Residual Shear Capacity of RC Beams without Stirrups after Fire Exposure
Abstract
1. Introduction
2. Experimental Tests
2.1. Test Specimens
2.2. Test Setup and Instrumentation
3. Experimental Results and Discussion
3.1. Thermal Response
3.2. Structural Responses
3.2.1. Failure Modes
3.2.2. Shear Capacity of Specimens
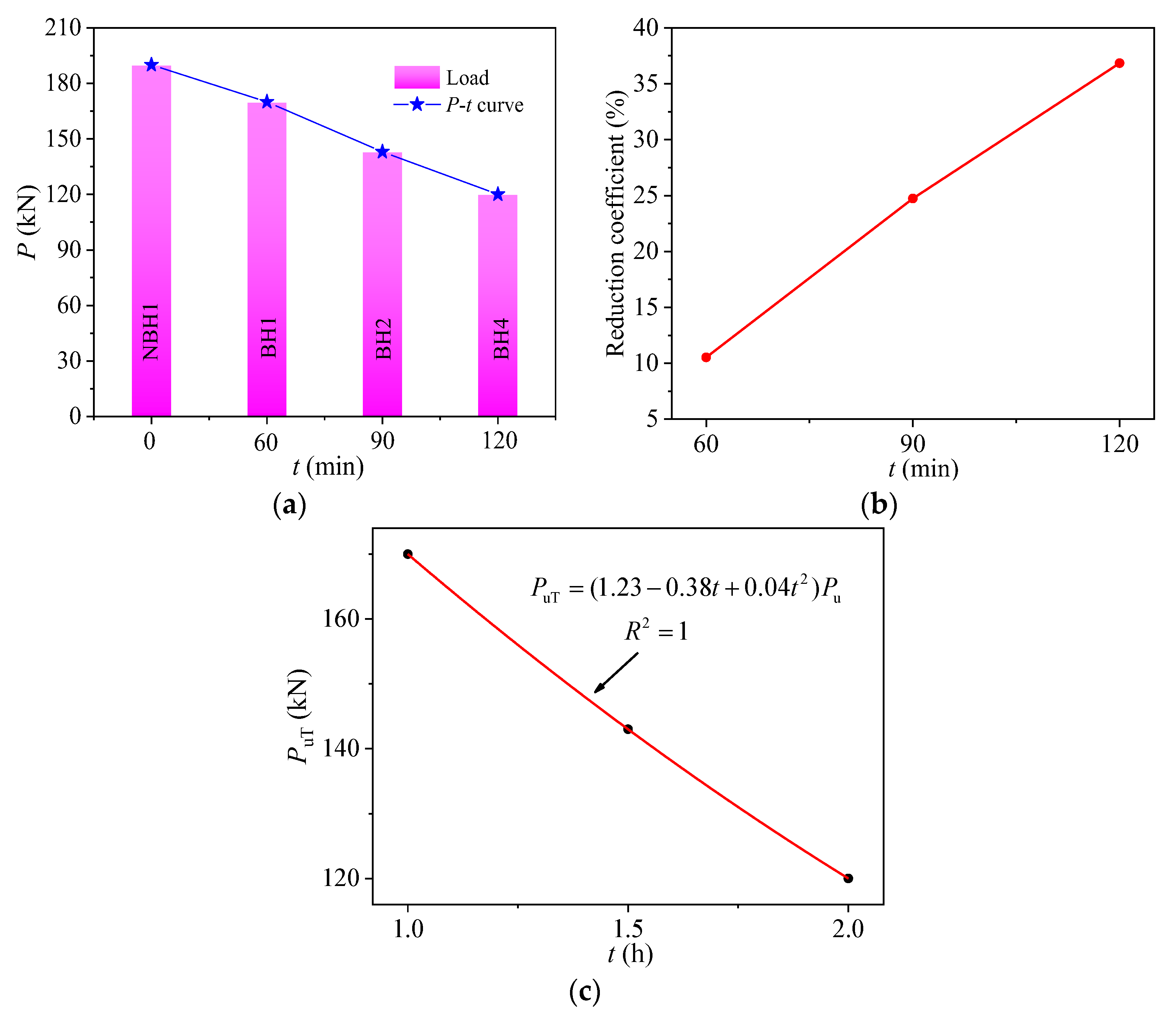
- The shear capacity of the specimens without stirrups decreased after fire exposure, as shown in Figure 8. For instance, compared with the specimen NBH1 at room temperature, the shear bearing capacity of BH1 decreased by 10.5%. The shear strength loss of beams increased with increasing fire exposure time t, such as those of BH1, BH2 and BH4 (10.5% < 24.7% < 36.8%). The relationship between the residual shear capacity and fire time t is shown in Equation (1), where ‘PuT’ and ‘Pu’ indicate the ultimate load bearing capacity of the beam after fire exposure and at room temperature, respectively.
