Sign in to use this feature.

Years

Between: -

Subjects

remove_circle_outline
remove_circle_outline
remove_circle_outline
remove_circle_outline
remove_circle_outline
remove_circle_outline
remove_circle_outline
remove_circle_outline
remove_circle_outline

Journals

Article Types

Countries / Regions

Search Results (24)

Search Parameters:
Keywords = post-fire residual strength

Order results
Result details
Results per page
Select all
Export citation of selected articles as:
18 pages, 20161 KB  
Article
Utilization of Mill Scale Waste as Natural Fine Aggregate Replacement in Mortar: Evaluation of Physical, Mechanical, Durability, and Post-Fire Properties
by Apinun Siriwattanakarn, Ampol Wongsa, Nawapak Eua-Anant, Vanchai Sata, Piti Sukontasukkul and Prinya Chindaprasirt
Recycling 2025, 10(1), 20; https://doi.org/10.3390/recycling10010020 - 5 Feb 2025
Cited by 1 | Viewed by 1580
Abstract
The current paper presents the findings from experiments focused on using mill scale waste (MSW) as a natural fine aggregate (NFA) replacement in making cement mortar, aiming to recycle this material. Mortars were prepared by mixing with ordinary Portland cement, NFA, and water. [...] Read more.
The current paper presents the findings from experiments focused on using mill scale waste (MSW) as a natural fine aggregate (NFA) replacement in making cement mortar, aiming to recycle this material. Mortars were prepared by mixing with ordinary Portland cement, NFA, and water. NFA was replaced with 5%, 10%, 15%, and 20%vol of MSW. The physical and mechanical properties of mortars including compressive and flexural strengths, density, porosity, water absorption, ultrasonic pulse velocity, thermal conductivity, durability properties, and characteristics after being subjected to elevated temperatures at 400, 700, and 1000 °C were investigated after 28 days of curing. The results showed that 15% MSW exhibited optimum compressive and flexural strengths. Also, the MSW mortar showed reduced workability and thermal conductivity, while the porosity slightly increased. The addition of MSW enhanced chloride resistance and mortar’s residual compressive strength after exposure to various temperatures. These findings confirmed that MSW can be used as a sustainable fine aggregate to produce mortar with optimum physical, mechanical, durability, and post-fire properties. Full article
(This article belongs to the Topic Sustainable Building Materials)
Show Figures

Figure 1

15 pages, 3346 KB  
Article
Effects of Post-Fire Rehydration on the Mechanical Properties of Slag-Modified Concrete
by Guilherme Palla Teixeira, José Carlos Lopes Ribeiro, Leonardo Gonçalves Pedroti and Gustavo Henrique Nalon
Buildings 2025, 15(1), 136; https://doi.org/10.3390/buildings15010136 - 4 Jan 2025
Cited by 1 | Viewed by 1264
Abstract
Although previous research has examined the mechanical properties of concrete exposed to high temperatures, further investigation is needed into the effects of post-fire curing on the recovery of strength and stiffness of sustainable concretes produced with slag-modified cement. This study conducted an experimental [...] Read more.
Although previous research has examined the mechanical properties of concrete exposed to high temperatures, further investigation is needed into the effects of post-fire curing on the recovery of strength and stiffness of sustainable concretes produced with slag-modified cement. This study conducted an experimental analysis of the residual compressive strength and modulus of elasticity of different types of concrete (20 MPa or 30 MPa) exposed to varying maximum temperature levels (200 °C, 400 °C, 600 °C, 800 °C) and post-fire treatments (with or without rehydration). The concrete specimens were produced using Portland cement CP II-E-32. The rehydration method involved one day of water curing, followed by 14 days of air curing. Statistical analyses revealed potential improvements in the mechanical properties of concretes produced with slag-modified cement due to rehydration processes after exposure to different temperatures levels. The highest values of the relative residual strength factor (Φc) were observed in specimens exposed to a maximum temperature of 600 °C, ranging from 0.862 to 0.905. The highest values of the relative residual elastic modulus factor (ψc) were verified for a maximum temperature of 200 °C, ranging from 0.720 to 0.778. The experimental results were compared with strength and stiffness predictions of design codes. The inclusion of slag in concrete reduced microcracking during the rehydration process due to the reduced amount of calcium hydroxide in the cementitious matrix, increasing the concrete’s relative residual strength and stiffness after post-fire curing. Full article
Show Figures

