Sign in to use this feature.

Years

Between: -

Subjects

remove_circle_outline
remove_circle_outline
remove_circle_outline
remove_circle_outline
remove_circle_outline
remove_circle_outline
remove_circle_outline
remove_circle_outline
remove_circle_outline

Journals

remove_circle_outline
remove_circle_outline
remove_circle_outline
remove_circle_outline
remove_circle_outline
remove_circle_outline
remove_circle_outline
remove_circle_outline
remove_circle_outline
remove_circle_outline
remove_circle_outline
remove_circle_outline

Article Types

Countries / Regions

remove_circle_outline
remove_circle_outline
remove_circle_outline
remove_circle_outline
remove_circle_outline
remove_circle_outline

Search Results (842)

Search Parameters:
Keywords = price gap

Order results
Result details
Results per page
Select all
Export citation of selected articles as:
443 KB  
Proceeding Paper
Price Gap Analysis in the Cypriot Food Supply Chain: The Case of Fresh Fruits and Vegetables
by Andreas Stylianou and Marianthi Giannakopoulou
Proceedings 2026, 134(1), 14; https://doi.org/10.3390/proceedings2026134014 - 30 Dec 2025
Abstract
This study explores the gap between producer price (PP) and consumer price (CP) in Cyprus’s fresh fruit and vegetable supply chain (2020–2022). Results show persistent disparities, with PP consistently below half of CP. Marketing margins in Cyprus exceed those in other EU countries, [...] Read more.
This study explores the gap between producer price (PP) and consumer price (CP) in Cyprus’s fresh fruit and vegetable supply chain (2020–2022). Results show persistent disparities, with PP consistently below half of CP. Marketing margins in Cyprus exceed those in other EU countries, suggesting systemic inefficiencies such as weak producer organizations, intermediaries’ concentration, high logistics costs, and limited market transparency. Addressing these issues requires strengthening producer groups, enhancing transparency, promoting short supply chains, and reducing market concentration to ensure fairer supply chains. Full article
Show Figures

Figure 1

24 pages, 2239 KB  
Article
Smart Farming and the SDGs: Emerging Research Patterns and Sustainability Implications
by Carlos Barroso-Barroso, Alejandro Vega-Muñoz, Juan Maradiaga-López, Guido Salazar-Sepúlveda and Remik Carabantes-Silva
Agriculture 2026, 16(1), 81; https://doi.org/10.3390/agriculture16010081 (registering DOI) - 30 Dec 2025
Abstract
Smart farming integrates digital technologies to optimize agricultural production and promote sustainability. Its impact depends both on technological development and adoption by farmers. Research shows significant progress, but technical and socio-behavioral gaps remain, requiring integrated approaches to strengthen its contribution to the SDGs. [...] Read more.
Smart farming integrates digital technologies to optimize agricultural production and promote sustainability. Its impact depends both on technological development and adoption by farmers. Research shows significant progress, but technical and socio-behavioral gaps remain, requiring integrated approaches to strengthen its contribution to the SDGs. In this context, scientific research on smart farming has grown significantly, becoming a key axis for the fulfillment of the Sustainable Development Goals (SDGs). The aim of this study was to analyze the evolution, structure, and impact of scientific production in smart farming, identifying its main trends, authors, journals, and contributions to the SDGs. To this end, a bibliometric analysis was applied to 1580 articles indexed in the Web of Science (WoS) database, using productivity, citation, and impact indicators based on Price’s, Lotka’s, Bradford’s, and Zipf’s laws, as well as the Hirsch index. The results reveal important growth in scientific production between 2014 and 2024, with a strong concentration in high-impact journals and international collaboration networks. In conclusion, smart farming represents an engine of innovation and sustainability, integrating science, technology, and digital management to address the global challenges of food security, climate change, and sustainable development. Full article
Show Figures

