Measuring Real Energy Price Gaps: The Real PLI Framework for Competitiveness Monitoring
Abstract
1. Introduction
2. Literature Review
2.1. Social Dimensions of Energy Costs
2.2. RUEC and Industrial Competitiveness
2.3. PPP-Based Energy Price Comparison
2.4. Gaps and Study Positioning
3. Measurement Framework
3.1. RUEC
3.2. Energy PPP
3.3. Energy PLI
4. Results
4.1. RUEC Gaps
4.2. Real PLI
4.3. Threshold Analysis
5. Discussion
5.1. Global Governance
5.2. Industry Dynamics
5.3. Structural Policy Design
5.4. Limitations and Further Research
6. Conclusions
Author Contributions
Funding
Institutional Review Board Statement
Informed Consent Statement
Data Availability Statement
Conflicts of Interest
Abbreviations
| EITE | Energy-intensive and trade-exposed |
| GEP | Gross energy productivity |
| PPP | Purchasing power parity |
| Real PLI | Real price level index for energy |
| RUEC | Real unit energy cost |
Appendix A
Appendix A.1
| Sectors (j) | |||||||||
| 1. Transformation sectors | 2. Non-transformation sectors | Total | |||||||
| 11. Electricity | 12. Heat | … | 21. Industries | 22. Transport | … | ||||
| Products ) | Transformation processes (Intermediate consumption) | Domestic products (D) | 0 | ||||||
| Imported products (M) | 0 | ||||||||
| Final energy consumption (FEC) | Domestic products (D) | 0 | |||||||
| Imported products (M) | 0 | ||||||||
| (a) Product () | |||
| 1-digit (6) | 3-digit (29) | 1-digit (6) | 3-digit (29) |
| 1. Coal products | 101. Coal | 4. Electricity | 401. Electricity |
| 102. Coal coke | 402. Autoproducer electricity | ||
| 103. Coal gas | 5. Heat | ||
| 104. Peat and peat products | 6. Others | 601. Waste | |
| 105. Oil shale and oil sands | 602. Biofuels | ||
| 2. Natural gas | 603. Nuclear | ||
| 3. Oil products | 301. Crude, NGL, and feedstocks | 604. Hydro | |
| 302. Liquefied petroleum gases | 605. Geothermal | ||
| 303. Motor gasoline excl. biofuels | 606. Solar photovoltaics | ||
| 304. Jet fuel | 607. Solar thermal | ||
| 305. Kerosene | 608. Tide, wave, and ocean | ||
| 306. Gas/diesel oil | 609. Wind | ||
| 307. Fuel oil | 610. Other sources | ||
| 308. Naphtha | |||
| 309. Lubricants | |||
| 310. Other oil product | |||
| (b) Sector () | |||
| 21. Industries | 211. EITE industries | ||
| 212. Non-EITE industries | |||
| 22. Transport | 221. Transport activities by households | ||
| 222. Transport activities by non-households | |||
| 23. Residential | |||
| 24. Commercial and public services | |||
| 25. Agriculture, forestry, and fishing | |||
Appendix A.2
- (1)
- Establishing initial benchmarking data: Construct volume and value balances of the annual sectoral energy accounts for the benchmark year (2015), and disaggregate them into monthly tables (January–December 2015) using monthly energy volume and value data (described in step 2), based on the proportional Denton method, which ensures that monthly estimates are consistent with annual totals.
- (2)
- Updating monthly estimates: Collect and estimate monthly data for energy consumption volumes and end-use prices and update the monthly sectoral energy accounts in both volume and value terms up to the most recent month. Each update is linked to the December table for the latest benchmark year—for example, 2016 starts in December 2015, while data for 2024 and beyond begin in December 2023, with benchmarking occurring in steps 3 and 4. To facilitate consistent economic analysis, a monthly series of both consumption volumes and end-use prices is seasonally adjusted using the X-13ARIMA-SEATS procedure whenever non-adjusted data are provided.
- (3)
- Annual volume benchmarking to IEA data: Benchmark the monthly sectoral energy accounts to annual values from the IEA’s World Energy Balances, which are published with a lag of nearly two years, mainly using the proportional Denton method to preserve annual consistency. For example, monthly estimates for 2023 are benchmarked in August 2025 when the IEA releases the 2023 data.
- (4)
- Annual value benchmarking to economic statistics: Economic statistics such as the Supply–Use Table, Input–Output Table, and national accounts are published with a lag of about two to five years. Significant price differences or subsidies among energy-consuming sectors may reduce the representativeness of average energy prices in the energy statistics. While alignment with economic statistics in value terms is important, several challenges remain—such as distinguishing energy-transformation consumption, handling by-product gases, identifying own-use electricity generation in industrial sectors, classifying headquarters activities, and addressing measurement errors in economic statistics. After considering these issues, the appropriate benchmarking level is determined, and monthly unit price estimates are adjusted using the proportional Denton method to maintain consistency with energy consumption values in the economic statistics.