Figure 1

30 pages, 4441 KB  
Review
A Review on the Effect of Synthetic Fibres, Including Macro Fibres, on the Thermal Behaviour of Fibre-Reinforced Concrete
by Peyman Mehrabi, Ulrike Dackermann, Rafat Siddique and Maria Rashidi
Buildings 2024, 14(12), 4006; https://doi.org/10.3390/buildings14124006 - 17 Dec 2024
Cited by 2 | Viewed by 2189
Abstract
The mechanical properties of concrete degrade rapidly when exposed to elevated temperatures. Adding fibres to concrete can enhance its thermal stability and residual mechanical characteristics under high-temperature conditions. Various types of fibres, including steel, synthetic and natural fibres, are available for this purpose. [...] Read more.
The mechanical properties of concrete degrade rapidly when exposed to elevated temperatures. Adding fibres to concrete can enhance its thermal stability and residual mechanical characteristics under high-temperature conditions. Various types of fibres, including steel, synthetic and natural fibres, are available for this purpose. This paper provides a comprehensive review of the impact of synthetic fibres on the performance of fibre-reinforced concrete at high temperatures. It evaluates conventional synthetic fibres, including polypropylene (PP), polyethylene (PE), and polyvinyl alcohol (PVA) fibres, as well as newly emerging macro fibres that improve concrete’s fire resistance properties. The novelty of this review lies in its focus on macro fibres as a promising alternative to conventional synthetic fibres. The findings reveal that PE fibres significantly influence the residual mechanical properties of fibre-reinforced concrete at high temperatures. Although PVA fibres may reduce compressive strength at elevated temperatures, they help reduce micro-cracking and increase flexibility and flexural strength. Finally, this review demonstrates that while conventional synthetic fibres are effective in limiting fire-induced damage, macro fibres offer enhanced benefits, including improved toughness, energy absorption, durability, corrosion resistance, and post-cracking capacity. This study provides valuable insights for developing fibre-reinforced concrete with superior high-temperature performance. Steel fibres offer superior strength but are prone to corrosion and spalling, while PP fibres effectively reduce explosive spalling but provide limited strength improvement. PE fibres enhance flexural performance, and PVA fibres improve tensile strength and shrinkage control, although their performance decreases at high temperatures. Macro fibres stand out for their post-cracking capacity and toughness, offering a lightweight alternative with better overall durability. Full article
Show Figures

Figure 1

21 pages, 9710 KB  
Article
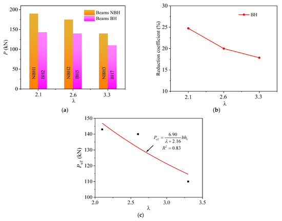
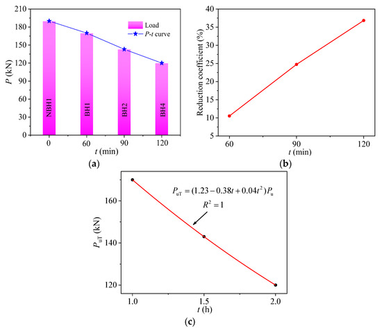
Experimental Test and Analytical Calculation on Residual Strength of Prestressed Concrete T-Beams After Fire
by Zhongqiang Wang, Chao Xu, Miao Chen, Jingwei Sun, Hangke Zhou and Yingxin Zhou
Buildings 2024, 14(11), 3579; https://doi.org/10.3390/buildings14113579 - 11 Nov 2024
Cited by 1 | Viewed by 1169
Abstract
High temperatures during a fire can lead to the evaporation of moisture and the degradation of hydration products within concrete, consequently compromising its mechanical properties. This paper thoroughly investigates the effect of fire-induced high temperatures on the residual load-bearing capacity of concrete structures, [...] Read more.
High temperatures during a fire can lead to the evaporation of moisture and the degradation of hydration products within concrete, consequently compromising its mechanical properties. This paper thoroughly investigates the effect of fire-induced high temperatures on the residual load-bearing capacity of concrete structures, with a focus on prestressed concrete T-beams. By conducting constant temperature tests and residual load-bearing capacity tests, complemented by finite element modeling, this study examines the degradation of mechanical properties in prestressed concrete T-beams due to fire exposure and its impact on post-fire residual load-bearing capacity. Additionally, an equivalent concrete compressive strength method was employed to propose a calculation method for concrete material degradation under high temperatures and a corresponding concrete strength reduction factor. Simplified calculations were also performed for the high-temperature damage to reinforcement and prestressed tendons, leading to the derivation of a simplified formula for the residual load-bearing capacity of post-fire prestressed concrete T-beams. The results indicate that in prestressed concrete T-beams exposed to fire, an increase in holding time results in more severe damage modes, accelerated crack propagation, and wider crack widths during bending failure. Under the same load, a longer holding time corresponds to a more pronounced reduction in deflection. At holding times of 60 min, 120 min, and 180 min, the prestress losses were 48.17%, 85.16%, and 93.26%, respectively. The cracking load decreased by 15%, 27%, and 42%, while the residual load-bearing capacity decreased by 11%, 21%, and 28%. Comparison with experimental data demonstrates that both the finite element model and the simplified calculation formula exhibit high accuracy, offering a reliable reference for the performance evaluation of post-fire prestressed concrete T-beams. Full article
(This article belongs to the Special Issue Fire and Energy Performance of Buildings)
Show Figures

