Prediction of Compressive Strength Loss of Normal Concrete after Exposure to High Temperature
Abstract
1. Introduction
2. Modeling
2.1. Parameter Determination
2.2. Data Collection
2.3. Models
2.3.1. BP Neural Network
2.3.2. PSO-BP Neural Network
- →
- Vi: particle velocity, denoted as (Vi1, Vi2, Vi3......ViA)T;
- →
- Pi: individual extreme value, denoted as (Pi1, Pi2, Pi3......PiA)T;
- →
- Pg: global extreme value, denoted as (Pg1, Pg2, Pg3......PgA)T;
- →
- Xi: particle position, denoted as (Xi1, Xi2, Xi3......XiA)T;
- →
- ω: inertia weights;
- →
- k: number of current iterations;
- →
- c1 and c2: learning factors which are non-negative constants;
- →
- r1 and r2: momentum coefficients which are random numbers between [0,1].
2.3.3. RF
2.4. Error Evaluation
3. Experimental Program
4. Results and Discussion
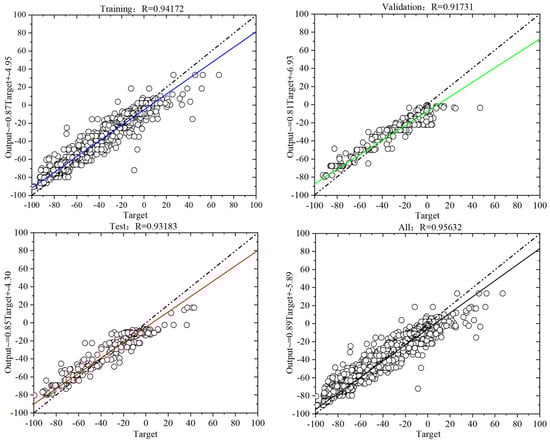
4.1. Modeling
4.2. Experimental Validation
4.3. VIM
5. Conclusions
- (1)
- To establish the models, 1803 sets of data from the publicly published literature were used, W/B, T, V, MD, C and RD were determined as input parameters and P was applied as an output parameter. Based on RMSE and MAE error evaluation, the accuracy of all three models was sufficiently high. Compared to the BP model, both the PSO-BP and the RF models were more accurate.
- (2)
- Parallel experimental work was carried out with modeling prediction using the same parameters. An error value between the results measured and predicted of less than 10% proved that all three models had sufficient feasibility to complement the prediction. Compared to the other two models, RF one was much more feasible.
- (3)
- Based on the RF model, the importance of the input parameters was ranked in the sequence of T > W/B > V > MD > RD > C.
- (4)
- With the continuous expansion of data size, the accuracy of the models could be improved further. Such prediction work has provided a new perspective to assess the post-fire properties of concrete non-destructively and objectively. Additionally, it could be used to guide performance-based design for fire-resistant concrete.
Author Contributions
Funding
Institutional Review Board Statement
Informed Consent Statement
Data Availability Statement
Conflicts of Interest
Appendix A
| REF. | Input Parameters | Output Parameters | |||||
|---|---|---|---|---|---|---|---|
| W/B | T (°C) | V (°C/min) | MD (h) | C | RD (day) | P (%) | |
| [5] | 0.49 | 200 | 10 | 2 | 1 | 14 | −4.28 |
| 0.49 | 300 | 10 | 2 | 1 | 14 | 8.06 | |
| 0.49 | 400 | 10 | 2 | 1 | 14 | 11.83 | |
| 0.49 | 500 | 10 | 2 | 1 | 14 | 2.00 | |
| 0.49 | 600 | 10 | 2 | 1 | 14 | −23.50 | |
| 0.49 | 700 | 10 | 2 | 1 | 14 | −50.06 | |
| 0.49 | 800 | 10 | 2 | 1 | 14 | −71.17 | |
| 0.49 | 200 | 10 | 2 | 0 | 14 | −1.33 | |
| 0.49 | 300 | 10 | 2 | 0 | 14 | 0.94 | |
| 0.49 | 400 | 10 | 2 | 0 | 14 | −1.75 | |
| 0.49 | 500 | 10 | 2 | 0 | 14 | 1.81 | |
| 0.49 | 600 | 10 | 2 | 0 | 14 | −17.64 | |
| 0.49 | 700 | 10 | 2 | 0 | 14 | −42.75 | |
| 0.49 | 800 | 10 | 2 | 0 | 14 | −63.03 | |
| [6] | 0.18 | 100 | 2 | 2 | 1 | 3 | −1.05 |
| 0.18 | 200 | 2 | 2 | 1 | 3 | 14.65 | |
| 0.18 | 300 | 2 | 2 | 1 | 3 | 25.42 | |
| 0.18 | 400 | 2 | 2 | 1 | 3 | 34.56 | |
| 0.18 | 500 | 2 | 2 | 1 | 3 | 8.61 | |
| 0.18 | 600 | 2 | 2 | 1 | 3 | 4.22 | |
| 0.18 | 800 | 2 | 2 | 1 | 3 | −68.85 | |
| [7] | 0.52 | 200 | 5 | 6 | 1 | 0 | −1.05 |
| 0.52 | 400 | 5 | 6 | 1 | 0 | −9.41 | |
| 0.52 | 600 | 5 | 6 | 1 | 0 | −27.74 | |
| 0.52 | 800 | 5 | 6 | 1 | 0 | −43.71 | |
| 0.52 | 200 | 5 | 6 | 0 | 2 | 2.09 | |
| 0.52 | 400 | 5 | 6 | 0 | 2 | −11.00 | |
| 0.52 | 600 | 5 | 6 | 0 | 2 | −33.50 | |
| 0.52 | 800 | 5 | 6 | 0 | 2 | −52.36 | |
| [8] | 0.33 | 105 | 10 | 3 | 1 | 1 | −7.06 |
| 0.33 | 200 | 10 | 3 | 1 | 1 | −12.86 | |
| 0.33 | 400 | 10 | 3 | 1 | 1 | −36.64 | |
| 0.33 | 600 | 10 | 3 | 1 | 1 | −63.91 | |
| 0.33 | 800 | 10 | 3 | 1 | 1 | −85.36 | |
| [9] | 0.49 | 105 | 10 | 6 | 1 | 1 | −10.00 |
| 0.49 | 300 | 10 | 6 | 1 | 1 | −2.80 | |
| 0.49 | 500 | 10 | 6 | 1 | 1 | −13.34 | |
| 0.49 | 700 | 10 | 6 | 1 | 1 | −51.94 | |
| 0.6 | 105 | 10 | 6 | 1 | 0 | −11.67 | |
| 0.6 | 300 | 10 | 6 | 1 | 0 | −7.00 | |
| 0.6 | 500 | 10 | 6 | 1 | 0 | −19.63 | |
| 0.6 | 700 | 10 | 6 | 1 | 0 | −44.23 | |
| 0.49 | 105 | 10 | 6 | 1 | 0 | −10.01 | |
| 0.49 | 300 | 10 | 6 | 1 | 0 | −3.42 | |
| 0.49 | 500 | 10 | 6 | 1 | 0 | −14.23 | |
| 0.49 | 700 | 10 | 6 | 1 | 0 | −41.75 | |
| 0.4 | 105 | 10 | 6 | 1 | 0 | −12.74 | |
| 0.4 | 300 | 10 | 6 | 1 | 0 | −9.07 | |
| 0.4 | 500 | 10 | 6 | 1 | 0 | −10.81 | |
| 0.4 | 700 | 10 | 6 | 1 | 0 | −46.70 | |
| [10] | 0.5 | 100 | 10 | 1 | 1 | 1 | −8.28 |
| 0.5 | 100 | 10 | 2 | 1 | 1 | −8.77 | |
| 0.5 | 100 | 10 | 3 | 1 | 1 | −6.16 | |
| 0.5 | 100 | 10 | 1 | 1 | 1 | −6.62 | |
| 0.5 | 100 | 10 | 2 | 1 | 1 | −8.48 | |
| 0.5 | 100 | 10 | 3 | 1 | 1 | −1.86 | |
| 0.5 | 100 | 10 | 1 | 1 | 1 | −6.85 | |
| 0.5 | 100 | 10 | 2 | 1 | 1 | −8.95 | |
| 0.5 | 100 | 10 | 3 | 1 | 1 | −4.09 | |
| 0.5 | 300 | 10 | 1 | 1 | 1 | −7.35 | |
| 0.5 | 300 | 10 | 2 | 1 | 1 | −5.64 | |
| 0.5 | 300 | 10 | 3 | 1 | 1 | −6.67 | |
| 0.5 | 300 | 10 | 1 | 1 | 1 | −4.23 | |
| 0.5 | 300 | 10 | 2 | 1 | 1 | −6.11 | |
| 0.5 | 300 | 10 | 3 | 1 | 1 | −7.73 | |
| 0.5 | 300 | 10 | 1 | 1 | 1 | −3.16 | |
| 0.5 | 300 | 10 | 2 | 1 | 1 | −4.66 | |
| 0.5 | 300 | 10 | 3 | 1 | 1 | −7.77 | |
| 0.5 | 500 | 10 | 1 | 1 | 1 | −38.09 | |
| 0.5 | 500 | 10 | 2 | 1 | 1 | −41.99 | |
| 0.5 | 500 | 10 | 3 | 1 | 1 | −46.16 | |
| 0.5 | 500 | 10 | 1 | 1 | 1 | −36.27 | |
| 0.5 | 500 | 10 | 2 | 1 | 1 | −41.93 | |
| 0.5 | 500 | 10 | 3 | 1 | 1 | −47.90 | |
| 0.5 | 500 | 10 | 1 | 1 | 1 | −39.07 | |
| 0.5 | 500 | 10 | 2 | 1 | 1 | −41.79 | |
| 0.5 | 500 | 10 | 3 | 1 | 1 | −48.22 | |
| 0.5 | 700 | 10 | 1 | 1 | 1 | −62.35 | |
| 0.5 | 700 | 10 | 2 | 1 | 1 | −67.53 | |
| 0.5 | 700 | 10 | 3 | 1 | 1 | −68.91 | |
| 0.5 | 700 | 10 | 1 | 1 | 1 | −63.46 | |
| 0.5 | 700 | 10 | 2 | 1 | 1 | −66.48 | |
| 0.5 | 700 | 10 | 3 | 1 | 1 | −69.65 | |
| 0.5 | 700 | 10 | 1 | 1 | 1 | −66.18 | |
| 0.5 | 700 | 10 | 2 | 1 | 1 | −68.90 | |
| 0.5 | 700 | 10 | 3 | 1 | 1 | −70.65 | |
| [11] | 0.57 | 200 | 16 | 1.5 | 1 | 2 | −6.75 |
| 0.57 | 400 | 10 | 1.5 | 1 | 2 | −13.00 | |
| 0.57 | 600 | 3 | 1.5 | 1 | 2 | −48.75 | |
| 0.57 | 200 | 16 | 1.5 | 0 | 2 | −2.25 | |
| 0.57 | 400 | 10 | 1.5 | 0 | 2 | −20.00 | |