Appendix B
Appendix B.1

Appendix B.2
| Variable | Coefficient | ) | |||
| Real PLI (t) | −0.156 | (0.097) | — | ||
| Real PLI (t − 1) | −0.332 | (0.081) | *** | — | |
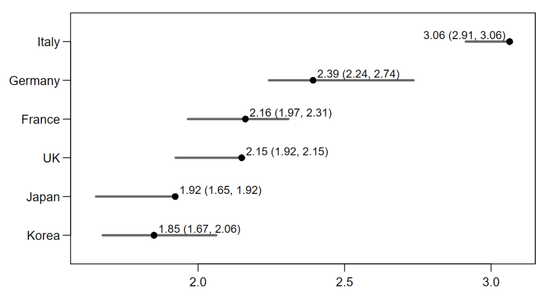
| Threshold shift: Japan | −0.188 | (0.053) | *** | 1.92 | |
| Threshold shift: Korea | −0.166 | (0.053) | ** | 1.85 | |
| Threshold shift: France | −0.059 | (0.045) | 2.16 | ||
| Threshold shift: Germany | −0.110 | (0.054) | * | 2.39 | |
| Threshold shift: Italy | −0.172 | (0.050) | *** | 3.06 | |
| Threshold shift: UK | −0.173 | (0.052) | *** | 2.15 | |
| Adj. within = 0.591; Observations (N) = 336; Countries (C) = 8; Periods (T) = 42 | |||||
References
- Stern, N. The Economics of Climate Change: The Stern Review; Cambridge University Press: Cambridge, UK, 2007. [Google Scholar]
- Stiglitz, J.E.; Stern, N.; Duan, M.; Edenhofer, O.; Giraud, G.; Heal, G.M.; la Rovere, E.L.; Morris, A.; Moyer, E.; Pangestu, M.; et al. Report of the High-Level Commission on Carbon Prices; International Bank for Reconstruction and Development and International Development Association/The World Bank: Washington, DC, USA, 2017. [Google Scholar]
- Stern, N.; Stiglitz, J.E. Climate Change and Growth. Ind. Corp. Change 2023, 32, 277–303. [Google Scholar] [CrossRef]
- Geels, F.W. Technological Transitions as Evolutionary Reconfiguration Processes: A Multi-level Perspective and A Case-study. Res. Policy 2002, 31, 1257–1274. [Google Scholar] [CrossRef]
- Markard, J.; Raven, R.; Truffer, B. Sustainability Transitions: An Emerging Field of Research and Its Prospects. Res. Policy 2012, 41, 955–967. [Google Scholar] [CrossRef]
- Köhler, J.; Geels, F.W.; Kern, F.; Markard, J.; Onsongo, E.; Wieczorek, A.; Alkemade, F.; Avelino, F.; Bergek, A.; Boons, F.; et al. An Agenda for Sustainability Transitions Research: State of The Art and Future Directions. Environ. Innov. Soc. Transit. 2019, 31, 1–32. [Google Scholar] [CrossRef]
- Dechezleprêtre, A.; Sato, M. The Impacts of Environmental Regulations on Competitiveness. Rev. Environ. Econ. Policy 2017, 11, 183–206. [Google Scholar] [CrossRef]
- Löschel, A.; Lutz, B.J.; Managi, S. The Impacts of the EU ETS on Efficiency and Economic Performance—An Empirical Analysis for German Manufacturing Firms. Resour. Energy Econ. 2019, 56, 71–95. [Google Scholar] [CrossRef]
- Chiacchio, F.; De Santis, R.A.; Gunnella, V.; Lebastard, L. How Have Higher Energy Prices Affected Industrial Production and Imports? In Economic Bulletin Boxes; European Central Bank: Frankfurt, Germany, 2023; Available online: https://www.ecb.europa.eu/press/economic-bulletin/focus/2023/html/ecb.ebbox202301_02~8d6f1214ae.en.html (accessed on 1 November 2025).
- Jäger, P. Rustbelt Relics or Future Keystone? EU Policy for Energy-Intensive Industries; Jacques Delors Centre: Berlin, Germany, 2023; Available online: https://www.delorscentre.eu/fileadmin/2_Research/1_About_our_research/2_Research_centres/6_Jacques_Delors_Centre/Publications/20231221_Jaeger_Industries.pdf (accessed on 1 November 2025).
- Vogel, L.; Neuman, M.; Linz, S. Calculation and Development of the New Production Index for Energy-Intensive Industrial Branches. WISTA–Sci. J. 2023, 75, 39–48. [Google Scholar]
- Saussay, A.; Sato, M. The Impact of Energy Prices on Industrial Investment Location: Evidence from Global Firm Level Data. J. Environ. Econ. Manag. 2024, 127, 102992. [Google Scholar] [CrossRef]
- Draghi, M. The Future of European Competitiveness: A Competitiveness Strategy for Europe; European Commission: Brussels, Belgium, 2024. Available online: https://commission.europa.eu/document/download/97e481fd-2dc3-412d-be4c-f152a8232961_en (accessed on 1 November 2025).
