Analysis and Residual Behavior of Encased Pultruded GFRP I-Beam under Fire Loading
Abstract
1. Introduction
2. Experimental Program
2.1. Details of the Specimens
2.2. Mechanical Properties of Material
2.3. Fire Test Setup and Procedure
2.4. Residual Strength Test Setup and Procedure
3. Experimental Results
3.1. Fire Test Results
3.2. Strength and Residual Response
3.3. Crack Patterns and Failure Modes
4. Numerical Modeling
4.1. Element Selection
4.2. Mesh Sensitivity Study
4.3. Boundary Conditions and Applied Load
4.4. Material Modeling
4.4.1. Concrete Material Modeling
4.4.2. Steel Reinforcement Material Modeling
4.4.3. GFRP Material Modeling
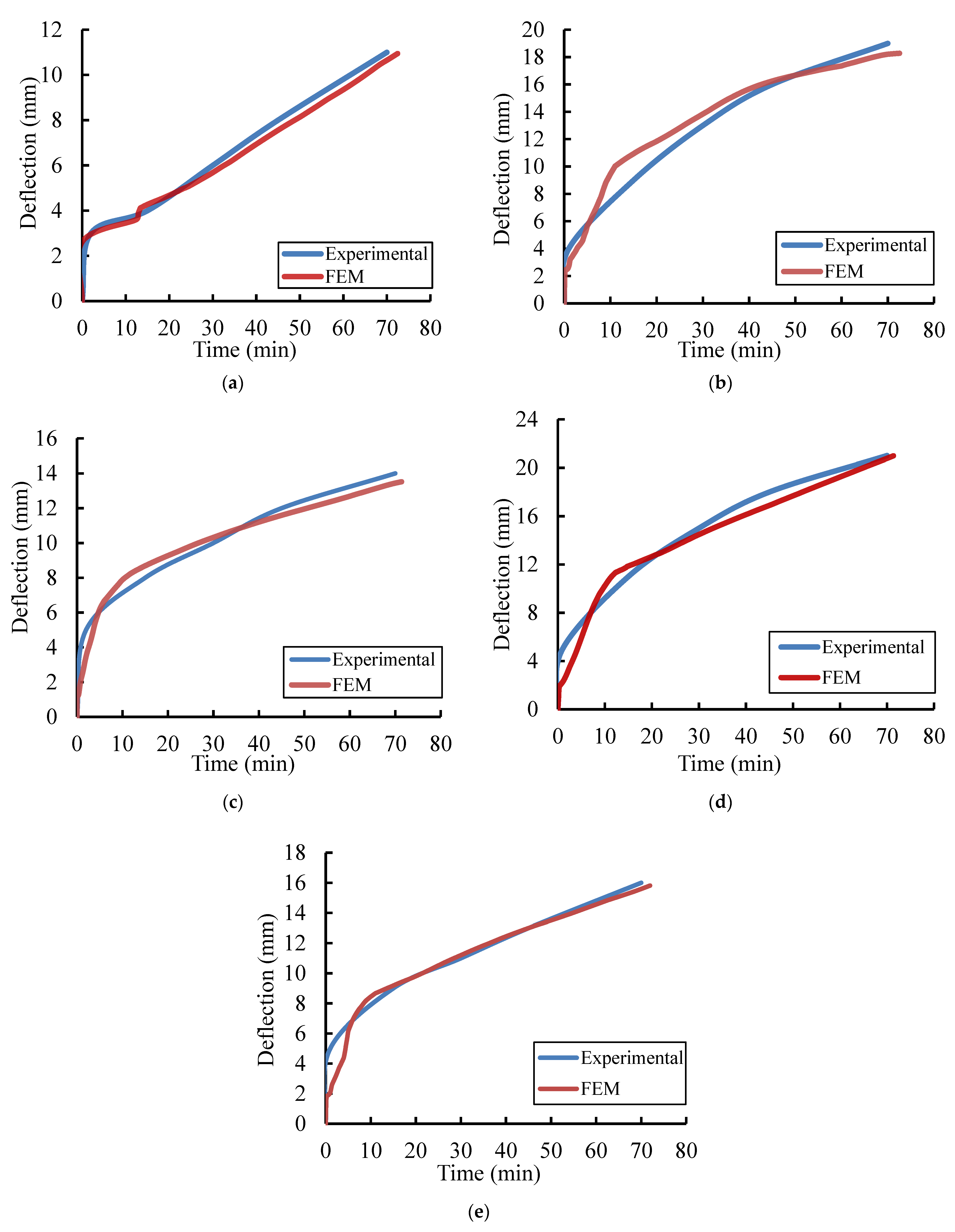
4.5. Validation of the FE Results
4.5.1. Temperature Field Analysis Results
4.5.2. Temperature Distribution
4.5.3. Residual Static Results
5. Parametric Study
5.1. Influence of the Concrete Compressive Strength
5.2. Influence of the Tensile Strength of the GFRP Beams
6. Conclusions
- The residual post-fire peak load of the encased beam was higher than the conventional reinforced concrete beam by 52%. The presence of shear connection, web stiffener, or both increased the residual peak loads by 86%, 61%, and 106%, respectively, relative to the reference beam without the GFRP beam. These values were 23%, 7%, and 36%, respectively, relative to the embedded pultruded GFRP beam without these parameters.
