Sign in to use this feature.

Years

Between: -

Subjects

remove_circle_outline
remove_circle_outline
remove_circle_outline
remove_circle_outline
remove_circle_outline
remove_circle_outline
remove_circle_outline
remove_circle_outline
remove_circle_outline

Journals

remove_circle_outline
remove_circle_outline
remove_circle_outline
remove_circle_outline
remove_circle_outline
remove_circle_outline
remove_circle_outline
remove_circle_outline
remove_circle_outline
remove_circle_outline
remove_circle_outline
remove_circle_outline
remove_circle_outline
remove_circle_outline
remove_circle_outline
remove_circle_outline
remove_circle_outline
remove_circle_outline
remove_circle_outline
remove_circle_outline
remove_circle_outline
remove_circle_outline
remove_circle_outline
remove_circle_outline
remove_circle_outline
remove_circle_outline
remove_circle_outline
remove_circle_outline
remove_circle_outline

Article Types

Countries / Regions

remove_circle_outline
remove_circle_outline
remove_circle_outline
remove_circle_outline
remove_circle_outline
remove_circle_outline

Search Results (4,285)

Search Parameters:
Keywords = power normalization

Order results
Result details
Results per page
Select all
Export citation of selected articles as:
20 pages, 2679 KB  
Article
Dynamic Characteristics and Parametric Sensitivity Analysis of Underground Powerhouse in Pumped Storage Power Stations
by Junhao Gao, Zhenzhong Shen, Yiqing Sun, Lei Gan, Liqun Xu, Hongwei Zhang, Yaxin Feng, Yong Ni, Yanhe Zhang and Yang Xiang
Appl. Sci. 2025, 15(21), 11464; https://doi.org/10.3390/app152111464 (registering DOI) - 27 Oct 2025
Abstract
China has witnessed extensive construction of underground powerhouses for pumped storage power stations. With the continuous increase in unit capacity, vibration problems have become particularly pronounced. Intense vibrations may not only disrupt the normal operation of hydropower units but also compromise the overall [...] Read more.
China has witnessed extensive construction of underground powerhouses for pumped storage power stations. With the continuous increase in unit capacity, vibration problems have become particularly pronounced. Intense vibrations may not only disrupt the normal operation of hydropower units but also compromise the overall structural safety of the powerhouse. Moreover, in dynamic analyses of powerhouse structures, different parameters exert varying degrees of influence on the results, making it essential to systematically examine their impacts. This study focuses on a large-scale underground powerhouse, establishing a three-dimensional finite element model of Unit #1 to investigate its dynamic characteristics and parametric sensitivity. Through modal and harmonic response analyses, the effects of key parameters—including the zone of surrounding rock, elastic modulus of surrounding rock, dynamic elastic modulus of concrete, and damping ratio—were systematically evaluated. Results indicate that an expanded surrounding rock zone reduces natural frequency and increases dynamic displacement, with a zone twice the span length offering an optimal balance between accuracy and computational efficiency. Increasing the elastic modulus of the surrounding rock raises the natural frequency and slightly reduces displacement, while having a limited impact on dynamic stress. The dynamic elastic modulus of concrete shows a square-root relationship with natural frequency and an inverse correlation with dynamic displacement. The damping ratio has negligible influence on natural frequency, dynamic displacement, and dynamic stress. These findings provide a theoretical basis and practical guidance for parameter selection in the dynamic analysis of underground powerhouse structures, enhancing the reliability of numerical simulations. Full article
Show Figures