Figure 1

31 pages, 31248 KB  
Article
Study on Mechanical Properties and Constitutive Relationship of Steel Fiber-Reinforced Coal Gangue Concrete after High Temperature
by Zhenzhuo Ge and Bin Cai
Buildings 2024, 14(6), 1791; https://doi.org/10.3390/buildings14061791 - 13 Jun 2024
Cited by 4 | Viewed by 1200
Abstract
In this paper, steel fiber coal gangue concrete is examined for its fire resistance, high strength, and stability, aiming to achieve both green sustainability and resistance to elevated temperatures. We conducted tests on concrete specimens with varying coal gangue aggregate volume replacement rates [...] Read more.
In this paper, steel fiber coal gangue concrete is examined for its fire resistance, high strength, and stability, aiming to achieve both green sustainability and resistance to elevated temperatures. We conducted tests on concrete specimens with varying coal gangue aggregate volume replacement rates (0%, 20%, 40%, 60%) and steel fiber volume contents (0%, 0.5%, 1.0%, 1.5%) to assess their post-high-temperature mechanical properties. These tests were performed at five temperature levels: 20 °C, 200 °C, 400 °C, 600 °C, and 800 °C. The focus was on analyzing the residual mechanical properties and constitutive relationship of the steel fiber coal gangue concrete after exposure to high temperatures. The findings indicate that as the temperature rises, the compressive strength, split tensile strength, and modulus of elasticity of the steel fiber coal gangue concrete specimens undergo varying degrees of reduction. However, the peak strain and ultimate strain increase gradually. The incorporation of steel fibers enhances the mechanical properties of the coal gangue concrete, resulting in improvements in the elastic modulus and peak strain, both before and after exposure to high temperatures. Furthermore, the established constitutive relationship for steel fiber coal gangue concrete after high temperatures, derived from calculations and validated with experimental data, provides a more accurate representation of the entire damage process under uniaxial compressive loading at elevated temperatures. Full article
(This article belongs to the Special Issue Research on the Mechanical and Durability Properties of Concrete)
Show Figures

