Abstract
Steel reinforcement is an essential part of reinforced concrete, providing structural strength. In case of fire, the steel reinforcement severely loses its mechanical properties, leading to structural collapse in some elevated temperatures. Thus, this work mainly investigates the mechanical properties of spliced and non-spliced steel reinforcements after being exposed to 500 °C, 700 °C, and 900 °C. The results show that the mechanical properties of steel reinforcements significantly change after exposure to temperatures exceeding 500 °C, and the diameter of steel reinforcements does not considerably affect post-fire properties. The proposed equations from previous work were also compared to the testing results in terms of post-fire stress–strain curves and mechanical properties, resulting in overestimation at temperatures of 700 °C and 900 °C. The study finds that using a mechanical coupler has the potential to increase the residual yield strength at a temperature of 500 °C, but it lacks post-fire elongation at a temperature of 700 °C due to observed failure behavior after testing. Furthermore, the failure occurred at the mechanical couplers when the exposure temperature reached 700 °C. The modulus of elasticity of non-splices was the most critical parameter, which was maximally different by 23.9% compared to non-spliced steel reinforcements.
1. Introduction
Steel reinforcement is an essential component in reinforced concrete (RC) structures, providing tensile strength to the concrete. However, the performance of steel reinforcement in RC structures is significantly reduced in the event of a fire due to elevated temperatures [1,2,3,4,5,6,7,8]. High temperatures can cause a steel reinforcement to undergo severe loss of its mechanical properties and may lead to structural collapse. Therefore, it is crucial to investigate the post-fire mechanical properties of materials, such as concrete, steel reinforcements, and the bonds between them, and the strength of steel connections to assess the residual strength and safety of RC structures after a fire event. Concrete is a popular building material due to its excellent strength and durability. Mechanical characteristics of concrete have been studied under various loading conditions to examine its strength based on experimental and simulation procedures [9,10]. However, concrete’s mechanical properties (i.e., modulus of elasticity, yield strength, tensile strength, and compressive strength) can be significantly affected by high temperatures [11,12,13]. As the temperature rises, the cement paste, which binds the aggregates in concrete, begins to dehydrate and loses its strength [14,15,16,17]. The aggregate may also undergo thermal expansion and contraction, which can cause cracks in the concrete [18,19,20,21]. These cracks can reduce the concrete’s overall strength and the bond between the concrete and its steel reinforcements. Moreover, the heating and cooling cycles can cause the concrete to spall or flake, exposing the steel reinforcements to further damage [22]. On the other hand, steel reinforcements loses their strength when exposed to high temperatures. At temperatures greater than 500 °C, the steel starts to lose its structural integrity, and the mechanical properties, such as yield strength and ultimate tensile strength, decrease drastically [23,24]. The effects of heating and cooling methods, cold working and heat treatments, steel type, and preloading have been found to impact the residual mechanical properties of steel reinforcements after fire exposure [24]. The loss of strength in steel can significantly affect the overall load-carrying capacity of the structure [4,7]. Moreover, the bond between the steel reinforcements and the concrete is also affected by high temperatures [25,26]. Heat can cause the steel to expand, reducing the bond strength between the steel reinforcements and the surrounding concrete [27,28,29]. This situation can further reduce the overall strength of the structure and may lead to structural failure.
In RC structures, a mechanical coupler is commonly used to connect the steel reinforcements because couplers can reduce the reinforcements’ lap length and improve the structure’s constructability. Steel connections are also critical to the overall performance and safety of a structure, providing the necessary support and load transfer between structural members [30,31,32]. In the event of a fire, the strength and integrity of steel connections can be significantly compromised due to high temperatures, leading to the failure of the entire structure. Few studies have been conducted on the effects of elevated temperatures on the strength and elongation characteristics of grouted sleeve couplers (GSCs). Zhang et al. [33] indicated that, at temperatures greater than 400 °C, the reinforced steel inside the grouted sleeve might fail. This failure was attributed to the coupler’s larger size than the reinforcement, resulting in a reduced concrete cover and affecting the temperature development and spalling. Although data are available on the post-fire mechanical properties of steel, concrete, and the bonds between them, there has been a lack of experimental assessments of the strengths and ductility of reinforcements with mechanical couplers after fire exposures. Bompa and Elghazouli [34] investigated the effects of elevated temperatures on the mechanical properties of steel reinforcements spliced with two types of threaded couplers: cold forged sleeves with parallel thread couplers and parallel threaded couplers. The experiments tested reinforcements with 16-mm and 20-mm diameters under steady-state and transient elevated temperature conditions. The study showed that the ductility properties of threaded splices at elevated temperatures are affected by the type and geometry of the couplers, while the stiffness and strength properties are comparable to those of non-spliced specimens.
Due to the lack of previous experiment studies of the post-fire mechanical properties of parallel thread coupler (PTCs), this work aims to present an experimental investigation into the mechanical properties of steel-reinforced bars of both non-spliced and spliced using PTCs after being exposed to elevated temperatures. Steel reinforcements with diameters of 16 mm, 20 mm, and 25 mm were exposed to 500 °C, 700 °C, and 900 °C for two hours, followed by natural cooling to ambient temperature before testing to acquire residual stress–strain curves. The study also compares the results with analytical models in terms of post-fire stress–strain curves and mechanical properties of non-spliced steel reinforcements to examine the experimental results with empirical solutions. The post-fire mechanical properties, i.e., yield strength, ultimate strength, elongation, modulus of elasticity, and failure mode, of spliced steel reinforcements are also discussed and compared to their non-spliced counterparts. The results of this study could be valuable for engineers and designers in selecting appropriate couplers and reinforcement bar sizes for specific applications, thereby enhancing the understanding and design of reinforced concrete structures for fire resistance.
2. Experimental Designs
In this work, a building on fire and cooled to normal temperature was imitated to investigate the mechanical properties of steel reinforcements at high temperatures. Hence, the experiment was designed to reproduce the same situation and determine the mechanical properties of the reinforcing steel under various elevated temperatures. Figure 1 illustrates the overall process of the experiment. To begin the investigation, the specimens of the steel reinforcements of interest were first prepared based on the desired dimensions. The furnace was then used to elevate the temperature of all samples, which were subsequently cooled to ambient temperatures. Finally, a tensile test was performed to investigate the properties of the steel reinforcements and to evaluate their mechanical performance. This information was versatilely used to calculate the residual strength of the post-fire RC members before the strengthening process.
Figure 1.
Overall process of the experiment for determining the residual mechanical properties of steel reinforcements.
