Sign in to use this feature.

Years

Between: -

Subjects

remove_circle_outline
remove_circle_outline
remove_circle_outline
remove_circle_outline
remove_circle_outline
remove_circle_outline
remove_circle_outline

Journals

Article Types

Countries / Regions

Search Results (32)

Search Parameters:
Keywords = postprandial sensations

Order results
Result details
Results per page
Select all
Export citation of selected articles as:
18 pages, 2416 KB  
Article
Anti-Obesity Effects of a Collagen with Low Digestibility and High Swelling Capacity: A Human Randomized Control Trial
by Miguel López-Yoldi, José I. Riezu-Boj, Itziar Abete, Idoia Ibero-Baraibar, Paula Aranaz, Itxaso González-Salazar, Jesús M. Izco, José I. Recalde, Carlos J. González-Navarro, Fermín I. Milagro and María A. Zulet
Nutrients 2024, 16(20), 3550; https://doi.org/10.3390/nu16203550 - 19 Oct 2024
Cited by 7 | Viewed by 22032
Abstract
Background/Objectives: Collagen is a protein formed by very long amino acid chains. When conveniently treated, it can incorporate water into the net, thus increasing its volume and mass. The present work aimed to evaluate the potential anti-obesity effects of bovine collagen that has [...] Read more.
Background/Objectives: Collagen is a protein formed by very long amino acid chains. When conveniently treated, it can incorporate water into the net, thus increasing its volume and mass. The present work aimed to evaluate the potential anti-obesity effects of bovine collagen that has been technologically treated to increase its water retention capacity in an acid pH medium, with the objective of inducing satiation. Methods: Collagen’s digestibility was tested with a pepsin digestion test. Its swelling capacity was tested in an acid pH medium simulating gastric conditions. Postprandial levels of ghrelin in response to collagen supplementation were tested in rats. In a randomized control trial, 64 subjects with overweight/obesity were allocated in two groups: supplemented daily with two protein bars enriched with collagen (20 g per day) for 12 weeks, or control group. Anthropometric and biochemical measurements were assessed in all the participants. Results: This collagen showed a low digestibility (<60%) and high swelling capacity (>1900%) in vitro. In humans with overweight and obesity, this collagen significantly reduced body weight, body mass index (BMI), systolic blood pressure (SBP), and fatty liver index (FLI) and increased fat-free mass when compared with the control group. A significant reduction in the sarcopenic index; total, troncular, and visceral fat (measured by DEXA); and serum leptin levels were observed in the collagen group at the end of the intervention, with no differences with respect to controls. Collagen reduced the sensation of hunger and increased fullness and satisfaction. In male Wistar rats, collagen decreased postprandial blood ghrelin levels. Conclusions: Collagen supplementation (20 g per day for 12 weeks) reduced body weight, BMI, waist circumference, fat mass, FLI, and SBP in humans with overweight and obesity, which might be related to the increased sensation of fullness and satisfaction reported by the volunteers after the intake. Full article
(This article belongs to the Special Issue Diet and Nutrition Approaches in Obesity Treatment)
Show Figures

Figure 1

13 pages, 1224 KB  
Article
Reversal of Conditioned Food Aversion Using a Cognitive Intervention: A Sham-Controlled, Randomized, Parallel Study
by Adoracion Nieto, Dan M. Livovsky and Fernando Azpiroz
Nutrients 2023, 15(23), 4962; https://doi.org/10.3390/nu15234962 - 29 Nov 2023
Cited by 1 | Viewed by 2848
Abstract
Background: Aversive conditioning weakens the gratifying value of a comfort meal. The aim was to determine the effect of a cognitive intervention to reverse aversive conditioning and restore hedonic postprandial response. Methods: This was a randomized, sham-controlled, single-blind, parallel study that was conducted [...] Read more.
Background: Aversive conditioning weakens the gratifying value of a comfort meal. The aim was to determine the effect of a cognitive intervention to reverse aversive conditioning and restore hedonic postprandial response. Methods: This was a randomized, sham-controlled, single-blind, parallel study that was conducted on 12 healthy women (n = 6 in each group). The reward value of a comfort meal was measured on different days: at initial exposure, after aversive conditioning (administration of the same meal with a masked fat overload on the previous day) and after a cognitive intervention (disclosing the aversive conditioning paradigm in the test group vs. no explanation in the control group). The primary outcome, digestive wellbeing, was determined using graded scales at regular intervals before and after ingestion. Results: At initial exposure, the comfort meal produced a rewarding experience that was impaired using aversive conditioning; upon re-exposure to the original meal, the cognitive intervention increased meal wanting and liking; improved digestive wellbeing and mood; tended to reduce postprandial satiety, bloating/fullness; and abolished discomfort/pain, thereby restoring the hedonic value of the comfort meal. By contrast, sham intervention had no effects, and the postprandial sensations remained like the responses to the offending meal. Conclusion: In this proof-of-concept study, we demonstrate that in healthy women, a mild, short-term acquired aversion to a comfort meal can be reversed using a cognitive intervention. ClinicalTrials.gov ID: NCT05897411. Full article
(This article belongs to the Section Nutrition and Public Health)
Show Figures