- The encased GFRP beams could significantly reduce the residual behavior of the fire-damaged specimens relative to the reference one. The bond between steel reinforcement and concrete and the bond between GFRP beams and concrete played significant roles in controlling the structural behavior of the encased specimens.
- The FE results showed good agreement with the experimental data. The residual peak load and the corresponding mid-span deflection were 5% and 4% higher than those of the experimental results.
- The encased GFRP beams kept higher residual peak loads. Moreover, the beams EGS-F, EGW-F, and EGSW-F exhibited higher residual peak loads than beam EG-F due to the presence of shear connectors and web stiffeners. However, the web stiffeners showed minor enhancement in the peak load.
- The residual peak loads and corresponding deflections slightly increased by 10% as the tensile strength increased from 258 to 347.5 MPa. However, these values increased by about 14% when using GFRP with a tensile strength of 416 MPa, relative to the beam with a tensile strength of 258 MPa.
Author Contributions
Funding
Institutional Review Board Statement
Informed Consent Statement
Data Availability Statement
Conflicts of Interest
References
- Ali, S.I.; Allawi, A.A. Flexural Behavior of Composite GFRP Pultruded I-Section Beams under Static and Impact Loading. Civ. Eng. J. 2020, 6, 143–2158. [Google Scholar] [CrossRef]
- Ibrahim, T.H.; Allawi, A.A.; El-Zohairy, A. Impact Behavior of Composite Reinforced Concrete Beams with Pultruded I-GFRP Beam. Materials 2022, 15, 441. [Google Scholar] [CrossRef] [PubMed]
- Kynclova, M.; Fiala, C.; Hajek, P. High performance concrete as a sustainable material. Int. J. Sustain. Build. Technol. Urban Dev. 2011, 2, 63–68. [Google Scholar] [CrossRef]
- Garg, N.; Shrivastava, S. Environmental and Economic Comparison of FRP Reinforcements and Steel Reinforcements in Concrete Beams Based on Design Strength Parameter; Malaviya National Institute of Technology (MNIT): Jaipur, India; Engineering College: Bikaner, India, 2019. [Google Scholar]
- Correia, J.R.; Branco, F.A.; Ferreira, J.G. The effect of different passive fire protection systems on the fire reaction properties of GFRP pultruded profiles for civil construction. Compos. Part A Appl. Sci. Manuf. 2010, 41, 441–452. [Google Scholar] [CrossRef]
- Gao, W.Y.; Dai, J.G.; Teng, J.G.; Chen, G.M. Finite element modeling of reinforced concrete beams exposed to fire. Eng. Struct. 2013, 52, 488–501. [Google Scholar] [CrossRef]
- Kodur, V.K.R.; Phan, L. Critical factors governing the fire performance of high strength concrete systems. Fire Saf. J. 2007, 42, 482–488. [Google Scholar] [CrossRef]
- Li, S.; Liew, J.Y.R.; Xiong, M.X.; Lai, B.L. Experimental investigation on fire resistance of high-strength concrete encased steel composite columns. Fire Saf. J. 2021, 121, 103273. [Google Scholar] [CrossRef]
- Dwaikat, M.B.; Kodur, V.K.R. Fire induced spalling in high strength concrete beams. Fire Technol. 2010, 46, 251–274. [Google Scholar] [CrossRef]