Figure 1

23 pages, 21120 KB  
Article
Post-Heat Flexural Properties of Siloxane-Modified Epoxy/Phenolic Composites Reinforced by Glass Fiber
by Yundong Ji, Xinchen Zhang, Changzeng Wang, Shuxin Li and Dongfeng Cao
Polymers 2024, 16(5), 708; https://doi.org/10.3390/polym16050708 - 5 Mar 2024
Cited by 5 | Viewed by 2103
Abstract
The post-heat mechanical property is one of the important indices for the fire-resistance evaluation of fiber-reinforced polymers. At present, the primary approach to improving the post-heat mechanical property of a material involves incorporating inorganic fillers; yet, the enhancement is limited, and is accompanied [...] Read more.
The post-heat mechanical property is one of the important indices for the fire-resistance evaluation of fiber-reinforced polymers. At present, the primary approach to improving the post-heat mechanical property of a material involves incorporating inorganic fillers; yet, the enhancement is limited, and is accompanied by a reduction in room-temperature performance and processability. This study prepares glass-fiber-reinforced composites with elevated mechanical properties after heat through utilizing two variants of epoxy resins modified with polysiloxane, phenolic resin, kaolin, and graphite. In comparison to the phenolic samples, the phenylpropylsiloxane-modified epoxy resulted in a 115% rise in post-heat flexural strength and a 70% increase in the room-temperature flexural strength of phenolic composites. On the other hand, dimethylsiloxane-modified epoxy leads to a 117% improvement in post-heat flexural strength but a 44% decrease in the room-temperature flexural strength of phenolic composites. Macroscopic/microscopic morphologies and a residual structure model of the composites after heat reveal that, during high temperature exposure, the pyrolysis products of polysiloxane promote interactions between carbon elements and fillers, thus preserving more residues and improving the dimensional stability as well as the density of materials. Consequently, a notable enhancement is observed in both the post-heat flexural strength and the mass of carbon residue after the incorporation of polysiloxane and fillers into the materials. The pyrolysis products of polysiloxane-modified epoxy play a vital role in enhancing the post-heat flexural strength by promoting carbon retention, carbon fixation, and interactions with fillers, offering novel pathways for the development of advanced composites with superior fire-resistance properties. Full article
(This article belongs to the Collection Polymers and Polymer Composites: Structure-Property Relationship)
Show Figures

Figure 1

22 pages, 5224 KB  
Article
Residual Properties of Geopolymer Concrete for Post-Fire Evaluation of Structures
by Balamurali Kanagaraj, Nammalvar Anand, Diana Andrushia and Venkatesh Kodur
Materials 2023, 16(17), 6065; https://doi.org/10.3390/ma16176065 - 4 Sep 2023
Cited by 3 | Viewed by 1930
Abstract
The research focuses on effectively utilizing industrial by-products, namely fly ash (FA) and ground granulated blast furnace slag (GGBS), to develop sustainable construction materials that can help reduce carbon emissions in the construction industry. Geopolymer mix design using these by-products is identified as [...] Read more.
The research focuses on effectively utilizing industrial by-products, namely fly ash (FA) and ground granulated blast furnace slag (GGBS), to develop sustainable construction materials that can help reduce carbon emissions in the construction industry. Geopolymer mix design using these by-products is identified as a potential solution. The study investigates the impact of different water to binder ratios (W/B) ranging from 0.4 to 0.6 on the residual properties, including compressive strength (CS), of geopolymer concrete (GPC), in accordance with Indian Standard for Alkali activated concrete. Lower W/B ratios were found to result in a more compact and less porous microstructure in the GPC. Additionally, the research explores the post-fire performance of GPC with varying grades (M10, M20, M30, & M40) and different W/B ratios, following the ISO 834 standard fire curve. It was observed that concrete samples exposed to elevated temperatures displayed a more porous microstructure. The mass loss of GPC with 0.4 W/B was found to be 2.3–5.9% and for 0.6 W/B ratio, the loss was found to be 3–6.5%, after exposing to 30-, 60-, 90-, and 120-min of heating. In the case of strength loss, for 0.4 W/B ratio, the loss was 36.81–77.09%, and for 0.6 W/B ratio the loss was 38.3–100%, after exposing to 30-, 60-, 90-, and 120-min of heating. Overall, the findings suggest that optimizing the W/B ratio in geopolymer concrete can enhance its compressive strength, as well as residual properties, and contribute to its suitability as a sustainable construction material. However, the response to elevated temperatures should also be considered to ensure its performance in fire scenarios. Full article
Show Figures