2.1. Specimens of Steel Reinforcement
In this experiment, the mechanical properties of two types of steel reinforcement were examined: those with threaded mechanical couplers (splices) and those without couplers (non-splices). Furthermore, commercial steel reinforcements with diameters (Ø) of 16 mm, 20 mm, and 25 mm were subjected to elevate temperatures in this study. The steel reinforcements were hot-rolled deformed bars (grade SD40) with a nominal yield strength of 400 MPa. The length of specimens for those without the coupler is 1000 mm. This length of the specimens is specified based on the size of the furnace and clamping distance in the universal testing machine, which conforms to the minimum required free and grip lengths of the standards [35,36]. On the other hand, to construct a sample of a steel reinforcement with the coupler, two pieces of steel reinforcements 500 mm in length were connected with PTCs. PTCs with hot-dipped galvanized couplers were used to connect the steel reinforcements, with the PTCs complying with ASTM A123 [37] and ISO 1416 [38] standards. Furthermore, the PTC splice was provided with standard female threads on the coupler and matching male threads on the steel reinforcements. Figure 2 and Figure 3 display the samples of steel reinforcements before performing the tests. Three duplicate pieces for each type were tested under the same conditions to ensure accurate results.
Figure 2.
Samples of non-spliced steel reinforcements.
Figure 3.
Spliced steel reinforcements.
2.2. Test Equipment
A furnace (Figure 4) was used as the heating device to generate high temperatures with a heating rate of 20 °C/min. The maximum heating capacity of the furnace was 1000 °C. The outer and inner dimensions of the furnace were 530 mm × 530 mm × 300 mm and 200 mm × 200 mm × 200 mm, respectively, with a diameter of 50 mm for the top and bottom holes. The design temperature profile of the furnace for all elevated temperatures is depicted in Figure 5. A thermocouple was also affixed in the furnace to instantaneously monitor the temperature of the samples during the heating process. Since the thermal inertia of these samples is much smaller than that of the furnace, and they were placed in a way that did not block the airflow, a homogeneous atmosphere was created. All samples of steel reinforcements were subjected to the desired elevated temperatures of 500 °C, 700 °C, and 900 °C for two hours. Subsequently, the samples were naturally cooled to room temperature at the end of the curing process before performing the tensile tests.
Figure 4.
Furnace for applying elevated temperatures onto the specimens.
Figure 5.
Design temperature profiles.
The tensile tests were performed using a servo-hydraulic universal testing machine (Figure 6) after all specimens were cooled to room temperature. A high-temperature extensometer with a gauge length of 25 mm was utilized to collect the strain results. The tensile testing procedure was assigned by controlling for a displacement rate of 4 mm/min until the samples yielded to failure.
Figure 6.
Servo-hydraulic universal testing machine.
3. Proposed Post-Fire Stress–Strain Curve Model for Steel Reinforcement
The proposed equations in this section, which were presented by Tao et al. [14], are typically employed to predict the post-fire mechanical properties of a steel reinforcement under various elevated temperatures. These equations were obtained based on the regression model from some experimental results and were used to predict the post-fire mechanical properties of steel reinforcements, instead of experiments. To calculate the stress (fsT) of steel reinforcements, the model employs an empirical formulation, which can be expressed as follows:
where is the certain strain of the steel reinforcement. The residual yield strength (fyt) and ultimate strength (fuT) are respectively calculated using Equations (2) and (3) as the functions of temperatures, while fy and fu are the yield strength and ultimate strength at ambient temperature, respectively. To accomplish the stress–strain curve of the steel reinforcement after being exposed to high temperatures, the strain hardening exponent (p) is also obtained, based on the function of the modulus of elasticity at the onset of strain hardening (EpT), as presented in Equation (4).
Equations (5) and (6) are used to calculate the elastic modulus (EsT) and EpT to capture the post-fire behavior regarding elasticity, respectively, where Es is the elastic modulus at ambient temperature.
Last, the strain at the yield point (), strain at the onset of strain hardening (), and ultimate strain corresponding to the ultimate tensile stress () are mathematically computed using Equations (7)–(9).
4. Results of Post-Fire Mechanical Properties of Non-Spliced Steel Reinforcements
The samples of non-spliced steel reinforcement are referred to as DB-16, DB-20, and DB-25, respectively, based on their diameters of 16 mm, 20 mm, and 25 mm. The textures of all specimens, after being heated to the desired temperatures and then naturally cooled to ambient temperature, and the failure behaviors after the tensile tests are illustrated in Figure 7, Figure 8 and Figure 9. The failure pattern similarly occurred for each diameter compared with the results from the ambient temperature. On the other hand, in the case of DB-25 at the elevated temperatures of 500 °C and 900 °C, the failure resulted in a significant difference compared with the others, which was assumed to be affected by the post-fire mechanical properties.
Figure 7.
Samples of DB-16 for performing the tensile tests.
Figure 8.
Samples of DB-20 for performing the tensile tests.
Figure 9.
Samples of DB-25 for performing the tensile tests.
The post-fire mechanical properties of the non-spliced steel reinforcements, including the residual yield strength, ultimate strength, elongation, and modulus of elasticity, were examined at ambient temperatures, as well as at elevated temperatures of 500 °C, 700 °C, and 900 °C. Additionally, the results of the residual yield strength, residual ultimate strength, and residual modulus of elasticity were also compared with the predicted residual stress–strain curves of the post-fire mechanical properties based on the proposed equations from previous work.
4.1. Post-Fire Stress–Strain Curves of Non-Spliced Steel Reinforcements
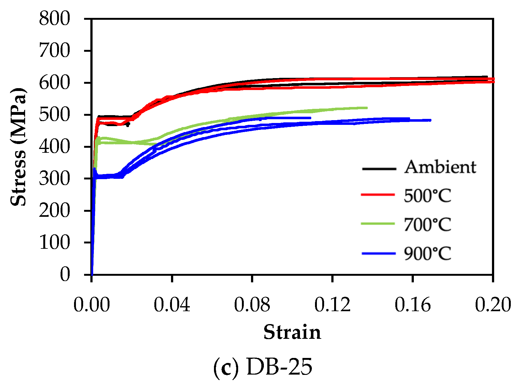
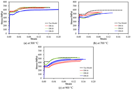
The non-spliced steel reinforcements were subjected to the tensile tests after exposure to the desired temperature. The post-fire stress–strain curves for all specimens are compared and illustrated in Figure 10. It clearly shows that the mechanical properties at ambient temperature and 500 °C were similar. In addition, the residual yield strengths substantially dropped as the exposed temperatures increased to 700 °C and 900 °C, while the residual ultimate strengths were comparable, as expected for DB-16. Therefore, it can be concluded that the mechanical properties of non-spliced steel reinforcement were affected by temperatures higher than 500 °C.

Figure 10.
Post-fire stress–strain curves of the non-spliced steel reinforcements.
