation can improve functional capacity, symptoms, and quality of life, while structured follow-up may also facilitate [...] Read more.
Introduction: Optimization of guideline-directed medical therapy in chronic heart failure remains challenging in real-world practice, particularly outside settings with routine cardiopulmonary exercise testing. In this context, cardiovascular rehabilitation can improve functional capacity, symptoms, and quality of life, while structured follow-up may also facilitate treatment adjustment. We therefore evaluated whether exposure to a structured multimodal functional assessment pathway, embedded within a more intensive follow-up model, was associated with pharmacological optimization and functional change in chronic heart failure. Methods: We conducted a retrospective, single-center cohort study including adults with chronic heart failure with reduced or mildly reduced ejection fraction managed in a tertiary university clinic. Patients were classified according to documented exposure to an integrated pathway that combined standardized 6 min walk testing, heart rate dynamics, oxygen saturation response, perceived exertion, validated quality-of-life assessment, and prespecified interim reassessment, versus usual care. The integrated pathway involved more frequent clinical contact than usual care. The primary outcome was change in 6 min walk distance over 6 months. Secondary outcomes included changes in heart rate recovery, oxygen saturation nadir, Borg perceived exertion score, quality-of-life score, intensity of guideline-directed medical therapy, treatment intensification rates, and heart failure hospitalization. Results: The study included 250 patients with comparable baseline demographic and clinical characteristics. Patients managed within the structured pathway showed greater improvement in 6 min walk distance at 6 months than those receiving usual care, together with more pronounced improvement in secondary functional parameters and quality-of-life scores. Pharmacological optimization, reflected by higher uptake and intensification of guideline-directed medical therapy, also occurred more frequently in the structured pathway group. The integrated group, however, also had higher follow-up intensity, which limits causal interpretation of the observed between-group differences. Conclusions: In this real-world heart failure cohort, exposure to a structured care pathway combining repeated multimodal functional profiling with closer follow-up was associated with greater functional improvement and more intensive pharmacological optimization. These findings should be interpreted as pathway-level associations rather than proof that functional assessment alone drove benefit, and they require prospective validation. Full article
Show Figures

Figure 1

22 pages, 11478 KB  
Article
Tidal Modulation of Waves over the Changjiang River Estuary: Long-Term Observations and Coupled Modeling
by Zhikun Zhang, Zengrui Rong, Xin Meng, Pixue Li and Tao Qin
J. Mar. Sci. Eng. 2026, 14(7), 635; https://doi.org/10.3390/jmse14070635 - 30 Mar 2026
Viewed by 250
Abstract
Tidal-scale wave modulation is a critical yet complex process in macro-tidal estuaries. This study investigates semidiurnal wave modulations in the Changjiang River Estuary (CRE) using unique, long-term in situ observations and high-resolution ADCIRC–SWAN coupled simulations. Pronounced semidiurnal signals are identified in significant wave [...] Read more.
Tidal-scale wave modulation is a critical yet complex process in macro-tidal estuaries. This study investigates semidiurnal wave modulations in the Changjiang River Estuary (CRE) using unique, long-term in situ observations and high-resolution ADCIRC–SWAN coupled simulations. Pronounced semidiurnal signals are identified in significant wave height (Hs), mean wave period, and wave direction. Observational results demonstrate that the modulation intensity is highest in Hangzhou Bay and the CRE mouth, decreasing gradually offshore. A key finding is that semidiurnal Hs maxima systematically coincide with peak flood currents and precede high water by approximately three hours. Long-term records confirm that this modulation persists year-round and intensifies during energetic events such as typhoons. The expression of the tidal signal depends on wave composition: wind-sea-dominated conditions exhibit stronger period modulation, whereas swell-dominated conditions favor coherent Hs modulation as kinematic tidal effects remain more apparent in the absence of strong local wind forcing. Numerical sensitivity experiments demonstrate that tidal currents are the primary driver of the observed wave modulation, while water-level effects are largely confined to shallow shoals. The results highlight that accurately reproducing the observed frequency–directional structure requires the inclusion of current-induced Doppler shifts and refraction. Beyond the classical following-current effects, the analysis suggests that the spatial deceleration of currents along the wave path acts as a kinematic trap that focuses wave action and sustains Hs intensification. This mechanism provides a physically plausible explanation for the observed phase relationship and points to the non-local nature of estuarine wave dynamics, where the wave state appears as an integrated response to cumulative current gradients along the propagation path. These findings emphasize the necessity of incorporating wave–current coupling in future coastal modeling and hazard forecasting. Full article
(This article belongs to the Section Physical Oceanography)
Show Figures