Figure 1

36 pages, 27661 KB  
Article
Analysis of Land Subsidence During Rapid Urbanization in Chongqing, China: Impacts of Metro Construction, Groundwater Dynamics, and Natural–Anthropogenic Environment Interactions
by Yuanfeng Li, Yuan Yao, Yice Deng, Jiazheng Ren and Keren Dai
Remote Sens. 2025, 17(21), 3539; https://doi.org/10.3390/rs17213539 (registering DOI) - 26 Oct 2025
Abstract
Urban land subsidence, a globally prevalent environmental problem and geohazard triggered by rapid urbanization, threatens ecological security and socioeconomic stability. Chongqing City in southwestern China, recognized as the world’s largest mountainous city, has encountered land subsidence challenges exacerbated by accelerated urban construction. This [...] Read more.
Urban land subsidence, a globally prevalent environmental problem and geohazard triggered by rapid urbanization, threatens ecological security and socioeconomic stability. Chongqing City in southwestern China, recognized as the world’s largest mountainous city, has encountered land subsidence challenges exacerbated by accelerated urban construction. This study proposes an effective method for extracting urbanization intensity by integrating Sentinel-1, Sentinel-2, and its derived synthetic aperture radar and spectral indices features, combined with texture features. The small baseline subset interferometric synthetic aperture radar technique was employed to monitor land subsidence in Chongqing between 2018 and 2024. Furthermore, the relationships among urbanization intensity, metro construction, groundwater dynamics, and land subsidence were systematically analyzed. Finally, geographical detector and multiscale geographically weighted regression models were employed to explore the interactive effects of anthropogenic, topographic, geological-tectonic, climatic, and land surface characteristic factors contributing to land subsidence. The findings reveal that (1) the method proposed in this paper can effectively extract urbanization intensity and provide an important approach to analyze the influence of urbanization on land subsidence. (2) Land subsidence along newly opened metro lines was more pronounced than along existing lines. The shorter the interval between metro construction completion and the start of operation, the greater the subsidence observed within the first 3 months of operation, which indicates that this interval influences land subsidence. (3) Overall, groundwater dynamics and land subsidence showed a clear correlation from June 2022 to June 2023, a phenomenon largely caused by the extreme summer high temperatures of 2022, triggering reduced precipitation and a notable groundwater decline. Beyond this period, however, only a weak correlation was observed between groundwater fluctuations and land subsidence trends, indicating that other factors likely dominated subsidence dynamics. (4) The anthropogenic factors have a higher relative influence on land subsidence than other drivers. In terms of q-value, the top six factors are road network density > precipitation > elevation > enhanced normalized difference impervious surface index > population density > nighttime light, while distance to fault exhibits the least explanatory power. Given Chongqing’s exemplary status as a mountainous city, this study offers a foundational reference for subsequent quantitative analyses of land subsidence and its drivers in other mountainous cities worldwide. Full article
Show Figures

Figure 1

18 pages, 4411 KB  
Article
Spectral Index Optimization and Machine Learning for Hyperspectral Inversion of Maize Nitrogen Content
by Yuze Zhang, Caixia Huang, Hongyan Li, Shuai Li and Junsheng Lu
Agronomy 2025, 15(11), 2485; https://doi.org/10.3390/agronomy15112485 (registering DOI) - 26 Oct 2025
Abstract
Hyperspectral remote sensing provides a powerful tool for crop nutrient monitoring and precision fertilization, yet its application is hindered by high-dimensional redundancy and inter-band collinearity. This study aimed to improve maize nitrogen estimation by constructing three types of two-dimensional full-band spectral indices—Difference Index [...] Read more.
Hyperspectral remote sensing provides a powerful tool for crop nutrient monitoring and precision fertilization, yet its application is hindered by high-dimensional redundancy and inter-band collinearity. This study aimed to improve maize nitrogen estimation by constructing three types of two-dimensional full-band spectral indices—Difference Index (DI), Simple Ratio Index (SRI), and Normalized Difference Index (NDI)—combined with spectral preprocessing methods (raw spectra (RAW), first-order derivative (FD), and second-order derivative (SD)). To optimize feature selection, three strategies were evaluated: Grey Relational Analysis (GRA), Pearson Correlation Coefficient (PCC), and Variable Importance in Projection (VIP). These indices were then integrated into machine learning models, including Backpropagation Neural Network (BP), Random Forest (RF), and Support Vector Regression (SVR). Results revealed that spectral index optimization substantially enhanced model performance. NDI consistently demonstrated robustness, achieving the highest grey relational degree (0.9077) under second-derivative preprocessing and improving BP model predictions. PCC-selected features showed superior adaptability in the RF model, yielding the highest test accuracy under raw spectral input (R2 = 0.769, RMSE = 0.0018). VIP proved most effective for SVR, with the optimal SD–VIP–SVR combination attaining the best predictive performance (test R2 = 0.7593, RMSE = 0.0024). Compared with full-spectrum input, spectral index optimization effectively reduced collinearity and overfitting, improving both reliability and generalization. Spectral index optimization significantly improved inversion accuracy. Among the tested pipelines, RAW-PCC-RF demonstrated robust stability across datasets, while SD-VIP-SVR achieved the highest overall validation accuracy (R2 = 0.7593, RMSE = 0.0024). These results highlight the complementary roles of stability and accuracy in defining the optimal pipeline for maize nitrogen inversion. This study highlights the pivotal role of spectral index optimization in hyperspectral inversion of maize nitrogen content. The proposed framework provides a reliable methodological basis for non-destructive nitrogen monitoring, with broad implications for precision agriculture and sustainable nutrient management. Full article
Show Figures

