Next Article in Journal
Characterization of Anthocyanins and Lipid Components in Berries of Nine Red Grapevine Cultivars
Previous Article in Journal
GIPA: A High-Throughput Computational Toolkit for Genomic Identity and Parentage Analysis in Modern Crop Breeding
 
 
Font Type:
Arial Georgia Verdana
Font Size:
Aa Aa Aa
Line Spacing:
Column Width:
Background:
Article

High-Throughput Phenotyping of Cereal Crops Under Stress: Unveiling Evapotranspiration and Respiration Patterns

Department of Agricultural Sciences, BOKU University Vienna, Konrad-Lorenz-Straße 24, 3430 Tulln, Austria
*
Author to whom correspondence should be addressed.
Agronomy 2025, 15(10), 2442; https://doi.org/10.3390/agronomy15102442
Submission received: 11 September 2025 / Revised: 7 October 2025 / Accepted: 17 October 2025 / Published: 21 October 2025
(This article belongs to the Section Water Use and Irrigation)

Abstract

Addressing crop responses to drought and nitrogen stress is crucial for improving resilience and ensuring sustainable agriculture under changing climatic conditions. This study investigates the physiological responses of wheat (Videodur [DU], Sensas [SW]) and barley (Tiroler Imperial [SG1], Amidala [SG2]) cultivars to drought and nitrogen stress during early reproductive to full maturity stages (BBCH 70 to 90) using infrared (IR) and visible near-infrared–shortwave infrared (VNIR-SWIR) hyperspectral imaging. Evapotranspiration (ET) and respiration were analyzed as functions of mean plant temperature (Tplant), light intensity, plant water status (indicated by the Normalized Difference Water Index, NDWI), and air humidity. Results revealed that drought stress significantly reduced NDWI and ET while increasing Tplant, with wheat cultivars showing greater sensitivity to water deficit. Barley, particularly SG2, exhibited superior water retention and thermal regulation, highlighting its potential for drought resilience with consistently higher NDWI values and lower Tplant. Temporal analysis identified the reproductive stage as the most vulnerable to stress, with a sharp decline in NDWI and rise in Tplant, emphasizing the need for stage-specific interventions. Regression models explained 74% of ET variance and 67% of respiration variance, underscoring the predictive power of NDWI and Tplant as proxies for plant water status and metabolic activity. Real-time evapotranspiration (ET) measurements using a balance during precision watering further validated the predictive capabilities of NDWI and Tplant. These findings provide valuable insights into growth stage-specific breeding programs and sustainable crop management strategies under environmental stress conditions.

1. Introduction

Cereal crops, including wheat and barley, are essential for global food security, providing a significant portion of the calories and nutrients consumed worldwide [1]. Their productivity is increasingly threatened by environmental stressors such as drought and nitrogen limitations. Drought stress, in particular, restricts water availability, leading to reduced stomatal conductance, impaired photosynthesis, and diminished crop yields [2]. Similarly, nitrogen deficiency affects plant growth, while excessive nitrogen application can reduce water use efficiency and increase production costs [3]. Understanding the physiological responses of cereal crops to these stressors is critical for developing strategies to enhance their resilience and ensure sustainable agricultural practices.
Nitrogen plays a significant role in influencing crop water use efficiency and evapotranspiration (ET). Nitrogen fertilization can affect root biomass and canopy development, which in turn impacts ET. Studies have demonstrated that nitrogen levels can modify stomatal conductance and photosynthetic rate, influencing the water use efficiency of crops like maize and wheat. While high nitrogen supply levels can enhance growth and yield, excessive nitrogen can lead to increased water consumption and reduced water use efficiency [4].
Drought stress significantly impacts cereal crop ET and respiration. Under drought conditions, crops show reduced stomatal conductance, limiting transpiration and affecting the overall water balance. This stress leads to a decrease in leaf area and root growth, further reducing ET. Drought stress can also cause a decline in xylem hydraulic conductivity, impairing water transport to leaves and reducing photosynthesis. Additionally, drought stress increases the vapor pressure deficit (VPD), exacerbating the reduction in transpiration and affecting the plant’s ability to utilize water efficiently [2,5]. This occurs because the drought-induced stomatal closure limits water loss, overriding the typical effect of VPD on increasing transpiration [6].
Evapotranspiration (ET) and respiration are key physiological processes that reflect a plant’s water use efficiency and metabolic activity under stress conditions [7]. Plant temperature (Tplant) and the Normalized Difference Water Index (NDWI) are valuable proxies for assessing these processes, as they provide insights into plant water status and thermal regulation. High-throughput plant phenotyping technologies, including infrared (IR) imaging and VNIR-SWIR hyperspectral imaging, offer powerful tools for monitoring these traits across diverse environmental conditions [8]. By integrating these technologies, researchers can unravel the complex interactions between environmental stressors and crop physiology, enabling the identification of stress-resilient genotypes.
Light intensity, along with drought and nitrogen availability, drives the diurnal patterns of evapotranspiration (ET) and respiration in plants by regulating stomatal opening and photosynthesis [9]. As light increases from sunrise to midday, stomata open, boosting photosynthesis and transpiration, leading to peak ET rates. Under water scarcity, stomata may partially close to conserve moisture, reducing ET [10]. In the late afternoon and evening, as light decreases, stomata close, photosynthesis slows, and ET declines. At night, with no light, photosynthesis halts, but respiration continues as plants metabolize stored sugars [11].
In the context of assessing cereal crops’ phenotypic responses to drought and nitrogen stress, the Normalized Difference Water Index (NDWI) is a valuable tool for monitoring plant water content and stress levels [12]. This index helps evaluate the water content in vegetation, crucial for understanding the impact of drought stress on crops. In addition to NDWI, phenotypic responses under varying nitrogen levels and drought conditions can be further elucidated through Tplant plots, representing plant temperature under different conditions [13,14].
To address these challenges, advanced phenotyping techniques have been used to assess critical plant traits related to growth, photosynthesis, and stress tolerance [7]. High-throughput phenotyping technologies, such as RGB imaging, infrared (IR) imaging, and visible near-infrared–shortwave infrared (VNIR-SWIR) hyperspectral imaging, are employed to accurately measure desired traits in crops across diverse environments [15]. Controlled environmental conditions, such as precision watering, can be used along with these technologies to study plant responses to specific water regimes [16]. These techniques enable the prediction of physiological and biochemical traits related to growth, maturation, and senescence during critical growth periods under multivariable climatic conditions [17].
This study focuses on the responses of two wheat cultivars (Videodur [DU] and Sensas [SW]) and two barley cultivars (Tiroler Imperial [SG1] and Amidala [SG2]) to varying levels of drought and nitrogen (N25 and N130) stress conditions. Specifically, under drought stress, nitrogen levels influence the plant’s physiological responses, including stomatal conductance and evaporative cooling, which in turn affect Tplant [18]. For instance, higher nitrogen levels (N130) may enhance growth and plant development, potentially increasing water consumption and supporting evaporative cooling, while lower nitrogen levels (N25) might limit these effects [19]. These dynamics are reflected in the Tplant measurements and drought conditions for wheat (DU, SW) and barley (SG1, SG2) cultivars. The role of the Normalized Difference Water Index (NDWI) in monitoring and evaluating plant water content and stress levels will be examined, along with its integration into phenotyping approaches. Using VNIR-SWIR hyperspectral and IR imaging, the research examines the dynamics of ET and respiration as functions of Tplant under varying light intensities, NDWI and humidity [20]. The study targets early reproductive to full maturity stages when stress impacts are most pronounced and aims to evaluate the potential of NDWI and Tplant as predictive metrics for effectively predicting evapotranspiration and respiration patterns. By leveraging regression models and temporal analyses, the research provides valuable insights into the physiological mechanisms underlying drought and nitrogen stress responses, with implications for breeding programs and sustainable crop management strategies.