Figure 1

32 pages, 9247 KB  
Article
Deciphering Middle–Late Eocene Paleoenvironmental Conditions Using Geochemical Trends: Insights from the Beni Suef Area, Northeastern Desert, Egypt
by Mostafa M. Sayed, Michael Wagreich, Petra Heinz, Ibrahim M. Abd El-Gaied, Susanne Gier, Erik Wolfgring, Ramadan M. El-Kahawy, Ahmed Ali, Ammar Mannaa, Rabea A. Haredy and Dina M. Sayed
Minerals 2026, 16(4), 361; https://doi.org/10.3390/min16040361 - 29 Mar 2026
Viewed by 456
Abstract
The reconstruction of detrital flux, paleoclimate, paleosalinity, paleo-primary productivity, paleohydrodynamic conditions, and paleo-water depth enhances understanding of sedimentary processes and their drivers during deep-time greenhouse-icehouse transitions, such as the Eocene–Oligocene transition. This study uses detailed geochemical analyses of major oxides and trace elements [...] Read more.
The reconstruction of detrital flux, paleoclimate, paleosalinity, paleo-primary productivity, paleohydrodynamic conditions, and paleo-water depth enhances understanding of sedimentary processes and their drivers during deep-time greenhouse-icehouse transitions, such as the Eocene–Oligocene transition. This study uses detailed geochemical analyses of major oxides and trace elements in sediment samples collected from the Beni Suef Formation (Bartonian–Priabonian) and the Maadi Formation (Priabonian) in the southern Tethys shelf (Egypt, northeastern Desert). Detrital proxies, including Si/Al, Ti/Al, and Zr/Al, indicate an enhanced influx of terrigenous sediments in the middle portion of the Qurn Member of the Beni Suef Formation, as further supported by noticeable facies variations, particularly the transition from shale to coarser silt- and sand-sized fractions. Paleoclimate indicators (Sr/Ba, Rb/Sr, K2O/Al2O3, and Sr/Cu) point to a climatic shift from humid to arid conditions, consistent with the regional Late Eocene aridification across the Tethyan realm. Paleosalinity proxies (Sr/Ba, Ca/Al, and Mg/Al×100) suggest episodic intensification of open-marine influence and a reduction in freshwater input, with an upsection increase in Sr/Ba ratios, reflecting phases of enhanced marine water settings or decreased terrestrial runoff. Primary productivity was evaluated using multiple geochemical proxies, including P, Ni/Al, Cu/Al, P/Al, P/Ti, and Babio ratios. These collectively indicate generally low primary productivity interrupted by intervals of enhanced paleoproductivity or increased organic matter export to the sediments. This interpretation is further supported by the low total organic carbon (TOC) values. These results highlight the sensitivity of the southern Tethys shelf to Middle–Late Eocene climatic variability and the key role of prevailing paleoenvironmental conditions in controlling sediment supply, water chemistry, and biological productivity. Full article
(This article belongs to the Section Environmental Mineralogy and Biogeochemistry)
Show Figures