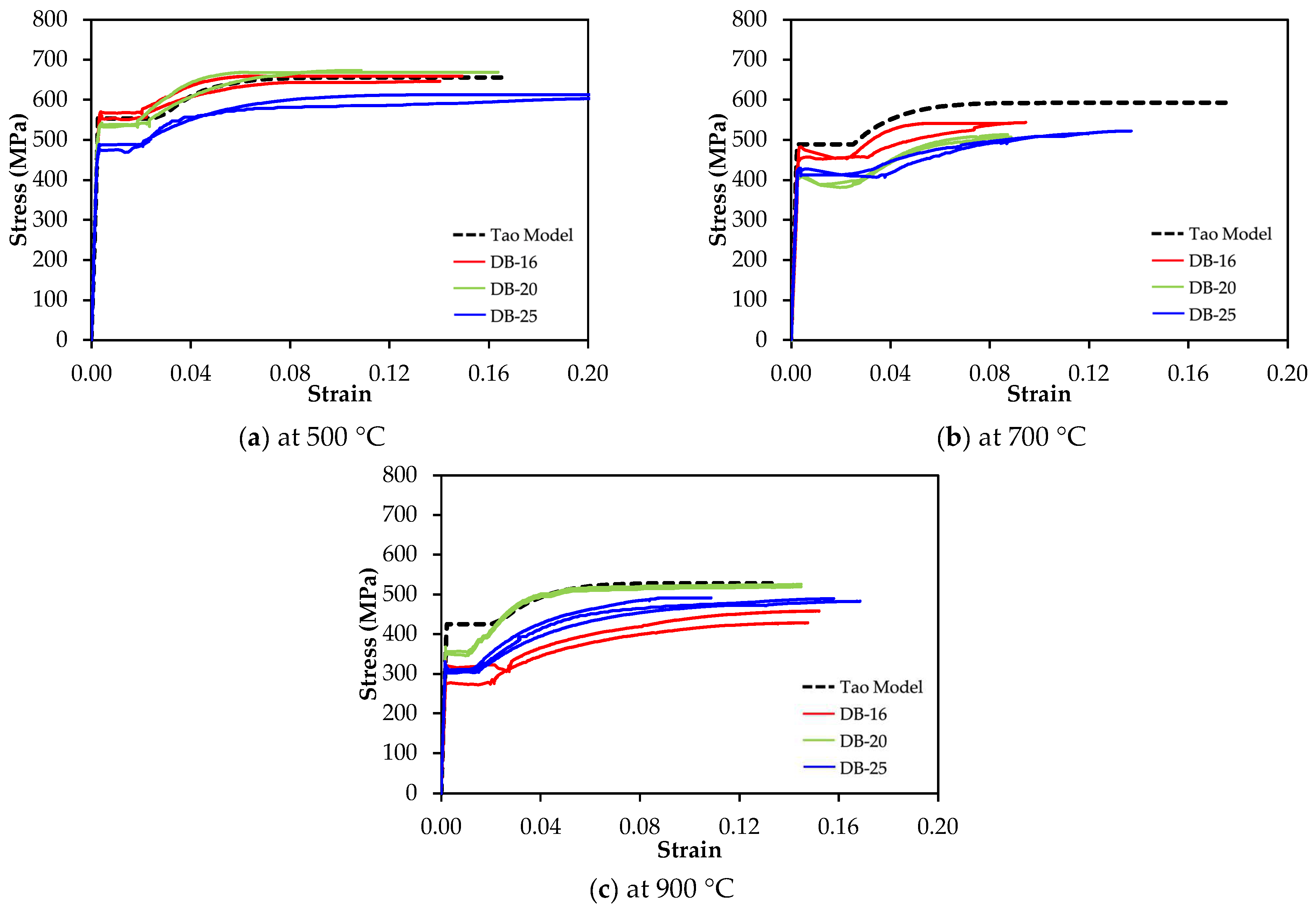
Additionally, the equation proposed by Tao et al. [14] (referred to as the “Tao model”) was used to compare the results of post-fire stress–strain curves with various diameters at certain temperatures, as plotted in Figure 11. The testing results and proposed equation were comparable at the temperature of 500 °C, with the DB-25 results being slightly lower than the prediction. However, at the elevated temperatures of 700 °C and 900 °C, the predicted stress–strain curves from the proposed equation seemed to overestimate compared to the testing results. Hence, these points should be cautiously used for the proposed equation to predict the residual stress–strain curves at high temperatures. However, the diameter of steel reinforcements did not significantly affect the mechanical properties.
Figure 11.
Comparison on the post-fire stress–strain curves between the testing results and proposed equations.
4.2. Post-Fire Yield Strength and Ultimate Strength of Non-Spliced Steel Reinforcements
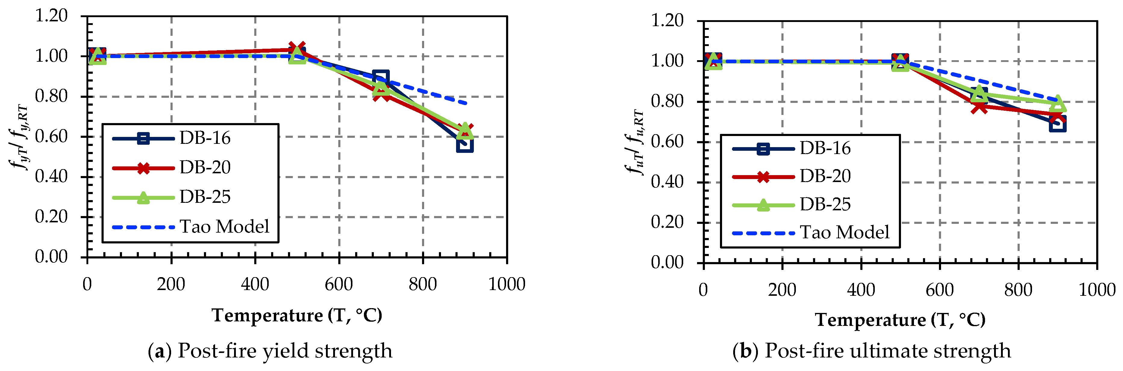
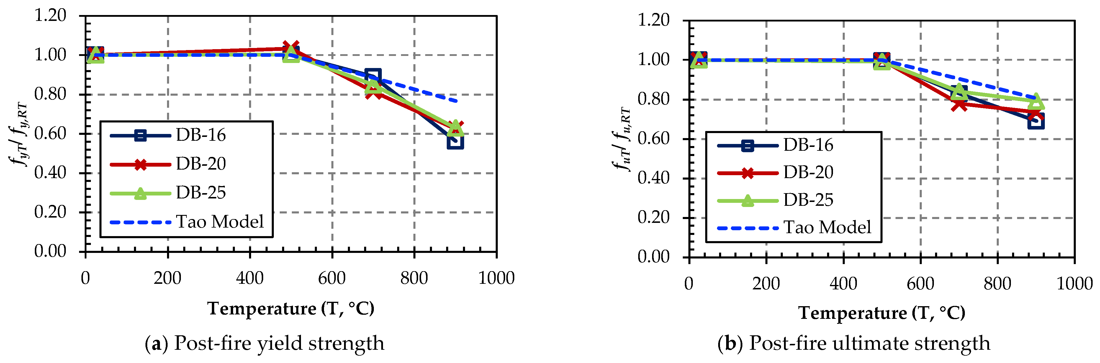
The results of the residual yield strength (fyT) and residual ultimate strength (fuT) for individual temperatures are shown in Table 1. Both fyT and fuT followed similar trends, with temperature effects becoming apparent after the exposure temperature of 500 °C. The effects of temperature on fyT and fuT can be quantified by comparing the yield stress ratio (fy,RT) and ultimate stress (fu,RT) at ambient temperatures (subscripted by RT), as shown in Figure 12. This information is commonly used to plan strengthening procedures. It clearly showed that fyT decreased significantly after the exposure temperature reached 500 °C. The results were different when performing the test at an elevated temperature because being cooled to ambient temperature affected the steel reinforcements and could cause recovery of their properties, the same as in the previous work [4,23,24]. At the exposed temperatures of 700 °C and 900 °C, the ratios of fyT and fy,RT were mostly 0.8 and 0.6, respectively, with the effect being more pronounced at the latter temperature. On the other hand, fuT slightly decreased by 20% and 25% at the temperatures of 700 °C and 900 °C, respectively, compared with fu,RT. Nonetheless, the equation proposed by Tao et al. [14] inaccurately predicted the fyT value at the temperature of 900 °C while slightly overestimating fuT at high temperatures. However, the diameter of steel reinforcements had no significant effects on fyT and fuT.