Graphical abstract

17 pages, 288 KB  
Article
Sustainable Performance Drivers in Central and Eastern European IT Firms: A Multi-Theoretical and Empirical Analysis
by Mariana Ciurel and Dana-Corina Deselnicu
Sustainability 2026, 18(1), 352; https://doi.org/10.3390/su18010352 (registering DOI) - 29 Dec 2025
Abstract
This study investigates the determinants of financial and market-based sustainability among listed Information Technology (IT) firms in Central and Eastern Europe (CEE) between 2018 and 2024. Drawing on Agency Theory, Stakeholder Theory, Resource-Based View Theory, Dynamic Capabilities Theory and Legitimacy Theory, it examines [...] Read more.
This study investigates the determinants of financial and market-based sustainability among listed Information Technology (IT) firms in Central and Eastern Europe (CEE) between 2018 and 2024. Drawing on Agency Theory, Stakeholder Theory, Resource-Based View Theory, Dynamic Capabilities Theory and Legitimacy Theory, it examines how leverage, profitability, growth and earnings quality shape firm performance and valuation outcomes. Using a balanced panel of 266 firm-year observations from Poland, Romania, Hungary and Croatia, the analysis applies fixed-effects Ordinary Least Squares (OLS) regressions with heteroscedasticity-robust (HC3) standard errors. The results reveal that lower leverage significantly enhances return on equity, confirming agency-based governance effects, while revenue growth and earnings per share (EPS) are strong positive predictors of profitability. On the contrary, rapid growth increases Stock Price Volatility, reflecting a risk–return trade-off typical of emerging technology markets. Market valuation ratios (P/E) show weak sensitivity to fundamentals, suggesting that investor confidence in CEE IT firms remains partially institutionally constrained. Overall, the findings emphasise that sustainable performance in transitional economies depends more on internal capability deployment and governance discipline than on market perception, highlighting the maturity gap between operational excellence and valuation transparency in the regional IT sector. Full article
27 pages, 1371 KB  
Article
The Thermodynamic Cliff: Pricing the Climate Adaptation Gap in Digital Infrastructure
by Seyedarash Aghili and Mehmet Nurettin Uğural
Systems 2026, 14(1), 34; https://doi.org/10.3390/systems14010034 - 26 Dec 2025
Viewed by 151
Abstract
Conventional climate-risk frameworks, ranging from ESG ratings to Integrated Assessment Models (IAMs), systematically underestimate physical risks by overlooking the non-linear physics that govern infrastructure failure. These top-down models perceive climate change as a manageable operational expense, thereby obscuring the substantial capital requirements necessary [...] Read more.
Conventional climate-risk frameworks, ranging from ESG ratings to Integrated Assessment Models (IAMs), systematically underestimate physical risks by overlooking the non-linear physics that govern infrastructure failure. These top-down models perceive climate change as a manageable operational expense, thereby obscuring the substantial capital requirements necessary to sustain system reliability as global temperatures escalate. This study proposes a physics-first framework to quantify the “Adaptation Gap”—a measurable, unaccounted-for capital liability representing the additional cost needed to upgrade assets to maintain fault tolerance. Within this specific geographic and asset context, it has been determined that restoring fault tolerance for new equipment necessitates a 19.7% (95% CI: 16.5–22.9%) increase in capital expenditure, which increases the Adaptation Gap to 28.7% for typical in-service assets, potentially increasing the true cost for aging assets to between 25% and 30%. Although the quantitative findings are specific to the case study, the methodological framework—assessed as superior to traditional risk metrics—is designed for global application in pricing the Adaptation Gap across all infrastructure sectors with thermal constraints. Our methodology provides a blueprint for establishing a new standard of climate-adjusted valuation, transforming abstract physical risks into a tangible, auditable capital liability. Full article
Show Figures