Figure 1

29 pages, 2553 KB  
Article
Opportunities and Barriers to Integrating Urban Grasslands into Green Infrastructure: A Socio-Institutional Assessment of Latvian Cities
by Daiga Skujane, Natalija Nitavska, Madara Markova, Anete Lagzdina and Alise Cavare
Land 2026, 15(3), 505; https://doi.org/10.3390/land15030505 - 21 Mar 2026
Viewed by 250
Abstract
Natural grasslands are among the most endangered habitats in Northern, Central and Eastern Europe due to the agricultural intensification, land abandonment and afforestation, urban expansion, and the loss of traditional low-intensity management, on which their biodiversity depends. One way to increase the number [...] Read more.
Natural grasslands are among the most endangered habitats in Northern, Central and Eastern Europe due to the agricultural intensification, land abandonment and afforestation, urban expansion, and the loss of traditional low-intensity management, on which their biodiversity depends. One way to increase the number of natural grasslands is by integrating them into urban green infrastructure as a nature-based solution to enhance ecological resilience and urban livability: diverse grassland systems support pollinators, improve soil structure and stormwater infiltration, mitigate urban heat and provide restorative, experience-rich public spaces. The aim of the study is to explore opportunities and barriers to integrating different types of grasslands into the green infrastructure of Latvian cities, with a primary focus on public perceptions and institutional aspects of urban grassland implementation and management. A mixed-methods approach was applied, combining resident surveys, interviews with municipal experts—territorial development specialists, planners and maintenance managers—and comparative policy analysis. Results show that although residents acknowledge the ecological benefits of urban grasslands, they prefer them in peripheral or underused areas rather than in city centres and residential zones, as these areas are often aesthetically perceived as “untidy” or neglected, conflicting with cultural norms that favour short, intensively mown lawns and raising concerns about insects. Acceptance increases through communication and participatory practices. Municipal approaches range from structured maintenance guidelines, including delayed mowing, biomass removal, and invasive species control, to flexible experimentation. The study contributes scientifically grounded insights into governance, perception, and management interfaces critical for mainstreaming socially accepted urban grasslands. Full article
Show Figures

Figure 1

20 pages, 2441 KB  
Article
Spatiotemporal Trends and Abrupt Changes in Annual Potential Evapotranspiration and Water Balance over Saudi Arabia
by Saleh H. Alhathloul
Water 2026, 18(6), 725; https://doi.org/10.3390/w18060725 - 19 Mar 2026
Viewed by 269
Abstract
Potential evapotranspiration (PET) and water balance (WB) are key indicators of hydroclimatic conditions and water availability, particularly in arid and semi-arid regions. This study investigates the interannual variability, long-term trends, and abrupt regime shifts in annual PET and WB across Saudi Arabia using [...] Read more.
Potential evapotranspiration (PET) and water balance (WB) are key indicators of hydroclimatic conditions and water availability, particularly in arid and semi-arid regions. This study investigates the interannual variability, long-term trends, and abrupt regime shifts in annual PET and WB across Saudi Arabia using multi-station observational data spanning 1985–2022. PET was estimated using a temperature-based approach suitable for data-scarce arid environments, and WB was calculated as the difference between precipitation and PET. Non-parametric statistical methods were applied to assess trend magnitude and significance, while Pettitt’s change-point test was used to identify abrupt shifts at both regional and station scales. The main findings show a widespread and spatially coherent increase in atmospheric evaporative demand, with predominantly positive PET trends at both regional and station scales, accompanied by persistently negative and increasingly declining WB values, indicating a long-term intensification of water deficit across much of the country. Spatial patterns of PET and WB closely follow gradients in energy availability and temperature, confirming the dominant influence of warming-driven processes on hydroclimatic conditions in this arid environment. Change-point analysis identifies a statistically significant regional hydroclimatic regime shift during the late 1990s, characterized by an abrupt increase in PET and a concurrent deterioration of WB, marking the onset of a more water-limited climatic regime. At the station scale, the timing and significance of detected change points display pronounced spatial heterogeneity, reflecting the modulation of regional climatic forcing by local climatic and geographic factors. Overall, the results demonstrate that increasing evaporative demand, rather than precipitation variability alone, has become a primary control on water availability across Saudi Arabia, highlighting the importance of explicitly accounting for hydroclimatic non-stationarity in water resource assessment and long-term planning under continued warming conditions. Full article
(This article belongs to the Section Water and Climate Change)
Show Figures