Figure 1

22 pages, 10544 KB  
Article
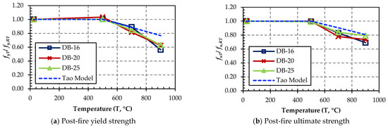
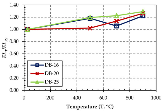
Experimental Investigation on Post-Fire Mechanical Properties of Glass Fiber-Reinforced Polymer Rebars
by Chanachai Thongchom, Lili Hu, Penpichcha Khongpermgoson Sanit-in, Denise-Penelope N. Kontoni, Nitipong Praphaphankul, Koravith Tiprak and Suphanut Kongwat
Polymers 2023, 15(13), 2925; https://doi.org/10.3390/polym15132925 - 1 Jul 2023
Cited by 3 | Viewed by 2685
Abstract
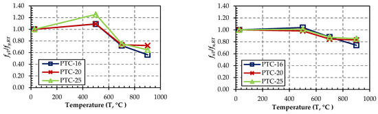
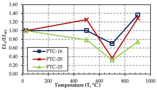
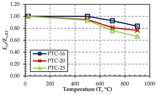
Glass fiber-reinforced polymer (GFRP) rebars are commonly used as an alternative to conventional steel reinforcement in a variety of structural applications due to their superior low cost, strength-to-weight ratio, and durability. However, their mechanical properties after exposure to elevated temperatures, particularly in fire-prone [...] Read more.
Glass fiber-reinforced polymer (GFRP) rebars are commonly used as an alternative to conventional steel reinforcement in a variety of structural applications due to their superior low cost, strength-to-weight ratio, and durability. However, their mechanical properties after exposure to elevated temperatures, particularly in fire-prone environments, remain a significant concern. To address this concern, the present study focuses on investigating the residual tensile behavior, specifically the tensile strength and elastic modulus, of GFRP rebars exposed to high temperatures that are realistically encountered during fire incidents. The temperature range considered in this analysis spans from 100 °C to 400 °C, with a heating rate of 20 °C/min. The fire duration of 1 h is used. This comprehensive analysis is essential for enhancing our understanding of the performance and applicability of GFRP rebars in fire-prone environments. Based on their actual application in the construction industry, five specimens of three different rebar sizes (16, 20, and 25 mm) were examined for the effect of rebar size on tensile behavior after fire exposure. In addition, the effects were investigated of air- and water-cooling methods on residual tensile behavior. The nominal tensile strength, elastic modulus, and ultimate strain of GFRP rebars at ambient temperature are 930 MPa, 50.2 GPa and 1.85%, respectively. The test results indicated that as the temperature increased to 400 °C, the ultimate tensile strength of the GFRP bars decreased by up to 55%, while the ultimate strain increased by up to 44%, regardless of the cooling method. In addition, when rebars of sizes 16–25 mm were subjected to a 400 °C fire treatment, the smaller the rebar, the greater the percentage of ultimate tensile and strain reduction. These findings hold great significance for the utilization of GFRP bars within the construction industry. This study offers valuable insights into the design of fire-resilient structures, emphasizing the importance of considering rebar size and cooling methods due to their impact on the post-fire tensile strength and strain of GFRP rebars. Full article
Show Figures

Figure 1

20 pages, 5341 KB  
Article
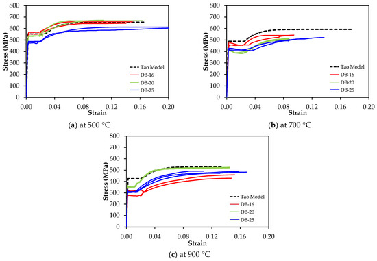
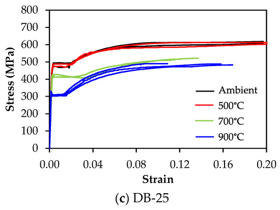
Effect of Elevated Temperatures on Mechanical Properties of Spliced and Non-Spliced Steel Reinforcements: Experimental Study
by Chanachai Thongchom, Suphanut Kongwat, Jongchai Jaitrong, Suraparb Keawsawasvong, Linh Van Hong Bui, Boonchai Stitmannaithum and Saeed Mousa
Buildings 2023, 13(6), 1419; https://doi.org/10.3390/buildings13061419 - 30 May 2023
Cited by 4 | Viewed by 2296
Abstract
Steel reinforcement is an essential part of reinforced concrete, providing structural strength. In case of fire, the steel reinforcement severely loses its mechanical properties, leading to structural collapse in some elevated temperatures. Thus, this work mainly investigates the mechanical properties of spliced and [...] Read more.
Steel reinforcement is an essential part of reinforced concrete, providing structural strength. In case of fire, the steel reinforcement severely loses its mechanical properties, leading to structural collapse in some elevated temperatures. Thus, this work mainly investigates the mechanical properties of spliced and non-spliced steel reinforcements after being exposed to 500 °C, 700 °C, and 900 °C. The results show that the mechanical properties of steel reinforcements significantly change after exposure to temperatures exceeding 500 °C, and the diameter of steel reinforcements does not considerably affect post-fire properties. The proposed equations from previous work were also compared to the testing results in terms of post-fire stress–strain curves and mechanical properties, resulting in overestimation at temperatures of 700 °C and 900 °C. The study finds that using a mechanical coupler has the potential to increase the residual yield strength at a temperature of 500 °C, but it lacks post-fire elongation at a temperature of 700 °C due to observed failure behavior after testing. Furthermore, the failure occurred at the mechanical couplers when the exposure temperature reached 700 °C. The modulus of elasticity of non-splices was the most critical parameter, which was maximally different by 23.9% compared to non-spliced steel reinforcements. Full article
(This article belongs to the Section Building Materials, and Repair & Renovation)
Show Figures