Figure 1

27 pages, 989 KB  
Article
Developing Data-Driven, Sustainable Construction Material Transportation Logistics
by John Tookey and Kamal Dhawan
Sustainability 2026, 18(1), 263; https://doi.org/10.3390/su18010263 - 26 Dec 2025
Viewed by 284
Abstract
Construction logistics is central to optimising site operations and delivery processes, yet the need to meet dynamic site requirements while minimising transport movements presents a persistent challenge. Transport efficiency can be improved through both strategic and operational interventions at the business-unit level. This [...] Read more.
Construction logistics is central to optimising site operations and delivery processes, yet the need to meet dynamic site requirements while minimising transport movements presents a persistent challenge. Transport efficiency can be improved through both strategic and operational interventions at the business-unit level. This study examines transport-related distribution practices within the plasterboard supply chain in Auckland, New Zealand, and evaluates opportunities to enhance efficiency using established performance metrics. By integrating supply chain management and circular economy principles through spatial analysis and supply chain modelling, the research demonstrates the potential to achieve up to a three-fold improvement in vehicle capacity utilisation. The operational analysis—focused on general-purpose (non-specialist) transport—is grounded in real-world transport data that extends beyond conventional trip-centricity to capture a broader supply chain perspective. This approach addresses a key methodological gap by empirically validating analytical models in a specific operational context. In addition to quantifying efficiency gains, the study identifies context-specific inefficiencies that constrain construction transport performance and proposes sustainable solutions that extend beyond technological fixes. These include strategic organisational measures for improving fleet management, transport contracting and pricing, collaborative planning across supply chain actors, waste management practices, and collaborative logistics through integrated warehousing. By linking technical analysis with business-oriented insights, the research provides proof-of-concept for practical, scalable strategies for improved construction logistics and wider freight transport efficiency grounded in empirical evidence. Full article
Show Figures

Figure 1

32 pages, 1869 KB  
Article
A CVaR-EIGDT-Based Multi-Stage Rolling Trading Strategy for a Virtual Power Plant Participating in Multi-Level Coupled Markets
by Haodong Zeng, Haoyong Chen and Shuqin Zhang
Processes 2026, 14(1), 77; https://doi.org/10.3390/pr14010077 - 25 Dec 2025
Viewed by 163
Abstract
A virtual power plant (VPP) faces multiple uncertainties and temporal coupled decisions when participating as an independent entity in electricity and green markets. A multi-level electricity–green coupled market framework is constructed for a VPP participating as an independent market entity. To address uncertainties [...] Read more.
A virtual power plant (VPP) faces multiple uncertainties and temporal coupled decisions when participating as an independent entity in electricity and green markets. A multi-level electricity–green coupled market framework is constructed for a VPP participating as an independent market entity. To address uncertainties in renewable energy outputs and market prices, a risk management method based on conditional value at risk entropy weight method information gap decision theory (CVaR-EIGDT) is proposed. To address the temporal coupled challenges in VPP participation across multi-level electricity–green coupled markets, a multi-stage rolling decision-making method coordinating annual, monthly, and daily scales is proposed, achieving deep coupling in the decision-making sequence of multi-level electricity–green coupled markets. Results show that the proposed model enables adaptive decision-making under varying risk preferences, with decisions exhibiting strong practical adaptability while balancing real-time adjustments and long-term planning. The multi-level electricity–green coupled market framework enhances VPP profitability and resilience, while the CVaR-EIGDT method effectively improves decision-making efficiency across multi-level electricity–green coupled markets. Full article
Show Figures