| 0.57 | 600 | 3 | 1.5 | 0 | 2 | −38.50 | |
| 0.57 | 200 | 16 | 1.5 | 1 | 2 | −17.02 | |
| 0.57 | 400 | 10 | 1.5 | 1 | 2 | −26.71 | |
| 0.57 | 600 | 3 | 1.5 | 1 | 2 | −55.79 | |
| 0.57 | 200 | 16 | 1.5 | 0 | 2 | −15.60 | |
| 0.57 | 400 | 10 | 1.5 | 0 | 2 | −29.08 | |
| 0.57 | 600 | 3 | 1.5 | 0 | 2 | −47.04 | |
| 0.57 | 200 | 16 | 1.5 | 1 | 2 | −11.33 | |
| 0.57 | 400 | 10 | 1.5 | 1 | 2 | −23.65 | |
| 0.57 | 600 | 3 | 1.5 | 1 | 2 | −61.08 | |
| 0.57 | 200 | 16 | 1.5 | 0 | 2 | −10.10 | |
| 0.57 | 400 | 10 | 1.5 | 0 | 2 | −32.51 | |
| 0.57 | 600 | 3 | 1.5 | 0 | 2 | −48.77 | |
| 0.57 | 200 | 16 | 1.5 | 1 | 2 | −7.73 | |
| 0.57 | 400 | 10 | 1.5 | 1 | 2 | −27.93 | |
| 0.57 | 600 | 3 | 1.5 | 1 | 2 | −57.61 | |
| 0.57 | 200 | 16 | 1.5 | 0 | 2 | −3.24 | |
| 0.57 | 400 | 10 | 1.5 | 0 | 2 | −32.67 | |
| 0.57 | 600 | 3 | 1.5 | 0 | 2 | −41.15 | |
| 0.57 | 200 | 16 | 1.5 | 1 | 2 | −5.97 | |
| 0.57 | 400 | 10 | 1.5 | 1 | 2 | −28.05 | |
| 0.57 | 600 | 3 | 1.5 | 1 | 2 | −62.08 | |
| 0.57 | 800 | 2.29 | 1.5 | 1 | 2 | −83.64 | |
| 0.57 | 200 | 16 | 1.5 | 0 | 2 | −3.90 | |
| 0.57 | 400 | 10 | 1.5 | 0 | 2 | −37.66 | |
| 0.57 | 600 | 3 | 1.5 | 0 | 2 | −48.05 | |
| 0.57 | 800 | 2.29 | 1.5 | 0 | 2 | −88.31 | |
| [12] | 0.42 | 300 | 30 | 1.5 | 1 | 90 | 1.37 |
| 0.42 | 500 | 25 | 1 | 1 | 90 | 1.31 | |
| 0.42 | 700 | 17.5 | 1 | 1 | 90 | 1.78 | |
| 0.42 | 900 | 11.25 | 1 | 1 | 90 | −1.75 | |
| 0.42 | 300 | 30 | 1.67 | 1 | 90 | 0.03 | |
| 0.42 | 500 | 25 | 1.67 | 1 | 90 | 4.24 | |
| 0.42 | 700 | 17.5 | 1.67 | 1 | 90 | −15.57 | |
| 0.42 | 900 | 11.25 | 1.67 | 1 | 90 | −27.11 | |
| 0.42 | 300 | 30 | 2.33 | 1 | 90 | 2.17 | |
| 0.42 | 500 | 25 | 2.33 | 1 | 90 | −5.90 | |
| 0.42 | 700 | 17.5 | 2.33 | 1 | 90 | −50.55 | |
| 0.42 | 900 | 11.25 | 2.33 | 1 | 90 | −70.10 | |
| 0.42 | 300 | 30 | 3 | 1 | 90 | 4.57 | |
| 0.42 | 500 | 25 | 3 | 1 | 90 | −4.57 | |
| 0.42 | 700 | 17.5 | 3 | 1 | 90 | −58.82 | |
| 0.42 | 900 | 11.25 | 3 | 1 | 90 | −73.57 | |
| 0.42 | 300 | 30 | 1 | 0 | 90 | −2.33 | |
| 0.42 | 500 | 25 | 1 | 0 | 90 | −10.62 | |
| [13] | 0.42 | 700 | 17.5 | 1 | 0 | 90 | −15.43 |
| 0.42 | 900 | 11.25 | 1 | 0 | 90 | −21.31 | |
| 0.42 | 300 | 30 | 1.67 | 0 | 90 | −5.22 | |
| 0.42 | 500 | 25 | 1.67 | 0 | 90 | −1.21 | |
| 0.42 | 700 | 17.5 | 1.67 | 0 | 90 | −13.78 | |
| 0.42 | 900 | 11.25 | 1.67 | 0 | 90 | −47.30 | |
| 0.42 | 300 | 30 | 2.33 | 0 | 90 | −1.42 | |
| 0.42 | 500 | 25 | 2.33 | 0 | 90 | −17.73 | |
| 0.42 | 700 | 17.5 | 2.33 | 0 | 90 | −48.21 | |
| 0.42 | 900 | 11.25 | 2.33 | 0 | 90 | −58.64 | |
| 0.42 | 300 | 30 | 3 | 0 | 90 | 2.91 | |
| 0.42 | 500 | 25 | 3 | 0 | 90 | −9.12 | |
| 0.42 | 700 | 17.5 | 3 | 0 | 90 | −63.13 | |
| 0.42 | 900 | 11.25 | 3 | 0 | 90 | −72.22 | |
| [14] | 0.52 | 200 | 6.67 | 2 | 1 | 2 | −14.58 |
| 0.52 | 200 | 6.67 | 6 | 1 | 2 | −17.17 | |
| 0.52 | 200 | 6.67 | 24 | 1 | 2 | −24.02 | |
| 0.52 | 200 | 6.67 | 48 | 1 | 2 | −26.80 | |
| 0.52 | 400 | 13.33 | 2 | 1 | 2 | −45.23 | |
| 0.52 | 400 | 13.33 | 6 | 1 | 2 | −52.54 | |
| 0.52 | 400 | 13.33 | 24 | 1 | 2 | −57.13 | |
| 0.52 | 400 | 13.33 | 48 | 1 | 2 | −60.30 | |
| 0.52 | 600 | 20 | 2 | 1 | 2 | −85.16 | |
| 0.52 | 600 | 20 | 6 | 1 | 2 | −88.72 | |
| 0.52 | 600 | 20 | 24 | 1 | 2 | −89.46 | |
| 0.52 | 600 | 20 | 48 | 1 | 2 | −90.56 | |
| 0.52 | 800 | 26.67 | 2 | 1 | 2 | −92.43 | |
| 0.52 | 800 | 26.67 | 6 | 1 | 2 | −92.79 | |
| 0.52 | 800 | 26.67 | 24 | 1 | 2 | −93.18 | |
| 0.52 | 800 | 26.67 | 48 | 1 | 2 | −93.95 | |
| [15] | 0.58 | 150 | 150 | 3 | 1 | 27 | −3.25 |
| 0.58 | 150 | 150 | 3 | 1 | 25 | 3.25 | |
| 0.58 | 150 | 150 | 3 | 1 | 21 | −15.52 | |
| 0.58 | 150 | 150 | 3 | 1 | 14 | −17.33 | |
| 0.58 | 150 | 150 | 3 | 1 | 0 | −22.74 | |
| 0.58 | 300 | 300 | 3 | 1 | 27 | −13.36 | |
| 0.58 | 300 | 300 | 3 | 1 | 25 | −8.30 | |
| 0.58 | 300 | 300 | 3 | 1 | 21 | −20.58 | |
| 0.58 | 300 | 300 | 3 | 1 | 14 | −16.35 | |
| 0.58 | 300 | 300 | 3 | 1 | 0 | −29.96 | |
| 0.58 | 400 | 200 | 3 | 1 | 27 | −19.49 | |
| 0.58 | 400 | 200 | 3 | 1 | 25 | −9.75 | |
| 0.58 | 400 | 200 | 3 | 1 | 21 | −13.00 | |
| 0.58 | 400 | 200 | 3 | 1 | 14 | −22.02 | |
| 0.58 | 400 | 200 | 3 | 1 | 0 | −16.97 | |
| 0.58 | 600 | 75 | 3 | 1 | 27 | −37.55 | |
| 0.58 | 600 | 75 | 3 | 1 | 25 | −23.47 | |
| 0.58 | 600 | 75 | 3 | 1 | 21 | −29.97 | |
| 0.58 | 600 | 75 | 3 | 1 | 14 | −47.29 | |
| 0.58 | 600 | 75 | 3 | 1 | 0 | −35.74 | |
| 0.58 | 800 | 35.5 | 3 | 1 | 27 | −62.82 | |
| 0.58 | 800 | 35.5 | 3 | 1 | 25 | −47.29 | |
| 0.58 | 800 | 35.5 | 3 | 1 | 21 | −51.99 | |
| 0.58 | 800 | 35.5 | 3 | 1 | 14 | −73.65 | |
| 0.58 | 800 | 35.5 | 3 | 1 | 0 | −59.93 | |
| 0.58 | 900 | 20.2 | 3 | 1 | 27 | −79.78 | |
| 0.58 | 900 | 20.2 | 3 | 1 | 25 | −69.68 | |
| 0.58 | 900 | 20.2 | 3 | 1 | 21 | −75.09 | |
| 0.58 | 900 | 20.2 | 3 | 1 | 14 | −84.12 | |
| 0.58 | 900 | 20.2 | 3 | 1 | 0 | −75.09 | |
| 0.58 | 150 | 150 | 3 | 0 | 27 | 5.12 | |
| 0.58 | 150 | 150 | 3 | 0 | 25 | 1.89 | |
| 0.58 | 150 | 150 | 3 | 0 | 21 | −1.41 | |
| 0.58 | 150 | 150 | 3 | 0 | 14 | −5.45 | |
| 0.58 | 150 | 150 | 3 | 0 | 0 | −27.17 | |
| 0.58 | 300 | 300 | 3 | 0 | 27 | 10.91 | |
| 0.58 | 300 | 300 | 3 | 0 | 25 | 19.22 | |
| 0.58 | 300 | 300 | 3 | 0 | 21 | 1.89 | |
| 0.58 | 300 | 300 | 3 | 0 | 14 | −9.17 | |
| 0.58 | 300 | 300 | 3 | 0 | 0 | −31.73 | |
| 0.58 | 400 | 200 | 3 | 0 | 27 | 1.81 | |
| 0.58 | 400 | 200 | 3 | 0 | 25 | 6.39 | |
| 0.58 | 400 | 200 | 3 | 0 | 21 | 3.55 | |
| 0.58 | 400 | 200 | 3 | 0 | 14 | −2.55 | |
| 0.58 | 400 | 200 | 3 | 0 | 0 | −18.90 | |
| 0.58 | 600 | 75 | 3 | 0 | 27 | −25.92 | |
| 0.58 | 600 | 75 | 3 | 0 | 25 | −11.40 | |
| 0.58 | 600 | 75 | 3 | 0 | 21 | −24.59 | |
| 0.58 | 600 | 75 | 3 | 0 | 14 | −59.04 | |
| 0.58 | 600 | 75 | 3 | 0 | 0 | −76.83 | |
| 0.58 | 800 | 35.5 | 3 | 0 | 27 | −42.47 | |
| 0.58 | 800 | 35.5 | 3 | 0 | 25 | −30.85 | |
| 0.58 | 800 | 35.5 | 3 | 0 | 21 | −38.24 | |
| 0.58 | 800 | 35.5 | 3 | 0 | 14 | −57.59 | |
| 0.58 | 800 | 35.5 | 3 | 0 | 0 | −76.83 | |
| 0.58 | 900 | 20.2 | 3 | 0 | 27 | −65.64 | |
| 0.58 | 900 | 20.2 | 3 | 0 | 25 | −51.54 | |
| 0.58 | 900 | 20.2 | 3 | 0 | 21 | −56.03 | |
| 0.58 | 900 | 20.2 | 3 | 0 | 14 | −76.21 | |
| 0.58 | 900 | 20.2 | 3 | 0 | 0 | −87.17 | |
| [16] | 0.34 | 200 | 5 | 3 | 1 | 0 | −3.57 |
| 0.34 | 400 | 5 | 3 | 1 | 0 | −27.26 | |
| 0.34 | 600 | 5 | 3 | 1 | 0 | −59.08 | |