2. Materials and Methods

2.1. Crop Material and Experimental Sampling

Seed grains of Durum wheat cultivar Videodur (DU), spring wheat cultivar Sensas (SW) and spring barley varieties Tiroler Imperial (SG1) and Amidala (SG2) were obtained from AGES GmbH, Spargelfeldstrasse, Vienna. Germination rates for Videodur were found to be 89% and 96% for Sensas, Tiroler Imperial and Amidala, respectively. Seven 50-L bags of Plagron ProMix substrate were placed on a tarpaulin and mixed homogeneously using a shovel. Each pot was filled with 1.7 kg of substrate, equivalent to about 8 L compressed by hand to 4 L. Afterwards, 20 grains were sown per pot, with 10 grains arranged in a circle on the outer edge, 8 grains in a circle on the inside, and 2 grains in the centre of the pot. Twelve pots of each variety were sown, and ten plants were singled out per pot (1 plant in the centre, 4 plants in a circle around it, 5 plants in a circle outside the edge of the pot) in the 2-leaf stage. The 48 pots were divided according to the factorial design into 4 genotypes × 2 N rates × 2 water levels × 3 replicates.
In this study, two nitrogen treatments were applied: nitrogen-limited (N25) at 25 kg N/ha and nitrogen-sufficient (N130) at 130 kg N/ha. For the N25 treatment, each pot received 6.072 g of Ensin and 1.052 g of DC-45, while the N130 treatment obtained 30.245 g of Ensin and 1.052 g of DC-45 per pot. Ensin contains two nitrification inhibitors: 1,2,4-triazole (TZ) and dicyandiamide (DCD). It is manufactured by Duslo a.s. in Šaľa, Slovakia, and SKW Piesteritz in Wittenberg, Germany. DC-45 is another nitrification inhibitor used in fertilizers to slow the conversion of ammonia to nitrate, enhancing nitrogen use efficiency and reducing nitrogen losses from the soil. It is supplied by Agrana Beteiligungs-AG, Vienna, Austria. Micronutrients were administered by mixing 25 L of water with 25 caps (~10 mL/cap) of micronutrient fertilizer, which was evenly distributed using a watering can. Irrigation was managed with two drippers per pot to ensure even distribution. The greenhouse climate was controlled with a maximum temperature of 18 °C during the day and 15 °C at night.
The factorial experiment included 4 cultivars (two wheat cultivars: DU and SW, and two barley cultivars: SG1 and SG2), two nitrogen rates (N25 and N130), and two water levels (D0: no drought, D1: drought stress), with 3 replicates per treatment. The four cultivars were analysed together to compare their responses under similar environmental conditions, and genetic differences between wheat and barley were followed as “species × treatment” interaction.

2.2. Phenotyping Measurements

During the early reproductive to late maturity stage, spanning three weeks, the plants were transferred to the phenotyping facility at Vienna Biocenter Core Facility (VBCF), and various imaging and measurement techniques were performed:
  • Infrared (IR)-based thermal imaging was conducted four times per day, with photosynthetic photon flux density (PPFD) set at 0 µmol photons m−2 s−1 (00:00 h), 150 µmol photons m−2 s−1 (11:15 h), 800 µmol photons m−2 s−1 (15:15 h), and 500 µmol photons m−2 s−1 (19:15 h) to reflect the diurnal cycle.
  • VNIR-SWIR hyperspectral wavelength range data were integrated, normalized, and analysed from measurements taken at a PPFD of 800 µmol photons m−2 s−1.
  • Soil moisture content (SC) was monitored using automated watering based on weight, as described by [21,22]. ET_balance (evapotranspiration balance) was calculated as the difference between the weight of the pot after watering and the initial weight in grams (g). Respiration is calculated as the mean value of the Tplant or the weight (g) as a proxy.

2.3. Abiotic Stress and Multivariate Climate

For a two-factorial experiment, out of twelve pots per variety, six were nitrogen-limited (25 kg N/ha) and six were nitrogen-sufficient (130 kg N/ha). Half of the pots in each nitrogen condition were subjected to drought stress treatment, while the other half were not. Thus, three replicates were available per treatment. Days of phenotyping were split into two microclimatic conditions (temperature and light) at the high-throughput phenotyping facility, VBCF, as described in [23].

2.4. Identifying Water Content in Vegetation and Soil

The Normalized Difference Water Index (NDWI) is a valuable tool for remote sensing applications, particularly for monitoring and identifying water content in vegetation and soil [12,13].
NDWI values were calculated using the formula:
NDWI = RNIR − RSWIR/RNIR + RSWIR
where RNIR is the reflectance in the near-infrared band (typically around 860 nm) and RSWIR is the reflectance in the short-wave infrared band (typically around 1640 nm), respectively (Figure 1).