Figure 1

21 pages, 708 KB  
Article
Bridging the Resilience Gap: How Ukraine’s Gas Network and UGS De-Risk Europe’s Sustainable Transition Beyond 2025
by Sérgio Lousada, Dainora Jankauskienė, Vivita Pukite, Oksana Zubaka, Liudmyla Roman and Svitlana Delehan
Sustainability 2026, 18(1), 136; https://doi.org/10.3390/su18010136 - 22 Dec 2025
Viewed by 201
Abstract
Europe’s energy transition beyond 2025 faces a resilience gap as reconfigured pipeline flows, stricter methane rules, and rising variable renewables increase the need for seasonal flexibility and system adequacy. This study examines how Ukraine’s gas transmission network and underground gas storage—among the largest [...] Read more.
Europe’s energy transition beyond 2025 faces a resilience gap as reconfigured pipeline flows, stricter methane rules, and rising variable renewables increase the need for seasonal flexibility and system adequacy. This study examines how Ukraine’s gas transmission network and underground gas storage—among the largest in Europe—can serve as a “seasonal battery” for the EU. We integrate a policy and market review with quantitative scenarios for 2026–2030. Methods include security-of-supply indicators (the rule that the system must keep operating even if its largest single infrastructure element fails, peak-day coverage, and winter adequacy), estimates of market-accessible storage volumes and withdrawal rates for European market participants, and a techno-economic screening of hydrogen-readiness comparing repurposing with new-build options. Methane intensity constraints and compliance with monitoring, reporting, and verification and leak detection and repair requirements are applied. The results indicate that reallocating part of Europe’s seasonal balancing to Ukrainian underground gas storage can enhance resilience to extreme winter demand and liquefied natural gas price shocks, reduce price volatility and the curtailment of variable renewables, and enable phased, cost-effective hydrogen corridors via repurposable pipelines and compressors. We outline a policy roadmap specifying transparent access rules, interoperable gas quality and methane standards, and risk mitigation instruments needed to operationalise cross-border storage and hydrogen-ready investments without carbon lock-in. Full article
Show Figures

Figure 1

17 pages, 1763 KB  
Article
Ecological Awareness and Behavioral Intentions Toward Sustainable Building Materials in Poland: Evidence from a Multi-Wave Nationwide Survey
by Bartosz Dendura and Anna Porębska
Sustainability 2026, 18(1), 102; https://doi.org/10.3390/su18010102 - 22 Dec 2025
Viewed by 139
Abstract
Achieving climate neutrality in construction requires more than available low-carbon technologies; it also depends on informed demand and consumers’ willingness to adopt sustainable materials. This paper examines ecological awareness, attitudes, and behavioral intentions toward eco-friendly building materials in Poland, using four independent waves [...] Read more.
Achieving climate neutrality in construction requires more than available low-carbon technologies; it also depends on informed demand and consumers’ willingness to adopt sustainable materials. This paper examines ecological awareness, attitudes, and behavioral intentions toward eco-friendly building materials in Poland, using four independent waves of a nationwide online survey (CAWI) conducted in 2023 and 2025 (N ≈ 1000 per wave; adults aged 18–80). The questionnaires measured environmental awareness; willingness to pay a price premium (WTP) for properties built with eco-materials; actual purchasing behavior during renovations; support for regulations mandating developers’ use of ecological materials; and key socio-demographic factors. While the results confirm a pronounced attitude–behavior gap, the article details the research design and analytical approach, reports awareness, attitudes, and WTP across waves and subgroups, and discusses implications for “soft” interventions (e.g., norms, information, defaults) that can complement regulatory frameworks and financial incentives. It concludes with limitations and practical recommendations for policymakers, industry, and civil society to accelerate the adoption of low-emission materials. Full article
Show Figures