- Khaneghahi, M.H.; Najafabadi, E.P.; Bazli, M.; Vatani Oskouei, A.; Zhao, X.L. The effect of elevated temperatures on the compressive section capacity of pultruded GFRP profiles. Constr. Build. Mater. 2020, 249, 118725. [Google Scholar] [CrossRef]
- Morgado, T.; Correia, J.R.; Silvestre, N.; Branco, F.A. Experimental study on the fire resistance of GFRP pultruded tubular beams. Compos. Part B Eng. 2018, 139, 106–116. [Google Scholar] [CrossRef]
- Correia, J.R.; Gomes, M.M.; Pires, J.M.; Branco, F.A. Mechanical behavior of pultruded glass fiber reinforced polymer composites at elevated temperature: Experiments and model assessment. Compos. Struct. 2013, 98, 303–313. [Google Scholar] [CrossRef]
- Parthasarathi, N.; Satyanarayanan, K.S.; Thamilarasu, V. Thermal behavior of reinforced concrete beam with static loading condition. Int. J. Recent Technol. Eng. 2019, 8, 1484–1488. [Google Scholar] [CrossRef]
- Choi, E.G.; Shin, Y.S. The structural behavior and simplified thermal analysis of normal-strength and high-strength concrete beams under fire. Eng. Struct. 2011, 33, 1123–1132. [Google Scholar] [CrossRef]
- Rafi, M.; Nadjai, A.; Ali, F.; O’Hare, P. Evaluation of thermal resistance of FRP reinforced concrete beams in fire. J. Struct. Fire Eng. 2011, 2, 91–107. [Google Scholar] [CrossRef]
- Guo, Z.; Xia, L.; Lin, Q.; Chen, Y. Test on the mechanical behavior of pultruded concrete-filled GFRP tubular short columns after elevated temperatures. Compos. Struct. 2021, 257. [Google Scholar] [CrossRef]
- Dai, J.-G.; Gao, W.-Y.; Teng, J.G. Finite Element Modeling of Insulated FRP-Strengthened RC Beams Exposed to Fire. J. Compos. Constr. 2015, 19, 04014046. [Google Scholar] [CrossRef]
- Rafi, M.M.; Nadjai, A. Experimental Behaviour of Carbon FRP Reinforced Concrete Beams at Ambient and Elevated Temperatures. J. Adv. Concr. Technol. 2008, 6, 431–441. [Google Scholar] [CrossRef][Green Version]
- Lee, T.; Jeong, K.; Choi, H. Effect of thermal properties of aggregates on the mechanical properties of high strength concrete under loading and high temperature conditions. Materials 2021, 14, 6093. [Google Scholar] [CrossRef]
- ASTM C39-39M; Standard Test Method for Compressive Strength of Cylindrical Concrete Specimens. Annual Book of ASTM Standards: West Conshohocken, PA, USA, 2021.
- ASTM C469-469M; Standard Test Method for Static Modulus of Elasticity and Poisson’s Ratio of Concrete in Compression. ASTM International: West Conshohocken, PA, USA, 2022.
- ASTM A615/A615M; Standard Test Method for Deformed and Plain Carbon-Steel Bars for Concrete Reinforcement. Annual Book of ASTM Standards; American Association State Highway and Transportation Officials Standard AASHTO No. M 31: West Conshohocken, PA, USA, 2022.
- ASTM D695; Standard Test Method for Compressive Properties of Rigid Plastics. Annual Book of ASTM Standards; American International: West Conshohocken, PA, USA, 2015.
- European Standard EN ISO 527-4; Determination of Tensile Properties of Plastics. Part 4: Test Conditions for Isotropic and Orthotropic Fiber-Reinforced Plastic Composites, No. 1109a. International Organization for Standardization: Geneva, Switzerland, 2021.