2.5. Thermography (Tplant)

Infrared (IR) thermal imaging was performed from side-view rotations at 0° and 180° to capture comprehensive temperature profiles of individual pots, as described in [14,24]. Measurements of plant temperature (Tplant) were taken under four light intensity conditions: 0 μE (dark), 150 µE, 500 µE, and 800 µE, capturing the average temperature of crop plants across three biological replicates per treatment [25] (Figure 2). Each replicate consisted of 10 plant seedlings grown in individual pots. Data normalization ensured consistency across treatments and light conditions, and outliers were removed to improve data reliability. The evaporative cooling effect was quantified by calculating the cooled area based on pixel color differences between the ambient probe and background temperatures, following the methodology of [5]. These measurements provided critical insights into the effects of nitrogen and drought stress on plant temperature and evaporative cooling dynamics.

2.6. Evapotranspiration and Respiration Estimation

The dataset comprised measurements of NDWI and Tplant across four cereal crop cultivars (wheat: DU, SW; barley: SG1, SG2) under two drought stress treatments (D0: no drought, D1: drought stress) and four light intensity conditions (night/dark, 150 µE, 500 µE and 800 µE, similar to outdoor light regime diurnally). Measurements were taken during the phenotyping period, covering critical growth stages of the crop life cycle (Figure 1 and Figure 2). Evapotranspiration (ET) was estimated using a simplified energy balance model as a function of NDWI, Tplant, light intensity, and humidity [26]. Multiple linear regression models were developed to predict ET and respiration as functions of NDWI, Tplant, under different light intensities [27]. The regression model for ET was:
ET = β0 + β1 × NDWI + β2 × Tplant + β3 × Light Intensity (µE) + ϵ
where β0, β1, β2 and β3 represent regression coefficients and ϵ represents the error term in the regression model. To implement the above evapotranspiration (ET) model, Python script was modified using GPT-4.0 (OpenAI) tool. Night-time Tplant measurements were used to infer respiration rates, providing insights into metabolic activity under different stress conditions [28].

2.7. Statistics

Statistical analyses of data were carried out using IBM SPSS Statistics software (IBM Corp. IBM SPSS Statistics for Windows, Version 27.0. Released 2020. Armonk, NY, USA) and python software (Jupyter Notebook 6.5.4, Anaconda Navigator). To detect any outliers for each species, z-scores were calculated, and no data points fell outside the range of +3 and −3 standard deviations from the mean of the dataset. Correlation analysis was performed to examine the relationships between ET, respiration, NDWI, and Tplant under each treatment and light condition. Multiple linear regression models were developed to predict ET and respiration as functions of NDWI, Tplant, and light intensity. Interaction terms were included to capture the combined effects of these variables under drought and nitrogen stress. Scatter plots and line plots were generated to visualize the relationships between NDWI, Tplant, ET, and respiration.
The replicates (3 per treatment) were not part of the factorial structure but were included to ensure statistical reliability and account for biological variability. The factorial model was based on the four genotypes, two nitrogen rates, and two drought stress levels, with replicates used to calculate mean values and assess variability within each treatment group.

3. Results

3.1. Evapotranspiration (ET) and Respiration

ET was estimated as a function of NDWI, Tplant, light intensity, and humidity using a simplified energy balance model. Correlation analysis revealed significant relationships between ET and NDWI/Tplant under varying light conditions and drought treatments (Figure 3). Under no drought (D0), ET showed a strong positive correlation with NDWI (r = 0.81, p < 0.01) and a moderate negative correlation with Tplant (r = −0.48, p < 0.05). In drought conditions (D1), the correlation between ET and NDWI weakened (r = 0.55, p < 0.05), while the negative correlation with Tplant became stronger (r = −0.65, p < 0.01). Light intensity amplified these effects, with the strongest correlations observed under high light conditions (Tplant measured at 800 µE) (Figure 2). Night-time Tplant measurements (dark) were used to infer respiration rates. Respiration was positively correlated with Tplant across all treatments, with stronger correlations under drought stress (D1: r = 0.71, p < 0.01) compared to no drought (D0: r = 0.57, p < 0.05). NDWI showed a weaker but significant negative correlation with respiration under drought stress (r = −0.43, p < 0.05), suggesting reduced water content in the plant impacts metabolic activity (Figure S1).
The multiple regression model explained 74% of the variance in ET (R2 = 0.74, p < 0.001), with NDWI and light intensity being the most significant predictors. Interaction terms revealed that the combined effects of NDWI and Tplant were more pronounced under drought stress, particularly at higher light intensities. For respiration, a similar regression model showed that Tplant was the dominant predictor, explaining 67% of the variance (R2 = 0.67, p < 0.001). Interaction effects indicated that the relationship between Tplant and respiration was modulated by drought stress, with higher respiration rates observed under drought (D1) conditions.