Figure 1

28 pages, 1507 KB  
Article
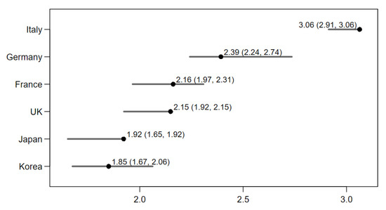
Measuring Real Energy Price Gaps: The Real PLI Framework for Competitiveness Monitoring
by Koji Nomura and Sho Inaba
Sustainability 2026, 18(1), 84; https://doi.org/10.3390/su18010084 - 20 Dec 2025
Viewed by 211
Abstract
Global energy markets have experienced persistent dispersion in real energy prices, creating structural competitiveness pressures that standard indicators often fail to capture in real time. These pressures have intensified as energy-intensive sectors face asymmetric exposure across advanced and emerging economies. This study addresses [...] Read more.
Global energy markets have experienced persistent dispersion in real energy prices, creating structural competitiveness pressures that standard indicators often fail to capture in real time. These pressures have intensified as energy-intensive sectors face asymmetric exposure across advanced and emerging economies. This study addresses two critical gaps in international energy cost competitiveness. The first is a frequency gap: conventional indicators such as the Real Unit Energy Cost (RUEC) are typically published with delays of 2–5 years, limiting their usefulness for timely policy evaluation. Here, both RUEC and the Real Price Level Index for energy (Real PLI)—the ratio of the Purchasing Power Parity (PPP) for energy to that for GDP—are measured with only a 2–3-month lag for nine countries—four in Asia, four in Europe, and the U.S. The second is a competitiveness gap that calls for policy responses. Real PLIs indicate that the energy price disadvantages of Japan, Korea, France, Germany, Italy, and the UK have widened from 1.76–2.91 times the U.S. level before the pandemic to 2.14–3.28 times by Q3 2025, with the gaps relative to China and India also widening. Once country-specific thresholds are exceeded, output in energy-intensive and trade-exposed (EITE) industries tends to contract disproportionately. These findings highlight that sustainable transitions require not only internationally differentiated burden-sharing but also structural reforms to avoid persistent widening of energy price gaps. The Real PLI framework provides a timely indicator of competitiveness and an early-warning tool, signaling when growing asymmetries may undermine policy feasibility. Policy implications include the need to monitor real energy price dispersion as a core source of competitiveness risk, to strengthen structural measures that stabilize marginal energy costs, and to design transition pathways that account for heterogeneous adjustment pressures across countries. Full article
(This article belongs to the Special Issue Energy Transition, Sustainable Growth and Economic Development)
Show Figures

Figure 1

35 pages, 2970 KB  
Article
Sustainable Land-Use Policy: Land Price Circuit Breaker
by Jianhua Wang
Sustainability 2025, 17(24), 11232; https://doi.org/10.3390/su172411232 - 15 Dec 2025
Viewed by 233
Abstract
Rising residential land prices push up housing prices and worsen credit misallocation. These patterns emerge amid cyclical real estate fluctuations and heavy land-based public finance. Such pressures undermine macroeconomic stability and sustainable land-use. The land price circuit breaker is widely applied with a [...] Read more.
Rising residential land prices push up housing prices and worsen credit misallocation. These patterns emerge amid cyclical real estate fluctuations and heavy land-based public finance. Such pressures undermine macroeconomic stability and sustainable land-use. The land price circuit breaker is widely applied with a price cap and state dependence, yet its trigger mechanism and interaction with inflation targeting remain underexplored. This study addresses three core questions. First, how does the circuit breaker’s discrete trigger and rule-switching logic differ from traditional static price ceilings? Second, can the mechanism, via the collateral channel, restrain excessive land price hikes, improve credit allocation, and, thereby, stabilize land price dynamics and long-run macroeconomic performance? Third, how does the circuit breaker interact with inflation targeting, and through which endogenous channels does a strict target dampen housing prices and raise activation probability? This study develops a multi-sector DSGE model with an embedded land price circuit breaker. The price cap is modeled as an occasionally binding constraint. A dynamic price band and trigger indicator capture the policy’s switch between slack and binding states. The framework incorporates interactions among local governments, the central bank, developers, and households. It also links firms and the secondary housing market. Under different inflation-targeting rules, this study uses impulse responses, an event study, and welfare analysis to assess trigger conditions and macroeconomic effects. The findings are threefold. First, a strict inflation target increases the probability of a circuit breaker being triggered. It channels housing-demand shocks toward land prices and creates a “nominal anchor–relative price constraint” linkage. Second, once activated, the circuit breaker narrows the gap between land price and house-price growth. It weakens the procyclicality of collateral values. It also restrains credit expansion by impatient households. These effects redirect credit toward firms, improve corporate financing, reduce the decline in investment, and accelerate output recovery. Third, the circuit breaker limits new land supply and shifts demand toward the secondary housing market. This generates a supply-side effect that releases existing stock and stabilizes prices, thereby weakening the amplification mechanism of housing cycles. This study identifies the endogenous trigger logic and cross-market transmission of the land price circuit breaker under a strict inflation target. It shows that the mechanism is not merely a price-management tool in the land market but a systemic policy variable that links the real estate, finance, and fiscal sectors. By dampening real estate procyclicality, improving credit allocation, and stabilizing macroeconomic fluctuations, the mechanism offers new insights for sustainable land-use policy and macroeconomic stabilization. Full article
(This article belongs to the Section Economic and Business Aspects of Sustainability)
Show Figures