Figure 1

18 pages, 1884 KB  
Article
Global Future Modeling of the Invasive Cryphalus dilutus (Coleoptera: Curculionidae: Scolytinae) and Effects of Bioclimatic Variables
by Qiang Wu, Kaitong Xiao, Yu Cao, Hang Ning, Minghong Wang and Xunru Ai
Agronomy 2026, 16(6), 619; https://doi.org/10.3390/agronomy16060619 - 14 Mar 2026
Viewed by 307
Abstract
Cryphalus dilutus is an emerging invasive pest of tropical and subtropical regions, with Mangifera indica and Ficus carica being its primary host plants. Larval damage caused by this insect can lead to severe tree wilting, posing a direct threat to agricultural production and [...] Read more.
Cryphalus dilutus is an emerging invasive pest of tropical and subtropical regions, with Mangifera indica and Ficus carica being its primary host plants. Larval damage caused by this insect can lead to severe tree wilting, posing a direct threat to agricultural production and ecological security. Native to South Asia, C. dilutus has established introduced populations in the Near East, Mexico, and other areas. In recent years, it has invaded multiple regions, including southern China and southern Italy. Given the widespread global distribution of host plants and the intensification of climate change, their distribution ranges are expected to expand. However, research assessing the potential global geographical distribution of this pest under climate change is lacking. In this study, we used the Random Forest model to predict the potential distribution range of C. dilutus. Under historical climatic conditions between 1970 and 2000, suitable climatic regions for C. dilutus were primarily distributed across southern China, southeastern Brazil, southeastern Mexico, the Congo Basin periphery, and the Iberian Peninsula, with a total area of 12,192.42 × 104 km2. The Temperature Annual Range and Precipitation of Warmest Quarter were identified as key environmental determinants that shaped its distribution. Under the future RCP4.5 climate scenario projected for the 2050s, the total suitable area for C. dilutus is projected to contract. Specifically, high-, medium-, and low-suitability areas are projected to decline by 52.77%, 62.39%, and 24.02%, respectively. While the total area of the very low zones is expected to increase, the total area of the suitable region has been reduced to 11,891.17 ×104 km2. Future climate change is expected to drive the distribution northward to high-altitude areas and inland areas. Model projections indicate a poleward expansion of the fundamental climatic niche, with climatic suitability increasing in high-latitude and high-altitude regions, such as Northern Europe and western North America. Conversely, current core tropical habitats in the Indian subcontinent and the Amazon Basin are projected to face significant habitat degradation due to thermal stress. Agricultural regions previously considered relatively safe due to climatic constraints, such as northern China, the midwestern United States, and Eastern Europe, may face new challenges from pest infestation. These findings underscore the importance of proactive monitoring and implementation of preventive measures. This provides crucial decision support for countries and regions to formulate precise pest control strategies and offers a theoretical basis for early monitoring and prevention of cross-border invasions on a global scale. Full article
(This article belongs to the Special Issue Sustainable Pest Management under Climate Change)
Show Figures

Figure 1

37 pages, 6219 KB  
Article
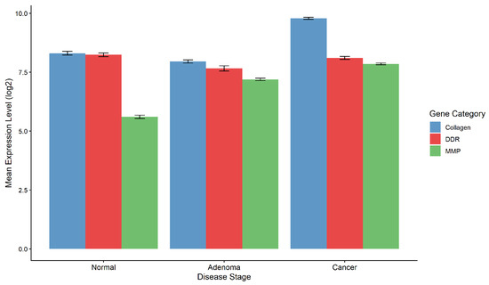
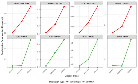
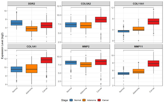
DDR2-COL11A1 Transcriptional Coupling as a Candidate Therapeutic Target in Colorectal Cancer: Integrative Transcriptomic and Deep Learning Validation
by Yasemin Başbınar, Ömer Akgüller, Asım Leblebici, Gizem Çalıbaşı Koçal, Mehmet Ali Balcı, Zerrin Isik and Hülya Ellidokuz
Int. J. Mol. Sci. 2026, 27(5), 2509; https://doi.org/10.3390/ijms27052509 - 9 Mar 2026
Viewed by 483
Abstract
Extracellular matrix (ECM) remodeling is a hallmark of colorectal cancer progression, yet the transcriptional mechanisms coordinating collagen deposition and matrix metalloproteinase activation remain incompletely understood. We performed integrated computational analysis of 680 samples across normal mucosa, adenoma, and carcinoma stages to characterize discoidin [...] Read more.
Extracellular matrix (ECM) remodeling is a hallmark of colorectal cancer progression, yet the transcriptional mechanisms coordinating collagen deposition and matrix metalloproteinase activation remain incompletely understood. We performed integrated computational analysis of 680 samples across normal mucosa, adenoma, and carcinoma stages to characterize discoidin domain receptor (DDR)-mediated transcriptional networks during tumorigenesis. Stage-stratified correlation analysis of fourteen pathway genes revealed profound divergence between DDR1 and DDR2; DDR1 correlations remained weak across all stages, while DDR2 correlations strengthened 2.59-fold from normal to carcinoma. DDR2-COL11A1 exhibited the most dramatic coupling intensification, increasing from R2=0.007 in normal tissue to R2=0.549 in carcinoma, accompanied by 1.99-fold COL11A1 upregulation. Remarkably, pathway activation occurred despite stable DDR2 expression, indicating enhanced transcriptional coupling efficiency rather than receptor upregulation as the primary mechanism. Deep neural network classification achieved 93.14% accuracy distinguishing disease stages, with SHAP analysis independently validating DDR2-COL11A1 as the most important gene interaction for cancer classification. These findings establish DDR2-specific transcriptional coupling as a functionally important mechanism in colorectal cancer progression and identify COL11A1 as a critical downstream target, suggesting novel therapeutic strategies targeting coupling efficiency rather than receptor abundance. Full article
Show Figures