3.2. Crop-Specific Analysis

Separate analyses for wheat (DU, SW) and barley (SG1, SG2) cultivars highlighted genetic differences in their responses to drought and light conditions. Wheat cultivars exhibited higher Tplant values under drought stress, particularly at high light intensities (800 µE), with DU showing the highest Tplant (mean: 30.3 °C), indicating greater sensitivity to drought stress. Barley cultivars, on the other hand, maintained lower Tplant values under similar conditions, with SG2 showing the lowest Tplant (mean: 27.6 °C). NDWI values were consistently higher in barley cultivars, indicating better water retention compared to wheat. Cultivar-specific differences were observed, but less pronounced than the broader species-level trends.
Temporal trends revealed dynamic changes in NDWI, Tplant, ET, and respiration over the phenotyping period. At the beginning of the observation period, NDWI was high across all cultivars, indicating sufficient water content. However, as drought stress intensified, NDWI declined more sharply in wheat than in barley. Tplant increased steadily over time, with the most significant rise observed during the reproductive stage under D1 conditions. Correlations between ET and NDWI were strongest during the vegetative stage, while correlations between respiration and Tplant peaked during grain filling.
Line plots of NDWI, Tplant, ET, and respiration over the phenotyping period provided insights into grain filling stages when stress responses were most significant. For example, NDWI declined sharply during the reproductive stage under drought conditions (D1), coinciding with a rise in Tplant and a drop in ET (Figure 3). Scatter plots show a negative linear relationship between Tplant and ET under drought stress, particularly at high light intensities (Figure S1). The integration of NDWI and Tplant measurements through high-throughput phenotyping platforms offers a robust approach for monitoring crop-specific stress responses. For instance, wheat cultivar DU demonstrated higher Tplant and lower NDWI under drought stress, indicating reduced transpiration efficiency and greater sensitivity to water deficit. Barley cultivars, especially SG2, maintained higher NDWI and lower Tplant, reflecting superior water retention and thermal regulation. These crop-specific differences underscore the potential of barley as a more drought-resilient cereal, with implications for targeted breeding programs aimed at improving stress resilience. Heatmaps of correlation coefficients across treatments and light conditions highlighted the differential impacts of drought and light on ET and respiration (Figure 4). Strong positive correlations between NDWI and ET at higher light intensities under D0 indicate simultaneous increases in NDWI and ET, while the NDWI-ET relationship weakens under drought stress (D1). At midday to afternoon high light intensities, moderate correlations between Tplant and respiration were observed under D1 conditions, whereas no significant correlations were found under well-watered D0 conditions.
Real-time ET measurements provide cultivar-specific water loss patterns under drought and nitrogen treatments, effectively capturing the immediate physiological responses of wheat and barley cultivars (Figure 5). Barley cultivars SG1 and SG2 exhibit reduced evapotranspiration under drought stress, indicating higher water use efficiency. They maintain relatively higher respiration rates under drought stress, reflecting better stress tolerance. Wheat cultivars DU and SW show increased evapotranspiration with higher nitrogen levels (N130 kg/ha), promoting growth and water uptake. They exhibit lower stress tolerance as indicated by their lower respiration rates under drought stress.

4. Discussion

This study provides a detailed analysis of evapotranspiration (ET) and respiration patterns in wheat (DU, SW) and barley (SG1, SG2) cultivars under varying drought stress and light intensity conditions, leveraging high-throughput plant phenotyping and infrared (IR) imaging. The results highlight the complex interplay between NDWI, Tplant, ET, and respiration, offering valuable insights into the physiological responses of cereal crops to environmental stressors. The effects of nitrogen rates (N25 and N130) on evapotranspiration (ET), respiration, and related physiological traits were also evaluated. However, no significant differences were observed in NDWI, Tplant, or ET between the nitrogen-limited (N25) and nitrogen-sufficient (N130) treatments under either drought (D1) or non-drought (D0) conditions. This suggests that nitrogen availability did not substantially influence the stress responses of the wheat and barley cultivars under the experimental conditions. These findings highlight that the observed physiological responses were primarily driven by drought stress and light intensity rather than nitrogen levels. Future studies could explore whether different nitrogen application strategies or rates might yield more pronounced effects under varying environmental conditions.

4.1. Influence of Drought Stress on NDWI and Tplant

The observed decline in NDWI under drought stress (D1) reflects reduced water content in the crop canopy, consistent with previous studies that link NDWI to plant water status [12]. Wheat cultivars, particularly DU, exhibited a sharper decline in NDWI, suggesting a greater sensitivity to water deficit. This aligns with the higher Tplant values observed in wheat under drought conditions, indicating reduced stomatal conductance and transpiration efficiency. Barley cultivars, especially SG2, maintained higher NDWI values and lower Tplant, suggesting better water retention and thermal regulation under stress. These findings emphasize the genetic trait characteristics of wheat and barley in their drought response mechanisms, with barley demonstrating robust physiological response to water deficit [29,30].

4.2. Evapotranspiration Patterns and Correlations

The strong positive correlation between ET and NDWI under no drought conditions (D0) highlights the role of canopy water content in driving transpiration. However, this relationship weakened under drought stress (D1), likely due to reduced stomatal conductance and limited water availability. The negative correlation between ET and Tplant, which became more pronounced under D1, further supports the role of stomatal closure in reducing transpiration and increasing leaf temperature. These findings are consistent with the energy balance model, where reduced transpiration leads to less evaporative cooling and higher Tplant.
Light intensity amplified these effects, with the strongest correlations observed under high light conditions (D: 800 µE). This suggests that light-driven photosynthetic activity and stomatal behavior play a critical role in modulating ET under stress. The regression model for ET, which explained 74% of the variance, highlights the combined influence of NDWI, Tplant, and light intensity on transpiration dynamics. The inclusion of interaction terms further revealed that the effects of NDWI and Tplant on ET are more pronounced under drought stress, emphasizing the need to consider environmental and physiological interactions in crop stress studies.

4.3. Respiration Dynamics and Night-Time Tplant

Night-time Tplant measurements provided valuable insights into respiration dynamics, with higher Tplant values correlating with increased respiration rates. This relationship was stronger under drought stress (D1), suggesting that water deficit intensifies metabolic activity, likely due to increased energy demands for stress adaptation [31]. The weaker but significant negative correlation between NDWI and respiration under D1 indicates that reduced water content in the canopy impacts metabolic processes, potentially limiting the availability of substrates for respiration [28].
The regression model for respiration, which explained 67% of the variance, identified Tplant as the dominant predictor, highlighting the critical role of plant temperature in regulating metabolic activity [31]. The interaction effects between Tplant and drought stress further underscore the complex physiological adjustments that occur under water deficit, with higher respiration rates reflecting the increased energy costs of maintaining cellular homeostasis and repairing stress-induced cellular damage.

4.4. Genetic Differences Between Wheat and Barley

The crop-specific analysis revealed significant genetic differences in the responses of wheat and barley cultivars to drought and light conditions. Wheat cultivars, particularly DU, exhibited higher Tplant values under drought stress, indicating a greater sensitivity to water deficit and reduced transpiration efficiency. Barley cultivars, especially SG2, maintained lower Tplant values and higher NDWI, reflecting better water retention and thermal regulation. Barley matures earlier and primarily relies on drought avoidance strategies, enabling it to conserve water and maintain physiological stability under stress. These differences highlight the potential of barley as a more drought-tolerant crop, with implications for breeding programs aimed at improving stress resilience in cereal crops.