- ASTM E119; Standard Test Methods for Fire Tests of Building Construction and Materials. American Society for Testing and Materials, the United States of America is a Legally Binding Document; ASTM: Washington, DC, USA, 2020.
- Mahmood, E.M.; Allawi, A.A.; El-Zohairy, A. Flexural Performance of Encased Pultruded GFRP I-Beam with High Strength Concrete under Static Loading. Materials 2022, 15, 4519. [Google Scholar] [CrossRef]
- Ellis, D.S.; Tabatabai, H.; Nabizadeh, A. Residual Tensile Strength and Bond Properties of GFRP Bars after Exposure to Elevated Temperatures. Material 2018, 11, 346. [Google Scholar] [CrossRef]
- Głowacki, M.; Kowalski, R. An experimental approach to the estimation of stiffness changes in RC elements exposed to bending and high temperature. Eng. Struct. 2020, 217, 11072. [Google Scholar] [CrossRef]
- Cosenza, E.; Manfredi, G.; Realfonzo, R. Behavior and modeling of bond of FRP rebars to concrete. J. Compos. Constr. 1997, 1, 40–51. [Google Scholar] [CrossRef]
- Kotynia, R.; Szczech, D.; Kaszubska, M. Bond Behavior of GRFP Bars to Concrete in Beam Test. Procedia Eng. 2017, 193, 401–408. [Google Scholar] [CrossRef]
- Seo, S.Y.; Lim, J.W.; Jeong, S.H. Evaluation on the Bond Capacity of the Fire-Protected FRP Bonded to Concrete under High Temperature. Int. J. Concr. Struct. Mater. 2021, 15, 1–24. [Google Scholar] [CrossRef]
- Ahmed, A.; Kodur, V.K.R. Effect of bond degradation on fire resistance of FRP-strengthened reinforced concrete beams. Compos. Part B: Eng. 2011, 42, 226–237. [Google Scholar] [CrossRef]
- ABAQUS/Standard; User’s Manual, Ver.2017. Hibbitt, Karlson, and Sorensen, Inc., Dassault Systems Simulia: Johnson, RI, USA, 2017.
- EN 1992-1-2; Eurocode 2: Design of Concrete Structures—Part 1–2: General Rules—Structural Fire Design. European Standards Organization: Brussels, Belgium, 2004.
- Gross, J.L.; Phan, L.T. Summary of best practice guidelines for structural fire resistance design of concrete and steel buildings. In Proceedings of the 2010 Structures Congress, Orlando, FL, USA, 12–15 May 2010; pp. 2369–2379. [Google Scholar] [CrossRef]
- Dwaikat, M.B.; Kodur, V.K.R. Hydrothermal model for predicting fire-induced spalling in concrete structural systems. Fire Saf. J. 2009, 44, 425–434. [Google Scholar] [CrossRef]
- Neves, I.C.; Correia, J.R.; Loureiro, A.P. Mechanical Properties of Reinforcing and Prestressing Steels After Heating. J. Mater. Civ. Eng. 1996, 8, 189–194. [Google Scholar] [CrossRef]
- Kodur, V.K.R.; Agrawal, A. An approach for evaluating the residual capacity of reinforced concrete beams exposed to fire. Eng. Struct. 2016, 110, 293–306. [Google Scholar] [CrossRef]
- Bakis, C.E.; Ganjehlou, A.; Kachlakev, D.I.; Schupack, M.; Balaguru, P.; Gee, D.J.; Karbhari, V.M.; Scott, D.W.; Ballinger, C.A.; Gentry, T.R. Guide for the design and construction of externally bonded FRP systems for strengthening concrete structures. Rep. ACI Comm. 2002, 440, 13. [Google Scholar]