Figure 1

14 pages, 1659 KB  
Article
Regulation of Klotho Production by Mineralocorticoid Receptor Signaling in Renal Cell Lines
by Elena Kohm, Martina Feger and Michael Föller
Biomolecules 2025, 15(11), 1509; https://doi.org/10.3390/biom15111509 (registering DOI) - 25 Oct 2025
Viewed by 77
Abstract
Through the mineralocorticoid receptor, aldosterone controls extracellular volume and arterial blood pressure by stimulating Na+ absorption and K+ secretion in epithelial cells of the kidney, colon, and several glands. Hyperaldosteronism promotes fibrosis and inflammation in epithelial and non-epithelial tissues, thereby favoring [...] Read more.
Through the mineralocorticoid receptor, aldosterone controls extracellular volume and arterial blood pressure by stimulating Na+ absorption and K+ secretion in epithelial cells of the kidney, colon, and several glands. Hyperaldosteronism promotes fibrosis and inflammation in epithelial and non-epithelial tissues, thereby favoring loss of kidney and heart function. Mineralocorticoid receptor blockade therefore gains relevance especially in renal and cardiac disease. Kidney-derived Klotho is a powerful anti-aging protein with anti-fibrosis and anti-inflammatory effects providing cardio- and nephroprotection. We wondered whether Klotho expression and production is influenced by mineralocorticoid receptor agonists and antagonists. Using four renal cell lines, Madin-Darby canine kidney (MDCK), normal rat kidney, subtype 52E (NRK-52E), human kidney 2 (HK2) cells, and primary renal proximal tubule epithelial cells (RPTECs), and the four most frequently prescribed mineralocorticoid receptor blockers, spironolactone, eplerenone, finerenone, and esaxerenone, we assessed Klotho gene expression by qRT-PCR and Klotho protein by Western blotting. Aldosterone and eplerenone did not significantly affect Klotho expression in either cell line. Spironolactone enhanced Klotho expression in MDCK and NRK-52E cells and downregulated Klotho in HK2 cells and RPTECs. Novel non-steroidal mineralocorticoid receptor antagonist finerenone downregulated Klotho expression in MDCK, NRK-52E, and low-dose finerenone in HK2 cells. To conclude, common mineralocorticoid receptor antagonists are characterized by highly diverse effects on Klotho in four renal cell lines. Further studies are needed to define the role of mineralocorticoid receptor blockade for Klotho production. Full article
(This article belongs to the Special Issue New Insights into Autacoids in Disease)
Show Figures

Figure 1

27 pages, 5817 KB  
Article
Design Optimisation of Legacy Francis Turbine Using Inverse Design and CFD: A Case Study of Bérchules Hydropower Plant
by Israel Enema Ohiemi and Aonghus McNabola
Energies 2025, 18(21), 5602; https://doi.org/10.3390/en18215602 (registering DOI) - 24 Oct 2025
Viewed by 127
Abstract
The lack of detailed design information in legacy hydropower plants creates challenges for modernising their ageing turbine components. This research advances a digitalisation approach which combines inverse design methodology (IDM) with multi-objective genetic algorithms (MOGA) and computational fluid dynamics (CFD) to digitally reconstruct [...] Read more.
The lack of detailed design information in legacy hydropower plants creates challenges for modernising their ageing turbine components. This research advances a digitalisation approach which combines inverse design methodology (IDM) with multi-objective genetic algorithms (MOGA) and computational fluid dynamics (CFD) to digitally reconstruct and optimise the Bérchules Francis turbine runner and guide vane geometries using limited available legacy data, avoiding invasive techniques. A two-stage optimisation process was conducted. The first stage of runner blade optimisation achieved a 22.7% reduction in profile loss and a 16.8% decrease in secondary flow factor while raising minimum pressure from −877,325.5 Pa to −132,703.4 Pa. Guide vane optimisation during Stage 2 produced additional performance gains through a 9.3% reduction in profile loss and a 20% decrease in secondary flow factor and a minimum pressure increase to +247,452.1 Pa which represented an 183% improvement. The CFD validation results showed that the final turbine efficiency reached 93.7% while producing more power than the plant’s rated 942 kW. The sensitivity analysis revealed that leading edge loading at mid-span and normal chord proved to be the most significant design parameters affecting pressure loss and flow behaviour metrics. The research proves that legacy turbines can be digitally restored through hybrid optimisation and CFD workflows, which enables data-driven refurbishment design without needing complete component replacement. Full article
(This article belongs to the Special Issue Energy Security, Transition, and Sustainable Development)
Show Figures