- 2.
- The shear capacity of fire-damaged specimens decreased with increasing preload, such as those of BH2 and BH3 (143 kN > 80 kN), BH5 and BH6 (140 kN > 98.5 kN), as shown in Table 2. Compared with residual shear capacity of no preloaded beam BH2 and BH5, that of thermo-mechanical beams BH3, BH6 is reduced by 44.1% and 29.6%, respectively. Therefore, the residual shear capacity degradation of beams under the coupling of fire and constant load was higher than that of beams only under fire without constant load. That is, the shear capacity of beams undergoing thermo-mechanical coupling could be further degraded.
- 3.
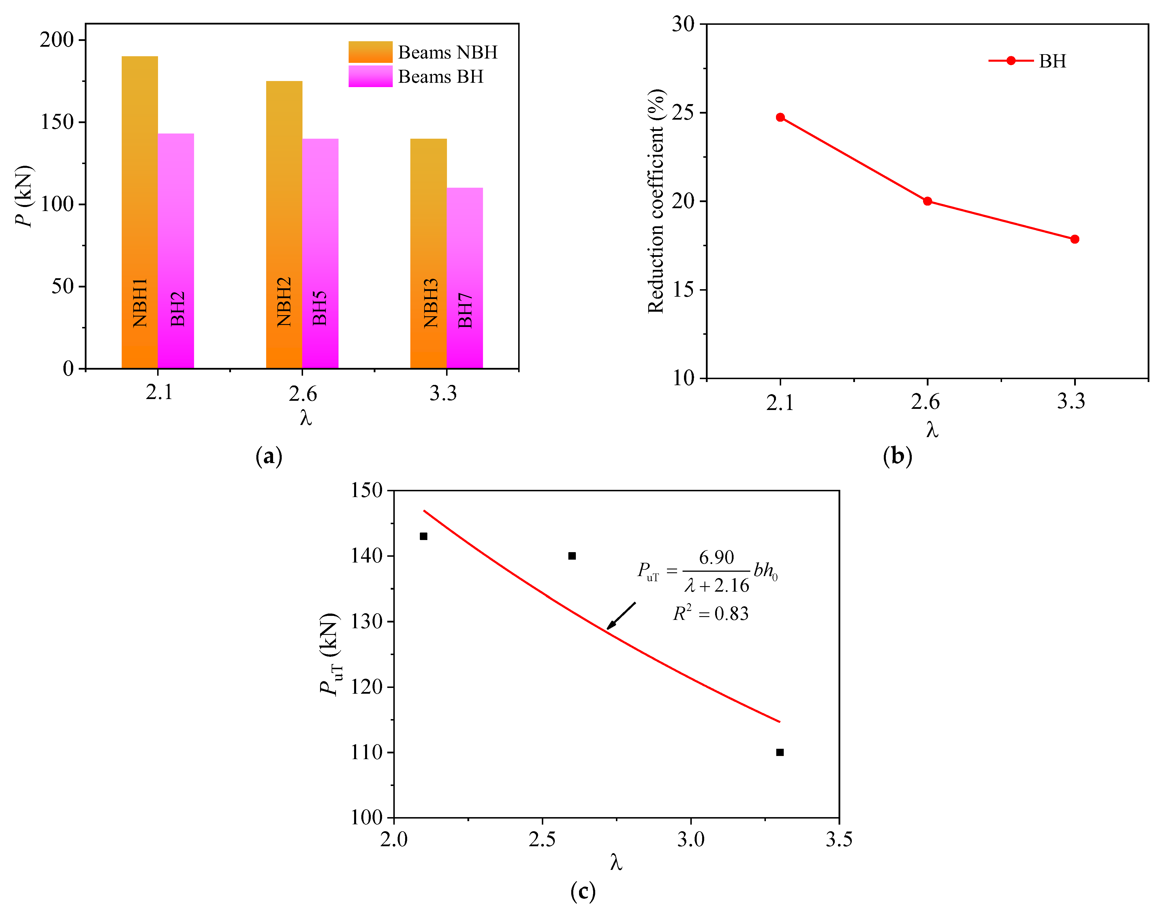
- The shear capacity of specimens exposed to fire decreased with increasing λ, such as those of BH2, BH5 and BH7 (143 kN > 140 kN > 110 kN), which is consistent with that of the specimen at ambient temperature, as shown in Figure 9. The shear strength loss of the beams decreased with increasing shear span ratio λ, such as those of BH2, BH5 and BH7 (24.7% > 20.0% > 17.8%). The relationship between the residual shear capacity and shear span ratio λ is shown in Equation (2).