Figure 1

13 pages, 1254 KB  
Article
Conditioning by a Previous Experience Impairs the Rewarding Value of a Comfort Meal
by Adoracion Nieto, Dan M. Livovsky and Fernando Azpiroz
Nutrients 2023, 15(10), 2247; https://doi.org/10.3390/nu15102247 - 9 May 2023
Cited by 3 | Viewed by 2363
Abstract
Background. Meal ingestion induces a postprandial experience that involves homeostatic and hedonic sensations. Our aim was to determine the effect of aversive conditioning on the postprandial reward of a comfort meal. Methods: A sham-controlled, randomised, parallel, single-blind study was performed on 12 healthy [...] Read more.
Background. Meal ingestion induces a postprandial experience that involves homeostatic and hedonic sensations. Our aim was to determine the effect of aversive conditioning on the postprandial reward of a comfort meal. Methods: A sham-controlled, randomised, parallel, single-blind study was performed on 12 healthy women (6 per group). A comfort meal was tested before and after coupling the meal with an aversive sensation (conditioning intervention), induced by infusion of lipids via a thin naso-duodenal catheter; in the pre- and post-conditioning tests and in the control group, a sham infusion was performed. Participants were instructed that two recipes of a tasty humus would be tested; however, the same meal was administered with a colour additive in the conditioning and post-conditioning tests. Digestive well-being (primary outcome) was measured every 10 min before and 60 min after ingestion using graded scales. Results: In the aversive conditioning group, the comfort meal in the pre-conditioning test induced a pleasant postprandial experience, which was significantly lower in the post-conditioning test; the effect of aversive conditioning (change from pre- to post-conditioning) was significant as compared to sham conditioning in the control group, which showed no differences between study days. Conclusion: The hedonic postprandial response to a comfort meal in healthy women is impaired by aversive conditioning. ClinicalTrials.gov ID: NCT04938934. Full article
Show Figures

Figure 1

15 pages, 1449 KB  
Article
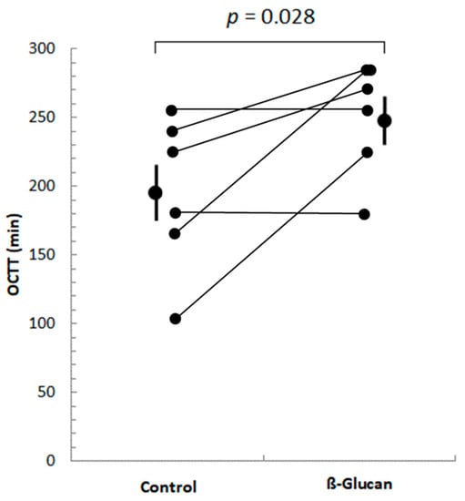
Modulation of Postprandial Plasma Concentrations of Digestive Hormones and Gut Microbiota by Foods Containing Oat ß-Glucans in Healthy Volunteers
by Martin Gotteland, Alejandra Zazueta, José Luis Pino, Andrea Fresard, Verónica Sambra, Juana Codoceo, María José Cires, Ximena López, Juan Pablo Vivanco and Fabien Magne
Foods 2023, 12(4), 700; https://doi.org/10.3390/foods12040700 - 6 Feb 2023
Cited by 9 | Viewed by 4056
Abstract
Cereal β-glucans are beneficial health ingredients that reduce cholesterolemia and postprandial glycaemia. However, their impact on digestive hormones and gut microbiota is not yet fully established. Two randomized, double-blind, controlled studies were conducted. In the first study, 14 subjects ingested a breakfast with [...] Read more.
Cereal β-glucans are beneficial health ingredients that reduce cholesterolemia and postprandial glycaemia. However, their impact on digestive hormones and gut microbiota is not yet fully established. Two randomized, double-blind, controlled studies were conducted. In the first study, 14 subjects ingested a breakfast with or without β-glucan from oats (5.2 g). Compared to the control, β-glucan increased orocecal transit time (p = 0.028) and decreased mean appetite score (p = 0.014) and postprandial plasma ghrelin (p = 0.030), C-peptide (p = 0.001), insulin (p = 0.06), and glucose (p = 0.0006). β-glucan increased plasma GIP (p = 0.035) and PP (p = 0.018) without affecting leptin, GLP-1, PYY, glucagon, amylin, or 7α-hydroxy-4-cholesten-3-one, a biomarker of bile acid synthesis. In the second study, 32 subjects were distributed into 2 groups to ingest daily foods with (3 g/day) or without β-glucan for 3 weeks; stools were collected before/after treatment. No changes in fecal microbiota composition/diversity (deep sequencing) were detected with β-glucans. These results indicate that acute intake of 5 g β-glucan slows transit time and decreases hunger sensation and postprandial glycaemia without affecting bile-acid synthesis, these changes being associated with decreased plasma insulin, C-peptide, and ghrelin, and increased plasma GIP and PP. However, regular daily intake of 3 g β-glucan is not sufficient to have an effect on fecal microbiota composition. Full article
(This article belongs to the Section Food Nutrition)
Show Figures