- DIHK. Neue Wege für die Energiewende (“Plan B”): Wissenschaftliche Studie im Auftrag der Deutschen Industrie-und Handelskammer [New Paths for the Energy Transition (“Plan B”): Scientific Study Commissioned by the Association of German Chambers of Industry and Commerce]; Deutsche Industrie-und Handelskammer: Berlin, Germany, 2025; Available online: https://www.frontier-economics.com/media/u1vbsfop/frontier-dihk-energiewende-plan-b-03092025-stc-update-stc.pdf (accessed on 1 November 2025).
- WCED. Our Common Future (Brundtland Report); Oxford University Press: Oxford, UK, 1987. [Google Scholar]
- Elkington, J. Cannibals with Forks: The Triple Bottom Line of 21st Century Business; Capstone: Oxford, UK, 1997. [Google Scholar]
- Schulte, I.; Heindl, P. Price and Income Elasticities of Residential Energy Demand in Germany. Energy Policy 2017, 102, 512–528. [Google Scholar] [CrossRef]
- Bouzarovski, S. Energy Poverty: (Dis)Assembling Europe’s Infrastructural Divide; Palgrave Macmillan: Cham, Switzerland, 2018. [Google Scholar]
- Wood, N.; Roelich, K. Substantiating Energy Justice: Creating a Space to Understand Energy Dilemmas. Sustainability 2020, 12, 1917. [Google Scholar] [CrossRef]
- As-sya’bani, J.A.; Abbas, M.Z.; Alshaeki, A.; Torio, H. Assessing Global Responsibility: Comparative Analysis of Fairness in Energy Transition Between Developing and Developed Countries. Sustainability 2025, 17, 7470. [Google Scholar] [CrossRef]
- European Commission. Energy Economic Developments in Europe; Publications Office of the European Union: Luxembourg, 2014. [Google Scholar]
- European Commission. Energy Prices and Costs in Europe. In Commission Staff Working Document; European Commission: Brussels, Belgium, 2019. Available online: https://eur-lex.europa.eu/legal-content/EN/TXT/?uri=CELEX:52019SC0001 (accessed on 1 November 2025).
- Faiella, I.; Mistretta, A. Energy Costs and Competitiveness in Europe. Bank Italy Temi Di Discuss. 2020, 1259, 3–34. [Google Scholar] [CrossRef]
- Kaltenegger, O.; Löschel, A.; Baikowski, M.; Lingens, J. Energy Costs in Germany and Europe: An Assessment Based on a (Total Real Unit) Energy Cost Accounting Framework. Energy Policy 2017, 104, 419–430. [Google Scholar] [CrossRef]
- Kaltenegger, O. What Drives Total Real Unit Energy Costs Globally? A Novel LMDI Decomposition Approach. Appl. Energy 2020, 261, 114340. [Google Scholar] [CrossRef]
- Nomura, K. Energy Productivity and Economic Growth: Experiences of the Japanese Industries, 1955–2019; Springer: Singapore, 2023. [Google Scholar]
- UNIDO. Industrial Development Report 2020: Industrializing in the Digital Age; United Nations Industrial Development Organization: Vienna, Austria, 2020. [Google Scholar]
- Lynch, C.; Simsek, Y.; Mercure, J.-F.; Fragkos, P.; Lefèvre, J.; Le Gallic, T.; Fragkiadakis, K.; Paroussos, L.; Fragkiadakis, D.; Leblanc, F.; et al. Structural Change and Socio-Economic Disparities in a Net Zero Transition. Econ. Syst. Res. 2024, 36, 607–629. [Google Scholar] [CrossRef]
- World Bank. Purchasing Power Parities and the Size of World Economies: Results from the International Comparison Program 2021; World Bank: Washington, DC, USA, 2024; Available online: https://www.worldbank.org/en/programs/icp/brief/ICP2021 (accessed on 1 November 2025).
- Nomura, K.; Miyagawa, K.; Samuels, J.D. Benchmark 2011 Integrated Estimates of the Japan–US Price Level Index for Industry Outputs. In Measuring Economic Growth and Productivity: Foundations, KLEMS Production Models, and Extensions; Fraumeni, B.M., Ed.; Academic Press: Cambridge, MA, USA, 2019; pp. 251–281. [Google Scholar]
- Jorgenson, D.W.; Nomura, K.; Samuels, J.D. A Half Century of Trans-Pacific Competition: Price Level Indices and Productivity Gaps for Japanese and U.S. Industries, 1955–2012. In The World Economy: Growth or Stagnation? Jorgenson, D.W., Fukao, K., Timmer, M.P., Eds.; Cambridge University Press: Cambridge, UK, 2016; pp. 469–507. [Google Scholar]
- IEA. Energy Prices; International Energy Agency: Paris, France, 2025; Available online: https://www.iea.org/data-and-statistics/data-product/energy-prices (accessed on 1 November 2025).