Table 1.
Post-fire yield strength and ultimate strength of the non-spliced steel reinforcements.
Figure 12.
Temperature effects on the residual mechanical properties of the non-spliced steel reinforcements.
4.3. Post-Fire Modulus of Elasticity of the Non-Spliced Steel Reinforcements
Table 2 presents the findings on the post-fire modulus of elasticity (EsT) under specified conditions and compares these results with those obtained at the ambient temperature (Es,RT) using the ratio of EsT to Es,RT, as shown in Figure 13. This ratio is essential for assessing the post-fire mechanical properties of the steel reinforcements, in which the value is lower than one at which we might critically consider the material to be at a crucial point in structural repair due to its properties being weaker than at the ambient temperature. The tests revealed that the value of EsT remained consistently constant as the temperature increased, except for DB-16. This outcome suggests that DB-16 is an essential factor to consider when addressing elevated temperatures greater than 500 °C during the strengthening process since it lacks elasticity under such conditions. Nevertheless, the proposed equation showed underestimation of the Es,T value under the temperatures of 700 °C and 900 °C.
Table 2.
Post-fire modulus of elasticity of the non-spliced steel reinforcements.
Figure 13.
Temperature effect on the residual modulus of elasticity of the non-spliced steel reinforcements.
4.4. Post-Fire Elongation of the Non-Spliced Steel Reinforcements
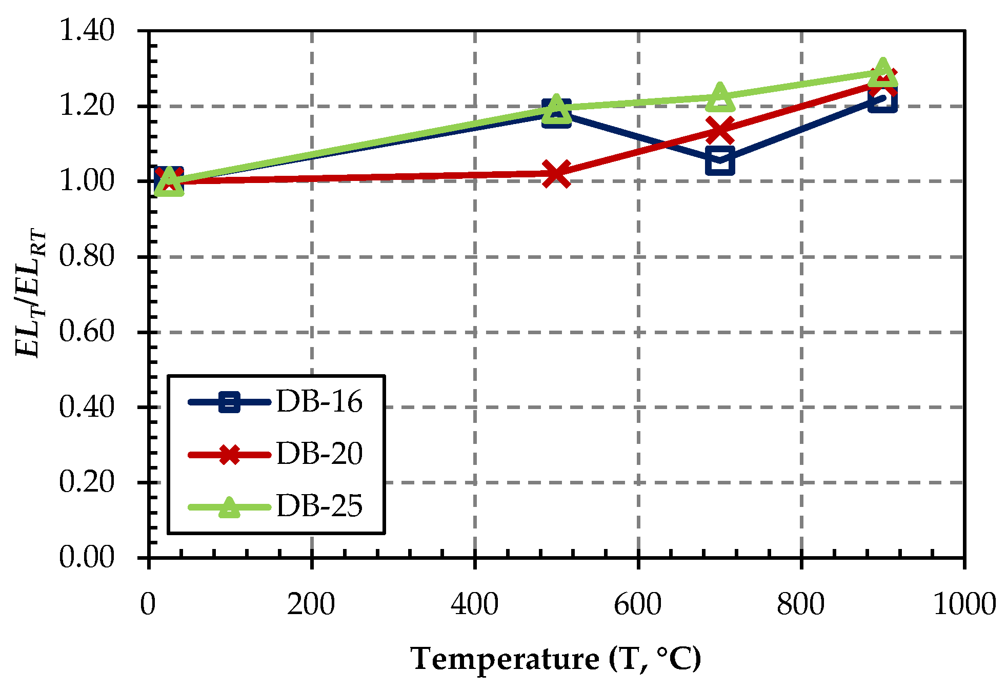
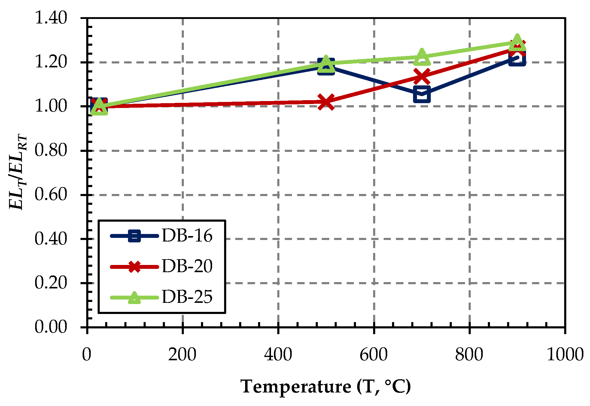
The ductility of steel reinforcement can be directly evaluated based on the elongation performance, which measures the deformation of the material both elastically and plastically until it eventually breaks. The results of elongation tests performed at the ambient temperature (ELRT), and various elevated temperatures (ELT) are listed in Table 3. The effects of temperature on the ratio of ELT to ELRT are also presented in Figure 14. It obviously shows that the steel reinforcements exhibited greater elongations at higher temperatures than that at room temperature. However, DB-16 lacked elongated performance at the exposure temperature of 700 °C, which could be a crucial factor to consider when strengthening structures.
Table 3.
Post-fire elongation of the non-spliced steel reinforcements.
Figure 14.
Temperature effect on the residual elongation of the non-spliced steel reinforcements.