Figure 1

15 pages, 1786 KB  
Article
Postprandial Glycaemia, Insulinemia, and Lipidemia after 12 Weeks’ Cheese Consumption: An Exploratory Randomized Controlled Human Sub-Study
by Louise Kjølbæk, Farinaz Raziani, Tine Tholstrup, Rosa Caroline Jullie Rudnicki, Christian Ritz, Arne Astrup and Anne Raben
Dairy 2023, 4(1), 68-82; https://doi.org/10.3390/dairy4010004 - 5 Jan 2023
Cited by 1 | Viewed by 4053
Abstract
Some populations are recommended to consume low-fat dairy, although the evidence behind replacing high-fat with low-fat dairy products is limited. This exploratory sub-study investigated the effect of cheese with different fat content on postprandial changes in type-2-diabetes risk markers. Following 12-week cheese or [...] Read more.
Some populations are recommended to consume low-fat dairy, although the evidence behind replacing high-fat with low-fat dairy products is limited. This exploratory sub-study investigated the effect of cheese with different fat content on postprandial changes in type-2-diabetes risk markers. Following 12-week cheese or jam intake, a 4 h meal test was conducted with 37 participants. Test meals included bread and either: 80 g regular-fat cheese (REG), 80 g reduced-fat cheese (RED) or 25 g jam (CHO). Postprandial blood was drawn and appetite sensations registered. Time-meal interactions were not observed for glucose and insulin, but for triglycerides (TG) and free fatty acids (FFA). Pairwise comparisons showed 0.17 ± 0.07 mmol/L (p = 0.044) and 0.25 ± 0.07 mmol/L (p = 0.002) higher TG at 180 and 240 min, respectively, and 94 ± 37 mmol/L (p = 0.029) higher FFA at 180 min for REG compared with RED. Compared with CHO, intake of both cheese meals reduced insulin and glucose (main effects of meal, both p ≤ 0.011) and increased FFA and TG at certain time points. In conclusion, intake of cheese with a regular, compared with reduced, fat content did not affect glucose, insulin and appetite, but increased TG and FFA. Full article
Show Figures

Graphical abstract

17 pages, 1394 KB  
Article
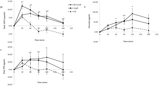
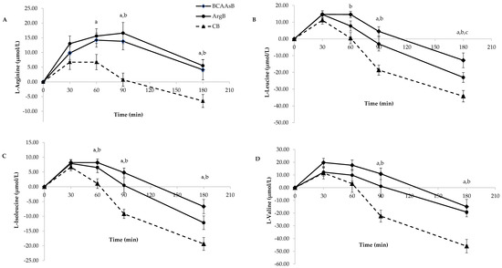
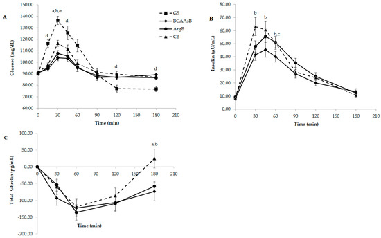
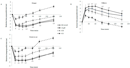
Postprandial Glucose and Gastrointestinal Hormone Responses of Healthy Subjects to Wheat Biscuits Enriched with L-Arginine or Branched-Chain Amino Acids of Plant Origin
by Amalia E. Yanni, Alexander Kokkinos, Panagiota Binou, Varvara Papaioannou, Maria Halabalaki, Panagiotis Konstantopoulos, Stamatia Simati and Vaios T. Karathanos
Nutrients 2022, 14(20), 4381; https://doi.org/10.3390/nu14204381 - 19 Oct 2022
Cited by 7 | Viewed by 2940
Abstract
The study investigates the effects of wheat biscuits supplemented with plant flours originating from legumes/seeds enriched either in L-arginine (L-arg) or branched-chain amino acids (BCAAs) on postprandial glucose response of healthy subjects. Gastrointestinal hormone and amino acid responses as well as subjective appetite [...] Read more.
The study investigates the effects of wheat biscuits supplemented with plant flours originating from legumes/seeds enriched either in L-arginine (L-arg) or branched-chain amino acids (BCAAs) on postprandial glucose response of healthy subjects. Gastrointestinal hormone and amino acid responses as well as subjective appetite sensations are also evaluated. Subjects consumed wheat-based biscuits, enriched either in L-arg (ArgB) or BCAAs (BCAAsB) or a conventional wheat biscuit (CB) or a glucose solution (GS) in an acute randomized crossover design. Responses of glucose, insulin, ghrelin, glucagon-like peptide-1 (GLP-1), peptide YY (PYY) and glicentin, as well as those of L-arginine, L-leucine, L-isoleucine and L-valine, were evaluated over 180 min. Consumption of ArgB and BCAAsB elicited lower glucose iAUC compared to GS (p < 0.05). A lower iAUC for insulin was observed after consumption of BCAAsB (p < 0.05 compared to CB and ArgB), while ArgB elicited higher iAUC for GLP-1 accompanied by higher glicentin response (p < 0.05 compared to CB). BCAAsB and ArgB increased postprandial amino acid concentrations and caused stronger satiety effects compared to CB. Increasing protein content of wheat biscuits with supplementation of plant flours originating from legumes/seeds decreases postprandial glycemia and provides with healthier snack alternatives which can easily be incorporated into diet. Full article
(This article belongs to the Section Proteins and Amino Acids)
Show Figures