- Nomura, K.; Inaba, S. Jisshitsuteki na Enerugī Kosuto Futan ni Kansuru Kōhindo Shihyō no Kaihatsu: Getsuji RUEC to Sono Henka Yōin [Development of High-Frequency Indicators of Real Unit Energy Cost in Japan]. RCGW Discuss. Pap. 2023, 68, 1–49. Available online: https://www.dbj.jp/ricf/pdf/research/DBJ_RCGW_DP68.pdf (accessed on 1 November 2025).
- Nomura, K.; Inaba, S. Post-Pandemic Surges of Real Unit Energy Costs in Eight Industrialized Countries. RCGW Discuss. Pap. 2024, 70, 1–48. Available online: https://www.dbj.jp/ricf/pdf/research/DBJ_RCGW_DP70.pdf (accessed on 1 November 2025).
- Nomura, K.; Inaba, S. Posuto Pandemikku no Enerugī Kakaku Kōtō to Jisshitsu Kakusa Kakudai—Shuyō Nanaka Koku no Hikaku Bunseki [Energy Price Surge and Widening Real Price Differentials in the Post-Pandemic Era: A Comparative Analysis of Seven Major Countries]. KEO Discuss. Pap. 2025, 185, 1–44. [Google Scholar]
- APO. APO Productivity Databook 2025; Asian Productivity Organization; Keio University Press: Tokyo, Japan, 2025. [Google Scholar]
- Hansen, B.E. Threshold Effects in Non-dynamic Panels: Estimation, Testing, and Inference. J. Econom 1999, 93, 345–368. [Google Scholar] [CrossRef]
- Hirschman, A.O. Exit, Voice, and Loyalty: Responses to Decline in Firms, Organizations, and States; Harvard University Press: Cambridge, MA, USA, 1970. [Google Scholar]





| (a) RUEC gaps | ||||||||||
| Comparison country | ||||||||||
| CHN | IND | JPN | KOR | FRA | DEU | ITA | GBR | USA | ||
| Reference country | China (CHN) | 1.00 | 1.05 | 0.74 | 0.87 | 0.66 | 0.74 | 0.84 | 0.47 | 0.50 |
| 1.00 | 1.24 | 0.73 | 0.90 | 0.73 | 0.73 | 0.89 | 0.57 | 0.63 | ||
| (0%) | (−17%) | (2%) | (−3%) | (−10%) | (1%) | (−6%) | (−20%) | (−22%) | ||
| India (IND) | 0.95 | 1.00 | 0.71 | 0.83 | 0.63 | 0.70 | 0.80 | 0.45 | 0.48 | |
| 0.81 | 1.00 | 0.59 | 0.73 | 0.59 | 0.59 | 0.72 | 0.46 | 0.51 | ||
| (16%) | (0%) | (18%) | (13%) | (7%) | (18%) | (10%) | (−3%) | (−6%) | ||
| Japan (JPN) | 1.34 | 1.41 | 1.00 | 1.17 | 0.89 | 1.00 | 1.13 | 0.63 | 0.68 | |
| 1.37 | 1.70 | 1.00 | 1.23 | 0.99 | 1.00 | 1.22 | 0.78 | 0.86 | ||
| (−2%) | (−19%) | (0%) | (−5%) | (−11%) | (−0%) | (−8%) | (−21%) | (−24%) | ||
| Korea (KOR) | 1.14 | 1.20 | 0.85 | 1.00 | 0.75 | 0.85 | 0.96 | 0.54 | 0.58 | |
| 1.11 | 1.38 | 0.81 | 1.00 | 0.81 | 0.81 | 0.99 | 0.64 | 0.70 | ||
| (3%) | (−14%) | (5%) | (0%) | (−7%) | (4%) | (−3%) | (−17%) | (−19%) | ||