| 0.4 | 200 | 5 | 3 | 1 | 0 | −8.24 | |
| 0.4 | 400 | 5 | 3 | 1 | 0 | −28.92 | |
| 0.4 | 600 | 5 | 3 | 1 | 0 | −57.47 | |
| 0.5 | 200 | 5 | 3 | 1 | 0 | −10.54 | |
| 0.5 | 400 | 5 | 3 | 1 | 0 | −23.49 | |
| 0.5 | 600 | 5 | 3 | 1 | 0 | −53.37 | |
| [17] | 0.49 | 200 | 2.5 | 8 | 1 | 0 | 41.30 |
| 0.49 | 400 | 2.5 | 8 | 1 | 0 | 7.60 | |
| 0.49 | 600 | 2.5 | 8 | 1 | 0 | −33.20 | |
| 0.49 | 700 | 2.5 | 8 | 1 | 0 | −46.70 | |
| 0.49 | 800 | 2.5 | 8 | 1 | 0 | −66.30 | |
| 0.49 | 200 | 2.5 | 8 | 1 | 0 | −23.40 | |
| 0.49 | 400 | 2.5 | 8 | 1 | 0 | −46.50 | |
| 0.49 | 600 | 2.5 | 8 | 1 | 0 | −55.50 | |
| 0.49 | 700 | 2.5 | 8 | 1 | 0 | −65.50 | |
| 0.49 | 800 | 2.5 | 8 | 1 | 0 | −67.60 | |
| 0.49 | 900 | 2.5 | 8 | 1 | 0 | −82.50 | |
| [18] | 0.42 | 300 | 10 | 6 | 1 | 0 | −27.00 |
| 0.42 | 500 | 10 | 6 | 1 | 0 | −44.00 | |
| 0.42 | 700 | 10 | 6 | 1 | 0 | −64.00 | |
| 0.42 | 300 | 10 | 6 | 1 | 0 | −14.00 | |
| 0.42 | 500 | 10 | 6 | 1 | 0 | −33.00 | |
| 0.42 | 700 | 10 | 6 | 1 | 0 | −67.00 | |
| [19] | 0.25 | 200 | 90 | 0.5 | 1 | 1 | −4.59 |
| 0.25 | 400 | 90 | 0.5 | 1 | 1 | −13.33 | |
| 0.25 | 600 | 54 | 0.5 | 1 | 1 | −32.43 | |
| 0.25 | 800 | 28.42 | 0.5 | 1 | 1 | −44.40 | |
| 0.3 | 200 | 90 | 0.5 | 1 | 1 | −4.52 | |
| 0.3 | 400 | 90 | 0.5 | 1 | 1 | −12.36 | |
| 0.3 | 600 | 54 | 0.5 | 1 | 1 | −31.62 | |
| 0.3 | 800 | 28.42 | 0.5 | 1 | 1 | −46.36 | |
| [20] | 0.31 | 200 | 10 | 3 | 1 | 0 | 4.63 |
| 0.31 | 400 | 10 | 3 | 1 | 0 | 45.66 | |
| 0.31 | 600 | 10 | 3 | 1 | 0 | 7.07 | |
| 0.31 | 800 | 10 | 3 | 1 | 0 | −56.30 | |
| 0.31 | 200 | 10 | 3 | 1 | 0 | 38.68 | |
| 0.31 | 400 | 10 | 3 | 1 | 0 | 52.44 | |
| 0.31 | 600 | 10 | 3 | 1 | 0 | 23.40 | |
| 0.31 | 800 | 10 | 3 | 1 | 0 | −49.33 | |
| [21] | 0.3 | 200 | 16 | 2 | 1 | 0 | −10.55 |
| 0.3 | 400 | 20.5 | 2 | 1 | 0 | −29.61 | |
| 0.3 | 600 | 17.5 | 2 | 1 | 0 | −47.08 | |
| 0.3 | 800 | 13.4 | 2 | 1 | 0 | −75.64 | |
| 0.3 | 200 | 16 | 2 | 1 | 0 | −12.78 | |
| 0.3 | 400 | 20.5 | 2 | 1 | 0 | −31.86 | |
| 0.3 | 600 | 17.5 | 2 | 1 | 0 | −48.60 | |
| 0.3 | 800 | 13.4 | 2 | 1 | 0 | −78.01 | |
| 0.3 | 200 | 16 | 2 | 1 | 0 | −15.41 | |
| 0.3 | 400 | 20.5 | 2 | 1 | 0 | −37.21 | |
| 0.3 | 600 | 17.5 | 2 | 1 | 0 | −51.17 | |
| 0.3 | 800 | 13.4 | 2 | 1 | 0 | −78.30 | |
| 0.3 | 200 | 16 | 2 | 1 | 0 | −10.35 | |
| 0.3 | 400 | 20.5 | 2 | 1 | 0 | −35.24 | |
| 0.3 | 600 | 17.5 | 2 | 1 | 0 | −49.20 | |
| 0.3 | 800 | 13.4 | 2 | 1 | 0 | −79.57 | |
| [22] | 0.48 | 200 | 10 | 1.5 | 1 | 0 | −16.21 |
| 0.48 | 400 | 10 | 1.5 | 1 | 0 | −10.48 | |
| 0.48 | 800 | 10 | 1.5 | 1 | 0 | −4.68 | |
| 0.48 | 200 | 10 | 1.5 | 1 | 0 | 4.29 | |
| 0.48 | 400 | 10 | 1.5 | 1 | 0 | −69.21 | |
| 0.48 | 800 | 10 | 1.5 | 1 | 0 | −31.90 | |
| [23] | 0.35 | 200 | 12 | 2 | 1 | 0 | −18.16 |
| 0.35 | 300 | 12 | 2 | 1 | 0 | −28.18 | |
| 0.35 | 400 | 12 | 2 | 1 | 0 | −22.24 | |
| 0.35 | 600 | 12 | 2 | 1 | 0 | −41.64 | |
| 0.35 | 800 | 12 | 2 | 1 | 0 | −69.66 | |
| 0.35 | 200 | 12 | 2 | 1 | 0 | −8.54 | |
| 0.35 | 300 | 12 | 2 | 1 | 0 | −17.24 | |
| 0.35 | 400 | 12 | 2 | 1 | 0 | −15.05 | |
| 0.35 | 600 | 12 | 2 | 1 | 0 | −37.74 | |
| 0.35 | 800 | 12 | 2 | 1 | 0 | −72.94 | |
| 0.35 | 200 | 12 | 2 | 1 | 0 | −7.32 | |
| 0.35 | 300 | 12 | 2 | 1 | 0 | −16.47 | |
| 0.35 | 400 | 12 | 2 | 1 | 0 | −14.25 | |
| 0.35 | 600 | 12 | 2 | 1 | 0 | −36.24 | |
| 0.35 | 800 | 12 | 2 | 1 | 0 | −66.57 | |
| 0.35 | 200 | 12 | 2 | 1 | 0 | −14.66 | |
| 0.35 | 300 | 12 | 2 | 1 | 0 | −23.60 | |
| 0.35 | 400 | 12 | 2 | 1 | 0 | −21.76 | |
| 0.35 | 600 | 12 | 2 | 1 | 0 | −41.94 | |
| 0.35 | 800 | 12 | 2 | 1 | 0 | −71.91 | |
| [24] | 0.33 | 200 | 15 | 2 | 1 | 1 | −8.24 |
| 0.33 | 400 | 15 | 2 | 1 | 1 | −19.06 | |
| 0.33 | 600 | 15 | 2 | 1 | 1 | −40.14 | |
| 0.33 | 800 | 15 | 2 | 1 | 1 | −65.84 | |
| 0.33 | 200 | 15 | 2 | 1 | 1 | −5.55 | |
| 0.33 | 400 | 15 | 2 | 1 | 1 | −14.62 | |
| 0.33 | 600 | 15 | 2 | 1 | 1 | −32.71 | |
| 0.33 | 800 | 15 | 2 | 1 | 1 | −44.80 | |
| 0.33 | 200 | 15 | 2 | 1 | 1 | −9.10 | |
| 0.33 | 400 | 15 | 2 | 1 | 1 | −16.28 | |
| 0.33 | 600 | 15 | 2 | 1 | 1 | −32.99 | |
| 0.33 | 800 | 15 | 2 | 1 | 1 | −45.90 | |
| 0.33 | 200 | 15 | 2 | 1 | 1 | −9.07 | |
| 0.33 | 400 | 15 | 2 | 1 | 1 | −20.40 | |
| 0.33 | 600 | 15 | 2 | 1 | 1 | −33.99 | |
| 0.33 | 800 | 15 | 2 | 1 | 1 | −48.03 | |
| [25] | 0.27 | 200 | 10 | 1.5 | 1 | 0 | −0.13 |
| 0.27 | 400 | 10 | 1.5 | 1 | 0 | −7.02 | |
| 0.27 | 600 | 10 | 1.5 | 1 | 0 | −28.61 | |
| 0.27 | 800 | 10 | 1.5 | 1 | 0 | −71.52 | |
| 0.27 | 200 | 10 | 1.5 | 1 | 0 | −19.42 | |
| 0.27 | 400 | 10 | 1.5 | 1 | 0 | −30.87 | |
| 0.27 | 600 | 10 | 1.5 | 1 | 0 | −37.39 | |
| 0.27 | 800 | 10 | 1.5 | 1 | 0 | −70.14 | |
| [26] | 0.49 | 800 | 6 | 1 | 1 | 0 | −74.41 |
| 0.49 | 1100 | 6 | 1 | 1 | 0 | −91.88 | |
| 0.49 | 800 | 6 | 1 | 0 | 0 | −78.62 | |
| 0.49 | 1100 | 6 | 1 | 0 | 0 | −91.57 | |
| 0.49 | 800 | 6 | 1 | 1 | 0 | −65.90 | |
| 0.49 | 1100 | 6 | 1 | 1 | 0 | −87.75 | |
| 0.49 | 800 | 6 | 1 | 0 | 0 | −71.63 | |
| 0.49 | 1100 | 6 | 1 | 0 | 0 | −89.60 | |
| [27] | 0.49 | 250 | 10 | 2 | 0 | 7 | −2.03 |
| 0.49 | 450 | 10 | 2 | 0 | 7 | −3.36 | |
| 0.49 | 250 | 10 | 2 | 0 | 7 | −7.90 | |
| 0.49 | 450 | 10 | 2 | 0 | 7 | −21.94 | |
| 0.49 | 250 | 10 | 2 | 0 | 7 | −17.92 | |
| 0.49 | 450 | 10 | 2 | 0 | 7 | −28.29 | |
| 0.49 | 250 | 10 | 2 | 0 | 7 | −23.79 | |
| 0.49 | 450 | 10 | 2 | 0 | 7 | −31.72 | |
| 0.49 | 550 | 10 | 2 | 0 | 7 | −46.32 | |
| 0.49 | 650 | 10 | 2 | 0 | 7 | −66.78 | |
| [28] | 0.55 | 100 | 5 | 1 | 1 | 2 | −9.01 |
| 0.55 | 300 | 5 | 1 | 1 | 2 | −26.12 | |
| 0.55 | 500 | 5 | 1 | 1 | 2 | −36.94 | |
| 0.55 | 700 | 5 | 1 | 1 | 2 | −47.75 | |
| 0.33 | 100 | 5 | 1 | 1 | 2 | −8.74 | |
| 0.33 | 300 | 5 | 1 | 1 | 2 | −33.01 | |
| 0.33 | 500 | 5 | 1 | 1 | 2 | −45.63 | |
| 0.33 | 700 | 5 | 1 | 1 | 2 | −69.90 | |
| [29] | 0.36 | 200 | 20 | 1.5 | 0 | 2 | −4.30 |
| 0.36 | 300 | 20 | 1.5 | 0 | 2 | −4.70 | |
| 0.36 | 400 | 20 | 2 | 0 | 2 | −15.30 | |
| 0.36 | 500 | 20 | 2 | 0 | 2 | −35.60 | |
| 0.36 | 600 | 20 | 2.5 | 0 | 2 | −40.50 | |
| 0.36 | 700 | 20 | 2.5 | 0 | 2 | −44.20 | |
| 0.36 | 800 | 20 | 2.5 | 0 | 2 | −69.20 | |
| [30] | 0.44 | 100 | 100 | 2 | 1 | 0.25 | 19.38 |
| 0.44 | 100 | 100 | 2 | 1 | 0.25 | 0.32 | |
| 0.44 | 100 | 100 | 2 | 1 | 0.25 | −0.66 | |
| 0.44 | 200 | 200 | 2 | 1 | 0.25 | 1.94 | |
| 0.44 | 200 | 200 | 2 | 1 | 0.25 | −7.05 | |
| 0.44 | 200 | 200 | 2 | 1 | 0.25 | 4.32 | |