5. Results on Post-Fire Mechanical Properties of the Spliced Steel Reinforcements
The names PTC-16, PTC-20, and PTC-25 refer to the samples of steel reinforcements with diameters of 16 mm, 20 mm, and 25 mm, respectively, which were joined using parallel thread mechanical splicing. Figure 15, Figure 16 and Figure 17 show the samples of PTC-16, PTC-20, and PTC-25, respectively, after being heated to specific temperatures, cooled to normal temperatures, and then subjected to tensile testing until failure. The reinforced steel exhibited a slight change in color after heating, while a darker surface was observed for the mechanical coupler when exposed to a temperature of 500 °C (Figure 15). However, when the temperature increased to 700 °C, a darker surface was observed for the reinforced steel, while the mechanical coupler exhibited an umber color embedded in its surface, as shown in Figure 16. Finally, at the temperature of 900 °C, both the reinforced steel and mechanical coupler were burnt and exhibited white flaky peeling, as seen in Figure 17. The tensile test revealed that failure occurred in the steel reinforcements when they were exposed to the temperatures of 500 °C and 900 °C. Interestingly, the mechanical couplers failed for all diameters of the steel reinforcement when exposed to a temperature of 700 °C. This finding could be the first consideration of the strengthening process when the mechanical coupler is connected with steel reinforcements after fires at this exposure temperature. These results demonstrate the impact of high-temperature exposure on the mechanical properties of steel reinforcements.
Figure 15.
PTC-16 samples for performing the tensile tests.
Figure 16.
PTC-20 samples for performing the tensile tests.
Figure 17.
PTC-25 samples for performing the tensile tests.
5.1. Post-Fire Yield Strength and Ultimate Strength of the Spliced Steel Reinforcements
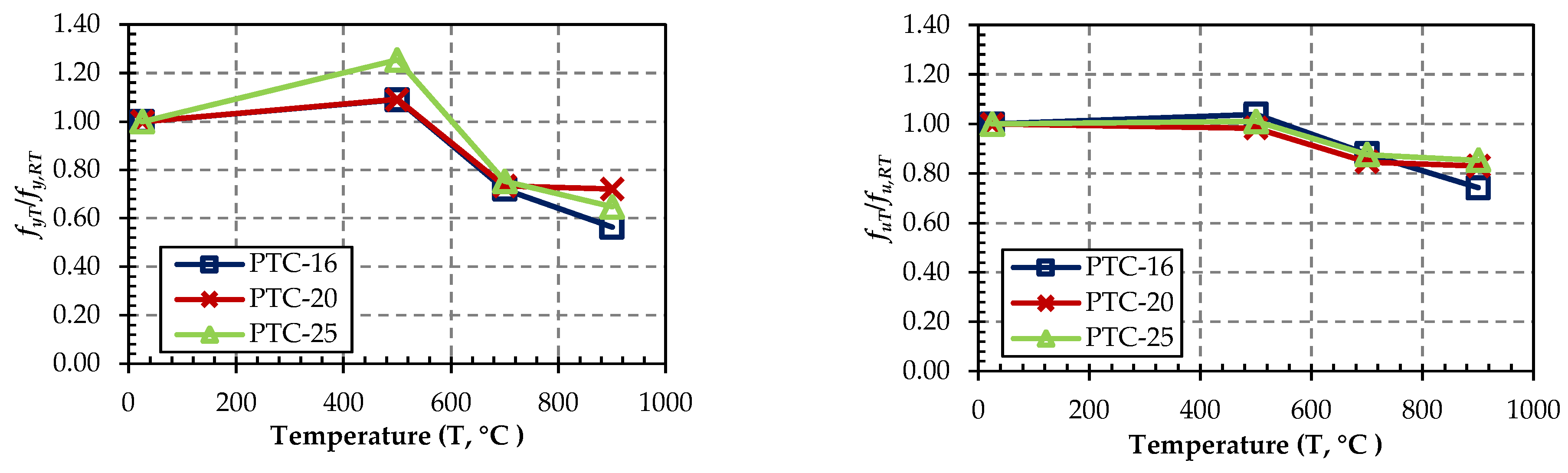
Table 4 demonstrates the fyT and fuT values for the spliced steel reinforcements after being exposed to the desired temperatures and subjected to tensile tests. Additionally, the ratio of these results was quantitatively evaluated and is presented in Figure 18, compared to fy,RT and fu,RT, respectively. fyT significantly increased up to 500 °C, with the maximum ratio being 1.25, but then it dropped at the temperatures of 700 °C and 900 °C. Hence, the mechanical coupler potentially increased fyT when exposed to a temperature of 500 °C. Meanwhile, fuT remained constant for all specimens at a temperature of 500 °C but decreased drastically at higher temperatures. Notably, fuT of PTC-16 showed a maximum decrease of 31% at a temperature of 900 °C. Therefore, the steel reinforcement of 16 mm in diameter was also a critical factor for further strengthening processes.
Table 4.
Post-fire yield strength and ultimate strength of the spliced steel reinforcements.
Figure 18.
Temperature effects on the mechanical properties of the spliced steel reinforcements.
5.2. Post-Fire Modulus of Elasticity of the Spliced Steel Reinforcements
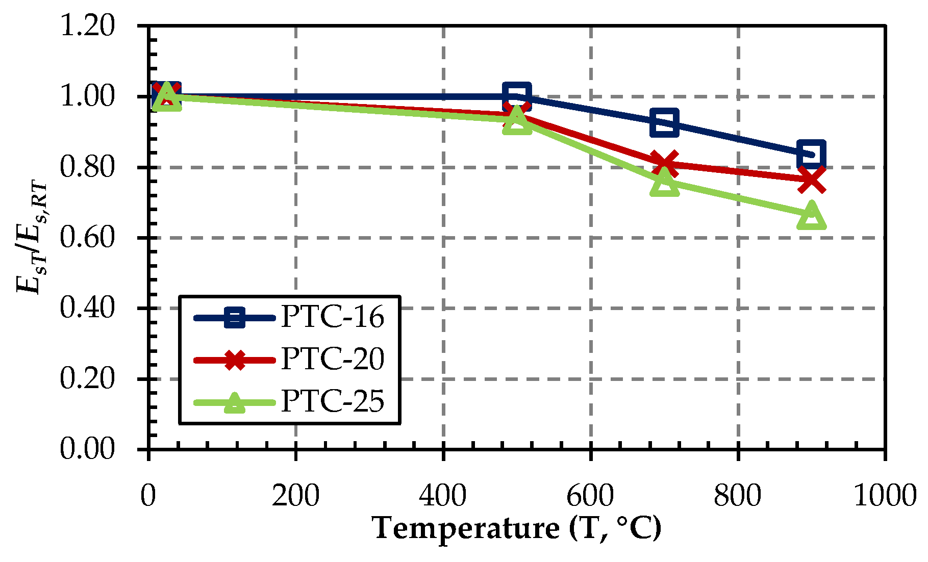
The trends of EsT for the spliced steel reinforcement were similar to those for the non-spliced, in which it remained constant up to 500 °C and then slightly dropped at high temperatures (Table 5 and Figure 19). Moreover, the ratio of EsT to Es,RT indicated that the PTC-20 and PTC-25 specimens performed worse than PTC-16, with a ratio less than 0.8, in contrast to the non-spliced steel bars. Therefore, the mechanical coupler clearly reduced the elasticity properties.
Table 5.
Post-fire modulus of elasticity of the spliced steel reinforcements.
Figure 19.
Temperature effects on the residual modulus of elasticity of the spliced steel reinforcements.