4.5. Temporal Trends and Critical Growth Stages

The temporal analysis provided valuable insights into the dynamic changes in NDWI, Tplant, ET, and respiration over the phenotyping period. The sharp decline in NDWI during the reproductive stage under drought stress coincided with a significant rise in Tplant and a drop in ET, indicating a critical period of vulnerability to water deficit during grain filling [32]. These findings emphasize the importance of targeting specific growth stages for stress mitigation strategies, such as irrigation scheduling and nutrient management. The strong correlations between ET and NDWI during the vegetative stage and between respiration and Tplant during the reproductive stage highlight the shifting physiological priorities of crops over their life cycle. These temporal patterns underscore the need for stage-specific interventions to optimize water use efficiency and maintain metabolic balance under stress.

4.6. Implications for High-Throughput Phenotyping and Crop Management

The integration of NDWI and Tplant measurements through high-throughput plant phenotyping (HTPP) platforms offers a powerful approach for monitoring crop stress responses and identifying drought-tolerant genotypes. The strong correlations between these variables and key physiological processes, such as ET and respiration, demonstrate their utility as proxies for assessing plant water status and metabolic activity. The use of regression models, including interaction terms, further enhances the predictive power of these metrics, providing a robust framework for stress phenotyping and eventually crop management. The genetic traits observed in wheat and barley cultivars highlight the potential for targeted breeding programs to enhance stress resilience in cereal crops. Traits such as higher NDWI and lower Tplant, which demonstrate better performance under drought stress, could serve as valuable targets for improving water use efficiency and thermal regulation in these crops.
The comparison between real-time evapotranspiration (ET) measurements using a balance during precision watering (Figure 5) and the predictive capabilities of trait indices NDWI and Tplant (Figure 3) validates the integration of direct and modeled approaches for crop stress phenotyping. Real-time ET measurements provide immediate and cultivar-specific water loss patterns under varying drought and nitrogen treatments, capturing the physiological responses of crops. On the other hand, the predictive capabilities of NDWI and Tplant, as shown in Figure 3, highlight their strong correlations with ET and their utility as proxies for assessing plant water status and thermal regulation. This integration validates the use of both direct measurements and predictive modeling to enhance the accuracy and applicability of stress phenotyping in cereal crops.

5. Conclusions

This study demonstrates the utility of HTPP and IR imaging for unraveling the complex interactions between NDWI, Tplant, ET, and respiration in cereal crops under drought and nitrogen stress. By integrating NDWI and Tplant measurements, we demonstrated their strong correlations with evapotranspiration (ET) and respiration, with regression models explaining 74% of ET variance and 67% of respiration variance. These metrics provide valuable proxies for assessing plant water status and metabolic activity. Wheat cultivars exhibited greater sensitivity to drought stress, with higher Tplant and lower NDWI values, while barley cultivars, particularly SG2, showed superior water retention and thermal regulation, as evidenced by consistently higher NDWI values and lower Tplant under drought conditions. Temporal analysis identified critical growth stages, such as the reproductive phase, where stress impacts were most pronounced, emphasizing the need for stage-specific interventions to mitigate stress effects. These findings underscore the utility of NDWI and Tplant in stress phenotyping and their potential for guiding breeding programs to develop drought-resilient cultivars. Future research should expand the scope to include additional genotypes, stress scenarios, and advanced modelling approaches to further enhance the predictive power and applicability of these metrics in sustainable crop management.

Supplementary Materials

The following supporting information can be downloaded at: https://www.mdpi.com/article/10.3390/agronomy15102442/s1, Figure S1: Respiration rate under different stress conditions.

Author Contributions

Conceptualization, K.P.; methodology, K.P. and P.R.; investigation, P.R.; data curation, formal analysis, K.P. and H.-P.K.; writing—original draft preparation, K.P.; writing—review and editing, K.P. and H.-P.K.; visualization, K.P.; Funding Acquisition, H.-P.K., and P.R.; project administration, H.-P.K. All authors have read and agreed to the published version of the manuscript.

Funding

This work was funded by the Mobile Field Phenotyping for Agronomy and Breeding (MoFAB) project under Austrian Research Promotion Agency (FFG), Grant number: 884802. Open access funding of the publication is partially provided by BOKU University, Vienna.

Data Availability Statement

The original contributions presented in the study are included in the article, further inquiries can be directed to the corresponding author.

Acknowledgments

We thank Vera Pils from the BOKU Core Facility Bioinformatics for conceptualizing and visualizing Figure 1 and Figure 2 for us. We appreciate the substantial administrative support from Tania Baharyan-Pfeffer. During the preparation of this manuscript, the corresponding author used GPT-4.0 (OpenAI) to modify Python script for implementing the evapotranspiration model described in the study. Authors have reviewed and edited the output to ensure its accuracy and appropriateness for the research.

Conflicts of Interest

The authors declare no conflicts of interest.