Figure 1

34 pages, 487 KB  
Article
Adoption of 3D-Printed Food in Romania: Price Perception as a Key Determinant of Consumer Acceptance
by Iuliana Petronela Gârdan, Mihai Ioan Roșca, Daniel Adrian Gârdan, Mihai Andronie, Laura Daniela Roșca and Carmen Adina Paștiu
Foods 2025, 14(24), 4306; https://doi.org/10.3390/foods14244306 - 14 Dec 2025
Viewed by 208
Abstract
Three-dimensional printed food has rapidly positioned itself at the intersection of food technology and personalized nutrition, opening up new perspectives for sustainable production, creative customization, and more efficient resource use. Although global interest in this innovation continues to grow, consumer acceptance remains largely [...] Read more.
Three-dimensional printed food has rapidly positioned itself at the intersection of food technology and personalized nutrition, opening up new perspectives for sustainable production, creative customization, and more efficient resource use. Although global interest in this innovation continues to grow, consumer acceptance remains largely underexplored in Central and Eastern Europe. This study analyzes how Romanian consumers approach the adoption of 3D-printed food by applying an extended UTAUT2 framework to a sample of 608 urban respondents. Using structural equation modeling, it examines the influence of expected effort, performance expectancy, social influence, and perceived compatibility on adoption intention, while price perception is introduced as a key mediating variable—a novel and meaningful contribution to the literature on food technology acceptance. Given the non-probabilistic sampling design, the difficulties encountered in measuring Hedonic Motivation and Facilitating Conditions, and the early diffusion stage of 3D food printing in Romania, the present work should be viewed as a robust exploratory investigation based on Structural Equation Modeling (SEM) among urban Romanian consumers, providing first empirical evidence on 3D-printed food acceptance in Eastern Europe rather than definitive conclusions for the entire population. The results highlight that utilitarian and social factors are decisive: expected effort enhances perceived performance, while performance, social influence, and compatibility significantly strengthen perceptions of price fairness. In turn, price perception strongly predicts consumers’ behavioral intention to adopt 3D-printed food. Hedonic motivation and facilitating conditions were not statistically significant and were therefore removed from the final model. These findings show that, in emerging food markets, consumers tend to make adoption decisions based more on rational value assessments than on novelty or convenience. The study contributes to theory by embedding price perception into the UTAUT2 framework and to practice by identifying the key elements that can boost market readiness—transparent pricing and closer alignment with consumer values. By filling an important gap in the empirical literature from Eastern Europe and focusing on price as a cognitive bridge between technological and psychological drivers, this paper offers a timely and relevant contribution to ongoing research on consumer perception and acceptance of food innovations. For Eastern European food innovation research, this study provides one of the first quantitative analyses of 3D-printed food acceptance that explicitly links technology-related beliefs to price perception in a regional, price-sensitive context. Full article
(This article belongs to the Section Sensory and Consumer Sciences)
Show Figures