| 0.44 | 300 | 300 | 2 | 1 | 0.25 | 6.20 | |
| 0.44 | 300 | 300 | 2 | 1 | 0.25 | −16.99 | |
| 0.44 | 300 | 300 | 2 | 1 | 0.25 | −9.97 | |
| 0.44 | 400 | 400 | 2 | 1 | 0.25 | 1.94 | |
| 0.44 | 400 | 400 | 2 | 1 | 0.25 | −14.10 | |
| 0.44 | 400 | 400 | 2 | 1 | 0.25 | −18.27 | |
| 0.44 | 500 | 500 | 2 | 1 | 0.25 | −7.75 | |
| 0.44 | 500 | 500 | 2 | 1 | 0.25 | −19.87 | |
| 0.44 | 500 | 500 | 2 | 1 | 0.25 | −15.61 | |
| 0.44 | 600 | 2.5 | 1 | 1 | 0.25 | −24.81 | |
| 0.44 | 600 | 2.5 | 1 | 1 | 0.25 | −32.69 | |
| 0.44 | 600 | 2.5 | 1 | 1 | 0.25 | −31.89 | |
| 0.44 | 700 | 2.5 | 1 | 1 | 0.25 | −47.67 | |
| 0.44 | 700 | 2.5 | 1 | 1 | 0.25 | −50.64 | |
| 0.44 | 700 | 2.5 | 1 | 1 | 0.25 | −57.81 | |
| 0.44 | 800 | 2.5 | 1 | 1 | 0.25 | −54.26 | |
| 0.44 | 800 | 2.5 | 1 | 1 | 0.25 | −60.90 | |
| 0.44 | 800 | 2.5 | 1 | 1 | 0.25 | −72.09 | |
| 0.44 | 900 | 2.5 | 1 | 1 | 0.25 | −74.03 | |
| 0.44 | 900 | 2.5 | 1 | 1 | 0.25 | −77.88 | |
| 0.44 | 900 | 2.5 | 1 | 1 | 0.25 | −74.42 | |
| 0.35 | 100 | 100 | 2 | 1 | 0.25 | −1.48 | |
| 0.35 | 100 | 100 | 2 | 1 | 0.25 | 2.08 | |
| 0.35 | 100 | 100 | 2 | 1 | 0.25 | 6.04 | |
| 0.35 | 200 | 200 | 2 | 1 | 0.25 | −8.62 | |
| 0.35 | 200 | 200 | 2 | 1 | 0.25 | −7.79 | |
| 0.35 | 200 | 200 | 2 | 1 | 0.25 | 0.00 | |
| 0.35 | 300 | 300 | 2 | 1 | 0.25 | −12.56 | |
| 0.35 | 300 | 300 | 2 | 1 | 0.25 | −3.64 | |
| 0.35 | 300 | 300 | 2 | 1 | 0.25 | −12.09 | |
| 0.35 | 400 | 400 | 2 | 1 | 0.25 | −20.69 | |
| 0.35 | 400 | 400 | 2 | 1 | 0.25 | −16.88 | |
| 0.35 | 400 | 400 | 2 | 1 | 0.25 | −7.69 | |
| 0.35 | 500 | 500 | 2 | 1 | 0.25 | −26.60 | |
| 0.35 | 500 | 500 | 2 | 1 | 0.25 | −24.68 | |
| 0.35 | 500 | 500 | 2 | 1 | 0.25 | −22.53 | |
| 0.35 | 600 | 2.5 | 1 | 1 | 0.25 | −40.89 | |
| 0.35 | 600 | 2.5 | 1 | 1 | 0.25 | −38.18 | |
| 0.35 | 600 | 2.5 | 1 | 1 | 0.25 | −32.69 | |
| 0.35 | 700 | 2.5 | 1 | 1 | 0.25 | −43.60 | |
| 0.35 | 700 | 2.5 | 1 | 1 | 0.25 | −45.19 | |
| 0.35 | 700 | 2.5 | 1 | 1 | 0.25 | −32.97 | |
| 0.35 | 800 | 2.5 | 1 | 1 | 0.25 | −60.59 | |
| 0.35 | 800 | 2.5 | 1 | 1 | 0.25 | −60.00 | |
| 0.35 | 800 | 2.5 | 1 | 1 | 0.25 | −52.75 | |
| 0.35 | 900 | 2.5 | 1 | 1 | 0.25 | −78.08 | |
| 0.35 | 900 | 2.5 | 1 | 1 | 0.25 | −80.52 | |
| 0.35 | 900 | 2.5 | 1 | 1 | 0.25 | −75.82 | |
| 0.35 | 100 | 100 | 2 | 1 | 0.25 | 2.90 | |
| 0.35 | 100 | 100 | 2 | 1 | 0.25 | 2.31 | |
| 0.35 | 100 | 100 | 2 | 1 | 0.25 | 4.78 | |
| 0.35 | 200 | 200 | 2 | 1 | 0.25 | −9.54 | |
| 0.35 | 200 | 200 | 2 | 1 | 0.25 | −9.64 | |
| 0.35 | 200 | 200 | 2 | 1 | 0.25 | −9.56 | |
| 0.35 | 300 | 300 | 2 | 1 | 0.25 | −16.80 | |
| 0.35 | 300 | 300 | 2 | 1 | 0.25 | −18.03 | |
| 0.35 | 300 | 300 | 2 | 1 | 0.25 | −17.67 | |
| 0.35 | 400 | 400 | 2 | 1 | 0.25 | −18.67 | |
| 0.35 | 400 | 400 | 2 | 1 | 0.25 | −25.37 | |
| 0.35 | 400 | 400 | 2 | 1 | 0.25 | −22.25 | |
| 0.35 | 500 | 500 | 2 | 1 | 0.25 | −27.59 | |
| 0.35 | 500 | 500 | 2 | 1 | 0.25 | −27.67 | |
| 0.35 | 500 | 500 | 2 | 1 | 0.25 | −27.86 | |
| 0.35 | 600 | 2.5 | 1 | 1 | 0.25 | −31.33 | |
| 0.35 | 600 | 2.5 | 1 | 1 | 0.25 | −33.33 | |
| 0.35 | 600 | 2.5 | 1 | 1 | 0.25 | −32.85 | |
| 0.35 | 700 | 2.5 | 1 | 1 | 0.25 | −37.97 | |
| 0.35 | 700 | 2.5 | 1 | 1 | 0.25 | −41.72 | |
| 0.35 | 700 | 2.5 | 1 | 1 | 0.25 | −40.33 | |
| 0.35 | 800 | 2.5 | 1 | 1 | 0.25 | −61.83 | |
| 0.35 | 800 | 2.5 | 1 | 1 | 0.25 | −58.07 | |
| 0.35 | 800 | 2.5 | 1 | 1 | 0.25 | −61.33 | |
| 0.35 | 900 | 2.5 | 1 | 1 | 0.25 | −88.80 | |
| [31] | 0.46 | 100 | 11 | 6 | 1 | 1 | −4.00 |
| 0.46 | 300 | 11 | 6 | 1 | 1 | −15.00 | |
| 0.46 | 500 | 11 | 6 | 1 | 1 | −45.00 | |
| 0.46 | 700 | 11 | 6 | 1 | 1 | −73.00 | |
| 0.46 | 100 | 11 | 6 | 1 | 7 | −14.00 | |
| 0.46 | 300 | 11 | 6 | 1 | 7 | −18.00 | |
| 0.46 | 500 | 11 | 6 | 1 | 7 | −58.00 | |
| 0.46 | 700 | 11 | 6 | 1 | 7 | −79.00 | |
| 0.46 | 100 | 11 | 6 | 1 | 14 | 4.00 | |
| 0.46 | 300 | 11 | 6 | 1 | 14 | −21.00 | |
| 0.46 | 500 | 11 | 6 | 1 | 14 | −60.00 | |
| 0.46 | 700 | 11 | 6 | 1 | 14 | −78.00 | |
| 0.46 | 100 | 11 | 6 | 1 | 28 | 0.00 | |
| 0.46 | 300 | 11 | 6 | 1 | 28 | −23.00 | |
| 0.46 | 500 | 11 | 6 | 1 | 28 | −63.00 | |
| 0.46 | 700 | 11 | 6 | 1 | 28 | −80.00 | |
| 0.46 | 100 | 11 | 6 | 1 | 56 | −9.00 | |
| 0.46 | 300 | 11 | 6 | 1 | 56 | −17.00 | |
| 0.46 | 500 | 11 | 6 | 1 | 56 | −58.00 | |
| 0.46 | 700 | 11 | 6 | 1 | 56 | −75.00 | |
| 0.46 | 100 | 11 | 6 | 1 | 77 | −16.00 | |
| 0.46 | 300 | 11 | 6 | 1 | 77 | −26.00 | |
| 0.46 | 500 | 11 | 6 | 1 | 77 | −52.00 | |
| 0.46 | 700 | 11 | 6 | 1 | 77 | −77.00 | |
| 0.46 | 100 | 11 | 6 | 1 | 112 | −5.00 | |
| 0.46 | 300 | 11 | 6 | 1 | 112 | −23.00 | |
| 0.46 | 500 | 11 | 6 | 1 | 112 | −57.00 | |
| 0.46 | 700 | 11 | 6 | 1 | 112 | −76.00 | |
| [32] | 0.43 | 200 | 20 | 1 | 1 | 0 | −24.30 |
| 0.43 | 300 | 17.5 | 1 | 1 | 0 | −18.66 | |
| 0.43 | 400 | 2.24 | 1 | 1 | 0 | −24.66 | |
| 0.43 | 500 | 1.84 | 1 | 1 | 0 | −28.99 | |
| 0.43 | 600 | 1.16 | 1 | 1 | 0 | −41.69 | |
| 0.43 | 700 | 1.04 | 1 | 1 | 0 | −62.96 | |
| 0.43 | 800 | 1.02 | 1 | 1 | 0 | −70.94 | |
| [33] | 0.56 | 150 | 10 | 1.5 | 1 | 0 | −3.80 |
| 0.56 | 250 | 10 | 1.5 | 1 | 0 | −8.70 | |
| 0.56 | 350 | 10 | 1.5 | 1 | 0 | −13.60 | |
| 0.56 | 450 | 10 | 1.5 | 1 | 0 | −21.50 | |
| 0.56 | 550 | 10 | 1.5 | 1 | 0 | −37.70 | |
| 0.56 | 650 | 10 | 1.5 | 1 | 0 | −53.60 | |
| 0.56 | 150 | 10 | 1.5 | 0 | 0 | −11.30 | |
| 0.56 | 250 | 10 | 1.5 | 0 | 0 | −18.00 | |
| 0.56 | 350 | 10 | 1.5 | 0 | 0 | −22.60 | |
| 0.56 | 450 | 10 | 1.5 | 0 | 0 | −25.70 | |
| 0.56 | 550 | 10 | 1.5 | 0 | 0 | −29.80 | |
| 0.56 | 650 | 10 | 1.5 | 0 | 0 | −35.10 | |
| 0.53 | 150 | 10 | 1.5 | 1 | 0 | −4.20 | |
| 0.53 | 250 | 10 | 1.5 | 1 | 0 | −11.70 | |
| 0.53 | 350 | 10 | 1.5 | 1 | 0 | −15.90 | |
| 0.53 | 450 | 10 | 1.5 | 1 | 0 | −18.40 | |
| 0.53 | 550 | 10 | 1.5 | 1 | 0 | −33.30 | |
| 0.53 | 650 | 10 | 1.5 | 1 | 0 | −51.50 | |
| 0.53 | 150 | 10 | 1.5 | 0 | 0 | −7.40 | |
| 0.53 | 250 | 10 | 1.5 | 0 | 0 | −14.60 | |
| 0.53 | 350 | 10 | 1.5 | 0 | 0 | −21.00 | |
| 0.53 | 450 | 10 | 1.5 | 0 | 0 | −23.00 | |
| 0.53 | 550 | 10 | 1.5 | 0 | 0 | −24.30 | |
| 0.53 | 650 | 10 | 1.5 | 0 | 0 | −31.40 | |
| 0.5 | 150 | 10 | 1.5 | 1 | 0 | −6.10 | |
| 0.5 | 250 | 10 | 1.5 | 1 | 0 | −13.00 | |
| 0.5 | 350 | 10 | 1.5 | 1 | 0 | −18.60 | |
| 0.5 | 450 | 10 | 1.5 | 1 | 0 | −23.50 | |
| 0.5 | 550 | 10 | 1.5 | 1 | 0 | −35.40 | |