References

  1. Asseng, S.; Martre, P.; Maiorano, A.; Rötter, R.P.; O’Leary, G.J.; Fitzgerald, G.J.; Girousse, C.; Motzo, R.; Giunta, F.; Ali Babar, M.; et al. Climate change impact and adaptation for wheat protein. Global Change Biol. 2019, 25, 155–173. [Google Scholar] [CrossRef]
  2. Qiao, M.; Hong, C.; Jiao, Y.; Hou, S.; Gao, H. Impacts of Drought on Photosynthesis in Major Food Crops and the Related Mechanisms of Plant Responses to Drought. Plants 2024, 13, 1808. [Google Scholar] [CrossRef] [PubMed]
  3. Ali, A.; Jabeen, N.; Farruhbek, R.; Chachar, Z.; Laghari, A.A.; Chachar, S.; Ahmed, N.; Ahmed, S.; Yang, Z. Enhancing nitrogen use efficiency in agriculture by integrating agronomic practices and genetic advances. Front. Plant Sci. 2025, 16, 1543714. [Google Scholar] [CrossRef] [PubMed]
  4. Hatfield, J.L.; Dold, C. Water-use efficiency: Advances and challenges in a changing climate. Front. Plant Sci. 2019, 10, 103. [Google Scholar] [CrossRef] [PubMed]
  5. Cai, G.; Wankmuller, F.; Ahmed, M.A.; Carminati, A. How the interactions between atmospheric and soil drought affect the functionality of plant hydraulics. Plant Cell Environ. 2023, 46, 733–735. [Google Scholar] [CrossRef]
  6. Zia, R.; Nawaz, M.S.; Siddique, M.J.; Hakim, S.; Imran, A. Plant survival under drought stress: Implications, adaptive responses, and integrated rhizosphere management strategy for stress mitigation. Microbiol. Res. 2021, 242, 126626. [Google Scholar] [CrossRef]
  7. Wang, H.; Li, X.; Xiao, J.; Ma, M. Evapotranspiration components and water use efficiency from desert to alpine ecosystems in drylands. Agric. For. Meteorol. 2021, 298–299, 108283. [Google Scholar] [CrossRef]
  8. Zia, S.; Romano, G.; Spreer, W.; Sanchez, C.; Cairns, J.; Araus, J.L.; Müller, J. Infrared thermal imaging as a rapid tool for identifying water-stress tolerant maize genotypes of different phenology. J. Agron. Crop Sci. 2013, 199, 75–84. [Google Scholar] [CrossRef]
  9. Liang, Y.; Cossani, C.M.; Sadras, V.O.; Yang, Q.; Wang, Z. The Interaction Between Nitrogen Supply and Light Quality Modulates Plant Growth and Resource Allocation. Front. Plant Sci. 2022, 13, 864090. [Google Scholar] [CrossRef]
  10. Pichaco, J.; Manandhar, A.; McAdam, S.A.M. Mechanical advantage makes stomatal opening speed a function of evaporative demand. Plant Physiol. 2024, 195, 370–377. [Google Scholar] [CrossRef]
  11. Miguel Costa, J.; Monnet, F.; Jannaud, D.; Leonhardt, N.; Ksas, B.; Reiter, I.M.; Pantin, F.; Genty, B. OPEN ALL NIGHT LONG: The Dark Side of Stomatal Control. Plant Physiol. 2015, 167, 289–294. [Google Scholar] [CrossRef]
  12. Shashikant, V.; Mohamed Shariff, A.R.; Wayayok, A.; Kamal, M.R.; Lee, Y.P.; Takeuchi, W. Utilizing TVDI and NDWI to Classify Severity of Agricultural Drought in Chuping, Malaysia. Agronomy 2021, 11, 1243. [Google Scholar] [CrossRef]
  13. Zhang, F.; Zhou, G. Estimation of vegetation water content using hyperspectral vegetation indices: A comparison of crop water indicators in response to water stress treatments for summer maize. BMC Ecol. 2019, 19, 18. [Google Scholar] [CrossRef]
  14. Angidi, S.; Madankar, K.; Tehseen, M.M.; Bhatla, A. Advanced High-Throughput Phenotyping Techniques for Managing Abiotic Stress in Agricultural Crops—A Comprehensive Review. Crops 2025, 5, 8. [Google Scholar] [CrossRef]
  15. Zhang, Q.; Luan, R.; Wang, M.; Zhang, J.; Yu, F.; Ping, Y.; Qiu, L. Research Progress of Spectral Imaging Techniques in Plant Phenotype Studies. Plants 2024, 13, 3088. [Google Scholar] [CrossRef] [PubMed]
  16. Tardieu, F.; Cabrera-Bosquet, L.; Pridmore, T.; Bennett, M. Plant phenomics, from sensors to knowledge. Curr. Biol. 2017, 27, R770–R783. [Google Scholar] [CrossRef] [PubMed]
  17. Pandey, P.; Ge, Y.; Stoerger, V.; Schnable, J.C. High throughput in vivo analysis of plant phenotypes. Front. Plant Sci. 2017, 8, 1348. [Google Scholar] [CrossRef]
  18. Sadras, V.O.; Richards, R.A. Improvement of crop yield in dry environments: Benchmarks, levels of organisation and the role of nitrogen. J. Exp. Bot. 2014, 65, 1981–1995. [Google Scholar] [CrossRef]
  19. Wang, X.; Cai, J.; Jiang, D.; Liu, F.; Dai, T.; Cao, W. Pre-anthesis high-temperature acclimation alleviates damage to the flag leaf caused by post-anthesis heat stress in wheat. J. Plant Physiol. 2016, 168, 585–593. [Google Scholar] [CrossRef]
  20. Zarco-Tejada, P.J.; González-Dugo, V.; Berni, J.A.J. Fluorescence, temperature and narrow-band indices acquired from a UAV platform for water stress detection using a micro-hyperspectral imager and a thermal camera. Remote Sens. Environ. 2012, 117, 322–337. [Google Scholar] [CrossRef]
  21. Paul, K.; Sorrentino, M.; Lucini, L.; Rouphael, Y.; Cardarelli, M.; Bonini, P.; Reynaud, H.; Canaguier, R.; Trtílek, M.; Panzarova, K.; et al. Understanding the biostimulant action of vegetal-derived protein hydrolysates by high-throughput plant phenotyping and metabolomics: A case study on tomato. Front. Plant Sci. 2019, 10, 47. [Google Scholar] [CrossRef]
  22. Ahmad, M.; Seitner, S.; Jez, J.; Espinosa-Ruiz, A.; Carrera, E.; Martínez-Godoy, M.A.; Baños, J.; Ganthaler, A.; Mayr, S.; Priemer, C.; et al. Drought stress responses deconstructed: A comprehensive approach for Norway spruce seedlings using high-throughput phenotyping with integrated metabolomics and transcriptomics. Plant Phenomics 2025, 7, 100037. [Google Scholar] [CrossRef]
  23. Paul, K.; Pils, V.; Rischbeck, P.; Kaul, H.-P. Utilizing vegetation indices derived from VNIR-SWIR hyperspectral data to predict growth, maturation, and senescence in wheat and barley. Heliyon 2025, unpublished. [Google Scholar]
  24. Paul, K.; Sorrentino, M.; Lucini, L.; Rouphael, Y.; Cardarelli, M.; Bonini, P.; Reynaud, H.; Canaguier, R.; Trtílek, M.; Panzarova, K.; et al. A combined phenotypic and metabolic approach for elucidating the biostimulant action for a plant-derived protein hydrolysate on tomato grown under limited water availability. Front. Plant Sci. 2019, 10, 493. [Google Scholar] [CrossRef]
  25. Zhou, J.; Li, P.; Wang, J. Effects of Light Intensity and Temperature on the Photosynthesis Characteristics and Yield of Lettuce. Horticulturae 2022, 8, 178. [Google Scholar] [CrossRef]
  26. Jovanovic, N.; Garcia, C.L.; Bugan, R.D.H.; Teich, I.; Rodriguez, C.M.G. Validation of remotely-sensed evapotranspiration and NDWI using ground measurements at Riverlands, South Africa. Water SA 2014, 40, 2. [Google Scholar] [CrossRef]
  27. Amirshekari, M.H.; Fakhroleslam, M. Impact of artificial light on photosynthesis, evapotranspiration, and plant growth in plant factories: Mathematical modeling for balancing energy consumption and crop productivity. Smart Agric. Technol. 2025, 11, 100901. [Google Scholar] [CrossRef]
  28. Jones, S.; Mercado, L.M.; Bruhn, D.; Raoult, N.; Cox, P.M. Night-time decline in plant respiration is consistent with substrate depletion. Commun Earth Env. 2024, 5, 148. [Google Scholar] [CrossRef]