Figure 1

25 pages, 22881 KB  
Article
Toward Regional Resilience: Multi-Scale Climate Variability and Atmospheric Teleconnections in Hunan, China
by Jing Fu, Shuaiheng Chen and Tiantian Zhang
Sustainability 2026, 18(5), 2631; https://doi.org/10.3390/su18052631 - 8 Mar 2026
Viewed by 330
Abstract
The mechanisms by which the regional hydroclimate responds to global climate forcing are complex, particularly in geographically heterogeneous countries like China. Focusing on Hunan Province, this study employs the Standardized Precipitation Index (SPI) derived from long-term precipitation records at 87 meteorological stations to [...] Read more.
The mechanisms by which the regional hydroclimate responds to global climate forcing are complex, particularly in geographically heterogeneous countries like China. Focusing on Hunan Province, this study employs the Standardized Precipitation Index (SPI) derived from long-term precipitation records at 87 meteorological stations to delineate climatic sub-regions with coherent dry–wet variability. Using rotated empirical orthogonal function analysis, we systematically characterize the spatiotemporal patterns of SPI components and quantify their teleconnections with global ocean–atmosphere circulation modes. The analysis of multi-timescale SPI reveals four distinct sub-regions and a pronounced northwest–southeast dipole in long-term trends. Despite an overall reduction in annual drought, the northwestern sub-region experienced intensification. Seasonally, a pattern of spring/autumn drying versus summer/winter wetting emerged. Wavelet analysis identified dominant interannual (2–7 years) and interdecadal (13–71 months) oscillations. These periodicities are significantly teleconnected to large-scale circulation indices (e.g., Southern Oscillation and Pacific Decadal Oscillation), with influences peaking at 16–64-month and 2–5-year scales. Importantly, the primary circulating driver differs by sub-region, revealing a complex teleconnection landscape. The findings delineate region-specific atmospheric pathways, offering insights to bolster drought preparedness and optimize water allocation, thereby enhancing climate resilience in vulnerable monsoon transition zones. Full article
(This article belongs to the Section Air, Climate Change and Sustainability)
Show Figures

Figure 1

14 pages, 4622 KB  
Article
Observational Analysis of a Southwest Vortex-Induced Severe Rainfall Event Triggering Fatal Landslides over Southwest China in 2024
by Keming Zhang, Yangruixue Chen, Na Xie, Jiafeng Zheng, Chuhui Huang, Keji Long, Hongru Xiao, Juan Zhou, Chaoyong Tu, Liyan Xie, Yongqian Li and Dan Xiang
Atmosphere 2026, 17(3), 273; https://doi.org/10.3390/atmos17030273 - 5 Mar 2026
Viewed by 240
Abstract
In July 2024, a severe rainfall event struck Sichuan Province, Southwest China, triggering deadly landslides and causing significant societal impacts. This study investigates the spatiotemporal characteristics and underlying mechanisms of the event using high-resolution surface observations, radar reflectivity, and ERA5 reanalysis data. The [...] Read more.
In July 2024, a severe rainfall event struck Sichuan Province, Southwest China, triggering deadly landslides and causing significant societal impacts. This study investigates the spatiotemporal characteristics and underlying mechanisms of the event using high-resolution surface observations, radar reflectivity, and ERA5 reanalysis data. The rainfall exhibited distinct mesoscale organization, with two primary precipitation centers identified: subregion A located within the plateau-lain transitional zone of the western Sichuan Basin, and subregion B situated over the Chengdu Plain. Synoptic-scale analysis indicated that the rainfall developed under favorable large-scale atmospheric conditions, including a mid-tropospheric trough, a pronounced low-level jet, and a well-defined Southwest Vortex (SWV), which is a dominant lower-tropospheric circulation system in this region. The evolution of rainfall was closely tied to the initiation and subsequent eastward progression of the SWV. The rainfall-producing mesoscale convective system (MCS) first formed over subregion A at approximately 2300 BST (UTC + 8) on 19 July. Vorticity budget diagnostics revealed that vertical advection and low-level convergence significantly contributed to vortex intensification during this initial phase, closely associated with the orographic lifting of low-level airflow. Convective activity in subregion B commenced roughly four hours later, coinciding with the eastward propagation of the SWV, during which horizontal vorticity advection became the primary mechanism sustaining the vortex. After 1400 BST on 20 July, the SWV weakened significantly, leading to the dissipation of the MCS and the cessation of rainfall. Full article
Show Figures