Figure 1

21 pages, 4080 KB  
Article
Metabolic Profile and Metabolite Analyses in Extreme Weight Responders to Gastric Bypass Surgery
by Charlotte M. Fries, Sven-Bastiaan Haange, Ulrike Rolle-Kampczyk, Andreas Till, Mathis Lammert, Linda Grasser, Evelyn Medawar, Arne Dietrich, Annette Horstmann, Martin von Bergen and Wiebke K. Fenske
Metabolites 2022, 12(5), 417; https://doi.org/10.3390/metabo12050417 - 6 May 2022
Cited by 5 | Viewed by 4167
Abstract
Background: Roux-en-Y gastric bypass (RYGB) surgery belongs to the most frequently performed surgical therapeutic strategies against adiposity and its comorbidities. However, outcome is limited in a substantial cohort of patients with inadequate primary weight loss or considerable weight regain. In this study, gut [...] Read more.
Background: Roux-en-Y gastric bypass (RYGB) surgery belongs to the most frequently performed surgical therapeutic strategies against adiposity and its comorbidities. However, outcome is limited in a substantial cohort of patients with inadequate primary weight loss or considerable weight regain. In this study, gut microbiota composition and systemically released metabolites were analyzed in a cohort of extreme weight responders after RYGB. Methods: Patients (n = 23) were categorized based on excess weight loss (EWL) at a minimum of two years after RYGB in a good responder (EWL 93 ± 4.3%) or a bad responder group (EWL 19.5 ± 13.3%) for evaluation of differences in metabolic outcome, eating behavior and gut microbiota taxonomy and metabolic activity. Results: Mean BMI was 47.2 ± 6.4 kg/m2 in the bad vs. 26.6 ± 1.2 kg/m2 in the good responder group (p = 0.0001). We found no difference in hunger and satiety sensation, in fasting or postprandial gut hormone release, or in gut microbiota composition between both groups. Differences in weight loss did not reflect in metabolic outcome after RYGB. While fecal and circulating metabolite analyses showed higher levels of propionate (p = 0.0001) in good and valerate (p = 0.04) in bad responders, respectively, conjugated primary and secondary bile acids were higher in good responders in the fasted (p = 0.03) and postprandial state (GCA, p = 0.02; GCDCA, p = 0.02; TCA, p = 0.01; TCDCA, p = 0.02; GDCA, p = 0.05; GUDCA, p = 0.04; TLCA, p = 0.04). Conclusions: Heterogenous weight loss response to RYGB surgery separates from patients’ metabolic outcome, and is linked to unique serum metabolite signatures post intervention. These findings suggest that the level of adiposity reduction alone is insufficient to assess the metabolic success of RYGB surgery, and that longitudinal metabolite profiling may eventually help us to identify markers that could predict individual adiposity response to surgery and guide patient selection and counseling. Full article
(This article belongs to the Special Issue Bile Acid Metabolism and Gut Microbiota)
Show Figures