- Yu, B.; Kodur, V.K.R. Factors governing the fire response of concrete beams reinforced with FRP rebars. Compos. Struct. 2013, 100, 257–269. [Google Scholar] [CrossRef]
- Almeida-Fernandes, L.; Silvestre, N.; Correia, J.R.; Arruda, M. Compressive transverse fracture behaviour 613 of pultruded GFRP materials: Experimental study and numerical calibration. Compos. Struct. 2020, 247, 112453. [Google Scholar] [CrossRef]

























| Specimen Encoding | Ref-F | EG-F | EGS-F | EGW-F | EGSW-F |
|---|---|---|---|---|---|
| Cross-section (mm) | 200 × 300 | 200 × 300 | 200 × 300 | 200 × 300 | 200 × 300 |
| Length (mm) | 2750 | 2750 | 2750 | 2750 | 2750 |
| Encased | - | GFRP | GFRP | GFRP | GFRP |
| Parameter | - | - | S | W | SW |
| Cement (Kg/m3) | Fine Agg. (Kg/m3) | Coarse Aggregate (Kg/m3) | Water (Kg/m3) | Admixture (Kg/m3) |
|---|---|---|---|---|
| 475 | 880 | 910 | 165 | 15.25 |
| Steel Rebars | GFRP I-Beam | Value (MPa) | ||
|---|---|---|---|---|
| Diameters (mm) | 10 | 16 | Transverse Compressive Strength | 118.3 |
| Yield stress (MPa) | 408 | 520 | Longitudinal Compressive Strength | 326.14 |
| Longitudinal Tensile Strength | 347.5 | |||
| Ultimate stress (MPa) | 466 | 687 | Longitudinal Modulus of Elasticity | 27,100 |
| Transverse Modules of Elasticity | 6800 | |||
| Specimens | Static Ultimate Capacity * (kN) | Applied Load (kN) | Initial Displacement (mm) | Final Displacement (mm) | Strain (με) |
|---|---|---|---|---|---|
| Ref-F | 100.46 | 25 | 3 | 11 | −196.9 |
| EG-F | 159.04 | 40 | 4 | 19 | −524.1 |
| EGS-F | 201.54 | 50 | 5 | 14 | −382.2 |
| EGW-F | 198.24 | 50 | 5 | 21 | −372.2 |
| EGSW-F | 231.88 | 65 | 5 | 16 | −321.2 |
| Specimens | Yielding Load (kN) | Peak Load (kN) | Ultimate Deflection (mm) | Strain in Concrete (mm/mm) | Change in Strain (%) | Change in Yielding Load (%) | Change in Peak Load (%) |
|---|---|---|---|---|---|---|---|
| Ref-F | 59.8 | 80.6 | 56.7 | 0.0029 | - | - | - |
| EG-F | 83.6 | 122.1 | 68.6 | 0.0032 | +10 | +39.7 | +51.5 |
| EGS-F | 92.5 | 149.6 | 112.5 | 0.004 | +38 | +54.4 | +85.6 |
| EGW-F | 93.1 | 130.1 | 34.7 | 0.0033 | +14 | +55.4 | +61.3 |
| EGSW-F | 107.1 | 166.2 | 81.1 | 0.0033 | +14 | +78.7 | +106.2 |
| Specimen | Unburned [26] | Burned | Change (%) | |||
|---|---|---|---|---|---|---|
| Peak Load (kN) | Max. Disp. (mm) | Peak Load (kN) | Max. Disp. (mm) | Peak Load | Max. Disp. | |
| Ref | 100.4 | 32.8 | 80.6 | 56.7 | −19.7 | +72.9 |
| EG | 159.1 | 33.1 | 122.1 | 68.6 | −23.1 | +107.7 |
| EGS | 201.5 | 48.6 | 149.6 | 112.5 | −25.7 | +131.2 |
| EGW | 198.2 | 38.9 | 130.1 | 34.7 | −34.3 | −10.8 |
| EGSW | 231.8 | 52.5 | 166.2 | 81.1 | −28.3 | +54.4 |
| Beam | Exp. Results | FE Results | % Change | |||
|---|---|---|---|---|---|---|
| Peak Load (kN) | Max. Disp. (mm) | Peak Load (kN) | Max. Disp. (mm) | Peak Load | Max. Disp. | |