Figure 1

29 pages, 1140 KB  
Article
Nonlinear and Spatial Effects of Housing Prices on Urban–Rural Income Inequality: Evidence from Dynamic Spatial Threshold Models in Mainland China
by Mingyang Li, Woraphon Yamaka and Paravee Maneejuk
Mathematics 2025, 13(24), 3960; https://doi.org/10.3390/math13243960 - 12 Dec 2025
Viewed by 367
Abstract
This study investigates how housing prices influence urban–rural income inequality (URG) in mainland China by explicitly incorporating spatial interdependence and nonlinear adjustment mechanisms, features often neglected in previous research. Using a balanced panel of 31 provinces from 2005 to 2023, we develop a [...] Read more.
This study investigates how housing prices influence urban–rural income inequality (URG) in mainland China by explicitly incorporating spatial interdependence and nonlinear adjustment mechanisms, features often neglected in previous research. Using a balanced panel of 31 provinces from 2005 to 2023, we develop a dynamic spatial panel threshold model that jointly accounts for temporal persistence, spatial spillovers, and regime-dependent estimation. This framework enables a full decomposition of housing price effects into direct, indirect (spillover), and total impacts across distinct market regimes. The results reveal three major insights. First, URG in mainland China displays strong temporal persistence, suggesting that income disparities evolve gradually over time. Second, rising housing prices significantly widen the urban–rural income gap, both within provinces and through interprovincial transmission, underscoring the amplifying role of spatial spillovers. Third, threshold estimation identifies a critical housing price level of ln(HP) = 8.4843 (approximately 4838.21 RMB/m2), revealing that the inequality-enhancing effect of housing prices is stronger in low-price regions but diminishes as markets mature and affordability constraints intensify. These findings provide new empirical evidence that the housing market functions as a nonlinear and asymmetric driver of regional inequality in mainland China, with implications for housing policy and inclusive growth. Full article
Show Figures

Figure 1

22 pages, 1393 KB  
Review
Biogas Upgrading and Bottling Technologies: A Critical Review
by Yolanda Mapantsela and Patrick Mukumba
Energies 2025, 18(24), 6506; https://doi.org/10.3390/en18246506 - 12 Dec 2025
Viewed by 425
Abstract
Biogas upgrading and bottling represent essential processes in transforming raw biogas produced via the anaerobic digestion of organic waste into high-purity biomethane (≥95% CH4), a renewable energy source suitable for applications in cooking, transportation, and electricity generation. Upgrading technologies, such as [...] Read more.
Biogas upgrading and bottling represent essential processes in transforming raw biogas produced via the anaerobic digestion of organic waste into high-purity biomethane (≥95% CH4), a renewable energy source suitable for applications in cooking, transportation, and electricity generation. Upgrading technologies, such as membrane separation, pressure swing adsorption (PSA), water and chemical scrubbing, and emerging methods, like cryogenic distillation and supersonic separation, play a pivotal role in removing impurities like CO2, H2S, and moisture. Membrane and hybrid systems demonstrate high methane recovery (>99.5%) with low energy consumption, whereas chemical scrubbing offers superior gas purity but is limited by high operational complexity and cost. Challenges persist around material selection, safety standards, infrastructure limitations, and environmental impacts, particularly in rural and off-grid contexts. Bottled biogas, also known as bio-compressed natural gas (CNG), presents a clean, portable alternative to fossil fuels, contributing to energy equity, greenhouse gases (GHG) reduction, and rural development. The primary aim of this research is to critically analyze and review the current state of biogas upgrading and bottling systems, assess their technological maturity, identify performance optimization challenges, and evaluate their economic and environmental viability. The research gap identified in this study demonstrates that there is no comprehensive comparison of biogas upgrading technologies in terms of energy efficiency, price, scalability, and environmental impact. Few studies directly compare these technologies across various operational contexts (e.g., rural vs. urban, small vs. large scale). Additionally, the review outlines insights into how biogas can replace fossil fuels in transport, cooking, and electricity generation, contributing to decarbonization goals. Solutions should be promoted that reduce methane emissions, lower operational costs, and optimize resource use, aligning with climate targets. This synthesis highlights the technological diversity, critical barriers to scalability, and the need for robust policy mechanisms to accelerate the deployment of biogas upgrading solutions as a central component of a low-carbon, decentralized energy future. Full article
Show Figures