| 0.5 | 650 | 10 | 1.5 | 1 | 0 | −56.20 | |
| 0.5 | 150 | 10 | 1.5 | 0 | 0 | −7.80 | |
| 0.5 | 250 | 10 | 1.5 | 0 | 0 | −15.70 | |
| 0.5 | 350 | 10 | 1.5 | 0 | 0 | −21.70 | |
| 0.5 | 450 | 10 | 1.5 | 0 | 0 | −29.00 | |
| 0.5 | 550 | 10 | 1.5 | 0 | 0 | −25.80 | |
| 0.5 | 650 | 10 | 1.5 | 0 | 0 | −31.30 | |
| [34] | 0.77 | 200 | 2.5 | 1 | 1 | 1 | −8.40 |
| 0.77 | 400 | 2.5 | 1 | 1 | 1 | −12.38 | |
| 0.77 | 800 | 2.5 | 1 | 1 | 1 | −84.51 | |
| 0.77 | 200 | 2.5 | 1 | 1 | 1 | −4.23 | |
| 0.77 | 400 | 2.5 | 1 | 1 | 1 | −13.93 | |
| 0.77 | 800 | 2.5 | 1 | 1 | 1 | −70.04 | |
| 0.77 | 200 | 2.5 | 1 | 1 | 1 | −7.01 | |
| 0.77 | 400 | 2.5 | 1 | 1 | 1 | −14.02 | |
| 0.77 | 800 | 2.5 | 1 | 1 | 1 | −68.49 | |
| 0.77 | 200 | 2.5 | 1 | 1 | 1 | −3.59 | |
| 0.77 | 400 | 2.5 | 1 | 1 | 1 | −25.01 | |
| 0.77 | 800 | 2.5 | 1 | 1 | 1 | −77.04 | |
| 0.77 | 200 | 2.5 | 1 | 1 | 1 | −1.51 | |
| 0.77 | 400 | 2.5 | 1 | 1 | 1 | −6.82 | |
| 0.77 | 800 | 2.5 | 1 | 1 | 1 | −64.01 | |
| 0.77 | 200 | 2.5 | 1 | 1 | 1 | −7.97 | |
| 0.77 | 400 | 2.5 | 1 | 1 | 1 | −16.88 | |
| 0.77 | 800 | 2.5 | 1 | 1 | 1 | −56.69 | |
| 0.77 | 200 | 2.5 | 1 | 1 | 1 | −11.30 | |
| 0.77 | 400 | 2.5 | 1 | 1 | 1 | −14.78 | |
| 0.77 | 800 | 2.5 | 1 | 1 | 1 | −56.23 | |
| 0.77 | 200 | 2.5 | 1 | 1 | 1 | −11.69 | |
| 0.77 | 400 | 2.5 | 1 | 1 | 1 | −35.50 | |
| 0.77 | 800 | 2.5 | 1 | 1 | 1 | −56.28 | |
| [35] | 0.29 | 851 | 2 | 4 | 1 | 0 | −78.80 |
| 0.29 | 851 | 10 | 4 | 1 | 0 | −57.60 | |
| 0.29 | 851 | 100 | 4 | 1 | 0 | −8.00 | |
| 0.25 | 851 | 2 | 4 | 1 | 0 | −78.30 | |
| 0.25 | 851 | 10 | 4 | 1 | 0 | −68.90 | |
| 0.25 | 851 | 100 | 4 | 1 | 0 | −16.20 | |
| 0.27 | 851 | 2 | 4 | 1 | 0 | −74.20 | |
| 0.27 | 851 | 10 | 4 | 1 | 0 | −73.70 | |
| 0.27 | 851 | 100 | 4 | 1 | 0 | −7.00 | |
| 0.24 | 851 | 2 | 4 | 1 | 0 | −75.70 | |
| 0.24 | 851 | 10 | 4 | 1 | 0 | −78.00 | |
| 0.24 | 851 | 100 | 4 | 1 | 0 | −11.50 | |
| [36] | 0.43 | 200 | 10 | 6 | 1 | 1 | −0.97 |
| 0.43 | 300 | 10 | 6 | 1 | 1 | 6.31 | |
| 0.43 | 400 | 10 | 6 | 1 | 1 | −13.56 | |
| 0.43 | 500 | 10 | 6 | 1 | 1 | −21.81 | |
| 0.37 | 200 | 10 | 6 | 1 | 1 | −2.46 | |
| 0.37 | 300 | 10 | 6 | 1 | 1 | −18.60 | |
| 0.37 | 400 | 10 | 6 | 1 | 1 | −13.31 | |
| 0.37 | 500 | 10 | 6 | 1 | 1 | −28.04 | |
| [37] | 0.4 | 100 | 3 | 3 | 1 | 0 | −13.32 |
| 0.4 | 200 | 3 | 3 | 1 | 0 | −10.05 | |
| 0.4 | 300 | 3 | 3 | 1 | 0 | −24.80 | |
| 0.4 | 600 | 3 | 3 | 1 | 0 | −66.47 | |
| 0.35 | 100 | 3 | 3 | 1 | 0 | −15.04 | |
| 0.35 | 200 | 3 | 3 | 1 | 0 | −12.75 | |
| 0.35 | 300 | 3 | 3 | 1 | 0 | −23.80 | |
| 0.35 | 600 | 3 | 3 | 1 | 0 | −70.16 | |
| 0.3 | 100 | 3 | 3 | 1 | 0 | −15.52 | |
| 0.3 | 200 | 3 | 3 | 1 | 0 | −14.72 | |
| 0.3 | 300 | 3 | 3 | 1 | 0 | −30.95 | |
| 0.3 | 600 | 3 | 3 | 1 | 0 | −73.35 | |
| 0.3 | 100 | 3 | 3 | 1 | 0 | −14.52 | |
| 0.3 | 200 | 3 | 3 | 1 | 0 | −11.99 | |
| 0.3 | 300 | 3 | 3 | 1 | 0 | −27.48 | |
| 0.3 | 600 | 3 | 3 | 1 | 0 | −69.15 | |
| [38] | 0.29 | 600 | 2.5 | 0 | 1 | 0 | −52.55 |
| 0.29 | 800 | 2.5 | 0 | 1 | 0 | −74.47 | |
| 0.29 | 600 | 2.5 | 0 | 1 | 0 | −45.45 | |
| 0.29 | 800 | 2.5 | 0 | 1 | 0 | −66.67 | |
| 0.29 | 600 | 2.5 | 0 | 1 | 0 | −49.91 | |
| 0.29 | 800 | 2.5 | 0 | 1 | 0 | −75.08 | |
| 0.29 | 600 | 2.5 | 0 | 1 | 0 | −48.00 | |
| 0.29 | 800 | 2.5 | 0 | 1 | 0 | −67.63 | |
| 0.29 | 600 | 2.5 | 0 | 1 | 0 | −61.35 | |
| 0.29 | 800 | 2.5 | 0 | 1 | 0 | −81.70 | |
| 0.29 | 600 | 2.5 | 0 | 1 | 0 | −55.75 | |
| 0.29 | 800 | 2.5 | 0 | 1 | 0 | −75.53 | |
| 0.29 | 600 | 2.5 | 0 | 1 | 0 | −59.23 | |
| 0.29 | 800 | 2.5 | 0 | 1 | 0 | −82.60 | |
| 0.29 | 600 | 2.5 | 0 | 1 | 0 | −62.54 | |
| 0.29 | 800 | 2.5 | 0 | 1 | 0 | −82.87 | |
| 0.29 | 600 | 2.5 | 0 | 1 | 0 | −55.06 | |
| 0.29 | 800 | 2.5 | 0 | 1 | 0 | −79.29 | |
| 0.29 | 600 | 2.5 | 0 | 1 | 0 | −54.30 | |
| 0.29 | 800 | 2.5 | 0 | 1 | 0 | −75.18 | |
| 0.29 | 600 | 2.5 | 0 | 1 | 0 | −53.18 | |
| 0.29 | 800 | 2.5 | 0 | 1 | 0 | −71.97 | |
| 0.29 | 600 | 2.5 | 0 | 1 | 0 | −54.95 | |
| 0.29 | 800 | 2.5 | 0 | 1 | 0 | −80.99 | |
| 0.29 | 600 | 2.5 | 0 | 1 | 0 | −58.42 | |
| 0.29 | 800 | 2.5 | 0 | 1 | 0 | −82.65 | |
| 0.29 | 600 | 2.5 | 0 | 1 | 0 | −54.54 | |
| 0.29 | 800 | 2.5 | 0 | 1 | 0 | −76.78 | |
| [39] | 0.2 | 120 | 4 | 2 | 1 | 3 | 0.04 |
| 0.2 | 200 | 4 | 2 | 1 | 3 | 0.07 | |
| 0.2 | 300 | 4 | 2 | 1 | 3 | 0.14 | |
| 0.2 | 400 | 4 | 2 | 1 | 3 | 0.17 | |
| 0.2 | 500 | 4 | 2 | 1 | 3 | 0.00 | |
| 0.2 | 600 | 4 | 2 | 1 | 3 | −0.16 | |
| 0.2 | 700 | 4 | 2 | 1 | 3 | −0.44 | |
| 0.2 | 800 | 4 | 2 | 1 | 3 | −0.81 | |
| 0.2 | 900 | 4 | 2 | 1 | 3 | −0.80 | |
| 0.2 | 120 | 4 | 2 | 1 | 3 | 0.05 | |
| 0.2 | 200 | 4 | 2 | 1 | 3 | 0.06 | |
| 0.2 | 300 | 4 | 2 | 1 | 3 | 0.12 | |
| 0.2 | 400 | 4 | 2 | 1 | 3 | 0.15 | |
| 0.2 | 500 | 4 | 2 | 1 | 3 | 0.01 | |
| 0.2 | 600 | 4 | 2 | 1 | 3 | −0.20 | |
| 0.2 | 700 | 4 | 2 | 1 | 3 | −0.41 | |
| 0.2 | 800 | 4 | 2 | 1 | 3 | −0.72 | |
| 0.2 | 900 | 4 | 2 | 1 | 3 | −0.69 | |
| 0.2 | 120 | 4 | 2 | 1 | 3 | 0.06 | |
| 0.2 | 200 | 4 | 2 | 1 | 3 | 0.08 | |
| 0.2 | 300 | 4 | 2 | 1 | 3 | 0.13 | |
| 0.2 | 400 | 4 | 2 | 1 | 3 | 0.16 | |
| 0.2 | 500 | 4 | 2 | 1 | 3 | 0.09 | |
| 0.2 | 600 | 4 | 2 | 1 | 3 | −0.15 | |
| 0.2 | 700 | 4 | 2 | 1 | 3 | −0.40 | |
| 0.2 | 800 | 4 | 2 | 1 | 3 | −0.72 | |
| 0.2 | 900 | 4 | 2 | 1 | 3 | −0.68 | |
| [40] | 0.28 | 200 | 5 | 0 | 0 | 0 | −30.95 |
| 0.28 | 400 | 5 | 0 | 0 | 0 | −36.11 | |
| 0.41 | 200 | 5 | 0 | 0 | 0 | −11.29 | |
| 0.41 | 400 | 5 | 0 | 0 | 0 | −9.57 | |
| 0.41 | 200 | 5 | 0 | 0 | 0 | −9.23 | |
| 0.41 | 400 | 5 | 0 | 0 | 0 | −4.62 | |
| 0.41 | 600 | 5 | 0 | 0 | 0 | −33.46 | |
| 0.41 | 800 | 5 | 0 | 0 | 0 | −68.65 | |
| 0.64 | 200 | 5 | 0 | 0 | 0 | −10.41 | |
| 0.64 | 400 | 5 | 0 | 0 | 0 | −19.46 | |
| 0.64 | 600 | 5 | 0 | 0 | 0 | −35.75 | |
| 0.64 | 800 | 5 | 0 | 0 | 0 | −70.14 | |
| 0.64 | 200 | 5 | 0 | 0 | 0 | −16.97 | |
| 0.64 | 400 | 5 | 0 | 0 | 0 | −49.54 | |
| 0.64 | 600 | 5 | 0 | 0 | 0 | −66.51 | |
| 0.64 | 800 | 5 | 0 | 0 | 0 | −76.15 | |
| [41] | 0.34 | 100 | 10 | 3 | 1 | 0 | 2.54 |
| 0.34 | 200 | 9.09 | 3 | 1 | 0 | −11.38 | |
| 0.34 | 300 | 10.89 | 3 | 1 | 0 | −5.84 | |
| 0.34 | 400 | 8.7 | 3 | 1 | 0 | −14.82 | |
| 0.34 | 500 | 9.09 | 3 | 1 | 0 | −23.80 | |
| 0.34 | 600 | 8.82 | 3 | 1 | 0 | −40.42 | |
| 0.34 | 700 | 8.92 | 3 | 1 | 0 | −51.65 | |
| 0.34 | 800 | 8.73 | 3 | 1 | 0 | −67.81 | |