  29. Nevo, E.; Chen, G. Drought and salt tolerances in wild relatives for wheat and barley improvement. Plant Cell Environ. 2010, 33, 670–685. [Google Scholar] [CrossRef]
  30. Ullrich, S.E. Barley: Production, Improvement, and Uses; Wiley-Blackwell: Hoboken, NJ, USA, 2011. [Google Scholar]
  31. Way, D.A.; Yamori, W. Thermal acclimation of photosynthesis: On the importance of adjusting photosynthesis–respiration balance. Plant Cell Environ. 2014, 37, 1042–1051. [Google Scholar] [CrossRef]
  32. Zhang, Y.; Zhang, X.; Liu, M. Dynamic monitoring of crop water stress using NDWI and its relationship with evapotranspiration under drought conditions. Agric. Water Manag. 2023, 283, 108091. [Google Scholar] [CrossRef]
Figure 1. NDWI (Normalized Difference Water Index) measured for barley and wheat cultivars following nitrogen and drought stress treatments over phenotyping days. VNIR-SWIR hyperspectral imaging measurements made at IR500 (500 μE at 19:15 h), IR_night (0 μE at 00:00 h), IR150 (150 μE at 11:15 h) and IR800 (800 μE at 15:15 h). Solid line indicates no drought, and dashed line indicates drought stress. Values represent the average of three biological replicates per treatment. Each pot replicate consisted of 10 plant seedlings.
Figure 1. NDWI (Normalized Difference Water Index) measured for barley and wheat cultivars following nitrogen and drought stress treatments over phenotyping days. VNIR-SWIR hyperspectral imaging measurements made at IR500 (500 μE at 19:15 h), IR_night (0 μE at 00:00 h), IR150 (150 μE at 11:15 h) and IR800 (800 μE at 15:15 h). Solid line indicates no drought, and dashed line indicates drought stress. Values represent the average of three biological replicates per treatment. Each pot replicate consisted of 10 plant seedlings.
Agronomy 15 02442 g001
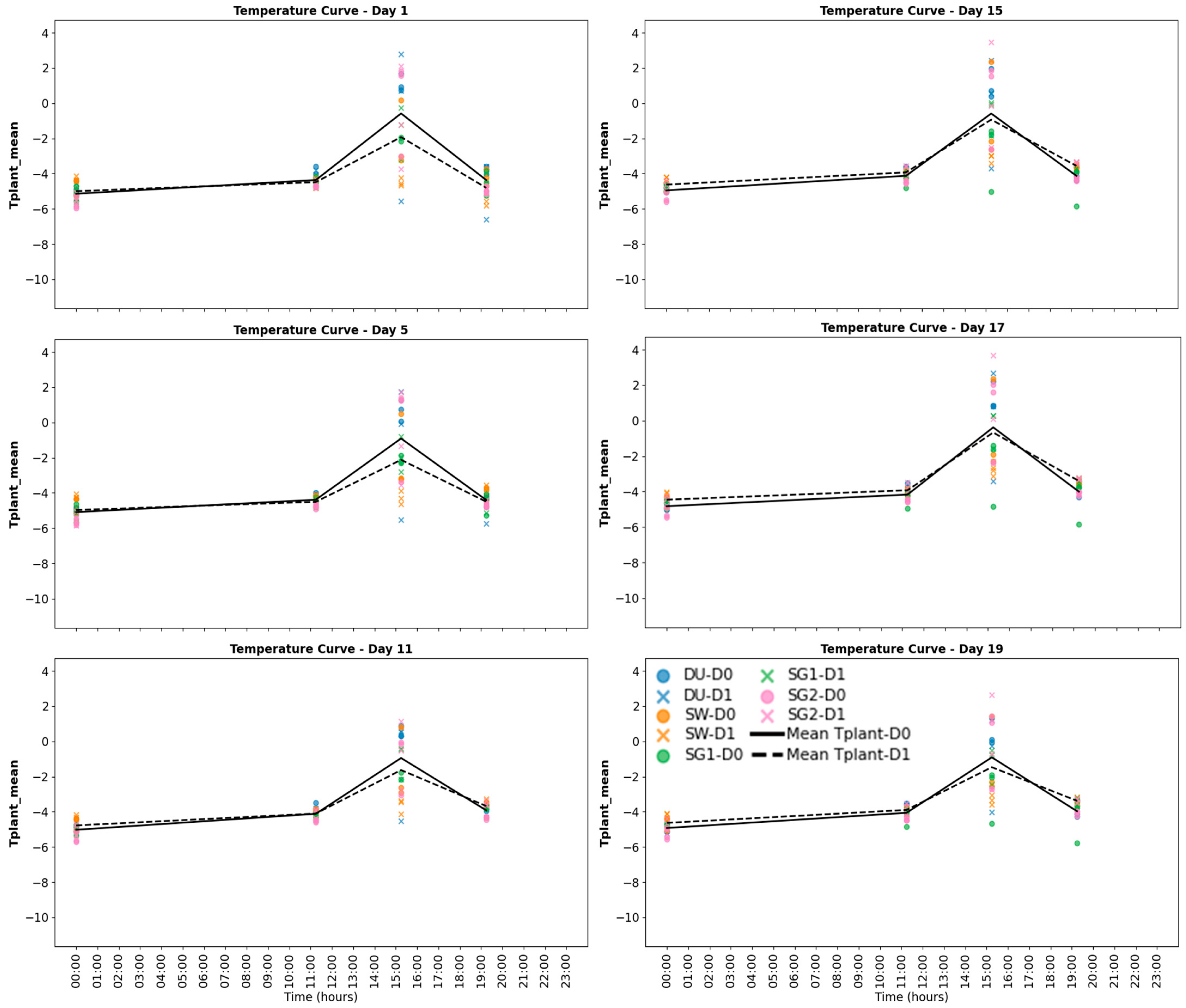
Figure 2. Tplant (Mean Plant Temperature (°C)) for wheat (DU, SW) and barley (SG1, SG2) cultivars following nitrogen and drought stress treatments (D0—No drought and D1—drought stress) measured over phenotyping period using InfraRed imaging measurements made at diurnal (daily) light cycle. Values represent the average of three biological replicates per treatment. Each pot replicate consisted of 10 plant seedlings.
Figure 2. Tplant (Mean Plant Temperature (°C)) for wheat (DU, SW) and barley (SG1, SG2) cultivars following nitrogen and drought stress treatments (D0—No drought and D1—drought stress) measured over phenotyping period using InfraRed imaging measurements made at diurnal (daily) light cycle. Values represent the average of three biological replicates per treatment. Each pot replicate consisted of 10 plant seedlings.
Agronomy 15 02442 g002
Figure 3. Three-dimensional visualization of Evapotranspiration (ET, mm/day) as a function of NDWI, Tplant, Light Intensity, and Humidity. The scatter points represent actual ET measurements, color-coded by light intensity (µE) using the ‘viridis’ colormap. A semi-transparent surface illustrates predicted ET values generated by a multiple linear regression model, which was used to analyze the relationships between NDWI, Tplant, light intensity, and ET, based on fixed light intensity (800 µE) and air humidity (40%). The plot highlights the combined influence of NDWI and Tplant on ET under controlled environmental conditions. Custom legend elements distinguish actual data points from the predicted ET surface.
Figure 3. Three-dimensional visualization of Evapotranspiration (ET, mm/day) as a function of NDWI, Tplant, Light Intensity, and Humidity. The scatter points represent actual ET measurements, color-coded by light intensity (µE) using the ‘viridis’ colormap. A semi-transparent surface illustrates predicted ET values generated by a multiple linear regression model, which was used to analyze the relationships between NDWI, Tplant, light intensity, and ET, based on fixed light intensity (800 µE) and air humidity (40%). The plot highlights the combined influence of NDWI and Tplant on ET under controlled environmental conditions. Custom legend elements distinguish actual data points from the predicted ET surface.
Agronomy 15 02442 g003
Figure 4. Heatmaps providing insights into differential impacts of drought and light on evapotranspiration and respiration. (Left). Correlation between NDWI and ET across drought conditions (D0 and D1) and light intensities (0, 150, 500, 800 µE). (Right). Correlation between Tplant and Respiration across the same conditions.
Figure 4. Heatmaps providing insights into differential impacts of drought and light on evapotranspiration and respiration. (Left). Correlation between NDWI and ET across drought conditions (D0 and D1) and light intensities (0, 150, 500, 800 µE). (Right). Correlation between Tplant and Respiration across the same conditions.
Agronomy 15 02442 g004
Figure 5. Precision watering-based bar plots showing mean evapotranspiration (ET_balance, g) and mean respiration (weight, g) across different cultivars under drought stress and nitrogen level treatment conditions. Drought stress is indicated as 0 (no drought) and 1 (drought), while Nitrogen levels are labeled as N = 25 kg/ha (nitrogen-limited) and N = 130 kg/ha (nitrogen-sufficient). The four treatment combinations are: Drought = 0, N = 25 kg/ha, Drought = 0, N = 130 kg/ha, Drought = 1, N = 25 kg/ha, and Drought = 1, N = 130 kg/ha. ET_balance represents the average water loss (in grams) due to evapotranspiration and mean respiration (in grams) for a given cultivar under a specific combination of drought stress and nitrogen levels treatment condition. The mean values are aggregated across all available conditions over the entire experimental period.
Figure 5. Precision watering-based bar plots showing mean evapotranspiration (ET_balance, g) and mean respiration (weight, g) across different cultivars under drought stress and nitrogen level treatment conditions. Drought stress is indicated as 0 (no drought) and 1 (drought), while Nitrogen levels are labeled as N = 25 kg/ha (nitrogen-limited) and N = 130 kg/ha (nitrogen-sufficient). The four treatment combinations are: Drought = 0, N = 25 kg/ha, Drought = 0, N = 130 kg/ha, Drought = 1, N = 25 kg/ha, and Drought = 1, N = 130 kg/ha. ET_balance represents the average water loss (in grams) due to evapotranspiration and mean respiration (in grams) for a given cultivar under a specific combination of drought stress and nitrogen levels treatment condition. The mean values are aggregated across all available conditions over the entire experimental period.
Agronomy 15 02442 g005
Disclaimer/Publisher’s Note: The statements, opinions and data contained in all publications are solely those of the individual author(s) and contributor(s) and not of MDPI and/or the editor(s). MDPI and/or the editor(s) disclaim responsibility for any injury to people or property resulting from any ideas, methods, instructions or products referred to in the content.