Figure 1

22 pages, 1690 KB  
Article
Acute Effects of Split Pea-Enriched White Pan Bread on Postprandial Glycemic and Satiety Responses in Healthy Volunteers—A Randomized Crossover Trial
by Ronak Fahmi, Heather Blewett, Jo-Ann Stebbing, Nancy Olson, Donna Ryland and Michel Aliani
Foods 2022, 11(7), 1002; https://doi.org/10.3390/foods11071002 - 29 Mar 2022
Cited by 6 | Viewed by 3774
Abstract
Pulse consumption has been associated with reduced postprandial glucose response (PPGR) and improved satiety. The objective of this study was (i) to investigate the effects of fortifying white pan bread with split yellow pea (Pisum sativum L.) flour on PPGR and appetite-related [...] Read more.
Pulse consumption has been associated with reduced postprandial glucose response (PPGR) and improved satiety. The objective of this study was (i) to investigate the effects of fortifying white pan bread with split yellow pea (Pisum sativum L.) flour on PPGR and appetite-related sensations, and (ii) to determine whether Revtech heat processing of pea flour alters the postprandial effects. A randomized controlled crossover trial was performed with 24 healthy adults. Participants consumed 50 g available carbohydrate from bread containing 20% pea flour that was untreated (USYP), Revtech processed at 140 °C with no steam (RT0%), Revtech processed at 140 °C with 10% steam (RT10%), or a control bread with 100% white wheat flour (100%W). Blood samples were analyzed for glucose and plasma insulin at 0, 15, 30, 45, 60, 90, and 120 min post-meal. Appetite sensations and product acceptability were measured using visual analogue and 9-point hedonic scales. Results showed no significant difference in the postprandial glucose and insulin responses of different bread treatments. However, pea-containing variants resulted in 18% higher fullness and 16–18% lower hunger, desire to eat, and prospective food consumption ratings compared to 100% W. No differences in the aroma, flavor, color, and overall acceptability of different bread products were observed. This trial supports using pea flour as a value-added ingredient to improve the short-term appetite-related sensations of white pan bread without affecting the overall acceptability. Full article
(This article belongs to the Section Food Nutrition)
Show Figures

Figure 1

24 pages, 5242 KB  
Article
Timing of Meals and Exercise Affects Hormonal Control of Glucoregulation, Insulin Resistance, Substrate Metabolism, and Gastrointestinal Hormones, but Has Little Effect on Appetite in Postmenopausal Women
by Katarina T. Borer, Po-Ju Lin and Elizabeth Wuorinen
Nutrients 2021, 13(12), 4342; https://doi.org/10.3390/nu13124342 - 1 Dec 2021
Cited by 12 | Viewed by 8734
Abstract
The current prevalence of obesity in the US is strongly associated with excessive food intake and insufficient physical activity. This study examined whether changing the timing of exercise before or after two daily meals could alter human appetite for food. Fifty-four healthy postmenopausal [...] Read more.
The current prevalence of obesity in the US is strongly associated with excessive food intake and insufficient physical activity. This study examined whether changing the timing of exercise before or after two daily meals could alter human appetite for food. Fifty-four healthy postmenopausal women were matched by body weight and assigned to two groups: (1) two bouts of 2-h moderate-intensity exercise ending one hour before each weight-maintenance meal (XM, n = 23), (2) two-hour moderate-intensity exercise starting 1 h after each weight-maintenance meal (MX, n = 23), and one sedentary control (SED) arm (n = 8). Measurements included appetite ratings, circulating glucose, free fatty acids (FFAs), a ketone body D-ß-hydroxybutyrate (BHB), glucoregulatory hormones insulin and glucagon, and gastrointestinal hormones associated with food digestion and absorption and implicated in appetite sensations. XM group increased concentrations of FFAs and BHB during exercise and increased insulin and homeostatic assessment of insulin resistance (HOMA-IR) during postprandial periods. MX group reduced postprandial insulin and HOMA-IR by about 50% without a major change in plasma glucose. There was brief suppression of hunger and an increase in satiation in both exercise groups near the end of the first postprandial period. The time course of hunger was unrelated to the perturbations in fuel metabolism, depletion of liver glycogen, and not correlated with concentration changes in hunger-stimulating hormone ghrelin during XM exercise before meals. Similarly, there was no correlation between the time course of fullness during exercise after meals with the postprandial secretion of gastrointestinal hormones including cholecystokinin (CCK) that has been linked to satiation. Hunger and satiation appear to depend on oral intake and gastrointestinal processing of nutrients and are not affected by metabolic and hormonal consequences of the timing of exercise with respect to meals. Moderate-intensity exercise performed shortly after meals induces a rapid and highly effective lowering of insulin resistance. Full article
(This article belongs to the Special Issue Health Benefits of Particular Exercise and Nutrition)
Show Figures