- 4.
- The shear capacity of fire-damaged specimens increased as the longitudinal reinforcement ratio ρ increased, such as those of BH2, BH8 and BH9 (143 kN > 138 kN > 120 kN), which is consistent with that of the specimen at ambient temperature, as shown in Figure 10. The shear strength loss of the beams increased as the longitudinal reinforcement ratio ρ increased, such as those of BH2, BH8 and BH9 (24.7% > 12.2% > 8.8%). The relationship between the residual shear capacity and longitudinal reinforcement ratio ρ is shown in Equation (3).
3.2.3. Specimen Stiffness
- Both the shear capacity and the stiffness of post-fire beams without stirrups declined.
- Figure 12a,b,d show that the stiffness of the specimens decreased as the fire exposure time (t), shear span ratio (λ) and load ratio (δ) increased.
- Figure 12c shows that the stiffness of the specimens increased with increasing longitudinal reinforcement ratio ρ.
3.2.4. Strain Distribution
4. Finite Element Analysis
4.1. Heat Transfer Analysis
4.2. Mechanical Response Analysis
4.3. Validation of the FE model
5. Evaluation of the Residual Shear Capacity
6. Conclusions
- The shear capacity and stiffness of the specimens decreased after fire exposure, and the shear strength loss of the beams increased with fire time. Compared with the beam at ambient temperature, the residual shear capacity of beams subjected to fire on three sides for 60 min, 90 min and 120 min were reduced by 10.5%, 24.7% and 36.8%, respectively.
- The shear capacity and the stiffness of fire-damaged specimens decreased as the shear span ratio λ increased, and the shear strength loss of the beams decreased with λ. For the beams without stirrups subjected to fire on three sides for 90 min, the residual shear capacity of beams with different shear span ratios of 2.1, 2.6 and 3.3 were reduced by 24.7%, 20.0% and 17.8%, respectively.
- The shear capacity of fire-damaged specimens increased as the longitudinal reinforcement ratio ρ increased, and the shear strength loss of the beams increased with the longitudinal reinforcement ratio ρ. For the beams without stirrups subjected to fire on three sides for 90 min, the residual shear capacity of beams with different longitudinal reinforcement ratios of 1.47%, 1.61% and 1.96% were reduced by 8.8%, 12.2% and 24.7%, respectively.
- Comparing the theoretical results and the experimental results, the theoretical value of the beam without stirrups after fire exposure is in good agreement with the experimental valued, and the average absolute error is 10.48%, so this formula can still evaluate the shear capacity of post-fire beams without stirrups with acceptable accuracy.
- The findings of this study are expected to be useful to researchers and designers looking to improve the performance of beams without stirrups when exposed to fire. However, the theoretical study on shear capacity of RC beams after fire exposure were not conducted in this study, and should be further investigated in future researches.