| France (FRA) | 1.52 | 1.60 | 1.13 | 1.33 | 1.00 | 1.12 | 1.28 | 0.71 | 0.77 | |
| 1.38 | 1.71 | 1.01 | 1.24 | 1.00 | 1.01 | 1.23 | 0.79 | 0.87 | ||
| (9%) | (−7%) | (11%) | (6%) | (0%) | (11%) | (3%) | (−10%) | (−13%) | ||
| Germany (DEU) | 1.35 | 1.42 | 1.00 | 1.18 | 0.89 | 1.00 | 1.14 | 0.64 | 0.68 | |
| 1.37 | 1.70 | 1.00 | 1.24 | 0.99 | 1.00 | 1.23 | 0.78 | 0.86 | ||
| (−2%) | (−18%) | (0%) | (−5%) | (−11%) | (0%) | (−8%) | (−21%) | (−24%) | ||
| Italy (ITA) | 1.19 | 1.25 | 0.88 | 1.04 | 0.78 | 0.88 | 1.00 | 0.56 | 0.60 | |
| 1.12 | 1.39 | 0.82 | 1.01 | 0.81 | 0.82 | 1.00 | 0.64 | 0.70 | ||
| (6%) | (−10%) | (8%) | (3%) | (−3%) | (8%) | (0%) | (−13%) | (−16%) | ||
| UK (GBR) | 2.13 | 2.24 | 1.58 | 1.86 | 1.40 | 1.57 | 1.79 | 1.00 | 1.07 | |
| 1.75 | 2.17 | 1.28 | 1.58 | 1.27 | 1.28 | 1.56 | 1.00 | 1.10 | ||
| (19%) | (3%) | (21%) | (16%) | (10%) | (21%) | (13%) | (0%) | (−3%) | ||
| U.S. (USA) | 1.98 | 2.08 | 1.47 | 1.73 | 1.31 | 1.47 | 1.67 | 0.93 | 1.00 | |
| 1.59 | 1.97 | 1.16 | 1.43 | 1.15 | 1.16 | 1.42 | 0.91 | 1.00 | ||
| (22%) | (5%) | (24%) | (19%) | (13%) | (23%) | (16%) | (3%) | (0%) | ||
| (b) GEP gaps | ||||||||||
| Comparison country | ||||||||||
| CHN | IND | JPN | KOR | FRA | DEU | ITA | GBR | USA | ||
| Reference country | China (CHN) | 1.00 | 1.61 | 1.43 | 1.21 | 1.92 | 1.84 | 1.93 | 2.34 | 0.98 |
| 1.00 | 1.46 | 1.29 | 1.04 | 1.51 | 1.64 | 1.74 | 1.85 | 0.85 | ||
| (0%) | (10%) | (10%) | (15%) | (24%) | (11%) | (10%) | (23%) | (14%) | ||
| India (IND) | 0.62 | 1.00 | 0.89 | 0.75 | 1.19 | 1.14 | 1.19 | 1.45 | 0.61 | |
| 0.69 | 1.00 | 0.88 | 0.71 | 1.03 | 1.12 | 1.19 | 1.27 | 0.58 | ||
| (−10%) | (0%) | (0%) | (5%) | (14%) | (1%) | (0%) | (13%) | (4%) | ||
| Japan (JPN) | 0.70 | 1.13 | 1.00 | 0.85 | 1.34 | 1.28 | 1.35 | 1.64 | 0.68 | |
| 0.78 | 1.13 | 1.00 | 0.81 | 1.17 | 1.27 | 1.35 | 1.44 | 0.66 | ||
| (−10%) | (−0%) | (0%) | (5%) | (13%) | (1%) | (−0%) | (13%) | (4%) | ||
| Korea (KOR) | 0.83 | 1.33 | 1.18 | 1.00 | 1.58 | 1.51 | 1.59 | 1.93 | 0.81 | |
| 0.96 | 1.40 | 1.24 | 1.00 | 1.45 | 1.57 | 1.67 | 1.78 | 0.82 | ||
| (−15%) | (−5%) | (−5%) | (0%) | (9%) | (−4%) | (−5%) | (8%) | (−1%) | ||
| France (FRA) | 0.52 | 0.84 | 0.75 | 0.63 | 1.00 | 0.96 | 1.01 | 1.22 | 0.51 | |
| 0.66 | 0.97 | 0.85 | 0.69 | 1.00 | 1.09 | 1.15 | 1.23 | 0.56 | ||
| (−24%) | (−14%) | (−13%) | (−9%) | (0%) | (−12%) | (−14%) | (−0%) | (−10%) | ||