Figure 1

7 pages, 1262 KB  
Case Report
Chyloperitoneum as the Initial Manifestation of Gastrointestinal Neoplasia
by Ivan David Lozada-Martínez, Daniela Torres-Llinás, Paola Zuluaga-Ramírez, Victor Hugo Mendoza-Brochero, María Bolaño-Romero and Ana María Ríos-Giraldo
Surgeries 2021, 2(2), 167-173; https://doi.org/10.3390/surgeries2020017 - 22 Apr 2021
Viewed by 3625
Abstract
Chyloperitoneum is defined as the presence of lymph within the peritoneal cavity, resulting from obstruction or injury of lymph ducts, mostly at the level of the gastrointestinal tract. This can occur in the context of congenital diseases, traumas, infections, neoplasms, hepatic disease, heart [...] Read more.
Chyloperitoneum is defined as the presence of lymph within the peritoneal cavity, resulting from obstruction or injury of lymph ducts, mostly at the level of the gastrointestinal tract. This can occur in the context of congenital diseases, traumas, infections, neoplasms, hepatic disease, heart disease, and postoperative complications. The most common symptoms described are abdominal distention and mild pain in a course of weeks to months, with dyspnea, peritonitis, and in a few cases weight gain is observed due to the high intra-abdominal pressure. We present a case of a 56-year-old male with no significant personal history, who has a clinical picture of approximately three months of evolution, consisting in sensation of an abdominal mass predominantly in the left hemiabdomen, associated with progressive abdominal distension, changes in intestinal habit, lower limb edema, dyspepsia, occasional postprandial emesis, and unintentional weight loss of 20 kg. In non-traumatic conditions, the most frequent cause of chylous ascites is a malignancy disease followed by cirrhosis and mycobacterial infections. Taking into consideration that adenocarcinoma is the most frequently reported histologic subtype of jejunum neoplasm, and that not all cases of lymphoma debut with chylous ascites, it can be concluded that the proportion of patients that present with this condition is exceptionally low. Chyloperitoneum is an infrequent finding, having the higher detection rate in lymphatic alterations and malignancies of gastrointestinal location, in which some of the most commonly neoplasms associated with this complication are lymphoma, neuroendocrine tumors, sarcomas, and leukemia. Full article
Show Figures

Figure 1

16 pages, 1056 KB  
Review
Gastrointestinal Contributions to the Postprandial Experience
by Dan M. Livovsky and Fernando Azpiroz
Nutrients 2021, 13(3), 893; https://doi.org/10.3390/nu13030893 - 10 Mar 2021
Cited by 10 | Viewed by 6169
Abstract
Food ingestion induces homeostatic sensations (satiety, fullness) with a hedonic dimension (satisfaction, changes in mood) that characterize the postprandial experience. Both types of sensation are secondary to intraluminal stimuli produced by the food itself, as well as to the activity of the digestive [...] Read more.
Food ingestion induces homeostatic sensations (satiety, fullness) with a hedonic dimension (satisfaction, changes in mood) that characterize the postprandial experience. Both types of sensation are secondary to intraluminal stimuli produced by the food itself, as well as to the activity of the digestive tract. Postprandial sensations also depend on the nutrient composition of the meal and on colonic fermentation of non-absorbed residues. Gastrointestinal function and the sensitivity of the digestive tract, i.e., perception of gut stimuli, are determined by inherent individual factors, e.g., sex, and can be modulated by different conditioning mechanisms. This narrative review examines the factors that determine perception of digestive stimuli and the postprandial experience. Full article
(This article belongs to the Special Issue Appetite and Satiety Control-Gut Mechanisms)
Show Figures