Author Contributions
Funding
Informed Consent Statement
Data Availability Statement
Acknowledgments
Conflicts of Interest
References
- Xiao, J.Z.; Li, J.; Sun, Z.P. Review of studies on the fire-resistance behaviour of HPC structures. Ind. Constr. 2001, 31, 53–56. [Google Scholar]
- Zhang, Z.M.; Ye, Z.M.; Liu, T. Research progress in fire resistance of reinforced concrete structures. J. Nat. Disasters 2007, 16, 127–135. [Google Scholar]
- Jiang, C.J.; Yu, J.T.; Li, L.Z.; Wang, X.; Wang, L.; Liao, J.H. Experimental study on the residual shear capacity of fire-damaged reinforced concrete frame beams and cantilevers. Fire Saf. J. 2018, 100, 140–156. [Google Scholar] [CrossRef]
- Xing, Q.; Liao, J.H.; Chen, Z.; Huang, W. Shear behaviour of fire-damaged reinforced-concrete beams. Mag. Concr. Res. 2020, 72, 357–364. [Google Scholar] [CrossRef]
- Higuchi, K.; Keitai, I.; Koichi, M. Remaining shear capacity of fire-damaged high strength RC beams after moist curing. J. Adv. Concr. Technol. 2021, 19, 897–912. [Google Scholar] [CrossRef]
- Fu, C.G.; Wang, G.Y.; Wang, Y.Z. The Temperature field analysis of reinforced concrete frame joints under fire. J. Shandong Jianzhu Univ. 2009, 24, 1–8+17. [Google Scholar]
- Fu, C.G.; Song, Y.M.; Yin, A.K.; Liang, S.T.; Yam, K. Experimental study on shear bearing capacity of reinforced concrete beams under thermodynamic coupling. J. Shandong Jianzhu Univ. 2018, 33, 1–10+23. [Google Scholar]
- Liu, F.T.; Wo, B.; Wei, D.M. Failure Models of Reinforced Concrete Beams Strengthened with Carbon Fiber Sheet in Fire. Fire Saf. J. 2009, 44, 941–950. [Google Scholar] [CrossRef]
- Ng, A.H.B.; Mirza, M.S.; Lie, T.T. Response of Direct Models of Reinforced Concrete Columns Subjected to Fire. ACI Struct. J. 1990, 87, 313–323. [Google Scholar]
- Lie, T.T.; Irwin, R.J. Method to Calculate the Fire Resistance of Reinforced Concrete Columns with Rectangular Cross Section. ACI Struct. J. 1993, 90, 52–60. [Google Scholar]
- El-Hawary, M.M.; Ragab, A.M.; El-Azim, A.A.; Elibiari, S. Effect of fire on flexural behaviour of RC beams. Constr. Build. Mater. 1996, 10, 147–150. [Google Scholar] [CrossRef]
- El-Hawary, M.M.; Ragab, A.M.; El-Azim, A.A.; Elibiari, S. Effect of fire on shear behaviour of RC beams. Constr. Build. Mater. 1997, 65, 281–287. [Google Scholar]
- ISO 834; Fire-Resistance Tests: Elements of Building Construction, Part 1.1: General Requirements for Fire Resistance Testing. ISO—International Organization for Standardization: Geneva, Switzerland, 1999.
- Hibbitte, K. ABAQUS User Subroutines Reference Manual; 1–3 Version 6.5; Hibbitt, Karlsson and Sorensen, Inc.: Pawtucket, RI, USA, 2006. [Google Scholar]
- GB 50010-2010; Code for Design of Concrete Structures. China Architecture and Building Press: Beijing, China, 2015.
- Elloboby, E.; Bailey, C.G. Modelling of unbounded post-tensioned concrete slabs under fire conditions. Fire Saf. J. 2009, 44, 159–169. [Google Scholar] [CrossRef]
- EN 1991-1-2; Eurocode 1: Actions on Structures, Part 1–2: General Actions-Actions on Structures Exposed to Fire. European Committee for Standardization: Brussels, Belgium, 2002.
- Lie, T.T.; Denham, E.M.A. Factors Affecting the Fire Resistance of Circular Hollow Steel Columns Filled with Bar-Reinforced Concrete; NRC-CNRC Internal Report; National Research Council of Canada: Ottawa, ON, Canada, 1993.