Figure 1

50 pages, 2576 KB  
Perspective
Bridging the AI–Energy Paradox: A Compute-Additionality Covenant for System Adequacy in Energy Transition
by George Kyriakarakos
Sustainability 2025, 17(21), 9444; https://doi.org/10.3390/su17219444 - 24 Oct 2025
Viewed by 228
Abstract
As grids decarbonize and end-use sectors electrify, the rapid penetration of artificial intelligence (AI) and hyperscale data centers reshapes the electrical load profile and power quality requirements. This leads not only to higher consumption but also coincident demand in constrained urban nodes, steeper [...] Read more.
As grids decarbonize and end-use sectors electrify, the rapid penetration of artificial intelligence (AI) and hyperscale data centers reshapes the electrical load profile and power quality requirements. This leads not only to higher consumption but also coincident demand in constrained urban nodes, steeper ramps and tighter power quality constraints. The article investigates to what extent a compute-additionality covenant can reduce resource inadequacy (LOLE) at an acceptable $/kW-yr under realistic grid constraints, tying interconnection/capacity releases to auditable contributions (ELCC-accredited firm-clean MW in-zone or verified PCC-level services such as FFR/VAR/black-start). Using two worked cases (mature market and EMDE context) the way in which tranche-gated interconnection, ELCC accreditation and PCC-level services can hold LOLE at the planning target while delivering auditable FFR/VAR/ride-through performance at acceptable normalized costs is illustrated. Enforcement relies on standards-based telemetry and cybersecurity (IEC 61850/62351/62443) and PCC compliance (e.g., IEEE/IEC). Supply and network-side options are screened with stage-gates and indicative ELCC/PCC contributions. In a representative mature case, adequacy at 0.1 day·yr−1 is maintained at ≈$200 per compute-kW-yr. A covenant term sheet (tranche sizing, benefit–risk sharing, compliance workflow) is developed along an integration roadmap. Taken together, this perspective outlines a governance mechanism that aligns rapid compute growth with system adequacy and decarbonization. Full article
Show Figures

Figure 1

14 pages, 2743 KB  
Article
High-Throughput Phenotyping of Cereal Crops Under Stress: Unveiling Evapotranspiration and Respiration Patterns
by Kenny Paul, Pablo Rischbeck and Hans-Peter Kaul
Agronomy 2025, 15(10), 2442; https://doi.org/10.3390/agronomy15102442 - 21 Oct 2025
Viewed by 259
Abstract
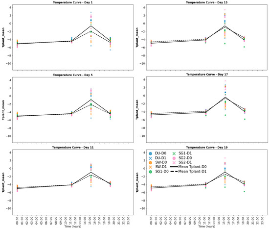
Addressing crop responses to drought and nitrogen stress is crucial for improving resilience and ensuring sustainable agriculture under changing climatic conditions. This study investigates the physiological responses of wheat (Videodur [DU], Sensas [SW]) and barley (Tiroler Imperial [SG1], Amidala [SG2]) cultivars to drought [...] Read more.
Addressing crop responses to drought and nitrogen stress is crucial for improving resilience and ensuring sustainable agriculture under changing climatic conditions. This study investigates the physiological responses of wheat (Videodur [DU], Sensas [SW]) and barley (Tiroler Imperial [SG1], Amidala [SG2]) cultivars to drought and nitrogen stress during early reproductive to full maturity stages (BBCH 70 to 90) using infrared (IR) and visible near-infrared–shortwave infrared (VNIR-SWIR) hyperspectral imaging. Evapotranspiration (ET) and respiration were analyzed as functions of mean plant temperature (Tplant), light intensity, plant water status (indicated by the Normalized Difference Water Index, NDWI), and air humidity. Results revealed that drought stress significantly reduced NDWI and ET while increasing Tplant, with wheat cultivars showing greater sensitivity to water deficit. Barley, particularly SG2, exhibited superior water retention and thermal regulation, highlighting its potential for drought resilience with consistently higher NDWI values and lower Tplant. Temporal analysis identified the reproductive stage as the most vulnerable to stress, with a sharp decline in NDWI and rise in Tplant, emphasizing the need for stage-specific interventions. Regression models explained 74% of ET variance and 67% of respiration variance, underscoring the predictive power of NDWI and Tplant as proxies for plant water status and metabolic activity. Real-time evapotranspiration (ET) measurements using a balance during precision watering further validated the predictive capabilities of NDWI and Tplant. These findings provide valuable insights into growth stage-specific breeding programs and sustainable crop management strategies under environmental stress conditions. Full article
(This article belongs to the Section Water Use and Irrigation)
Show Figures