Figure 1

12 pages, 297 KB  
Study Protocol
Cost-Effectiveness of a Whole-Body Vibration Program in Patients with Type 2 Diabetes: A Retrospective Study Protocol
by Francisco J. Domínguez-Muñoz, Jorge Carlos-Vivas, Miguel A. Garcia-Gordillo, Santos Villafaina, Fernando Pérez-Escanilla, Carmen Jiménez-Fernández, Dimas Igual-Fraile, Germán J. Rodríguez-Mazón, Giovanna Martín-Gomez, Miguel A. Hernández-Mocholi, Héctor A. Corzo-Fajardo, Surama do C. Souza da Silva, Rocío Montero Bardají, Galo A. Sánchez-Robles, Emilio Margallo-Fernández, Daniel Collado-Mateo, Narcís Gusi and Jose C. Adsuar
Sustainability 2021, 13(5), 2581; https://doi.org/10.3390/su13052581 - 28 Feb 2021
Viewed by 3354
Abstract
Background: Type 2 diabetes mellitus (T2DM) is a chronic disorder, with patients exhibiting hyperglycemia in fasting and postprandial states. T2DM has several complications, including loss of sensation in more distal body parts. Good peripheral sensitivity is essential as this affects different parameters [...] Read more.
Background: Type 2 diabetes mellitus (T2DM) is a chronic disorder, with patients exhibiting hyperglycemia in fasting and postprandial states. T2DM has several complications, including loss of sensation in more distal body parts. Good peripheral sensitivity is essential as this affects different parameters related to activities of daily living, such as leg strength and balance. The objectives of this project were to assess the effects of an 8-week whole-body vibration (WBV) training program on (1) vibration perception threshold (VPT), (2) balance, (3) strength, (4) lipidic profile, (5) health-related quality of life, (6) diabetic neuropathy, and (7) body composition in T2DM patients. Methods/Design: A double-blind, randomized controlled study, with WBV and placebo groups, was carried out. Both groups performed 8 weeks of intervention, with 3 sessions per week, completing a total of 24 sessions. There were two groups: the experimental group, i.e., the WBV group, who received WBV therapy; and the placebo group, who completed a simulated training program that was developed on a Galileo Fitness platform, connected to software displayed on a screen. The participant could see the parameters of the simulated vibration training (duration, amplitude, and frequency), but it was the software that controlled the speakers placed inside the vibration platform. Ninety patients with T2DM (56 males and 34 females) were recruited for the intervention. Participants were assigned equally to the WBV (n = 45) and placebo (n = 45) groups. Primary outcome measures were (1) HbA1c and (2) vibration threshold. Secondary measures were (1) health-related quality of life, (2) balance, (3) strength, (4) body composition, (5) blood pressure, (6) diabetic neuropathy, and (7) lipidic profile. Statistical analysis was carried out by treatment intention and protocol. Discussion: This project aimed to investigate the effects of WBV training on HbA1c, vibration threshold, and incremental cost-effectiveness ratio in T2DM patients. In future, guidelines will be provided for the incorporation of the main obtained conclusions into the social-sanitary system and businesses. Full article
10 pages, 670 KB  
Article
Abdominothoracic Postural Tone Influences the Sensations Induced by Meal Ingestion
by Dan M. Livovsky, Claudia Barber, Elizabeth Barba, Anna Accarino and Fernando Azpiroz
Nutrients 2021, 13(2), 658; https://doi.org/10.3390/nu13020658 - 18 Feb 2021
Cited by 12 | Viewed by 5671
Abstract
Postprandial objective abdominal distention is frequently associated with a subjective sensation of abdominal bloating, but the relation between both complaints is unknown. While the bloating sensation has a visceral origin, abdominal distention is a behavioral somatic response, involving contraction and descent of the [...] Read more.
Postprandial objective abdominal distention is frequently associated with a subjective sensation of abdominal bloating, but the relation between both complaints is unknown. While the bloating sensation has a visceral origin, abdominal distention is a behavioral somatic response, involving contraction and descent of the diaphragm with protrusion of the anterior abdominal wall. Our aim was to determine whether abdominal distention influences digestive sensations. In 16 healthy women we investigated the effect of intentional abdominal distention on experimentally induced bloating sensation (by a meal overload). Participants were first taught to produce diaphragmatic contraction and visible abdominal distention. After a meal overload, sensations of bloating (0 to 10) and digestive well-being (−5 to + 5) were measured during 30-s. maneuvers alternating diaphragmatic contraction and diaphragmatic relaxation. Compared to diaphragmatic relaxation, diaphragmatic contraction was associated with diaphragmatic descent (by 21 + 3 mm; p < 0.001), objective abdominal distension (32 + 5 mm girth increase; p = 0.001), more intense sensation of bloating (7.3 + 0.4 vs. 8.0 + 0.4 score; p = 0.010) and lower digestive well-being (−0.9 + 0.5 vs. −1.9 + 0.5 score; p = 0.028). These results indicate that somatic postural tone underlying abdominal distention worsens the perception of visceral sensations (ClinicalTrials.gov ID: NCT04691882). Full article
(This article belongs to the Special Issue Appetite and Satiety Control-Gut Mechanisms)
Show Figures