5.3. Post-Fire Elongation of the Spliced Steel Reinforcements
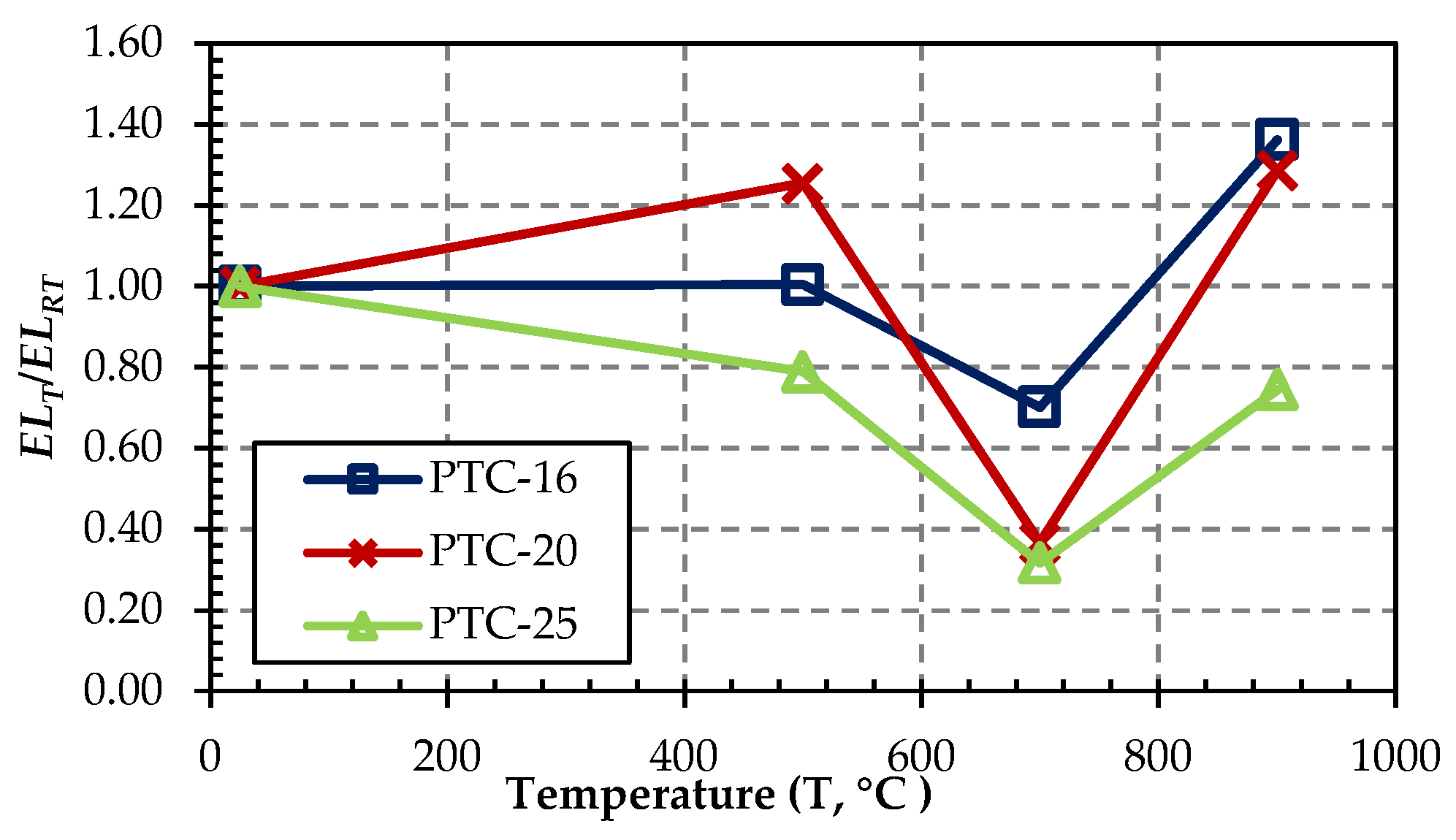
The trends in ELT of the spliced steel reinforcement varied, as shown in Table 6 and Figure 20, due to the different failure behaviors of the samples during the tensile tests. At the exposure temperatures of 500 °C and 900 °C, PTC-16 and PTC-20 specimens showed greater elongations compared to ELRT, while PTC-25 specimens did not sufficiently elongate at high temperatures. However, all steel reinforcements lacked the potential to elongate at a temperature of 700 °C due to mechanical coupler failure. Thus, the mechanical coupler is a crucial factor to consider in the strengthening process if the fire temperature is expected to reach 700 °C.
Table 6.
Post-fire elongation of the spliced steel reinforcements.
Figure 20.
Temperature effects on the residual elongation of the spliced steel reinforcements.
6. Discussion of the Results
The post-fire mechanical properties of both non-spliced and spliced steel reinforcements of 16 mm in diameter are compared in Figure 21. The trends for fyT, fuT, and EsT were similar in that the non-splices and splices were obtained equally from the tests at the ambient and elevated temperatures. However, the non-splices had more potential for elongation than the mechanical coupler samples. The minimum elongation occurred at the temperature of 700 °C because the failure mechanism during the tensile tests was different from the other cases. When using a reinforcing bar with a diameter of 16 mm, it is worth noting that the post-fire mechanical properties of the spliced steel reinforcements are not greater than those the non-spliced steel reinforcements and, at some elevated temperatures, lead to much poorer results.
Figure 21.
Comparisons of the results of the steel reinforcements of 16 mm in diameter.
The results for steel reinforcements with a diameter of 20 mm also followed the same trends as those for the 16 mm-diameter steel. Figure 22 shows that the steel reinforcements with mechanical couplers exhibited slightly higher mechanical properties than the non-spliced counterparts in terms of fyT at the elevated temperature of 500 °C and fuT at the temperatures of 700 °C and 900 °C. However, EsT of the spliced steel reinforcements decreased significantly compared to the non-spliced ones, and EsT was maximally different by 23.9% at the temperature of 900 °C. Additionally, the ELT results for both samples increased with the increasing exposure temperatures, except for the mechanical couplers at the temperature of 700 °C due to the different failure mechanisms.
Figure 22.
Comparisons of the results of the steel reinforcements of 20 mm in diameter.
The diameter of 25 mm of steel reinforcements, which is the largest, also exhibited results the same as those for the 16-mm and 20-mm diameters, as displayed in Figure 23. Notably, the fyT values of the splices were higher than those of the non-spliced steel reinforcement at a temperature of 500 °C, while fyT and fuT showed similar trends at other temperatures. EsT of the spliced steel reinforcement also dropped drastically, as observed for the 20 mm-diameter reinforcements, compared to the non-spliced steel reinforcements. The contrasting trends in ELT demonstrated that ELT of the non-splices slightly increased at high temperatures, and ELT of the splices dropped significantly, especially at the temperature of 700 °C.
Figure 23.
Comparisons of the results for the steel reinforcements of 25 mm in diameter.