Figure 1

19 pages, 875 KB  
Article
A Comparative Analysis of Preprocessing Filters for Deep Learning-Based Equipment Power Efficiency Classification and Prediction Models
by Sang-Ha Sung, Chang-Sung Seo, Michael Pokojovy and Sangjin Kim
Appl. Sci. 2025, 15(20), 11277; https://doi.org/10.3390/app152011277 - 21 Oct 2025
Viewed by 132
Abstract
The quality of input data is critical to the performance of time-series classification models, particularly in the domain for industrial sensor data where noise and anomalies are frequent. This study investigates how various filtering-based preprocessing techniques impact the accuracy and robustness of a [...] Read more.
The quality of input data is critical to the performance of time-series classification models, particularly in the domain for industrial sensor data where noise and anomalies are frequent. This study investigates how various filtering-based preprocessing techniques impact the accuracy and robustness of a Transformer model that predicts power efficiency states (Normal, Caution, Warning) from minute-level IIoT sensor data. We evaluated five techniques: a baseline, Simple Moving Average, Median filter, Hampel filter, and Kalman filter. For each technique, we conducted systematic experiments across time windows (360 and 720 min) that reflect real-world industrial inspection cycles, along with five prediction offsets (up to 2880 min). To ensure statistical robustness, we repeated each experiment 20 times with different random seeds. The results show that the Simple Moving Average filter, combined with a 360 min window and a short-term prediction offset, yielded the best overall performance and stability. While other techniques such as the Kalman and Median filters showed situational strengths, methods focused on outlier removal, like the Hampel filter, adversely affected performance. This study provides empirical evidence that a simple and efficient filtering strategy such as Simple Moving Average, can significantly and reliably enhance model performance for power efficiency prediction tasks. Full article
Show Figures

Figure 1

19 pages, 1977 KB  
Article
Research on the Evaluation Model for Natural Gas Pipeline Capacity Allocation Under Fair and Open Access Mode
by Xinze Li, Dezhong Wang, Yixun Shi, Jiaojiao Jia and Zixu Wang
Energies 2025, 18(20), 5544; https://doi.org/10.3390/en18205544 - 21 Oct 2025
Viewed by 239
Abstract
Compared with other fossil energy sources, natural gas is characterized by compressibility, low energy density, high storage costs, and imbalanced usage. Natural gas pipeline supply systems possess unique attributes such as closed transportation and a highly integrated upstream, midstream, and downstream structure. Moreover, [...] Read more.
Compared with other fossil energy sources, natural gas is characterized by compressibility, low energy density, high storage costs, and imbalanced usage. Natural gas pipeline supply systems possess unique attributes such as closed transportation and a highly integrated upstream, midstream, and downstream structure. Moreover, pipelines are almost the only economical means of onshore natural gas transportation. Given that the upstream of the pipeline features multi-entity and multi-channel supply including natural gas, coal-to-gas, and LNG vaporized gas, while the downstream presents a competitive landscape with multi-market and multi-user segments (e.g., urban residents, factories, power plants, and vehicles), there is an urgent social demand for non-discriminatory and fair opening of natural gas pipeline network infrastructure to third-party entities. However, after the fair opening of natural gas pipeline networks, the original “point-to-point” transaction model will be replaced by market-driven behaviors, making the verification and allocation of gas transmission capacity a key operational issue. Currently, neither pipeline operators nor government regulatory authorities have issued corresponding rules, regulations, or evaluation plans. To address this, this paper proposes a multi-dimensional quantitative evaluation model based on the Analytic Hierarchy Process (AHP), integrating both commercial and technical indicators. The model comprehensively considers six indicators: pipeline transportation fees, pipeline gas line pack, maximum gas storage capacity, pipeline pressure drop, energy consumption, and user satisfaction and constructs a quantitative evaluation system. Through the consistency check of the judgment matrix (CR = 0.06213 < 0.1), the weights of the respective indicators are determined as follows: 0.2584, 0.2054, 0.1419, 0.1166, 0.1419, and 0.1357. The specific score of each indicator is determined based on the deviation between each evaluation indicator and the theoretical optimal value under different gas volume allocation schemes. Combined with the weight proportion, the total score of each gas volume allocation scheme is finally calculated, thereby obtaining the recommended gas volume allocation scheme. The evaluation model was applied to a practical pipeline project. The evaluation results show that the AHP-based evaluation model can effectively quantify the advantages and disadvantages of different gas volume allocation schemes. Notably, the gas volume allocation scheme under normal operating conditions is not the optimal one; instead, it ranks last according to the scores, with a score 0.7 points lower than that of the optimal scheme. In addition, to facilitate rapid decision-making for gas volume allocation schemes, this paper designs a program using HTML and develops a gas volume allocation evaluation program with JavaScript based on the established model. This self-developed program has the function of automatically generating scheme scores once the proposed gas volume allocation for each station is input, providing a decision support tool for pipeline operators, shippers, and regulatory authorities. The evaluation model provides a theoretical and methodological basis for the dynamic optimization of natural gas pipeline gas volume allocation schemes under the fair opening model. It is expected to, on the one hand, provide a reference for transactions between pipeline network companies and shippers, and on the other hand, offer insights for regulatory authorities to further formulate detailed and fair gas transmission capacity transaction methods. Full article
(This article belongs to the Special Issue New Advances in Oil, Gas and Geothermal Reservoirs—3rd Edition)
Show Figures