| Germany (DEU) | 0.54 | 0.88 | 0.78 | 0.66 | 1.04 | 1.00 | 1.05 | 1.27 | 0.53 | |
| 0.61 | 0.89 | 0.79 | 0.64 | 0.92 | 1.00 | 1.06 | 1.13 | 0.52 | ||
| (−11%) | (−1%) | (−1%) | (4%) | (12%) | (0%) | (−1%) | (12%) | (3%) | ||
| Italy (ITA) | 0.52 | 0.84 | 0.74 | 0.63 | 0.99 | 0.95 | 1.00 | 1.21 | 0.51 | |
| 0.58 | 0.84 | 0.74 | 0.60 | 0.87 | 0.94 | 1.00 | 1.06 | 0.49 | ||
| (−10%) | (−0%) | (0%) | (5%) | (14%) | (1%) | (0%) | (13%) | (4%) | ||
| UK (GBR) | 0.43 | 0.69 | 0.61 | 0.52 | 0.82 | 0.79 | 0.82 | 1.00 | 0.42 | |
| 0.54 | 0.79 | 0.70 | 0.56 | 0.82 | 0.89 | 0.94 | 1.00 | 0.46 | ||
| (−23%) | (−13%) | (−13%) | (−8%) | (0%) | (−12%) | (−13%) | (0%) | (−9%) | ||
| U.S. (USA) | 1.02 | 1.65 | 1.46 | 1.24 | 1.96 | 1.88 | 1.97 | 2.39 | 1.00 | |
| 1.18 | 1.72 | 1.52 | 1.23 | 1.78 | 1.93 | 2.05 | 2.18 | 1.00 | ||
| (−14%) | (−4%) | (−4%) | (1%) | (10%) | (−3%) | (−4%) | (9%) | (0%) | ||
| (a) Nominal PLIs | ||||||||||
| Comparison country | ||||||||||
| CHN | IND | JPN | KOR | FRA | DEU | ITA | GBR | USA | ||
| Reference country | China (CHN) | 1.00 | 0.85 | 1.42 | 1.27 | 2.04 | 2.43 | 2.41 | 2.09 | 1.04 |
| 1.00 | 0.86 | 1.51 | 1.19 | 1.47 | 1.61 | 1.90 | 1.55 | 0.90 | ||
| (0%) | (−2%) | (−6%) | (7%) | (33%) | (41%) | (24%) | (30%) | (15%) | ||
| India (IND) | 1.18 | 1.00 | 1.68 | 1.50 | 2.41 | 2.87 | 2.85 | 2.47 | 1.23 | |
| 1.16 | 1.00 | 1.75 | 1.38 | 1.70 | 1.87 | 2.20 | 1.79 | 1.04 | ||
| (2%) | (0%) | (−4%) | (8%) | (35%) | (43%) | (26%) | (32%) | (17%) | ||
| Japan (JPN) | 0.70 | 0.59 | 1.00 | 0.89 | 1.43 | 1.71 | 1.69 | 1.47 | 0.73 | |
| 0.67 | 0.58 | 1.00 | 0.79 | 0.97 | 1.07 | 1.26 | 1.03 | 0.60 | ||
| (5%) | (3%) | (0%) | (12%) | (39%) | (47%) | (29%) | (36%) | (21%) | ||
| Korea (KOR) | 0.79 | 0.67 | 1.12 | 1.00 | 1.61 | 1.91 | 1.90 | 1.65 | 0.82 | |
| 0.84 | 0.73 | 1.27 | 1.00 | 1.24 | 1.36 | 1.60 | 1.31 | 0.76 | ||
| (−7%) | (−9%) | (−12%) | (0%) | (26%) | (34%) | (17%) | (23%) | (8%) | ||
| France (FRA) | 0.49 | 0.42 | 0.70 | 0.62 | 1.00 | 1.19 | 1.18 | 1.03 | 0.51 | |
| 0.68 | 0.59 | 1.03 | 0.81 | 1.00 | 1.10 | 1.30 | 1.06 | 0.61 | ||
| (−33%) | (−35%) | (−39%) | (−26%) | (0%) | (8%) | (−9%) | (−3%) | (−18%) | ||
| Germany (DEU) | 0.41 | 0.35 | 0.59 | 0.52 | 0.84 | 1.00 | 0.99 | 0.86 | 0.43 | |
| 0.62 | 0.54 | 0.94 | 0.74 | 0.91 | 1.00 | 1.18 | 0.96 | 0.56 | ||
| (−41%) | (−43%) | (−47%) | (−35%) | (−8%) | (0%) | (−17%) | (−11%) | (−26%) | ||