Figure 1

11 pages, 880 KB  
Article
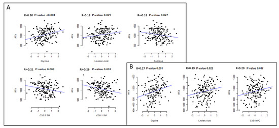
Circulating Metabolites Associated with Postprandial Satiety in Overweight/Obese Participants: The SATIN Study
by Lucía Camacho-Barcia, Jesús García-Gavilán, Christopher Papandreou, Thea T. Hansen, Jo A. Harrold, Graham Finlayson, John E. Blundell, Anders Sjödin, Jason C. G. Halford and Mònica Bulló
Nutrients 2021, 13(2), 549; https://doi.org/10.3390/nu13020549 - 8 Feb 2021
Cited by 5 | Viewed by 5550
Abstract
Scope: To identify a metabolomic profile related to postprandial satiety sensations involved in appetite control would help for a better understanding of the regulation of food intake. Methods and Results: A cross-sectional analysis of plasma metabolites was conducted over 151 overweight/obese adults [...] Read more.
Scope: To identify a metabolomic profile related to postprandial satiety sensations involved in appetite control would help for a better understanding of the regulation of food intake. Methods and Results: A cross-sectional analysis of plasma metabolites was conducted over 151 overweight/obese adults from the “Satiety Innovation”-SATIN study, a randomized clinical trial of a 12-week weight-loss maintenance period. Postprandial satiety sensations (3 h-iAUC) were assessed by visual analogue scale (VAS) at the beginning and at the end of the study. Fasting plasma metabolites were profiled using a targeted multiplatform metabolomics approach before each appetite test meal. Associations between 124 metabolites and iAUC-satiety were assessed using elastic net linear regression analyses. The accuracy of the multimetabolite weighted models for iAUC-VAS was evaluated using a 10-fold cross-validation (CV) approach and the Pearson’s correlation coefficients were estimated. Five and three metabolites were selected in the first and the second assessments, respectively. Circulating glycine and linoleic acid concentrations were consistently and positively associated with higher iAUC-satiety in both visits. Sucrose and sphingomyelins (C32:2, C38:1) were negatively associated with iAUC-satiety in the first visit. The Pearson correlations coefficients between the metabolomic profiles and iAUC-satiety in the first and the second appetite assessments were 0.37 and 0.27, respectively. Conclusion: Higher glycine and linoleic acid were moderately but consistently associated with higher postprandial satiety in two different appetite assessments in overweight and obese subjects. Full article
(This article belongs to the Section Nutrition and Metabolism)
Show Figures

Graphical abstract

16 pages, 2910 KB  
Article
Effect of Acute Sprint Exercise on Myokines and Food Intake Hormones in Young Healthy Men
by Jan Bilski, Agnieszka Irena Mazur-Bialy, Marcin Surmiak, Magdalena Hubalewska-Mazgaj, Janusz Pokorski, Jacek Nitecki, Ewa Nitecka, Joanna Pokorska, Aneta Targosz, Agata Ptak-Belowska, Jerzy A. Zoladz and Tomasz Brzozowski
Int. J. Mol. Sci. 2020, 21(22), 8848; https://doi.org/10.3390/ijms21228848 - 23 Nov 2020
Cited by 23 | Viewed by 4825
Abstract
Physical exercise is known to influence hormonal mediators of appetite, but the effect of short-term maximal intensity exercise on plasma levels of appetite hormones and cytokines has been little studied. We investigated the effect of a 30 s Wingate Test, followed by a [...] Read more.
Physical exercise is known to influence hormonal mediators of appetite, but the effect of short-term maximal intensity exercise on plasma levels of appetite hormones and cytokines has been little studied. We investigated the effect of a 30 s Wingate Test, followed by a postprandial period, on appetite sensations, food intake, and appetite hormones. Twenty-six physically active young males rated their subjective feelings of hunger, prospective food consumption, and fatigue on visual analogue scales at baseline, after exercise was completed, and during the postprandial period. Blood samples were obtained for the measurement of nesfatin-1, ghrelin, leptin, insulin, pancreatic polypeptide (PP), human growth factor (hGH) and cytokine interleukin-6 (IL-6), irisin and plasma lactate concentrations, at 30 min before exercise, immediately (210 s) after exercise, and 30 min following a meal and at corresponding times in control sedentary males without ad libitum meal intake, respectively. Appetite perceptions and food intake were decreased in response to exercise. Plasma levels of irisin, IL-6, lactate, nesfatin-1 and ghrelin was increased after exercise and then it was returned to postprandial/control period in both groups. A significant rise in plasma insulin, hGH and PP levels after exercise was observed while meal intake potentiated this response. In conclusion, an acute short-term fatiguing exercise can transiently suppress hunger sensations and food intake in humans. We postulate that this physiological response involves exercise-induced alterations in plasma hormones and the release of myokines such as irisin and IL-6, and supports the notion of existence of the skeletal muscle–brain–gut axis. Nevertheless, the detailed relationship between acute exercise releasing myokines, appetite sensations and impairment of this axis leading to several diseases should be further examined. Full article
(This article belongs to the Special Issue Peripheral Targets in Obesity: Pathologies and Therapeutics)
Show Figures

Figure 1

Back to TopTop