Figure 1

23 pages, 6278 KB  
Article
Photovoltaic Module Degradation Detection Using V–P Curve Derivatives and LSTM-Based Classification
by Chan-Ho Lee, Sang-Kil Lim, Sung-Jun Park and Beom-Hun Kim
Sensors 2025, 25(20), 6475; https://doi.org/10.3390/s25206475 - 20 Oct 2025
Viewed by 263
Abstract
Photovoltaic systems are a core component of eco-friendly energy technologies and are now widely utilized across the world for power generation. However, solar modules that are continuously exposed to the external environment experience gradual performance degradation, which results in significant power loss and [...] Read more.
Photovoltaic systems are a core component of eco-friendly energy technologies and are now widely utilized across the world for power generation. However, solar modules that are continuously exposed to the external environment experience gradual performance degradation, which results in significant power loss and operational problems. Existing aging diagnostic methods such as current–voltage curve analysis and electroluminescence/photoluminescence testing have limitations in terms of real-time monitoring, quantitative evaluation, and applicability to large-scale power plants. To address these challenges, this study proposes a novel degradation detection method that utilizes the first-order derivative of the voltage–power curve of solar modules to extract key features. This method can estimate the number of degraded solar modules within a string and the degree of degradation, enabling early detection of subtle changes in electrical characteristics. In this study, we developed an AI model based on long short-term memory to classify normal and abnormal states and predict aging status, thereby supporting monitoring and early diagnosis. The model architecture was designed to reflect the characteristics of solar power systems, adopting a relatively shallow network due to the time-series data not being excessively long and the feature changes being clear. This design effectively mitigates the issues of overfitting and gradient vanishing, thereby positively contributing to the stability of model training. The training and validation results of the proposed long short-term memory model were verified through MATLAB simulations, confirming its effectiveness in learning and convergence. Full article
(This article belongs to the Special Issue Condition Monitoring of Electrical Equipment Within Power Systems)
Show Figures