| Italy (ITA) | 0.42 | 0.35 | 0.59 | 0.53 | 0.85 | 1.01 | 1.00 | 0.87 | 0.43 | |
| 0.53 | 0.46 | 0.79 | 0.63 | 0.77 | 0.85 | 1.00 | 0.82 | 0.47 | ||
| (−24%) | (−26%) | (−29%) | (−17%) | (9%) | (17%) | (0%) | (6%) | (−9%) | ||
| UK (GBR) | 0.48 | 0.40 | 0.68 | 0.61 | 0.97 | 1.16 | 1.15 | 1.00 | 0.50 | |
| 0.65 | 0.56 | 0.98 | 0.77 | 0.95 | 1.04 | 1.23 | 1.00 | 0.58 | ||
| (−30%) | (−33%) | (−36%) | (−24%) | (2%) | (11%) | (−7%) | (0%) | (−16%) | ||
| U.S. (USA) | 0.96 | 0.81 | 1.36 | 1.22 | 1.96 | 2.33 | 2.31 | 2.01 | 1.00 | |
| 1.12 | 0.96 | 1.68 | 1.32 | 1.64 | 1.80 | 2.12 | 1.73 | 1.00 | ||
| (−15%) | (−17%) | (−21%) | (−8%) | (18%) | (26%) | (9%) | (15%) | (0%) | ||
| (b) Real PLIs | ||||||||||
| Comparison country | ||||||||||
| CHN | IND | JPN | KOR | FRA | DEU | ITA | GBR | USA | ||
| Reference country | China (CHN) | 1.00 | 1.70 | 1.06 | 1.06 | 1.26 | 1.36 | 1.62 | 1.10 | 0.49 |
| 1.00 | 1.81 | 0.94 | 0.94 | 1.09 | 1.20 | 1.55 | 1.06 | 0.54 | ||
| (0%) | (−7%) | (12%) | (12%) | (14%) | (13%) | (4%) | (4%) | (−8%) | ||
| India (IND) | 0.59 | 1.00 | 0.63 | 0.62 | 0.74 | 0.80 | 0.95 | 0.65 | 0.29 | |
| 0.55 | 1.00 | 0.52 | 0.52 | 0.61 | 0.66 | 0.86 | 0.59 | 0.30 | ||
| (7%) | (0%) | (18%) | (18%) | (21%) | (19%) | (11%) | (10%) | (−2%) | ||
| Japan (JPN) | 0.94 | 1.60 | 1.00 | 1.00 | 1.19 | 1.28 | 1.52 | 1.03 | 0.46 | |
| 1.06 | 1.93 | 1.00 | 1.00 | 1.16 | 1.27 | 1.65 | 1.12 | 0.57 | ||
| (−12%) | (−19%) | (0%) | (−0%) | (2%) | (1%) | (−8%) | (−8%) | (−20%) | ||
| Korea (KOR) | 0.94 | 1.60 | 1.00 | 1.00 | 1.19 | 1.28 | 1.53 | 1.04 | 0.47 | |
| 1.07 | 1.93 | 1.00 | 1.00 | 1.17 | 1.27 | 1.66 | 1.13 | 0.57 | ||
| (−12%) | (−19%) | (0%) | (0%) | (2%) | (1%) | (−8%) | (−8%) | (−20%) | ||
| France (FRA) | 0.79 | 1.34 | 0.84 | 0.84 | 1.00 | 1.08 | 1.28 | 0.87 | 0.39 | |
| 0.92 | 1.66 | 0.86 | 0.86 | 1.00 | 1.09 | 1.42 | 0.97 | 0.49 | ||
| (−15%) | (−21%) | (−2%) | (−2%) | (0%) | (−2%) | (−10%) | (−11%) | (−22%) | ||
| Germany (DEU) | 0.74 | 1.25 | 0.78 | 0.78 | 0.93 | 1.00 | 1.19 | 0.81 | 0.36 | |
| 0.84 | 1.52 | 0.79 | 0.79 | 0.92 | 1.00 | 1.30 | 0.89 | 0.45 | ||
| (−13%) | (−20%) | (−1%) | (−1%) | (1%) | (0%) | (−9%) | (−9%) | (−21%) | ||
| Italy (ITA) | 0.62 | 1.05 | 0.66 | 0.65 | 0.78 | 0.84 | 1.00 | 0.68 | 0.31 | |
| 0.64 | 1.17 | 0.61 | 0.60 | 0.70 | 0.77 | 1.00 | 0.68 | 0.34 | ||