Figure 1

14 pages, 1189 KB  
Article
A Five-Year Study on Treatment Changes in Hypoglycemia-Associated Medications: Towards Personalized Diabetes Management
by Amal Asiri, Indriastuti Cahyaningsih, Stijn de Vos, Jens H. J. Bos, Catharina C. M. Schuiling-Veninga, Eelko Hak, Sumaira Mubarik, Petra Denig and Katja Taxis
J. Pers. Med. 2026, 16(3), 150; https://doi.org/10.3390/jpm16030150 - 4 Mar 2026
Viewed by 426
Abstract
Background: Understanding patient-specific patterns of medication intensification and de-intensification is essential for personalizing diabetes management and minimizing hypoglycemia risk in patients with type 2 diabetes. Objectives: To assess treatment changes in hypoglycemia-associated medications over five years and explore patient characteristics associated [...] Read more.
Background: Understanding patient-specific patterns of medication intensification and de-intensification is essential for personalizing diabetes management and minimizing hypoglycemia risk in patients with type 2 diabetes. Objectives: To assess treatment changes in hypoglycemia-associated medications over five years and explore patient characteristics associated with these changes. Methods: We conducted a longitudinal cohort study using the IADB.nl database containing prescription data from Dutch community pharmacies. Individuals aged ≥35 years with at least two dispensations of glucose-lowering medications were identified. We estimated transition probabilities of changes in hypoglycemia-associated medications (sulfonylureas and/or insulin) using a Markov model for each year of follow-up. Associations with age, sex, and estimated hypoglycemia risk were explored with regression analysis. Results: Overall, 25,057 patients were included. Medication remained unchanged for the majority of the patients in the follow-up period. De-intensification increased from 4.7% (Year 1) to 6.5% (Year 5), while intensification decreased from 7.7% to 6.9% over the same period. Markov models showed that patients predominantly remained in a no change state over 5 years (transition probabilities: 0.92–0.94). High estimated hypoglycemia risk, age and being female were associated with intensification and/or de-intensification. Conclusions: While treatment regimens remained unchanged for most patients, de-intensification of hypoglycemia-associated medications increased modestly over five years. Factors like hypoglycemia risk, age and sex influenced changes. These findings support the need for personalized, risk-stratified approaches to diabetes medication management. Full article
(This article belongs to the Section Personalized Therapy in Clinical Medicine)
Show Figures