- Guo, Z.H.; Shi, X.D. Experimental and Calculation of Reinforced Concrete at Elevated Temperatures; Tsinghua University Press: Beijing, China, 2011. [Google Scholar]
- Kook-Han, K.; Sang-Eun, J.; Jin-Keun, K.; Sungchul, Y. An experimental study on thermal conductivity of concrete. Cem. Concr. Res. 2003, 33, 363–371. [Google Scholar]
- Lu, Z.D. Research on the Response of Reinforced Concrete Beams to Fire; Tongji University: Shanghai, China, 1989; pp. 23–31. [Google Scholar]
- Lie, T.T.; Lin, T.D.; Allen, D.E.; Abrams, M.S. Fire Resistance of Reinforced Concrete Columns; Division of Building Research, DBR Report, No. 1167; National Research Council of Canada: Ottawa, ON, Canada, 1984.
- Guo, Z.H.; Li, W. The Summary of Experimental Research on Thermal Mechanical Properties of Concrete; Department of Civil Engineering, Tsinghua University: Beijing, China, 1991. [Google Scholar]
- ENV 1993-1-2; Eurocode 3, Design of Steel Structures, Part 1.2: General Rules-Structural Fire Design. European Committee for Standardization: Brussels, Belgium, 2005.
- Elmoussa, B.; Temsah, Y.; Jahami, A. Numerical study for the effect of hairpin shaped shear reinforcement on one-way shear capacity of reinforced concrete beams. MATEC Web Conf. 2019, 281, 01015. [Google Scholar] [CrossRef]
- Zsutty, T.C. Beam shear strength prediction by analysis of existing data. ACI J. Proc. 1968, 65, 943–951. [Google Scholar]
- Liao, J.H.; Lu, Z.D.; Su, L. Experiment and finite element analysis of shear strength of concrete beams subjected to elevated temperature. J. Tongji Univ. Nat. Sci. 2013, 41, 806–812. [Google Scholar]
- Liao, J.H.; Lu, Z.D.; Yu, J.T. Effect of loads during high temperature on shear strength of reinforced concrete beams after fire. J. Build. Struct. 2013, 34, 30–36. [Google Scholar]

























| Specimens | Cross-Section Size/mm | Longitudinal Reinforcement Ratio ρ/% | Shear Span Ratio λ | Fire Time t/min | Load Ratio δ |
|---|---|---|---|---|---|
| NBH1 | 250 × 400 | 1.96 | 2.1 | 0 | / |
| BH1 | 250 × 400 | 1.96 | 2.1 | 60 | / |
| BH2 | 250 × 400 | 1.96 | 2.1 | 90 | / |
| BH3 | 250 × 400 | 1.96 | 2.1 | 90 | 0.4 Pu |
| BH4 | 250 × 400 | 1.96 | 2.1 | 120 | / |
| NBH2 | 250 × 400 | 1.96 | 2.6 | 0 | / |
| BH5 | 250 × 400 | 1.96 | 2.6 | 90 | / |
| BH6 | 250 × 400 | 1.96 | 2.6 | 90 | 0.4 Pu |
| NBH3 | 250 × 400 | 1.96 | 3.3 | 0 | / |
| BH7 | 250 × 400 | 1.96 | 3.3 | 90 | / |
| NBH4 | 250 × 400 | 1.61 | 2.1 | 0 | / |
| BH8 | 250 × 400 | 1.61 | 2.1 | 90 | / |