The current results based on the post-fire mechanical properties after exposure to the desired temperatures were independently discussed with different diameters and their properties. However, establishing relationships among the studied parameters should be a further consideration in future work, which might provide valuable information for designing RC structures for fire resistance. However, the current results can be employed as information for structural repair during the strengthening process after fire events.
7. Conclusions
This study investigated the post-fire mechanical properties of non-spliced and spliced steel reinforcements at the elevated temperatures of 500 °C, 700 °C, and 900 °C. Commercial steel reinforcements with diameters of 16 mm, 20 mm, and 25 mm were subjected to the desired temperatures for two hours and naturally cooled to ambient temperatures before being tested for the residual stress–strain curves. The proposed equations from previous work used to predict post-fire stress–strain curves were also compared to the testing results. Based on the testing procedure, the findings of this work can be concluded as follows:
- The mechanical properties of the steel reinforcements showed a significant change after being exposed to temperatures exceeding 500 °C, and the steel reinforcements’ diameters did not significantly affect the post-fire properties;
- The proposed equations overestimated the results at the temperatures of 700 °C and 900 °C. Therefore, they should be used cautiously when predicting the residual stress–strain curves at high temperatures;
- The non-spliced steel reinforcement with a diameter of 16 mm was a critical sample when exposed to elevated temperatures greater than 500 °C, as its post-fire mechanical properties exhibited significant drops compared to the other cases;
- The mechanical coupler showed potential in increasing the residual yield strength at a temperature of 500 °C. However, it lacked in post-fire elongation ability at a temperature of 700 °C due to the failure patterns observed after the tests;
- The use of a mechanical coupler significantly decreased the post-fire modulus of elasticity compared to the non-spliced steel reinforcement, which is a crucial factor to consider in the strengthening process;
- Statistical methods should be employed to analyze post-fire mechanical properties, and the results with increasing numbers of non-splices and splices are further recommended for future work.
Author Contributions
Conceptualization, C.T., J.J. and S.K. (Suraparb Keawsawasvong); methodology, C.T., J.J. and L.V.H.B.; formal analysis, C.T. and J.J.; investigation, C.T., S.K. (Suphanut Kongwat) and S.K. (Suraparb Keawsawasvong); data curation, C.T. and J.J.; writing—original draft preparation, C.T. and S.K. (Suphanut Kongwat); writing—review and editing, C.T. and S.K. (Suphanut Kongwat); visualization, C.T. and S.K. (Suphanut Kongwat); supervision, B.S. and S.M.; project administration, C.T.; funding acquisition, C.T. All authors have read and agreed to the published version of the manuscript.
Funding
This research received funding from the Faculty of Engineering, Thammasat University, and the Thailand Science Research and Innovation Fundamental Fund: Fiscal year 2023.
Institutional Review Board Statement
Not applicable.
Informed Consent Statement
Not applicable.
Data Availability Statement
The data presented in this study are available on request from the corresponding author.
Acknowledgments
The financial support from the Faculty of Engineering, Thammasat University, and the Thailand Science Research and Innovation Fundamental Fund: Fiscal year 2023 are gratefully acknowledged. Finally, the authors would like to express their gratitude for the material support provided by Dextra Group Thailand.
Conflicts of Interest
The authors declare no conflict of interest.
Abbreviations
| ELRT | Elongation at ambient temperature for the experimental procedure |
| ELT | Post-fire elongation of steel reinforcement |
| EpT | Modulus of elasticity at onset of strain hardening |
| Es | Modulus of elasticity at ambient temperature for the analytical solution |
| Es,RT | Modulus of elasticity at ambient temperature for the experimental procedure |
| EsT | Modulus of elasticity of steel reinforcement |
| fsT | Stress of steel reinforcement |
| fu | Ultimate strength at ambient temperature for the analytical solution |
| fu,RT | Ultimate strength at ambient temperature for the experimental procedure |
| fuT | Post-fire ultimate strength |
| fy | Yield strength at ambient temperature for the analytical solution |
| fy,RT | Yield strength at ambient temperature for the experimental procedure |
| fyT | Post-fire yield strength |
| P | Strain hardening exponent |
| Strain at onset of strain hardening | |
| Certain strain of steel reinforcement | |
| Ultimate strain corresponding to ultimate tensile stress | |
| Strain at yield point | |
| Ø | Diameter of steel reinforcement |
References
- Chadha, R.P.; Mundhada, A. Effect of fire on flexural strength of reinforced concrete beam. Int. J. Eng. Res. Technol. 2012, 1. [Google Scholar] [CrossRef]
- Chen, Y.-H.; Chang, Y.-F.; Yao, G.C.; Sheu, M.-S. Experimental research on post-fire behaviour of reinforced concrete columns. Fire Saf. J. 2009, 44, 741–748. [Google Scholar] [CrossRef]
- El-Hawary, M.M.; Ragab, A.M.; Abd El-Azim, A.; Elibiari, S. Effect of fire on flexural behaviour of RC beams. Constr. Build. Mater. 1996, 10, 147–150. [Google Scholar] [CrossRef]
- Kodur, V.; Dwaikat, M.; Fike, R. An approach for evaluating the residual strength of fire-exposed RC beams. Mag. Concr. Res. 2010, 62, 479–488. [Google Scholar] [CrossRef]
- Kumar, A.; Kumar, V. Behaviour of RCC beams after exposure to elevated temperatures. J. Inst. Engineers. India. Civ. Eng. Div. 2003, 84, 165–170. [Google Scholar]
- Lie, T.T.; Rowe, T.; Lin, T. Residual strength of fire-exposed reinforced concrete columns. Spec. Publ. 1986, 92, 153–174. [Google Scholar]
- Thongchom, C.; Lenwari, A.; Aboutaha, R.S. Effect of sustained service loading on post-fire flexural response of reinforced concrete T-beams. ACI Struct. J. 2019, 116, 243–254. [Google Scholar] [CrossRef]
- Xu, Y.Y.; Wu, B.; Jiang, M.; Huang, X. Experimental study on residual flexural behavior of reinforced concrete beams after exposure to fire. Adv. Mater. Res. 2012, 457–458, 183–187. [Google Scholar] [CrossRef]
- Al-Tayeb, M.M.; Aisheh, Y.I.A.; Qaidi, S.M.; Tayeh, B.A. Experimental and simulation study on the impact resistance of concrete to replace high amounts of fine aggregate with plastic waste. Case Stud. Constr. Mater. 2022, 17, e01324. [Google Scholar] [CrossRef]
- Almeshal, I.; Al-Tayeb, M.M.; Qaidi, S.M.; Bakar, B.A.; Tayeh, B.A. Mechanical properties of eco-friendly cements-based glass powder in aggressive medium. Mater. Today Proc. 2022, 58, 1582–1587. [Google Scholar] [CrossRef]
- Chang, Y.-F.; Chen, Y.-H.; Sheu, M.-S.; Yao, G.C. Residual stress–strain relationship for concrete after exposure to high temperatures. Cem. Concr. Res. 2006, 36, 1999–2005. [Google Scholar] [CrossRef]
- Naus, D. The Effect of Elevated Temperature on Concrete Materials and Structures: A Literature Review; Division of Engineering Technology, Office of Nuclear Regulatory Research: Washington, DC, USA, 2006.