Figure 1

19 pages, 3174 KB  
Article
Multichamber Strain Imaging and Biomarker Profiling for 1-Year Risk Stratification in Pediatric Dilated Cardiomyopathy
by Iolanda Muntean, Asmaa-Carla Hagau, Diana-Ramona Iurian, Beatrix Julia Hack, Diana Muntean and Horatiu Suciu
Life 2026, 16(3), 369; https://doi.org/10.3390/life16030369 - 24 Feb 2026
Viewed by 369
Abstract
Dilated cardiomyopathy (DCM) in children is rare, but carries a high risk of progression to advanced heart failure (HF) and heart transplant (HTx). Improved short-term risk stratification is essential; however, robust pediatric prognostic tools remain limited. We aimed to evaluate the 1-year prognostic [...] Read more.
Dilated cardiomyopathy (DCM) in children is rare, but carries a high risk of progression to advanced heart failure (HF) and heart transplant (HTx). Improved short-term risk stratification is essential; however, robust pediatric prognostic tools remain limited. We aimed to evaluate the 1-year prognostic value of multichamber speckle-tracking echocardiography (STE) and biomarkers, including age-adjusted N-terminal pro-B-type natriuretic peptide (NT-proBNP) and vitamin D, in children with DCM. In this single-centre prospective cohort study, 29 children with idiopathic DCM and 27 age- and sex-matched healthy controls underwent standardised clinical, laboratory, and echocardiographic assessment. The primary endpoint was a 12-month composite of implantation of an implantable cardioverter-defibrillator (ICD), left-ventricular assist device (LVAD), HTx, or all-cause mortality. During a 1-year follow-up, 9/29 (31%) DCM patients experienced major events. Compared with event-free patients and controls, children with events had more impaired LVGLS (−5.99 ± 2.45% vs. −13.44 ± 6.88% and −19.98 ± 3.25%), lower LASr (10.97 ± 7.67% vs. 25.36 ± 10.28% and 44.0 ± 11.43%), and reduced RVFWSL (−15.32 ± 5.24% vs. −23.13 ± 8.55% and −24.78 ± 4.45%; all p < 0.01). Zlog NT-proBNP was markedly higher in the event group (5.37 [5.00–6.08] vs. 2.28 [0.71–3.68] and 0.14 [−0.02–0.88]). LVGLS, Zlog NT-proBNP, and LASr showed excellent discrimination for 1-year events (AUC 0.91, 0.91, and 0.87, respectively), with clinically applicable cut-offs (LVGLS ≥ −8%, Zlog NT-proBNP ≥ 4.6, LASr ≤ 21%). In conclusion, multichamber strain imaging combined with age-adjusted NT-proBNP provides clinically relevant, exploratory markers for short-term risk stratification in pediatric DCM, supporting earlier intensification of follow-up and timely referral for advanced heart failure therapies. These findings warrant validation in larger multicenter cohorts. Full article
Show Figures

Figure 1

26 pages, 922 KB  
Review
Application of Freeze-Drying Technology in the Food Industry: A Review
by Angelique Uwineza and Xiaojun Zhang
Foods 2026, 15(4), 790; https://doi.org/10.3390/foods15040790 - 23 Feb 2026
Viewed by 1882
Abstract
Freeze-drying, also known as lyophilization, is a state-of-the-art method for preserving food, offering excellent retention properties for nutrients, structure, and taste compared to other drying processes. Freeze-drying yields a product visually similar to fresh produce. However, due to the high energy requirements and [...] Read more.
Freeze-drying, also known as lyophilization, is a state-of-the-art method for preserving food, offering excellent retention properties for nutrients, structure, and taste compared to other drying processes. Freeze-drying yields a product visually similar to fresh produce. However, due to the high energy requirements and operational costs associated with the process, its broader use as an industrial tool is limited. This review encompasses the optimization of all key stages, including pretreatment, freezing, primary drying, secondary drying, and storage. Process efficiency and product quality depend on a variety of factors, including raw material composition, pretreatment strategies (e.g., Pulsed Electric Fields), chamber pressure, shelf temperature, and freezing rate. These parameters are critical control points for determining the final product outcome. Optimizing these parameters is essential; as summarized by recent research, lyophilization effectively protects bioactive compounds, color, flavor, and rehydration ability in various food systems, including fruits, vegetables, meats, seafood, and specialty products. To achieve broader industrial adoption, this gold-standard method requires advancements in process intensification and hybrid drying systems, potentially integrated with intelligent process control. These advances are crucial to enhancing the economic viability of freeze-dried products and maintaining their reputation as the gold standard in creating high-quality, shelf-stable food products. This review consolidates current knowledge into a coherent conceptual model. The model clarifies the deterministic sequence by which adjustable processing conditions direct essential physicochemical changes within the food matrix, thereby defining the product ultimate nutritional, sensory, and stability properties. Establishing this cause-and-effect framework provides a foundation for systematic process improvement and facilitates broader commercial implementation. Full article
(This article belongs to the Section Food Engineering and Technology)
Show Figures