| NBH5 | 250 × 400 | 1.47 | 2.1 | 0 | / |
| BH9 | 250 × 400 | 1.47 | 2.1 | 90 | / |
| No. | ρsv/% | ρ/% | λ | t/min | δ | Pcr/kN | Pu/kN | f/mm |
|---|---|---|---|---|---|---|---|---|
| NBH1 | 0.00 | 1.96 | 2.1 | 0 | / | 50 | 190 | 13.12 |
| BH1 | 0.00 | 1.96 | 2.1 | 60 | / | 50 | 170 | 15.35 |
| BH2 | 0.00 | 1.96 | 2.1 | 90 | / | 40 | 143 | 14.22 |
| BH3 | 0.00 | 1.96 | 2.1 | 90 | 0.4 | 0 | 80 | 9.09 |
| BH4 | 0.00 | 1.96 | 2.1 | 120 | / | 40 | 120 | 15.55 |
| NBH2 | 0.00 | 1.96 | 2.6 | 0 | / | 35 | 175 | 9.72 |
| BH5 | 0.00 | 1.96 | 2.6 | 90 | / | 50 | 140 | 18.06 |
| BH6 | 0.00 | 1.96 | 2.6 | 90 | 0.4 | 40 | 98.5 | 9.81 |
| NBH3 | 0.00 | 1.96 | 3.3 | 0 | / | 50 | 140 | 11.72 |
| BH7 | 0.00 | 1.96 | 3.3 | 90 | / | 40 | 115 | 15.63 |
| NBH4 | 0.00 | 1.61 | 2.1 | 0 | / | 60 | 180 | 12.22 |
| BH8 | 0.00 | 1.61 | 2.1 | 90 | / | 40 | 138 | 15.23 |
| NBH5 | 0.00 | 1.47 | 2.1 | 0 | / | 60 | 170 | 11.46 |
| BH9 | 0.00 | 1.47 | 2.1 | 90 | / | 50 | 120 | 16.62 |
| No. | t/min | λ | ρ/% | Pu/kN |
|---|---|---|---|---|
| B1 | 0 | 1.0 | 1.47 | 301.47 |
| B2 | 0 | 1.0 | 1.96 | 320.31 |
| B3 | 0 | 1.5 | 1.47 | 234.34 |
| B4 | 0 | 1.5 | 1.96 | 282.63 |
| B5 | 0 | 2.0 | 1.47 | 160.16 |
| B6 | 0 | 2.0 | 1.96 | 179.79 |
| B7 | 0 | 2.5 | 1.47 | 134.47 |
| B8 | 0 | 2.5 | 1.96 | 150.73 |
| B9 | 0 | 3.0 | 1.47 | 112.06 |
| B10 | 0 | 3.0 | 1.96 | 121.03 |
| B11 | 0 | 3.5 | 1.47 | 92.06 |
| B12 | 0 | 3.5 | 1.96 | 104.62 |
| B13 | 60 | 1.0 | 1.47 | 198.29 |
| B14 | 60 | 1.0 | 1.96 | 208.20 |
| B15 | 60 | 1.5 | 1.47 | 188.37 |
| B16 | 60 | 1.5 | 1.96 | 193.33 |
| B17 | 60 | 2.0 | 1.47 | 148.85 |
| B18 | 60 | 2.0 | 1.96 | 158.63 |
| B19 | 60 | 2.5 | 1.47 | 116.54 |
| B20 | 60 | 2.5 | 1.96 | 127.18 |
| B21 | 60 | 3.0 | 1.47 | 92.06 |
| B22 | 60 | 3.0 | 1.96 | 108.34 |
| B23 | 60 | 3.5 | 1.47 | 76.48 |
| B24 | 60 | 3.5 | 1.96 | 96.25 |
| B25 | 90 | 1.0 | 1.47 | 188.42 |
| B26 | 90 | 1.0 | 1.96 | 178.46 |
| B27 | 90 | 1.5 | 1.47 | 170.34 |
| B28 | 90 | 1.5 | 1.96 | 173.26 |
| B29 | 90 | 2.0 | 1.47 | 141.14 |
| B30 | 90 | 2.0 | 1.96 | 158.63 |
| B31 | 90 | 2.5 | 1.47 | 107.58 |
| B32 | 90 | 2.5 | 1.96 | 126.54 |
| B33 | 90 | 3.0 | 1.47 | 89.65 |
| B34 | 90 | 3.0 | 1.96 | 94.89 |
| B35 | 90 | 3.5 | 1.47 | 75.32 |
| B36 | 90 | 3.5 | 1.96 | 89.50 |
| B37 | 120 | 1.0 | 1.47 | 154.82 |
| B38 | 120 | 1.0 | 1.96 | 158.63 |
| B39 | 120 | 1.5 | 1.47 | 143.44 |
| B40 | 120 | 1.5 | 1.96 | 149.83 |
| B41 | 120 | 2.0 | 1.47 | 126.54 |
| B42 | 120 | 2.0 | 1.96 | 143.76 |