Figure 1

48 pages, 5515 KB  
Article
Prediction of Compressive Strength Loss of Normal Concrete after Exposure to High Temperature
by Xiaoyu Qin, Qianmin Ma, Rongxin Guo and Shaoen Tan
Appl. Sci. 2022, 12(23), 12237; https://doi.org/10.3390/app122312237 - 29 Nov 2022
Cited by 2 | Viewed by 2450
Abstract
In recent years, there has been an increasing number of fires in buildings. The methods for detecting residual properties of buildings after fires are commonly destructive and subjective. In this context, property prediction based on mathematical modeling has exhibited its potential. Backpropagation ( [...] Read more.
In recent years, there has been an increasing number of fires in buildings. The methods for detecting residual properties of buildings after fires are commonly destructive and subjective. In this context, property prediction based on mathematical modeling has exhibited its potential. Backpropagation (BP), particle swarm algorithms optimized-BP (PSO-BP) and random forest (RF) models were established in this paper using 1803 sets of data from the literature. Material and relevant heating parameters, as well as compressive strength loss percentage, were used as input and output parameters, respectively. Experimental work was also carried out to evaluate the feasibility of the models for prediction. The accuracy of all the models was sufficiently high, and they were also much more feasible for prediction. Moreover, based on the RF model, the importance of the inputting parameters was ranked as well. Such prediction has provided a new perspective to non-destructively and objectively assess the post-fire properties of concrete. Additionally, this model could be used to guide performance-based design for fire-resistant concrete. Full article
(This article belongs to the Special Issue Latest Advances in Cement and Concrete Composites)
Show Figures

Figure 1

20 pages, 11105 KB  
Article
Compressive Properties of Self-Compacting Concrete after Cooling from High Temperatures
by Junru Zhu, Chuntao Zhang and Wei Yu
Buildings 2022, 12(11), 1875; https://doi.org/10.3390/buildings12111875 - 3 Nov 2022
Cited by 4 | Viewed by 1959
Abstract
Self-compacting concrete (SCC) has been widely used in building structures. However, previous research focused only on the mechanical properties and working properties of SCC at room temperature. Thus, there is limited research on the change of compressive strength of SCC after a fire. [...] Read more.
Self-compacting concrete (SCC) has been widely used in building structures. However, previous research focused only on the mechanical properties and working properties of SCC at room temperature. Thus, there is limited research on the change of compressive strength of SCC after a fire. This paper aims to investigate the compressive properties of SCC after being cooled from high temperatures. The SCC specimens were firstly heated to a target temperature of 100–700 °C and were then cooled to ambient temperatures by water or in air. The heating and cooling damage to the SCC specimens was assessed by the mass loss and the ultrasonic pulse velocity (UPV) separately. Afterward, the axial compression tests were carried out to investigate the compressive properties of the fire-affected SCC specimens under uniaxial compression. The residual mass, UPV, stress–strain curves, post-fire failure characteristics, and compressive strengths of the SCC specimens were discussed in detail. The mass loss of the SCC specimens showed an obvious increase with the rising temperatures, while the UPV exhibited a converse pattern. The mass loss of the SCC specimens after being naturally cooled increased more significantly, while the two cooling methods used in this experiment had little effect on the UPV. When the SCC specimens were cooled from 100 °C, the compressive strength of the SCC specimens cooled in air or water dropped by 32.54% and 35.15%, respectively. However, while the heating temperature rose to 700 °C, the compressive strengths of the SCC specimens cooled in air or water dropped sharply by 72.98% and 86.51%, respectively. Finally, an improved mathematical model for SCC after cooling from high temperatures was proposed based on Jones and Nelson’s equation. This improved material model matched the experimental results well, which demonstrates that the proposed constitutive model can provide better predictions for the SCC structures after a fire. Full article
(This article belongs to the Section Building Materials, and Repair & Renovation)
Show Figures