- Sharma, U.; Zaidi, K.; Bhandari, N. Residual compressive stress-strain relationship for concrete subjected to elevated temperatures. J. Struct. Fire Eng. 2012, 3, 327–350. [Google Scholar] [CrossRef]
- Maraveas, C.; Fasoulakis, Z.; Tsavdaridis, K.D. Post-fire assessment and reinstatement of steel structures. J. Struct. Fire Eng. 2017, 8, 181–201. [Google Scholar] [CrossRef]
- Guo, Y.; Fang, C.; Zheng, Y. Post-fire hysteretic and low-cycle fatigue behaviors of Q345 carbon steel. J. Constr. Steel Res. 2021, 187, 106991. [Google Scholar] [CrossRef]
- Tang, Z.; Wei, T.; Ma, Y.; Chen, L. Residual strength of steel structures after fire events considering material damages. Arab. J. Sci. Eng. 2019, 44, 5075–5088. [Google Scholar] [CrossRef]
- Zeng, X.; Wu, W.; Huo, J.; Elchalakani, M. Residual mechanical properties of Q890 high-strength structural steel after exposure to fire. Constr. Build. Mater. 2021, 304, 124661. [Google Scholar] [CrossRef]
- Marques, A.; Correia, J.; De Brito, J. Post-fire residual mechanical properties of concrete made with recycled rubber aggregate. Fire Saf. J. 2013, 58, 49–57. [Google Scholar] [CrossRef]
- Ma, Q.; Guo, R.; Zhao, Z.; Lin, Z.; He, K. Mechanical properties of concrete at high temperature—A review. Constr. Build. Mater. 2015, 93, 371–383. [Google Scholar] [CrossRef]
- Wu, H.; Lin, X.; Zhou, A. A review of mechanical properties of fibre reinforced concrete at elevated temperatures. Cem. Concr. Res. 2020, 135, 106117. [Google Scholar] [CrossRef]
- Li, L.; Shi, L.; Wang, Q.; Liu, Y.; Dong, J.; Zhang, H.; Zhang, G. A review on the recovery of fire-damaged concrete with post-fire-curing. Constr. Build. Mater. 2020, 237, 117564. [Google Scholar] [CrossRef]
- Smith, C.; Kirby, B.; Lapwood, D.; Cole, K.; Cunningham, A.; Preston, R. The reinstatement of fire damaged steel framed structures. Fire Saf. J. 1981, 4, 21–62. [Google Scholar] [CrossRef]
- Neves, I.C.; Rodrigues, J.P.C.; Loureiro, A.d.P. Mechanical properties of reinforcing and prestressing steels after heating. J. Mater. Civ. Eng. 1996, 8, 189–194. [Google Scholar] [CrossRef]
- Tao, Z.; Wang, X.-Q.; Uy, B. Stress-strain curves of structural and reinforcing steels after exposure to elevated temperatures. J. Mater. Civ. Eng. 2013, 25, 1306–1316. [Google Scholar] [CrossRef]
- Bingöl, A.F.; Gül, R. Residual bond strength between steel bars and concrete after elevated temperatures. Fire Saf. J. 2009, 44, 854–859. [Google Scholar] [CrossRef]
- Haddad, R.H.; Shannis, L.G. Post-fire behavior of bond between high strength pozzolanic concrete and reinforcing steel. Constr. Build. Mater. 2004, 18, 425–435. [Google Scholar] [CrossRef]
- Nematzadeh, M.; Shahmansouri, A.A.; Zabihi, R. Innovative models for predicting post-fire bond behavior of steel rebar embedded in steel fiber reinforced rubberized concrete using soft computing methods. J. Struct. Fire Eng. 2021, 31, 1141–1162. [Google Scholar] [CrossRef]
- Varona, F.; Baeza, F.J.; Bru, D.; Ivorra, S. Evolution of the bond strength between reinforcing steel and fibre reinforced concrete after high temperature exposure. Constr. Build. Mater. 2018, 176, 359–370. [Google Scholar] [CrossRef]
- Mousavi, S.S.; Dehestani, M.; Mousavi Ajarostaghi, S.S.; Bhojaraju, C.; Nguyen-Tri, P. On post-fire bond strength of steel rebar embedded in thermally-damaged concrete—A review. J. Adhes. Sci. Technol. 2023, 37, 370–410. [Google Scholar] [CrossRef]
- Bompa, D.; Elghazouli, A. Ductility considerations for mechanical reinforcement couplers. Structures 2017, 12, 115–119. [Google Scholar] [CrossRef]
- Bompa, D.; Elghazouli, A. Monotonic and cyclic performance of threaded reinforcement splices. Structures 2018, 16, 358–372. [Google Scholar] [CrossRef]
- Bompa, D.; Elghazouli, A. Inelastic cyclic behaviour of RC members incorporating threaded reinforcement couplers. Eng. Struct. 2019, 180, 468–483. [Google Scholar] [CrossRef]
- Zhang, W.; Deng, X.; Zhang, J.; Yi, W. Tensile behavior of half grouted sleeve connection at elevated temperatures. Constr. Build. Mater. 2018, 176, 259–270. [Google Scholar] [CrossRef]
- Bompa, D.; Elghazouli, A. Elevated temperature characteristics of steel reinforcement incorporating threaded mechanical couplers. Fire Saf. J. 2019, 104, 8–21. [Google Scholar] [CrossRef]
- ISO 15835-1:2018(E); Steels for the Reinforcement of Concrete—Reinforcement Couplers for Mechanical Splices of Bars—Part 1: Requirements. International Organization for Standardization: Geneva, Switzerland, 2018.
- ISO 15835-2:2018(E); Steels for the Reinforcement of Concrete—Reinforcement Couplers for Mechanical Splices of Bars—Part 2: Test methods. International Organization for Standardization: Geneva, Switzerland, 2018.
- ASTM A123; Standard Specification for Zinc (Hot-Dip Galvanized) Coatings on Iron and Steel Products. American Society for Testing and Materials: West Conshohocken, PA, USA, 2002.
- ISO 1464:2022(E); Hot Dip Galvanized Coatings on Fabricated Iron and Steel Articles—Specifications and Test Methods. International Organization for Standardization: Geneva, Switzerland, 2022.
Disclaimer/Publisher’s Note: The statements, opinions and data contained in all publications are solely those of the individual author(s) and contributor(s) and not of MDPI and/or the editor(s). MDPI and/or the editor(s) disclaim responsibility for any injury to people or property resulting from any ideas, methods, instructions or products referred to in the content. |
© 2023 by the authors. Licensee MDPI, Basel, Switzerland. This article is an open access article distributed under the terms and conditions of the Creative Commons Attribution (CC BY) license (https://creativecommons.org/licenses/by/4.0/).