| 0.34 | 900 | 8.91 | 3 | 1 | 0 | −83.83 | |
| 0.3 | 100 | 10 | 3 | 1 | 0 | 10.74 | |
| 0.3 | 200 | 9.09 | 3 | 1 | 0 | −1.67 | |
| 0.3 | 300 | 10.89 | 3 | 1 | 0 | 8.95 | |
| 0.3 | 400 | 8.7 | 3 | 1 | 0 | −7.40 | |
| 0.3 | 600 | 8.82 | 3 | 1 | 0 | −52.03 | |
| 0.3 | 800 | 8.73 | 3 | 1 | 0 | −63.60 | |
| 0.3 | 900 | 8.91 | 3 | 1 | 0 | −76.37 | |
| 0.25 | 100 | 10 | 3 | 1 | 0 | −6.34 | |
| 0.25 | 200 | 9.09 | 3 | 1 | 0 | −9.09 | |
| 0.25 | 300 | 10.89 | 3 | 1 | 0 | −11.85 | |
| 0.25 | 400 | 8.7 | 3 | 1 | 0 | −9.09 | |
| 0.25 | 500 | 9.09 | 3 | 1 | 0 | −30.67 | |
| 0.25 | 600 | 8.82 | 3 | 1 | 0 | −41.23 | |
| 0.25 | 700 | 8.92 | 3 | 1 | 0 | −56.38 | |
| 0.34 | 100 | 10 | 3 | 1 | 0 | −0.15 | |
| 0.34 | 200 | 9.09 | 3 | 1 | 0 | −2.26 | |
| 0.34 | 300 | 10.89 | 3 | 1 | 0 | 3.77 | |
| 0.34 | 400 | 8.7 | 3 | 1 | 0 | −15.51 | |
| 0.34 | 500 | 9.09 | 3 | 1 | 0 | −22.59 | |
| 0.34 | 600 | 8.82 | 3 | 1 | 0 | −39.61 | |
| 0.34 | 700 | 8.92 | 3 | 1 | 0 | −50.75 | |
| 0.34 | 800 | 8.73 | 3 | 1 | 0 | −72.44 | |
| 0.34 | 900 | 8.91 | 3 | 1 | 0 | −81.33 | |
| 0.3 | 100 | 10 | 3 | 1 | 0 | 6.99 | |
| 0.3 | 200 | 9.09 | 3 | 1 | 0 | 10.29 | |
| 0.3 | 300 | 10.89 | 3 | 1 | 0 | 3.96 | |
| 0.3 | 400 | 8.7 | 3 | 1 | 0 | −4.88 | |
| 0.3 | 500 | 9.09 | 3 | 1 | 0 | −21.77 | |
| 0.3 | 600 | 8.82 | 3 | 1 | 0 | −22.96 | |
| 0.3 | 700 | 8.92 | 3 | 1 | 0 | −33.51 | |
| 0.3 | 800 | 8.73 | 3 | 1 | 0 | −61.48 | |
| 0.3 | 900 | 8.91 | 3 | 1 | 0 | −71.24 | |
| 0.25 | 100 | 10 | 3 | 1 | 0 | 0.10 | |
| 0.25 | 200 | 9.09 | 3 | 1 | 0 | −7.86 | |
| 0.25 | 300 | 10.89 | 3 | 1 | 0 | −3.49 | |
| 0.25 | 400 | 8.7 | 3 | 1 | 0 | −0.29 | |
| 0.25 | 500 | 9.09 | 3 | 1 | 0 | −31.81 | |
| 0.25 | 600 | 8.82 | 3 | 1 | 0 | −46.56 | |
| 0.25 | 700 | 8.92 | 3 | 1 | 0 | −64.79 | |
| 0.25 | 800 | 8.73 | 3 | 1 | 0 | −74.01 | |
| 0.25 | 900 | 8.91 | 3 | 1 | 0 | −80.60 | |
| [42] | 0.5 | 400 | 2.5 | 3 | 1 | 7 | −1.77 |
| 0.5 | 600 | 2.5 | 3 | 1 | 7 | −23.92 | |
| 0.5 | 800 | 2.5 | 3 | 1 | 7 | −69.93 | |
| 0.5 | 400 | 2.5 | 3 | 1 | 7 | 2.85 | |
| 0.5 | 600 | 2.5 | 3 | 1 | 7 | −11.71 | |
| 0.5 | 800 | 2.5 | 3 | 1 | 7 | −66.18 | |
| 0.5 | 400 | 2.5 | 3 | 1 | 7 | 17.12 | |
| 0.5 | 600 | 2.5 | 3 | 1 | 7 | −5.30 | |
| 0.5 | 800 | 2.5 | 3 | 1 | 7 | −57.75 | |
| 0.5 | 400 | 2.5 | 3 | 1 | 7 | 7.84 | |
| 0.5 | 600 | 2.5 | 3 | 1 | 7 | −4.73 | |
| 0.5 | 800 | 2.5 | 3 | 1 | 7 | −55.76 | |
| 0.5 | 400 | 2.5 | 3 | 1 | 7 | 12.74 | |
| 0.5 | 600 | 2.5 | 3 | 1 | 7 | −5.75 | |
| 0.5 | 800 | 2.5 | 3 | 1 | 7 | −63.26 | |
| 0.5 | 400 | 2.5 | 3 | 1 | 7 | 20.40 | |
| 0.5 | 600 | 2.5 | 3 | 1 | 7 | −26.41 | |
| 0.5 | 800 | 2.5 | 3 | 1 | 7 | −76.98 | |
| 0.5 | 400 | 2.5 | 3 | 1 | 7 | 4.62 | |
| 0.5 | 600 | 2.5 | 3 | 1 | 7 | −19.48 | |
| 0.5 | 800 | 2.5 | 3 | 1 | 7 | −75.39 | |
| 0.5 | 400 | 2.5 | 3 | 1 | 7 | 2.86 | |
| 0.5 | 600 | 2.5 | 3 | 1 | 7 | −19.80 | |
| 0.5 | 800 | 2.5 | 3 | 1 | 7 | −77.81 | |
| 0.5 | 400 | 2.5 | 3 | 1 | 7 | 3.29 | |
| 0.5 | 600 | 2.5 | 3 | 1 | 7 | −25.48 | |
| 0.5 | 800 | 2.5 | 3 | 1 | 7 | −77.02 | |
| [43] | 0.53 | 50 | 16 | 3 | 0 | 0 | 9.06 |
| 0.53 | 100 | 16 | 3 | 0 | 0 | −3.92 | |
| 0.53 | 150 | 16 | 3 | 0 | 0 | −5.34 | |
| 0.53 | 200 | 16 | 3 | 0 | 0 | −23.00 | |
| 0.53 | 250 | 16 | 3 | 0 | 0 | −26.59 | |
| 0.53 | 300 | 16 | 3 | 0 | 0 | −30.54 | |
| 0.53 | 350 | 16 | 3 | 0 | 0 | −26.90 | |
| 0.53 | 400 | 16 | 3 | 0 | 0 | −57.57 | |
| 0.53 | 450 | 16 | 3 | 0 | 0 | −47.44 | |
| 0.53 | 500 | 16 | 3 | 0 | 0 | −55.71 | |
| 0.53 | 600 | 16 | 3 | 0 | 0 | −59.28 | |
| 0.53 | 700 | 16 | 3 | 0 | 0 | −67.17 | |
| 0.53 | 50 | 16 | 3 | 1 | 0 | 13.39 | |
| 0.53 | 100 | 16 | 3 | 1 | 0 | 20.27 | |
| 0.53 | 150 | 16 | 3 | 1 | 0 | −1.01 | |
| 0.53 | 200 | 16 | 3 | 1 | 0 | −16.14 | |
| 0.53 | 250 | 16 | 3 | 1 | 0 | −19.01 | |
| 0.53 | 300 | 16 | 3 | 1 | 0 | −23.68 | |
| 0.53 | 350 | 16 | 3 | 1 | 0 | −18.60 | |
| 0.53 | 400 | 16 | 3 | 1 | 0 | −30.49 | |
| 0.53 | 450 | 16 | 3 | 1 | 0 | −33.71 | |
| 0.53 | 500 | 16 | 3 | 1 | 0 | −48.13 | |
| 0.53 | 600 | 16 | 3 | 1 | 0 | −49.89 | |
| 0.53 | 700 | 16 | 3 | 1 | 0 | −61.39 | |
| 0.53 | 50 | 16 | 3 | 0 | 0 | −6.01 | |
| 0.53 | 100 | 16 | 3 | 0 | 0 | −13.34 | |
| 0.53 | 150 | 16 | 3 | 0 | 0 | −18.00 | |
| 0.53 | 200 | 16 | 3 | 0 | 0 | −20.66 | |
| 0.53 | 250 | 16 | 3 | 0 | 0 | −32.67 | |
| 0.53 | 300 | 16 | 3 | 0 | 0 | −21.27 | |
| 0.53 | 350 | 16 | 3 | 0 | 0 | −29.95 | |
| 0.53 | 400 | 16 | 3 | 0 | 0 | −42.63 | |
| 0.53 | 450 | 16 | 3 | 0 | 0 | −37.92 | |
| 0.53 | 500 | 16 | 3 | 0 | 0 | −45.59 | |
| 0.53 | 600 | 16 | 3 | 0 | 0 | −62.93 | |
| 0.53 | 700 | 16 | 3 | 0 | 0 | −68.23 | |
| 0.53 | 50 | 16 | 3 | 1 | 0 | −4.01 | |
| 0.53 | 100 | 16 | 3 | 1 | 0 | −9.33 | |
| 0.53 | 150 | 16 | 3 | 1 | 0 | −8.64 | |
| 0.53 | 200 | 16 | 3 | 1 | 0 | −17.98 | |
| 0.53 | 250 | 16 | 3 | 1 | 0 | −19.96 | |
| 0.53 | 300 | 16 | 3 | 1 | 0 | −16.26 | |
| 0.53 | 350 | 16 | 3 | 1 | 0 | −19.24 | |
| 0.53 | 400 | 16 | 3 | 1 | 0 | −20.56 | |
| 0.53 | 450 | 16 | 3 | 1 | 0 | −23.54 | |
| 0.53 | 500 | 16 | 3 | 1 | 0 | −31.88 | |
| 0.53 | 600 | 16 | 3 | 1 | 0 | −42.87 | |
| 0.53 | 700 | 16 | 3 | 1 | 0 | −54.52 | |
| [44] | 0.43 | 100 | 1 | 0 | 1 | 0 | −4.72 |
| 0.43 | 200 | 1 | 0 | 1 | 0 | −25.65 | |
| 0.43 | 400 | 1 | 0 | 1 | 0 | −28.44 | |
| 0.43 | 600 | 1 | 0 | 1 | 0 | −35.62 | |
| 0.43 | 800 | 1 | 0 | 1 | 0 | −56.00 | |
| 0.43 | 100 | 1 | 0 | 1 | 0 | −13.26 | |
| 0.43 | 200 | 1 | 0 | 1 | 0 | −20.74 | |
| 0.43 | 400 | 1 | 0 | 1 | 0 | −20.93 | |
| 0.43 | 600 | 1 | 0 | 1 | 0 | −33.55 | |
| 0.43 | 800 | 1 | 0 | 1 | 0 | −70.24 | |
| 0.43 | 100 | 1 | 0 | 1 | 0 | 1.75 | |
| 0.43 | 200 | 1 | 0 | 1 | 0 | −15.82 | |
| 0.43 | 400 | 1 | 0 | 1 | 0 | −15.24 | |
| 0.43 | 600 | 1 | 0 | 1 | 0 | −32.51 | |
| 0.43 | 800 | 1 | 0 | 1 | 0 | −69.72 | |
| [45] | 0.3 | 200 | 5.5 | 0 | 1 | 0 | −7.41 |
| 0.3 | 400 | 5.5 | 0 | 1 | 0 | −12.12 | |
| 0.3 | 600 | 5.5 | 0 | 1 | 0 | −26.94 | |
| 0.3 | 800 | 5.5 | 0 | 1 | 0 | −46.97 | |
| 0.3 | 1000 | 5.5 | 0 | 1 | 0 | −89.06 | |
| 0.3 | 200 | 5.5 | 0 | 0 | 0 | −27.27 | |
| 0.3 | 400 | 5.5 | 0 | 0 | 0 | −29.12 | |
| 0.3 | 600 | 5.5 | 0 | 0 | 0 | −43.43 | |
| 0.5 | 200 | 6.67 | 0 | 1 | 0 | −31.84 | |
| 0.5 | 400 | 6.67 | 0 | 1 | 0 | −23.15 | |
| 0.5 | 600 | 6.67 | 0 | 1 | 0 | −26.09 | |
| 0.5 | 800 | 6.67 | 0 | 1 | 0 | −51.47 | |
| 0.5 | 1000 | 6.67 | 0 | 1 | 0 | −75.32 | |