| B43 | 120 | 2.5 | 1.47 | 103.63 |
| B44 | 120 | 2.5 | 1.96 | 126.54 |
| B45 | 120 | 3.0 | 1.47 | 80.68 |
| B46 | 120 | 3.0 | 1.96 | 94.19 |
| B47 | 120 | 3.5 | 1.47 | 66.95 |
| B48 | 120 | 3.5 | 1.96 | 77.87 |
| t/h | α | β | R2 |
|---|---|---|---|
| 0 | 8.26 | 0.83 | 0.94 |
| 1 | 4.39 | 0.59 | 0.87 |
| 1.5 | 3.83 | 0.55 | 0.85 |
| 2 | 3.08 | 0.49 | 0.81 |
| Data Sources | No. | t/min | λ | ρ/% | Vtest/kN | Vcal/kN | (Vtest − Vcal)/Vtest/% |
|---|---|---|---|---|---|---|---|
| Table 3 | B1 | 0 | 1.0 | 1.47 | 301.47 | 276.05 | 8.43 |
| B2 | 0 | 1.0 | 1.96 | 320.31 | 350.50 | −9.42 | |
| B3 | 0 | 1.5 | 1.47 | 234.34 | 197.16 | 15.86 | |
| B4 | 0 | 1.5 | 1.96 | 282.63 | 250.34 | 11.42 | |
| B5 | 0 | 2.0 | 1.47 | 160.16 | 155.28 | 3.04 | |
| B6 | 0 | 2.0 | 1.96 | 179.79 | 197.16 | −9.66 | |
| B7 | 0 | 2.5 | 1.47 | 134.47 | 129.03 | 4.04 | |
| B8 | 0 | 2.5 | 1.96 | 150.73 | 163.83 | −8.69 | |
| B9 | 0 | 3.0 | 1.47 | 112.06 | 110.91 | 1.02 | |
| B10 | 0 | 3.0 | 1.96 | 121.03 | 140.82 | −16.35 | |
| B11 | 0 | 3.5 | 1.47 | 92.06 | 97.59 | −6.01 | |
| B12 | 0 | 3.5 | 1.96 | 104.62 | 123.91 | −18.44 | |
| B13 | 60 | 1.0 | 1.47 | 198.29 | 200.65 | −1.19 | |
| B14 | 60 | 1.0 | 1.96 | 208.20 | 238.45 | −14.53 | |
| B15 | 60 | 1.5 | 1.47 | 188.37 | 157.32 | 16.48 | |
| B16 | 60 | 1.5 | 1.96 | 193.33 | 186.96 | 3.29 | |
| B17 | 60 | 2.0 | 1.47 | 148.85 | 132.38 | 11.07 | |
| B18 | 60 | 2.0 | 1.96 | 158.63 | 157.32 | 0.83 | |
| B19 | 60 | 2.5 | 1.47 | 116.54 | 115.79 | 0.64 | |
| B20 | 60 | 2.5 | 1.96 | 127.18 | 137.60 | −8.19 | |
| B21 | 60 | 3.0 | 1.47 | 92.06 | 103.79 | −12.74 | |
| B22 | 60 | 3.0 | 1.96 | 108.34 | 123.35 | −13.85 | |
| B23 | 60 | 3.5 | 1.47 | 76.48 | 94.62 | −23.72 | |
| B24 | 60 | 3.5 | 1.96 | 96.25 | 112.45 | −16.83 | |
| B25 | 90 | 1.0 | 1.47 | 188.42 | 170.96 | 9.27 | |
| B26 | 90 | 1.0 | 1.96 | 178.46 | 199.12 | −11.57 | |
| B27 | 90 | 1.5 | 1.47 | 170.34 | 137.90 | 19.04 | |
| B28 | 90 | 1.5 | 1.96 | 173.26 | 160.61 | 7.29 | |
| B29 | 90 | 2.0 | 1.47 | 141.14 | 118.40 | 16.11 | |
| B30 | 90 | 2.0 | 1.96 | 158.63 | 137.90 | 13.07 | |
| B31 | 90 | 2.5 | 1.47 | 107.58 | 105.19 | 2.22 | |
| B32 | 90 | 2.5 | 1.96 | 126.54 | 122.52 | 3.18 | |
| B33 | 90 | 3.0 | 1.47 | 89.65 | 95.50 | −6.53 | |
| B34 | 90 | 3.0 | 1.96 | 94.89 | 111.23 | −17.22 | |
| B35 | 90 | 3.5 | 1.47 | 75.32 | 88.01 | −16.85 | |
| B36 | 90 | 3.5 | 1.96 | 89.50 | 102.51 | −14.53 | |
| B37 | 120 | 1.0 | 1.47 | 154.82 | 158.31 | −2.25 | |