Figure 1

14 pages, 3455 KB  
Article
Computational Identification of Genetic Background of Infertility and Calculating Inbreeding Coefficient in Dromedary Camel Herds
by Fahad A. Alshanbari and Abdulrahman Aloraini
Genes 2025, 16(10), 1238; https://doi.org/10.3390/genes16101238 - 19 Oct 2025
Viewed by 368
Abstract
Background: Inbreeding is a major genetic problem that reduces fertility and causes genetic disorders. Some breeders of dromedary camels use the same bull for many years due to its excellent characteristics, leading to mating with offspring and subsequent generations, resulting in increased [...] Read more.
Background: Inbreeding is a major genetic problem that reduces fertility and causes genetic disorders. Some breeders of dromedary camels use the same bull for many years due to its excellent characteristics, leading to mating with offspring and subsequent generations, resulting in increased homozygosity and genetic disorders. We hypothesize that inbreeding is associated with infertility in dromedary camels with normal and uninfected reproductive tracts. Methods: We genotyped 96 samples from seven camel breeds using the Illumina 55K SNP BeadChip, including five confirmed infertile individuals. Inbreeding coefficients (F) were calculated using PLINK based on heterozygosity and runs of homozygosity. Genome-wide association analysis using logistic regression was performed to identify potential genomic regions associated with infertility. Results: All five infertile camels showed significantly higher F values (>0.15) compared to 91 fertile individuals (<0.10, p < 0.001). The genome-wide association analysis failed to identify specific genomic regions linked to infertility, likely due to limited statistical power (n = 5 cases) and the polygenic nature of fertility traits. Population structure analysis revealed genetic differentiation related to coat color, with two significant SNPs on chromosome 3 near SLC30A5 (p < 107). Conclusions: Our results demonstrate that elevated inbreeding is strongly associated with infertility in dromedary camels. Future studies should employ larger sample sizes (≥50 infertile individuals) or whole-genome sequencing (35× coverage) to identify specific genomic regions. Implementation of breeding strategies avoiding related matings (F < 0.10) is recommended to maintain reproductive performance in camel herds. Full article
(This article belongs to the Section Animal Genetics and Genomics)
Show Figures

Figure 1

19 pages, 788 KB  
Review
The Other Side of the Same Coin: Beyond the Coding Region in Amyotrophic Lateral Sclerosis
by Paola Ruffo, Benedetta Perrone, Francesco Perrone, Francesca De Amicis, Rodolfo Iuliano, Cecilia Bucci, Angela Messina and Francesca Luisa Conforti
Pharmaceuticals 2025, 18(10), 1573; https://doi.org/10.3390/ph18101573 - 18 Oct 2025
Viewed by 206
Abstract
Transposable elements (TEs), once regarded as genomic “junk,” are now recognized as powerful regulators of gene expression, genome stability, and innate immunity. In the context of neurodegeneration, particularly Amyotrophic Lateral Sclerosis (ALS), accumulating evidence implicates TEs as active contributors to disease pathogenesis. ALS [...] Read more.
Transposable elements (TEs), once regarded as genomic “junk,” are now recognized as powerful regulators of gene expression, genome stability, and innate immunity. In the context of neurodegeneration, particularly Amyotrophic Lateral Sclerosis (ALS), accumulating evidence implicates TEs as active contributors to disease pathogenesis. ALS is a fatal motor neuron disease with both sporadic and familial forms, linked to genetic, epigenetic, and environmental factors. While coding mutations explain a subset of cases, advances in long-read sequencing and epigenomic profiling have unveiled the profound influence of non-coding regions—especially retrotransposons such as LINE-1, Alu, and SVA—on ALS onset and progression. TEs may act through multiple mechanisms: generating somatic mutations, disrupting chromatin architecture, modulating transcriptional networks, and triggering sterile inflammation via innate immune pathways like cGAS-STING. Their activity is normally repressed by epigenetic regulators, including DNA methylation, histone modifications, and RNA interference pathways; however, these controls are compromised in ALS. Taken together, these insights underscore the translational potential of targeting transposable elements in ALS, both as a source of novel biomarkers for patient stratification and disease monitoring, and as therapeutic targets whose modulation may slow neurodegeneration and inflammation. This review synthesizes the current knowledge of TE biology in ALS; integrates findings across molecular, cellular, and systems levels; and explores the therapeutic potential of targeting TEs as modulators of neurodegeneration. Full article
Show Figures

Figure 1

17 pages, 478 KB  
Article
A Bayesian Model for Paired Data in Genome-Wide Association Studies with Application to Breast Cancer
by Yashi Bu, Min Chen, Zhenyu Xuan and Xinlei Wang
Entropy 2025, 27(10), 1077; https://doi.org/10.3390/e27101077 - 18 Oct 2025
Viewed by 197
Abstract
Complex human diseases, including cancer, are linked to genetic factors. Genome-wide association studies (GWASs) are powerful for identifying genetic variants associated with cancer but are limited by their reliance on case–control data. We propose approaches to expanding GWAS by using tumor and paired [...] Read more.
Complex human diseases, including cancer, are linked to genetic factors. Genome-wide association studies (GWASs) are powerful for identifying genetic variants associated with cancer but are limited by their reliance on case–control data. We propose approaches to expanding GWAS by using tumor and paired normal tissues to investigate somatic mutations. We apply penalized maximum likelihood estimation for single-marker analysis and develop a Bayesian hierarchical model to integrate multiple markers, identifying SNP sets grouped by genes or pathways, improving detection of moderate-effect SNPs. Applied to breast cancer data from The Cancer Genome Atlas (TCGA), both single- and multiple-marker analyses identify associated genes, with multiple-marker analysis providing more consistent results with external resources. The Bayesian model significantly increases the chance of new discoveries. Full article
Show Figures