| 0.5 | 200 | 6.67 | 0 | 0 | 0 | −32.90 | |
| 0.5 | 400 | 6.67 | 0 | 0 | 0 | −29.38 | |
| 0.5 | 600 | 6.67 | 0 | 0 | 0 | −33.96 | |
| 0.5 | 800 | 6.67 | 0 | 0 | 0 | −55.82 | |
| [46] | 0.43 | 110 | 0.1 | 0.5 | 1 | 0 | −0.82 |
| 0.43 | 210 | 0.1 | 0.5 | 1 | 0 | −7.01 | |
| 0.43 | 310 | 0.1 | 0.5 | 1 | 0 | −34.65 | |
| [47] | 0.5 | 200 | 10 | 2 | 1 | 0 | −16.93 |
| 0.5 | 200 | 10 | 4 | 1 | 0 | −27.46 | |
| 0.5 | 200 | 10 | 6 | 1 | 0 | −34.93 | |
| 0.5 | 400 | 10 | 2 | 1 | 0 | −18.43 | |
| 0.5 | 400 | 10 | 4 | 1 | 0 | −27.09 | |
| 0.5 | 400 | 10 | 6 | 1 | 0 | −33.84 | |
| 0.5 | 600 | 10 | 2 | 1 | 0 | −35.75 | |
| 0.5 | 600 | 10 | 4 | 1 | 0 | −38.31 | |
| 0.5 | 600 | 10 | 6 | 1 | 0 | −41.34 | |
| 0.5 | 200 | 10 | 2 | 1 | 0 | −16.08 | |
| 0.5 | 200 | 10 | 4 | 1 | 0 | −16.08 | |
| 0.5 | 200 | 10 | 6 | 1 | 0 | −8.08 | |
| 0.5 | 400 | 10 | 2 | 1 | 0 | −9.86 | |
| 0.5 | 400 | 10 | 4 | 1 | 0 | −13.11 | |
| 0.5 | 400 | 10 | 6 | 1 | 0 | −17.52 | |
| 0.5 | 600 | 10 | 2 | 1 | 0 | −15.78 | |
| 0.5 | 600 | 10 | 4 | 1 | 0 | −20.41 | |
| 0.5 | 600 | 10 | 6 | 1 | 0 | −19.03 | |
| 0.5 | 200 | 10 | 2 | 1 | 0 | −25.15 | |
| 0.5 | 200 | 10 | 4 | 1 | 0 | −31.57 | |
| 0.5 | 200 | 10 | 6 | 1 | 0 | −28.94 | |
| 0.5 | 400 | 10 | 2 | 1 | 0 | −20.57 | |
| 0.5 | 400 | 10 | 4 | 1 | 0 | −25.76 | |
| 0.5 | 400 | 10 | 6 | 1 | 0 | −34.81 | |
| 0.5 | 600 | 10 | 2 | 1 | 0 | −36.31 | |
| 0.5 | 600 | 10 | 4 | 1 | 0 | −41.71 | |
| 0.5 | 600 | 10 | 6 | 1 | 0 | 43.26 | |
| [48] | 0.5 | 200 | 16.98 | 0 | 1 | 0 | 20.74 |
| 0.5 | 400 | 15.75 | 0 | 1 | 0 | −13.41 | |
| 0.5 | 600 | 12.7 | 0 | 1 | 0 | −45.12 | |
| 0.5 | 800 | 11.28 | 0 | 1 | 0 | −70.73 | |
| 0.5 | 200 | 16.98 | 0 | 0 | 0 | −1.62 | |
| 0.5 | 400 | 15.75 | 0 | 0 | 0 | −27.64 | |
| 0.5 | 600 | 12.7 | 0 | 0 | 0 | −59.35 | |
| 0.5 | 800 | 11.28 | 0 | 0 | 0 | −70.32 | |
| 0.5 | 200 | 16.98 | 0 | 0 | 0 | −13.00 | |
| 0.5 | 400 | 15.75 | 0 | 0 | 0 | −40.65 | |
| 0.5 | 600 | 12.7 | 0 | 0 | 0 | −69.51 | |
| 0.5 | 800 | 11.28 | 0 | 0 | 0 | −85.37 | |
| 0.5 | 200 | 16.98 | 0 | 0 | 0 | −15.04 | |
| 0.5 | 400 | 15.75 | 0 | 0 | 0 | −45.53 | |
| 0.5 | 600 | 12.7 | 0 | 0 | 0 | −67.07 | |
| 0.5 | 800 | 11.28 | 0 | 0 | 0 | −80.89 | |
| 0.5 | 200 | 16.98 | 0 | 0 | 0 | −12.19 | |
| 0.5 | 400 | 15.75 | 0 | 0 | 0 | −33.74 | |
| 0.5 | 600 | 12.7 | 0 | 0 | 0 | −66.26 | |
| 0.5 | 800 | 11.28 | 0 | 0 | 0 | −82.11 | |
| 0.5 | 200 | 16.98 | 0 | 1 | 0 | 8.12 | |
| 0.5 | 400 | 15.75 | 0 | 1 | 0 | −21.40 | |
| 0.5 | 600 | 12.7 | 0 | 1 | 0 | −47.97 | |
| 0.5 | 800 | 11.28 | 0 | 1 | 0 | −72.32 | |
| 0.5 | 200 | 16.98 | 0 | 0 | 0 | 6.64 | |
| 0.5 | 400 | 15.75 | 0 | 0 | 0 | −27.31 | |
| 0.5 | 600 | 12.7 | 0 | 0 | 0 | −53.87 | |
| 0.5 | 800 | 11.28 | 0 | 0 | 0 | −67.53 | |
| 0.5 | 200 | 16.98 | 0 | 0 | 0 | −8.49 | |
| 0.5 | 400 | 15.75 | 0 | 0 | 0 | −42.07 | |
| 0.5 | 600 | 12.7 | 0 | 0 | 0 | −64.21 | |
| 0.5 | 800 | 11.28 | 0 | 0 | 0 | −92.99 | |
| 0.5 | 200 | 16.98 | 0 | 0 | 0 | −10.33 | |
| 0.5 | 400 | 15.75 | 0 | 0 | 0 | −41.33 | |
| 0.5 | 600 | 12.7 | 0 | 0 | 0 | −62.73 | |
| 0.5 | 200 | 16.98 | 0 | 0 | 0 | −6.64 | |
| 0.5 | 400 | 15.75 | 0 | 0 | 0 | −34.32 | |
| 0.5 | 600 | 12.7 | 0 | 0 | 0 | −61.62 | |
| 0.5 | 200 | 16.98 | 0 | 1 | 0 | 9.95 | |
| 0.5 | 400 | 15.75 | 0 | 1 | 0 | −10.38 | |
| 0.5 | 600 | 12.7 | 0 | 1 | 0 | −47.88 | |
| 0.5 | 800 | 11.28 | 0 | 1 | 0 | −84.65 | |
| 0.5 | 200 | 16.98 | 0 | 0 | 0 | 7.10 | |
| 0.5 | 400 | 15.75 | 0 | 0 | 0 | −24.68 | |
| 0.5 | 600 | 12.7 | 0 | 0 | 0 | −60.01 | |
| 0.5 | 800 | 11.28 | 0 | 0 | 0 | −87.14 | |
| 0.5 | 200 | 16.98 | 0 | 0 | 0 | −11.46 | |
| 0.5 | 400 | 15.75 | 0 | 0 | 0 | −34.31 | |
| 0.5 | 600 | 12.7 | 0 | 0 | 0 | −69.66 | |
| 0.5 | 800 | 11.28 | 0 | 0 | 0 | −92.49 | |
| 0.5 | 200 | 16.98 | 0 | 0 | 0 | −13.60 | |
| 0.5 | 400 | 15.75 | 0 | 0 | 0 | −37.16 | |
| 0.5 | 600 | 12.7 | 0 | 0 | 0 | −67.15 | |
| 0.5 | 200 | 16.98 | 0 | 0 | 0 | −8.60 | |
| 0.5 | 400 | 15.75 | 0 | 0 | 0 | −35.37 | |
| 0.5 | 600 | 12.7 | 0 | 0 | 0 | −63.58 | |
| 0.5 | 200 | 16.98 | 0 | 1 | 0 | 31.91 | |
| 0.5 | 400 | 15.75 | 0 | 1 | 0 | −7.44 | |
| 0.5 | 600 | 12.7 | 0 | 1 | 0 | −38.87 | |
| 0.5 | 800 | 11.28 | 0 | 1 | 0 | −74.27 | |
| 0.5 | 200 | 16.98 | 0 | 0 | 0 | 3.20 | |
| 0.5 | 400 | 15.75 | 0 | 0 | 0 | −13.39 | |
| 0.5 | 600 | 12.7 | 0 | 0 | 0 | −48.78 | |
| 0.5 | 800 | 11.28 | 0 | 0 | 0 | −75.75 | |
| 0.5 | 200 | 16.98 | 0 | 0 | 0 | −7.20 | |
| 0.5 | 400 | 15.75 | 0 | 0 | 0 | −32.19 | |
| 0.5 | 600 | 12.7 | 0 | 0 | 0 | −64.61 | |
| 0.5 | 800 | 11.28 | 0 | 0 | 0 | −86.64 | |
| 0.5 | 200 | 16.98 | 0 | 0 | 0 | −4.72 | |
| 0.5 | 400 | 15.75 | 0 | 0 | 0 | −28.23 | |
| 0.5 | 600 | 12.7 | 0 | 0 | 0 | −60.65 | |
| 0.5 | 800 | 11.28 | 0 | 0 | 0 | −85.16 | |
| 0.5 | 200 | 16.98 | 0 | 0 | 0 | −2.74 | |
| 0.5 | 400 | 15.75 | 0 | 0 | 0 | −21.80 | |
| 0.5 | 600 | 12.7 | 0 | 0 | 0 | −51.75 | |
| 0.5 | 800 | 11.28 | 0 | 0 | 0 | −84.17 | |
| 0.5 | 200 | 16.98 | 0 | 1 | 0 | 8.03 | |
| 0.5 | 400 | 15.75 | 0 | 1 | 0 | −23.89 | |
| 0.5 | 600 | 12.7 | 0 | 1 | 0 | −47.18 | |
| 0.5 | 800 | 11.28 | 0 | 1 | 0 | −75.93 | |
| 0.5 | 200 | 16.98 | 0 | 0 | 0 | −6.06 | |
| 0.5 | 400 | 15.75 | 0 | 0 | 0 | −42.98 | |
| 0.5 | 600 | 12.7 | 0 | 0 | 0 | −60.82 | |
| 0.5 | 800 | 11.28 | 0 | 0 | 0 | −78.65 | |
| 0.5 | 200 | 16.98 | 0 | 0 | 0 | −12.87 | |
| 0.5 | 400 | 15.75 | 0 | 0 | 0 | −54.80 | |
| 0.5 | 600 | 12.7 | 0 | 0 | 0 | −71.27 | |
| 0.5 | 800 | 11.28 | 0 | 0 | 0 | −88.65 | |
| 0.5 | 200 | 16.98 | 0 | 0 | 0 | −9.69 | |
| 0.5 | 400 | 15.75 | 0 | 0 | 0 | −49.80 | |
| 0.5 | 600 | 12.7 | 0 | 0 | 0 | −67.63 | |
| 0.5 | 800 | 11.28 | 0 | 0 | 0 | −85.01 | |
| 0.5 | 200 | 16.98 | 0 | 0 | 0 | −7.87 | |
| 0.5 | 400 | 15.75 | 0 | 0 | 0 | −46.62 | |
| 0.5 | 600 | 12.7 | 0 | 0 | 0 | −64.91 | |
| 0.5 | 800 | 11.28 | 0 | 0 | 0 | −85.93 | |
| [49] | 0.5 | 200 | 20 | 2 | 1 | 0.08 | 7.58 |
| 0.5 | 300 | 20 | 2 | 1 | 0.08 | −0.26 | |
| 0.5 | 400 | 20 | 2 | 1 | 0.08 | −3.18 | |
| 0.5 | 500 | 20 | 2 | 1 | 0.08 | −5.45 | |
| 0.5 | 600 | 20 | 2 | 1 | 0.08 | −8.70 | |
| 0.5 | 700 | 20 | 2 | 1 | 0.08 | −25.06 | |
| 0.5 | 800 | 20 | 2 | 1 | 0.08 | −71.92 | |
| 0.5 | 1000 | 20 | 2 | 1 | 0.08 | −86.94 | |
| 0.5 | 1200 | 20 | 2 | 1 | 0.08 | −93.12 | |
| 0.6 | 200 | 20 | 2 | 1 | 0.08 | −2.25 | |
| 0.6 | 400 | 20 | 2 | 1 | 0.08 | −0.56 | |
| 0.6 | 600 | 20 | 2 | 1 | 0.08 | −12.96 | |