| Ref-A | 80.62 | 56 | 81.85 | 58 | 1.53 | 3.57 |
| EG-A | 122.15 | 77 | 124.14 | 80 | 1.63 | 3.90 |
| EGS-A | 149.64 | 116 | 156.41 | 118 | 4.52 | 1.72 |
| EGW-A | 130.12 | 98 | 132.64 | 102 | 1.94 | 4.08 |
| EGSW-A | 166.24 | 87 | 169.75 | 89 | 2.11 | 2.30 |
| Beams | Compressive Strength (MPa) | Peak Load (kN) | Deflection at Peak Load (mm) | Change in Peak Load (%) | Change in Deflection (%) |
|---|---|---|---|---|---|
| 45 | 76.23 | 56.38 | - | - | |
| Ref-F | 53.8 | 81.85 | 58.27 | 7.37 | 3.35 |
| 65 | 86.25 | 62.9 | 13.14 | 11.56 | |
| 45 | 106.51 | 71.36 | - | - | |
| EG-F | 53.8 | 124.14 | 79.65 | 5.64 | 11.62 |
| 65 | 138.38 | 85.12 | 24.59 | 19.28 | |
| 45 | 139.54 | 103.36 | - | - | |
| EGS-F | 53.8 | 156.41 | 117.65 | 7.47 | 13.83 |
| 65 | 171.33 | 123.32 | 16.35 | 19.31 | |
| 45 | 118.23 | 95.53 | - | ||
| EGW-F | 58.3 | 132.64 | 102.44 | 5.92 | 7.23 |
| 65 | 142.32 | 111.08 | 12.05 | 16.28 | |
| 45 | 152.84 | 81.95 | - | ||
| EGSW-F | 53.8 | 169.75 | 89.52 | 11.06 | 9.24 |
| 65 | 181.23 | 97.53 | 18.58 | 19.01 |
| Beams | Tensile Strength (MPa) | Peak Load (kN) | Change (%) | Deflection at Peak Load (mm) | Change (%) |
|---|---|---|---|---|---|
| 258 | 116.15 | - | 74.74 | ||
| EG-F | 347.5 | 124.14 | 6.88 | 79.65 | 6.57 |
| 416 | 131.36 | 13.10 | 83.35 | 11.52 | |
| 258 | 143.94 | 106.97 | |||
| EGS-F | 347.5 | 156.41 | 8.66 | 117.65 | 9.98 |
| 416 | 164.78 | 14.48 | 120.38 | 12.54 | |
| 258 | 124.27 | 96.41 | |||
| EGW-F | 347.5 | 132.64 | 6.74 | 102.44 | 6.25 |
| 416 | 141.35 | 13.74 | 107.53 | 11.53 | |
| 258 | 154.49 | 84.26 | |||
| EGSW-F | 347.5 | 169.75 | 9.88 | 89.52 | 6.24 |
| 416 | 178.35 | 15.43 | 98.36 | 16.73 |
Publisher’s Note: MDPI stays neutral with regard to jurisdictional claims in published maps and institutional affiliations. |
© 2022 by the authors. Licensee MDPI, Basel, Switzerland. This article is an open access article distributed under the terms and conditions of the Creative Commons Attribution (CC BY) license (https://creativecommons.org/licenses/by/4.0/).
Share and Cite
Mahmood, E.M.; Allawi, A.A.; El-Zohairy, A. Analysis and Residual Behavior of Encased Pultruded GFRP I-Beam under Fire Loading. Sustainability 2022, 14, 13337. https://doi.org/10.3390/su142013337
Mahmood EM, Allawi AA, El-Zohairy A. Analysis and Residual Behavior of Encased Pultruded GFRP I-Beam under Fire Loading. Sustainability. 2022; 14(20):13337. https://doi.org/10.3390/su142013337
Chicago/Turabian StyleMahmood, Enas M., Abbas A. Allawi, and Ayman El-Zohairy. 2022. "Analysis and Residual Behavior of Encased Pultruded GFRP I-Beam under Fire Loading" Sustainability 14, no. 20: 13337. https://doi.org/10.3390/su142013337
APA StyleMahmood, E. M., Allawi, A. A., & El-Zohairy, A. (2022). Analysis and Residual Behavior of Encased Pultruded GFRP I-Beam under Fire Loading. Sustainability, 14(20), 13337. https://doi.org/10.3390/su142013337