Figure 1

23 pages, 9460 KB  
Article
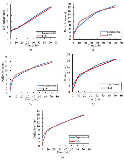
Analysis and Residual Behavior of Encased Pultruded GFRP I-Beam under Fire Loading
by Enas M. Mahmood, Abbas A. Allawi and Ayman El-Zohairy
Sustainability 2022, 14(20), 13337; https://doi.org/10.3390/su142013337 - 17 Oct 2022
Cited by 18 | Viewed by 2006
Abstract
In this paper, fire resistance and residual capacity tests were carried out on encased pultruded glass fiber-reinforced polymer (GFRP) I-beams with high-strength concrete beams. The specimens were loaded concurrently under 25% of the ultimate load and fire exposure (an increase in temperature of [...] Read more.
In this paper, fire resistance and residual capacity tests were carried out on encased pultruded glass fiber-reinforced polymer (GFRP) I-beams with high-strength concrete beams. The specimens were loaded concurrently under 25% of the ultimate load and fire exposure (an increase in temperature of 700 °C) for 70 min. Subsequently, the fire-damaged specimens were allowed to cool and then were loaded statically until failure to explore the residual behaviors. The effects of using shear connectors and web stiffeners on the residual behavior were investigated. Finite Element (FE) analysis was developed to simulate the encased pultruded GFRP I-beams under the effect of fire loading. The thermal analyses were performed using the general-purpose FE ABAQUS package. This simulation considered the material and geometric nonlinearities and the effect of temperature on the constitutive models of materials. The FE results showed good agreement with the experimental data. The residual peak load and the corresponding mid-span deflection obtained were 5% and 4% higher than those of the experimental results. The validated FE model was utilized to explore the influence of the tensile strength of GFRP and concrete compressive strength on the post-fire flexural behavior of the encased GFRP I-beams. The encased GFRP beams kept higher residual peak loads. Moreover, the encased GFRP beam with shear connectors (EGS-F), encased GFRP beam with web stiffeners (EGW-F), and encased GFRP beam with shear connectors and web stiffeners (EGSW-F) exhibited higher residual peak loads due to the presence of shear connectors and web stiffeners. However, the web stiffeners showed a minor enhancement in the peak load. Full article
Show Figures

Figure 1

21 pages, 9610 KB  
Article
Residual Shear Capacity of RC Beams without Stirrups after Fire Exposure
by Yamin Song, Chuanguo Fu and Shuting Liang
Buildings 2022, 12(10), 1706; https://doi.org/10.3390/buildings12101706 - 17 Oct 2022
Cited by 3 | Viewed by 2090
Abstract
To investigate the shear capacity and failure mechanism of RC beams after fire exposure, fourteen full-scale beams without stirrups were tested at ambient temperature and after fire exposure. Three parameters, including the loading ratio, shear span-to-depth ratio and longitudinal reinforcement ratio, were considered [...] Read more.
To investigate the shear capacity and failure mechanism of RC beams after fire exposure, fourteen full-scale beams without stirrups were tested at ambient temperature and after fire exposure. Three parameters, including the loading ratio, shear span-to-depth ratio and longitudinal reinforcement ratio, were considered in static load tests. The deterioration mechanism of the shear bearing capacity at the diagonal section of RC beams without stirrups after fire exposure was experimentally, numerically and theoretically revealed, and a calculation formula for the shear capacity of post-fire beams without stirrups was proposed. The results show that the shear capacity and stiffness of the specimens decreased after fire exposure, and the shear strength loss of the beams increased with fire exposure time. The shear capacity and stiffness of fire-damaged specimens decreased as the shear span ratio λ increased, and the shear strength loss of the beams decreased with λ. Compared with the theoretical calculation and experimental results of beams without stirrups, the average of the absolute errors was 10.48%. Therefore, this formula can better calculate the residual shear capacity of beam without stirrups after fire exposure. Full article
(This article belongs to the Section Building Structures)
Show Figures