Figure 1

19 pages, 1448 KB  
Review
Transport Sector GHG Mitigation Measures: Abatement Costs Application Review
by Lorena Mirela Ricci, Daniel Neves Schmitz Gonçalves and Marcio de Almeida D’Agosto
Future Transp. 2025, 5(4), 195; https://doi.org/10.3390/futuretransp5040195 - 11 Dec 2025
Viewed by 207
Abstract
The transport sector is a major contributor to global greenhouse gas emissions, making its decarbonization critical for climate change mitigation efforts. The Marginal Abatement Cost (MAC) curve is a vital tool that evaluates the cost-effectiveness of mitigation measures by comparing their emission reduction [...] Read more.
The transport sector is a major contributor to global greenhouse gas emissions, making its decarbonization critical for climate change mitigation efforts. The Marginal Abatement Cost (MAC) curve is a vital tool that evaluates the cost-effectiveness of mitigation measures by comparing their emission reduction potential against their implementation costs. This paper conducts a literature review to analyze the application of the MAC curve in the transport sector, identifying common mitigation measures, comparing abatement costs, and assessing the tool’s role in shaping decarbonization policies. The findings reveal a predominance of technology-focused, bottom-up methodologies, with a significant research gap in the freight sector, which is largely overlooked compared with passenger transport. The results show that the abatement costs for similar measures vary considerably across geographical contexts, influenced by local factors such as fuel prices and gross domestic product (GDP). The analysis suggests that combining technological solutions with behavioral and structural changes creates synergistic effects, yielding greater benefits than isolated actions. The strong alignment observed between measures analyzed in the literature and subsequent national climate policies confirms the MAC curve’s strategic importance as an evidence-based instrument for policymakers to construct economically rational decarbonization pathways. Full article
Show Figures

Figure 1

43 pages, 2472 KB  
Article
Privacy-Preserving Federated Learning for Distributed Financial IoT: A Blockchain-Based Framework for Secure Cryptocurrency Market Analytics
by Oleksandr Kuznetsov, Saltanat Adilzhanova, Serhiy Florov, Valerii Bushkov and Danylo Peremetchyk
IoT 2025, 6(4), 78; https://doi.org/10.3390/iot6040078 - 11 Dec 2025
Viewed by 565
Abstract
The proliferation of Internet of Things (IoT) devices in financial markets has created distributed ecosystems where cryptocurrency exchanges, trading platforms, and market data providers operate as autonomous edge nodes generating massive volumes of sensitive financial data. Collaborative machine learning across these distributed financial [...] Read more.
The proliferation of Internet of Things (IoT) devices in financial markets has created distributed ecosystems where cryptocurrency exchanges, trading platforms, and market data providers operate as autonomous edge nodes generating massive volumes of sensitive financial data. Collaborative machine learning across these distributed financial IoT nodes faces fundamental challenges: institutions possess valuable proprietary data but cannot share it directly due to competitive concerns, regulatory constraints, and trust management requirements in decentralized networks. This study presents a privacy-preserving federated learning framework tailored for distributed financial IoT systems, combining differential privacy with Shamir secret sharing to enable secure collaborative intelligence across blockchain-based cryptocurrency trading networks. We implement per-layer gradient clipping and Rényi differential privacy composition to minimize utility loss while maintaining formal privacy guarantees in edge computing scenarios. Using 5.6 million orderbook observations from 11 cryptocurrency pairs collected across distributed exchange nodes, we evaluate three data partitioning strategies simulating realistic heterogeneity patterns in financial IoT deployments. Our experiments reveal that federated edge learning imposes 9–15 percentage point accuracy degradation compared to centralized cloud processing, driven primarily by data distribution heterogeneity across autonomous nodes. Critically, adding differential privacy (ε = 3.0) and cryptographic secret sharing increases this degradation by less than 0.3 percentage points when mechanisms are calibrated appropriately for edge devices. The framework achieves 62–66.5% direction accuracy on cryptocurrency price movements, with confidence-based execution generating 71–137 basis points average profit per trade. These results demonstrate the practical viability of privacy-preserving collaborative intelligence for distributed financial IoT while identifying that the federated optimization gap dominates privacy mechanism costs. Our findings offer architectural insights for designing trustworthy distributed systems in blockchain-enabled financial IoT ecosystems. Full article
(This article belongs to the Special Issue Blockchain-Based Trusted IoT)
Show Figures

Figure 1

Back to TopTop