| (−4%) | (−11%) | (8%) | (8%) | (10%) | (9%) | (0%) | (−0%) | (−12%) | ||
| UK (GBR) | 0.91 | 1.54 | 0.97 | 0.96 | 1.15 | 1.24 | 1.47 | 1.00 | 0.45 | |
| 0.95 | 1.71 | 0.89 | 0.89 | 1.03 | 1.13 | 1.47 | 1.00 | 0.51 | ||
| (−4%) | (−11%) | (8%) | (8%) | (10%) | (9%) | (0%) | (0%) | (−12%) | ||
| U.S. (USA) | 2.03 | 3.43 | 2.15 | 2.14 | 2.56 | 2.75 | 3.28 | 2.23 | 1.00 | |
| 1.87 | 3.39 | 1.76 | 1.76 | 2.05 | 2.24 | 2.91 | 1.98 | 1.00 | ||
| (8%) | (1%) | (20%) | (20%) | (22%) | (21%) | (12%) | (12%) | (0%) | ||
| Variable | Coefficient | ) | |||
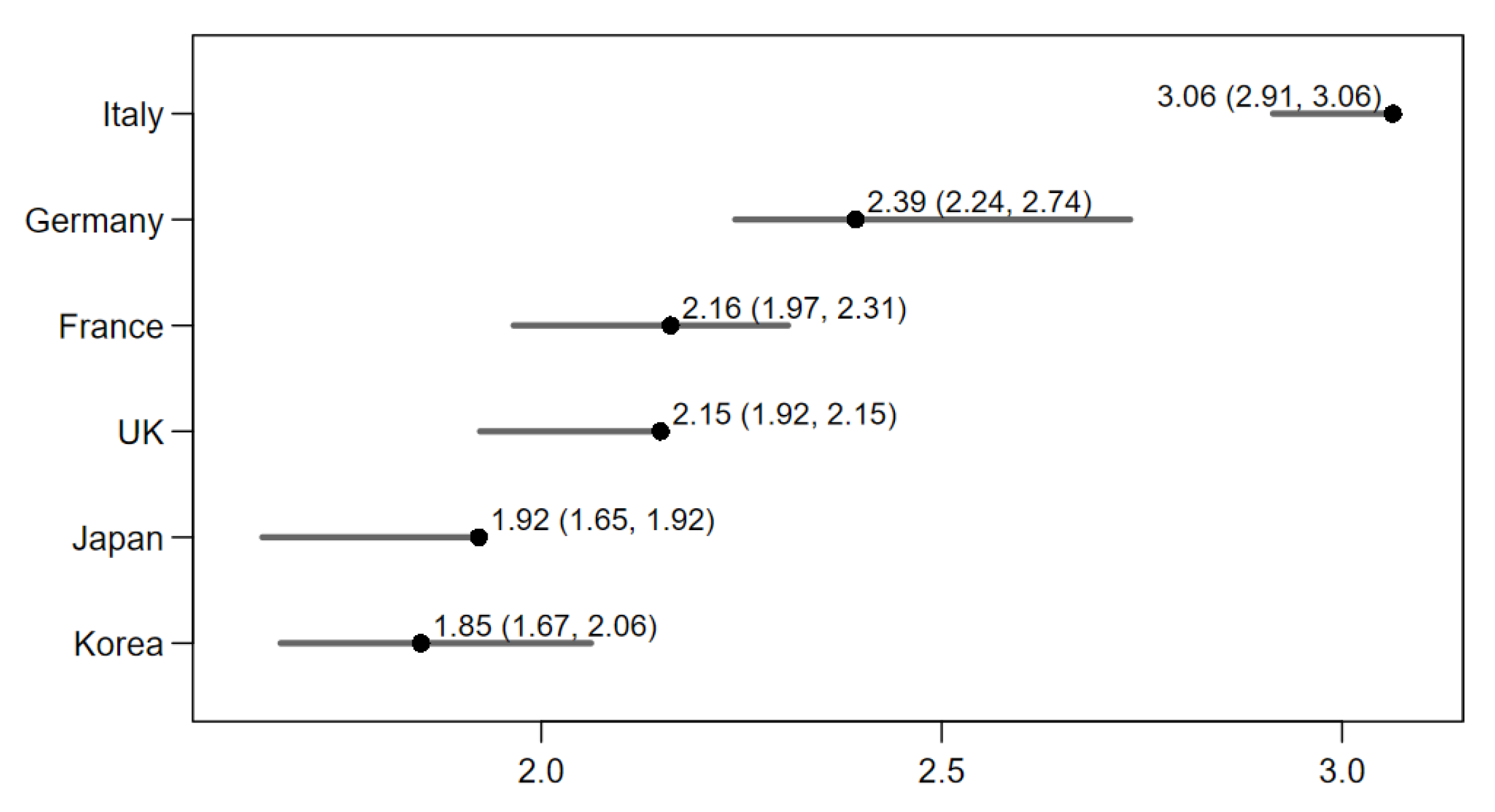
| Real PLI | β | −0.457 | (0.177) | * | — |
| Threshold shift: Japan | −0.199 | (0.065) | ** | 1.92 | |
| Threshold shift: Korea | −0.179 | (0.063) | ** | 1.85 | |
| Threshold shift: France | −0.073 | (0.045) | 2.16 | ||
| Threshold shift: Germany | −0.125 | (0.055) | * | 2.39 | |
| Threshold shift: Italy | −0.182 | (0.057) | ** | 3.06 | |
| Threshold shift: UK | −0.194 | (0.058) | ** | 2.15 | |
| Adj. within = 0.578; Observations (N) = 344; Countries (C) = 8; Periods (T) = 43 | |||||
Disclaimer/Publisher’s Note: The statements, opinions and data contained in all publications are solely those of the individual author(s) and contributor(s) and not of MDPI and/or the editor(s). MDPI and/or the editor(s) disclaim responsibility for any injury to people or property resulting from any ideas, methods, instructions or products referred to in the content. |
© 2025 by the authors. Licensee MDPI, Basel, Switzerland. This article is an open access article distributed under the terms and conditions of the Creative Commons Attribution (CC BY) license.
Share and Cite
Nomura, K.; Inaba, S. Measuring Real Energy Price Gaps: The Real PLI Framework for Competitiveness Monitoring. Sustainability 2026, 18, 84. https://doi.org/10.3390/su18010084
Nomura K, Inaba S. Measuring Real Energy Price Gaps: The Real PLI Framework for Competitiveness Monitoring. Sustainability. 2026; 18(1):84. https://doi.org/10.3390/su18010084
Chicago/Turabian StyleNomura, Koji, and Sho Inaba. 2026. "Measuring Real Energy Price Gaps: The Real PLI Framework for Competitiveness Monitoring" Sustainability 18, no. 1: 84. https://doi.org/10.3390/su18010084
APA StyleNomura, K., & Inaba, S. (2026). Measuring Real Energy Price Gaps: The Real PLI Framework for Competitiveness Monitoring. Sustainability, 18(1), 84. https://doi.org/10.3390/su18010084