Figure 1

15 pages, 1669 KB  
Article
Impact of Large-Scale Wildfires and Meteorological Factors on PM Concentrations in Agricultural Regions: Non-Linear Relationship Analysis Using GAM
by Hee-Jin Kim, Ki-Youn Kim and Jin-Ho Kim
Atmosphere 2026, 17(2), 216; https://doi.org/10.3390/atmos17020216 - 19 Feb 2026
Viewed by 447
Abstract
The intensification of large-scale wildfires, driven by climate change, presents a critical threat to agricultural ecosystems, specifically during the vulnerable sowing season in March. Departing from the prevailing focus on urban air quality, this study elucidates the spatiotemporal dynamics of particulate matter (PM) [...] Read more.
The intensification of large-scale wildfires, driven by climate change, presents a critical threat to agricultural ecosystems, specifically during the vulnerable sowing season in March. Departing from the prevailing focus on urban air quality, this study elucidates the spatiotemporal dynamics of particulate matter (PM) in eight major Korean agricultural regions during the March 2025 wildfires. By employing a Generalized Additive Model (GAM), we characterized the complex non-linear interactions between PM concentrations and meteorological variables. The analysis reveals a substantial elevation in PM levels during the wildfire event relative to the pre-fire baseline. Most notably, the Sangju region experienced the most acute accumulation, with PM-10 and PM-2.5 concentrations surging by 74% and 46%, respectively; this intensification was significantly compounded by topographic trapping and surface inversion phenomena. Furthermore, GAM results identified temperature and relative humidity as the primary determinants of PM retention, whereas wind speed demonstrated a distinct non-linear, U-shaped effect, facilitating particulate resuspension at higher velocities. These findings quantitatively underscore the susceptibility of agricultural environments to wildfire-induced aerosols and highlight the imperative for establishing agriculture-specific monitoring networks and early warning protocols to safeguard crop productivity. Full article
(This article belongs to the Section Air Quality)
Show Figures

Figure 1

28 pages, 11993 KB  
Article
Transitions Between Circulation Regimes: The Role of Tropical Heating
by Ralph D. Getzandanner and David M. Straus
Atmosphere 2026, 17(2), 201; https://doi.org/10.3390/atmos17020201 - 13 Feb 2026
Viewed by 276
Abstract
Four Euro-Atlantic (EA) circulation regimes are identified using cluster analysis applied to 500 hPa geopotential heights from the ERA-Interim (ERAI) reanalysis. These are the positive and negative phases of the North Atlantic Oscillation (NAO+, NAO−), Scandinavian Blocking (SB), and the Atlantic Ridge (AR). [...] Read more.
Four Euro-Atlantic (EA) circulation regimes are identified using cluster analysis applied to 500 hPa geopotential heights from the ERA-Interim (ERAI) reanalysis. These are the positive and negative phases of the North Atlantic Oscillation (NAO+, NAO−), Scandinavian Blocking (SB), and the Atlantic Ridge (AR). This paper studies transitions between these four regimes, the signature of tropical heating preceding these transitions, and the identification of transitions for which this forcing plays a role. The findings can further our understanding of when transitions occur. To address these questions, we examine the relationship of heating to the Madden–Julian Oscillation (MJO), the El Niño Southern Oscillation (ENSO), shifts in the Intertropical Convergence Zone (ITCZ), and possible stratospheric influences. Mid-latitude diabatic heating is also examined to determine shifts in the storm tracks. We use the ERAI reanalysis to estimate diabatic heating, streamfunction, Rossby wave activity, and stratospheric zonal winds. We find that Indian Ocean tropical heating enhances the transition from the SB regime to the NAO+ regime. In contrast, western Pacific heating seems to force transitions from all other regimes into the NAO− regime. The flux of Rossby wave activity indicates that in some transitions, mid-latitudes play a role in forcing tropical heating. The majority of the transitions examined show indications of tropically forced behavior. Less than half showed evidence that mid-latitude dynamics were the primary cause of the transition. Nearly half of the transitions appeared to be related to phases of the MJO. We also found that intensification of heating in the eastern equatorial Pacific and equatorial Atlantic (ITCZ) plays a role. Transitions during the early and late parts of the season, along with the role of ENSO, are found to be modest factors. Full article
(This article belongs to the Special Issue Recent Advances in Subseasonal to Seasonal Predictability)
Show Figures

Figure 1

Back to TopTop