Figure 1

34 pages, 10284 KB  
Review
Influence of Elevated Temperatures on the Mechanical Performance of Sustainable-Fiber-Reinforced Recycled Aggregate Concrete: A Review
by Wisal Ahmed, C. W. Lim and Arslan Akbar
Buildings 2022, 12(4), 487; https://doi.org/10.3390/buildings12040487 - 14 Apr 2022
Cited by 51 | Viewed by 5310
Abstract
In recent times, the applications of fiber-reinforced recycled aggregate concrete (FRAC) in practical engineering have gained greater popularity due to its superior mechanical strength and fracture properties. To apply FRAC in buildings and other infrastructures, a thorough understanding of its residual mechanical properties [...] Read more.
In recent times, the applications of fiber-reinforced recycled aggregate concrete (FRAC) in practical engineering have gained greater popularity due to its superior mechanical strength and fracture properties. To apply FRAC in buildings and other infrastructures, a thorough understanding of its residual mechanical properties and durability after exposure to fire is highly important. According to the established research, the properties and volume fractions of reinforcing fiber materials, replacement levels of recycled concrete aggregate (RCA), and heating condition would affect the thermal–mechanical properties of FRAC. This review paper aims to present a thorough and updated review of the mechanical performance at an elevated temperature and post-fire durability of FRAC reinforced with various types of fiber material, specifically steel fiber (SF), polypropylene (PP) fiber, and basalt fiber (BF). More explicitly, in this review article the residual mechanical properties of FRAC, such as compressive strength, splitting tensile capacity, modulus of elasticity, mass loss, spalling, and durability after exposure to elevated temperatures, are discussed. Furthermore, this study also encompasses the relationship among the dosages of fibers, replacement levels of recycled aggregate, and the relative residual mechanical properties of FRAC that would help in the optimum selection of the fiber content. Conclusively, this study elaborately reviews and summarizes the relevant and recent literature on recycled aggregate concrete containing SF, PP fiber, and BF. The study further provides a realistic comparison of these fibers in terms of the residual mechanical performance and durability of FRAC that would help in their future enhancements and applications in practical engineering. Full article
(This article belongs to the Special Issue Advanced Sustainable Materials in Buildings)
Show Figures

Figure 1

13 pages, 4593 KB  
Article
Evaluation Residual Compressive Strength of Tunnel Lining Concrete Structure after Fire Damage Based on Ultrasonic Pulse Velocity and Shear-Wave Tomography
by Qiang Wang, Daqing Chen, Kai Zhu, Zitai Zhai, Juntao Xu, Linlin Wu, Dong Hu, Weirong Xu and Huandong Huang
Processes 2022, 10(3), 560; https://doi.org/10.3390/pr10030560 - 13 Mar 2022
Cited by 7 | Viewed by 3024
Abstract
In this study, ultrasonic pulse velocity (UPV) and ultrasonic shear-wave tomography are combined to measure the residual compressive strength (RCS) of small-scale lining concrete blocks and to detect inner defects in the lining structure. The characteristics of and variations in the RCS of [...] Read more.
In this study, ultrasonic pulse velocity (UPV) and ultrasonic shear-wave tomography are combined to measure the residual compressive strength (RCS) of small-scale lining concrete blocks and to detect inner defects in the lining structure. The characteristics of and variations in the RCS of test blocks after being exposed to elevated temperatures (200–800 °C) and constant heating times (2 h, 3 h, and 4 h) were studied. At 800 °C, the RCS values reduced by 64.4%, 69.2%, and 74.6% at heating times of 2 h, 3 h, and 4 h. Scanning electron microscopy (SEM) was used for the micro-phase analysis of the samples that had been exposed to high temperatures. The heating time and RCS as well as the SEM micro-structure relationship were compared. Finally, a tunnel lining slab sample was designed to simulate the post-fire damage inside the blocks. Additionally, shear-wave tomography with 32 probes was able to detect the ϕ10 mm void defects at a depth of 200 mm. Full article
Show Figures

Figure 1

Back to TopTop