Figure 1

26 pages, 784 KB  
Article
Bi-Scale Mahalanobis Detection for Reactive Jamming in UAV OFDM Links
by Nassim Aich, Zakarya Oubrahim, Hachem Ait Talount and Ahmed Abbou
Future Internet 2025, 17(10), 474; https://doi.org/10.3390/fi17100474 - 17 Oct 2025
Viewed by 373
Abstract
Reactive jamming remains a critical threat to low-latency telemetry of Unmanned Aerial Vehicles (UAVs) using Orthogonal Frequency Division Multiplexing (OFDM). In this paper, a Bi-scale Mahalanobis approach is proposed to detect and classify reactive jamming attacks on UAVs; it jointly exploits window-level energy [...] Read more.
Reactive jamming remains a critical threat to low-latency telemetry of Unmanned Aerial Vehicles (UAVs) using Orthogonal Frequency Division Multiplexing (OFDM). In this paper, a Bi-scale Mahalanobis approach is proposed to detect and classify reactive jamming attacks on UAVs; it jointly exploits window-level energy and the Sevcik fractal dimension and employs self-adapting thresholds to detect any drift in additive white Gaussian noise (AWGN), fading effects, or Radio Frequency (RF) gain. The simulations were conducted on 5000 frames of OFDM signals, which were distorted by Rayleigh fading, a ±10 kHz frequency drift, and log-normal power shadowing. The simulation results achieved a precision of 99.4%, a recall of 100%, an F1 score of 99.7%, an area under the receiver operating characteristic curve (AUC) of 0.9997, and a mean alarm latency of 80 μs. The method used reinforces jam resilience in low-power commercial UAVs, yet it needs no extra RF hardware and avoids heavy deep learning computation. Full article
(This article belongs to the Special Issue Intelligent IoT and Wireless Communication)
Show Figures

Graphical abstract

28 pages, 6695 KB  
Article
Application of Classical and Quantum-Inspired Methods Through Multi-Objective Optimization for Parameter Identification of a Multi-Story Prototype Building
by Andrés Rodríguez-Torres, Cesar Hernando Valencia-Niño and Luis Alvarez-Icaza
Buildings 2025, 15(20), 3743; https://doi.org/10.3390/buildings15203743 - 17 Oct 2025
Viewed by 227
Abstract
This study proposes a new approach to identify structural parameters under seismic excitation using classical and quantum-inspired algorithms. Traditional methods often struggle with complex effects, noise, and computing limits. A five-story building model with mass–spring–damper system was tested to find properties during earthquakes. [...] Read more.
This study proposes a new approach to identify structural parameters under seismic excitation using classical and quantum-inspired algorithms. Traditional methods often struggle with complex effects, noise, and computing limits. A five-story building model with mass–spring–damper system was tested to find properties during earthquakes. The study used optimization methods including Genetic Algorithm (GA), Particle Swarm Optimization (PSO), and five quantum-inspired versions: Quantum Genetic Algorithm (QGA), Quantum Particle Swarm Optimization (QPSO), Quantum Non-Dominated Sorting Genetic Algorithm II (QNSGA-II), Quantum Differential Evolution (QDE), and Quantum Simulated Annealing (QSA). Additionally, statistical analysis used Shapiro–Wilk for normality, Levene and Bartlett for variance, ANOVA with Tukey–Bonferroni comparisons, Bootstrap model ranking, and Borda count. The results show that the quantum-inspired methods perform better than classical ones. QSA reduced mean squared error (MSE) by 15.3% compared to GA, and QNSGA-II reduced MSE by 8.6% and root mean squared error (RMSE) by 3.5%, with less variation and tighter rankings. The framework addresses computing cost and response time; quantum methods need significant computing power and their accuracy suits offline earthquake assessments and model updates. This balance helps monitor building health when real-time speed is less critical but accuracy matters. The method provides a scalable tool for checking civil structures and could enable digital twins. Full article
(This article belongs to the Special Issue Research on Structural Analysis and Design of Civil Structures)
Show Figures

Figure 1

Back to TopTop