Share and Cite

MDPI and ACS Style

Paul, K.; Rischbeck, P.; Kaul, H.-P. High-Throughput Phenotyping of Cereal Crops Under Stress: Unveiling Evapotranspiration and Respiration Patterns. Agronomy 2025, 15, 2442. https://doi.org/10.3390/agronomy15102442

AMA Style

Paul K, Rischbeck P, Kaul H-P. High-Throughput Phenotyping of Cereal Crops Under Stress: Unveiling Evapotranspiration and Respiration Patterns. Agronomy. 2025; 15(10):2442. https://doi.org/10.3390/agronomy15102442

Chicago/Turabian Style

Paul, Kenny, Pablo Rischbeck, and Hans-Peter Kaul. 2025. "High-Throughput Phenotyping of Cereal Crops Under Stress: Unveiling Evapotranspiration and Respiration Patterns" Agronomy 15, no. 10: 2442. https://doi.org/10.3390/agronomy15102442

APA Style

Paul, K., Rischbeck, P., & Kaul, H.-P. (2025). High-Throughput Phenotyping of Cereal Crops Under Stress: Unveiling Evapotranspiration and Respiration Patterns. Agronomy, 15(10), 2442. https://doi.org/10.3390/agronomy15102442

Note that from the first issue of 2016, this journal uses article numbers instead of page numbers. See further details here.

Article Metrics

Back to TopTop