| B38 | 120 | 1.0 | 1.96 | 158.63 | 182.27 | −14.90 | |
| B39 | 120 | 1.5 | 1.47 | 143.44 | 129.78 | 9.52 | |
| B40 | 120 | 1.5 | 1.96 | 149.83 | 149.43 | 0.27 | |
| B41 | 120 | 2.0 | 1.47 | 126.54 | 112.72 | 10.92 | |
| B42 | 120 | 2.0 | 1.96 | 143.76 | 129.78 | 9.72 | |
| B43 | 120 | 2.5 | 1.47 | 103.63 | 101.04 | 2.49 | |
| B43 | 120 | 2.5 | 1.47 | 103.63 | 101.04 | 2.49 | |
| B44 | 120 | 2.5 | 1.96 | 126.54 | 116.34 | 8.06 | |
| B45 | 120 | 3.0 | 1.47 | 80.68 | 92.41 | −14.53 | |
| B46 | 120 | 3.0 | 1.96 | 94.19 | 106.40 | −12.96 | |
| B47 | 120 | 3.5 | 1.47 | 66.95 | 85.69 | −27.99 | |
| B48 | 120 | 3.5 | 1.96 | 77.87 | 98.66 | −26.69 | |
| Table 2 | NBH1 | 0 | 2.1 | 1.96 | 190 | 189.34 | 0.34 |
| BH1 | 60 | 2.1 | 1.96 | 170 | 152.78 | 10.13 | |
| BH2 | 90 | 2.1 | 1.96 | 142 | 134.38 | 5.36 | |
| BH3 | 90 | 2.1 | 1.96 | 115 | 132.30 | −15.04 | |
| BH4 | 120 | 2.1 | 1.96 | 120 | 126.72 | −5.59 | |
| NBH2 | 0 | 2.6 | 1.96 | 175 | 158.58 | 9.38 | |
| BH5 | 90 | 2.6 | 1.96 | 140 | 119.99 | 14.28 | |
| BH6 | 90 | 2.6 | 1.96 | 98.5 | 118.77 | −20.58 | |
| NBH3 | 0 | 3.3 | 1.96 | 140 | 130.11 | 7.06 | |
| BH7 | 90 | 3.3 | 1.96 | 110 | 105.76 | 3.86 | |
| NBH4 | 0 | 2.1 | 1.96 | 180 | 130.11 | 27.71 | |
| BH8 | 90 | 2.1 | 1.61 | 138 | 128.19 | 7.10 | |
| NBH5 | 0 | 2.1 | 1.96 | 170 | 142.28 | 16.30 | |
| BH9 | 90 | 2.1 | 1.47 | 125 | 122.15 | 2.27 |
Publisher’s Note: MDPI stays neutral with regard to jurisdictional claims in published maps and institutional affiliations. |
© 2022 by the authors. Licensee MDPI, Basel, Switzerland. This article is an open access article distributed under the terms and conditions of the Creative Commons Attribution (CC BY) license (https://creativecommons.org/licenses/by/4.0/).
Share and Cite
Song, Y.; Fu, C.; Liang, S. Residual Shear Capacity of RC Beams without Stirrups after Fire Exposure. Buildings 2022, 12, 1706. https://doi.org/10.3390/buildings12101706
Song Y, Fu C, Liang S. Residual Shear Capacity of RC Beams without Stirrups after Fire Exposure. Buildings. 2022; 12(10):1706. https://doi.org/10.3390/buildings12101706
Chicago/Turabian StyleSong, Yamin, Chuanguo Fu, and Shuting Liang. 2022. "Residual Shear Capacity of RC Beams without Stirrups after Fire Exposure" Buildings 12, no. 10: 1706. https://doi.org/10.3390/buildings12101706
APA StyleSong, Y., Fu, C., & Liang, S. (2022). Residual Shear Capacity of RC Beams without Stirrups after Fire Exposure. Buildings, 12(10), 1706. https://doi.org/10.3390/buildings12101706