| 0.6 | 700 | 20 | 2 | 1 | 0.08 | −27.69 | |
| 0.6 | 800 | 20 | 2 | 1 | 0.08 | −62.41 | |
| 0.6 | 1000 | 20 | 2 | 1 | 0.08 | −85.30 | |
| 0.6 | 1200 | 20 | 2 | 1 | 0.08 | −92.13 | |
| 0.4 | 200 | 20 | 2 | 1 | 0.08 | −4.87 | |
| 0.4 | 400 | 20 | 2 | 1 | 0.08 | −15.97 | |
| 0.4 | 600 | 20 | 2 | 1 | 0.08 | −25.12 | |
| 0.4 | 700 | 20 | 2 | 1 | 0.08 | −49.68 | |
| 0.4 | 800 | 20 | 2 | 1 | 0.08 | −78.81 | |
| 0.4 | 1000 | 20 | 2 | 1 | 0.08 | −89.26 | |
| 0.4 | 1200 | 20 | 2 | 1 | 0.08 | −98.03 | |
| 0.5 | 200 | 20 | 2 | 1 | 0.08 | −0.61 | |
| 0.5 | 400 | 20 | 2 | 1 | 0.08 | −27.77 | |
| 0.5 | 500 | 20 | 2 | 1 | 0.08 | −34.62 | |
| 0.5 | 600 | 20 | 2 | 1 | 0.08 | −56.89 | |
| 0.5 | 700 | 20 | 2 | 1 | 0.08 | −66.69 | |
| 0.5 | 900 | 20 | 2 | 1 | 0.08 | −83.69 | |
| 0.5 | 1200 | 20 | 2 | 1 | 0.08 | −98.69 | |
| [50] | 0.41 | 150 | 5 | 5 | 1 | 0 | −18.56 |
| 0.41 | 300 | 5 | 5 | 1 | 0 | −24.08 | |
| 0.41 | 400 | 5 | 5 | 1 | 0 | −35.49 | |
| 0.41 | 500 | 5 | 5 | 1 | 0 | −39.87 | |
| 0.41 | 600 | 5 | 5 | 1 | 0 | −60.80 | |
| 0.41 | 700 | 5 | 5 | 1 | 0 | −75.40 | |
| 0.41 | 150 | 5 | 5 | 1 | 0 | −17.85 | |
| 0.41 | 300 | 5 | 5 | 1 | 0 | −24.73 | |
| 0.41 | 400 | 5 | 5 | 1 | 0 | −34.56 | |
| 0.41 | 500 | 5 | 5 | 1 | 0 | −37.13 | |
| 0.41 | 600 | 5 | 5 | 1 | 0 | −61.01 | |
| 0.41 | 700 | 5 | 5 | 1 | 0 | −73.10 | |
| 0.41 | 150 | 5 | 5 | 1 | 0 | −18.27 | |
| 0.41 | 300 | 5 | 5 | 1 | 0 | −24.47 | |
| 0.41 | 400 | 5 | 5 | 1 | 0 | −36.56 | |
| 0.41 | 500 | 5 | 5 | 1 | 0 | −55.23 | |
| 0.41 | 600 | 5 | 5 | 1 | 0 | −66.19 | |
| 0.41 | 700 | 5 | 5 | 1 | 0 | −75.55 | |
| 0.41 | 150 | 5 | 5 | 1 | 0 | −18.70 | |
| 0.41 | 300 | 5 | 5 | 1 | 0 | −32.15 | |
| 0.41 | 400 | 5 | 5 | 1 | 0 | −49.91 | |
| 0.41 | 500 | 5 | 5 | 1 | 0 | −58.15 | |
| 0.41 | 600 | 5 | 5 | 1 | 0 | −66.16 | |
| 0.41 | 700 | 5 | 5 | 1 | 0 | −77.80 | |
| [51] | 0.4 | 100 | 3 | 3 | 1 | 0 | −13.70 |
| 0.4 | 200 | 3 | 3 | 1 | 0 | −10.20 | |
| 0.4 | 300 | 3 | 3 | 1 | 0 | −24.70 | |
| 0.4 | 600 | 3 | 3 | 1 | 0 | −66.60 | |
| 0.35 | 100 | 3 | 3 | 1 | 0 | −15.00 | |
| 0.35 | 200 | 3 | 3 | 1 | 0 | −12.50 | |
| 0.35 | 300 | 3 | 3 | 1 | 0 | −23.50 | |
| 0.35 | 600 | 3 | 3 | 1 | 0 | −70.50 | |
| 0.3 | 100 | 3 | 3 | 1 | 0 | −14.60 | |
| 0.3 | 200 | 3 | 3 | 1 | 0 | 11.40 | |
| 0.3 | 300 | 3 | 3 | 1 | 0 | −27.30 | |
| 0.3 | 600 | 3 | 3 | 1 | 0 | −68.80 | |
| 0.3 | 100 | 3 | 3 | 1 | 0 | −15.30 | |
| 0.3 | 200 | 3 | 3 | 1 | 0 | −14.10 | |
| 0.3 | 300 | 3 | 3 | 1 | 0 | −29.60 | |
| 0.3 | 600 | 3 | 3 | 1 | 0 | −70.90 | |
| 0.3 | 100 | 3 | 3 | 1 | 0 | −15.90 | |
| 0.3 | 200 | 3 | 3 | 1 | 0 | −14.80 | |
| 0.3 | 300 | 3 | 3 | 1 | 0 | −31.30 | |
| 0.3 | 600 | 3 | 3 | 1 | 0 | −73.20 | |
| [52] | 0.42 | 105 | 3 | 16 | 1 | 0 | −17.71 |
| 0.42 | 150 | 3 | 4 | 1 | 0 | −14.07 | |
| 0.42 | 150 | 3 | 8 | 1 | 0 | −9.83 | |
| 0.42 | 150 | 3 | 16 | 1 | 0 | −7.71 | |
| 0.42 | 200 | 3 | 4 | 1 | 0 | −0.54 | |
| 0.42 | 200 | 3 | 8 | 1 | 0 | −3.16 | |
| 0.42 | 200 | 3 | 16 | 1 | 0 | −5.05 | |
| 0.42 | 250 | 3 | 4 | 1 | 0 | −1.28 | |
| 0.42 | 250 | 3 | 8 | 1 | 0 | −4.25 | |
| 0.42 | 250 | 3 | 16 | 1 | 0 | −6.29 | |
| 0.42 | 300 | 3 | 4 | 1 | 0 | −4.06 | |
| 0.42 | 300 | 3 | 8 | 1 | 0 | −7.13 | |
| 0.42 | 300 | 3 | 16 | 1 | 0 | −9.21 | |
| 0.42 | 350 | 3 | 4 | 1 | 0 | −7.34 | |
| 0.42 | 350 | 3 | 8 | 1 | 0 | −10.38 | |
| 0.42 | 350 | 3 | 16 | 1 | 0 | −12.33 | |
| 0.42 | 400 | 3 | 4 | 1 | 0 | −11.56 | |
| 0.42 | 400 | 3 | 8 | 1 | 0 | −14.15 | |
| 0.42 | 400 | 3 | 16 | 1 | 0 | −15.86 | |
| 0.42 | 450 | 3 | 4 | 1 | 0 | −16.00 | |
| 0.42 | 450 | 3 | 8 | 1 | 0 | −18.37 | |
| 0.42 | 450 | 3 | 16 | 1 | 0 | −19.86 | |
| [53] | 0.54 | 100 | 15.6 | 0 | 1 | 0 | −3.65 |
| 0.54 | 300 | 15.6 | 0 | 1 | 0 | −21.40 | |
| 0.54 | 500 | 15.6 | 0 | 1 | 0 | −29.07 | |
| 0.54 | 800 | 15.6 | 0 | 1 | 0 | −37.90 | |
| 0.54 | 100 | 15.6 | 0 | 1 | 0 | −5.37 | |
| 0.54 | 300 | 15.6 | 0 | 1 | 0 | −22.55 | |
| 0.54 | 500 | 15.6 | 0 | 1 | 0 | −36.69 | |
| 0.54 | 800 | 15.6 | 0 | 1 | 0 | −50.67 | |
| 0.54 | 100 | 15.6 | 0 | 1 | 0 | −8.42 | |
| 0.54 | 300 | 15.6 | 0 | 1 | 0 | −23.88 | |
| 0.54 | 500 | 15.6 | 0 | 1 | 0 | −37.07 | |
| 0.54 | 800 | 15.6 | 0 | 1 | 0 | −55.24 | |
| 0.54 | 100 | 15.6 | 0 | 1 | 0 | −9.94 | |
| 0.54 | 300 | 15.6 | 0 | 1 | 0 | −23.88 | |
| 0.54 | 500 | 15.6 | 0 | 1 | 0 | −38.21 | |
| 0.54 | 800 | 15.6 | 0 | 1 | 0 | −58.09 | |
| [54] | 0.25 | 200 | 6.67 | 2 | 0 | 0 | 21.61 |
| 0.25 | 400 | 6.67 | 2 | 0 | 0 | 1.26 | |
| 0.25 | 600 | 6.67 | 2 | 0 | 0 | −29.58 | |
| 0.25 | 800 | 6.67 | 2 | 0 | 0 | −70.33 | |
| 0.25 | 1000 | 6.67 | 2 | 0 | 0 | −88.92 | |
| [55] | 0.26 | 400 | 10 | 1 | 1 | 2 | −0.48 |
| 0.26 | 600 | 10 | 1 | 1 | 2 | −21.53 | |
| 0.26 | 800 | 10 | 1 | 1 | 2 | −70.56 | |
| [56] | 0.4 | 200 | 10 | 3 | 1 | 28 | 4.29 |
| 0.4 | 400 | 10 | 3 | 1 | 28 | −15.71 | |
| 0.4 | 600 | 10 | 3 | 1 | 28 | −24.29 | |
| 0.4 | 800 | 10 | 3 | 1 | 28 | −52.86 | |
| 0.4 | 1000 | 10 | 3 | 1 | 28 | −61.43 | |
| 0.4 | 200 | 10 | 3 | 0 | 28 | −1.43 | |
| 0.4 | 400 | 10 | 3 | 0 | 28 | −24.29 | |
| 0.4 | 600 | 10 | 3 | 0 | 28 | −34.29 | |
| 0.4 | 800 | 10 | 3 | 0 | 28 | −57.14 | |
| 0.4 | 1000 | 10 | 3 | 0 | 28 | −74.29 | |
| [57] | 0.62 | 150 | 1 | 0 | 1 | 0 | −2.55 |
| 0.62 | 300 | 1 | 0 | 1 | 0 | −5.71 | |
| 0.62 | 450 | 1 | 0 | 1 | 0 | −42.01 | |
| 0.62 | 600 | 1 | 0 | 1 | 0 | −90.96 | |
| 0.55 | 150 | 1 | 0 | 1 | 0 | −8.44 | |
| 0.55 | 300 | 1 | 0 | 1 | 0 | −0.76 | |
| 0.55 | 450 | 1 | 0 | 1 | 0 | −50.38 | |
| 0.55 | 600 | 1 | 0 | 1 | 0 | −83.85 | |
| 0.44 | 150 | 1 | 0 | 1 | 0 | −9.39 | |
| 0.44 | 300 | 1 | 0 | 1 | 0 | 2.45 | |
| 0.44 | 450 | 1 | 0 | 1 | 0 | −58.29 | |
| 0.44 | 600 | 1 | 0 | 1 | 0 | −87.17 | |
| 0.36 | 150 | 1 | 0 | 1 | 0 | 4.66 | |
| 0.36 | 300 | 1 | 0 | 1 | 0 | 11.67 | |
| 0.36 | 450 | 1 | 0 | 1 | 0 | −47.72 | |
| 0.36 | 600 | 1 | 0 | 1 | 0 | −84.58 | |
| 0.29 | 150 | 1 | 0 | 1 | 0 | −1.72 | |
| 0.29 | 300 | 1 | 0 | 1 | 0 | 7.41 | |
| 0.29 | 350 | 1 | 0 | 1 | 0 | 20.54 | |
| 0.29 | 600 | 1 | 0 | 1 | 0 | −84.87 | |
| [58] | 0.33 | 200 | 1 | 3 | 1 | 0 | 3.86 |
| 0.33 | 400 | 1 | 3 | 1 | 0 | −17.66 | |
| 0.33 | 600 | 1 | 3 | 1 | 0 | −49.04 | |
| 0.33 | 800 | 1 | 3 | 1 | 0 | −75.02 | |
| 0.33 | 200 | 1 | 3 | 1 | 0 | 3.21 | |
| 0.33 | 400 | 1 | 3 | 1 | 0 | −15.91 | |
| 0.33 | 600 | 1 | 3 | 1 | 0 | −49.41 | |
| 0.33 | 800 | 1 | 3 | 1 | 0 | −76.35 | |
| 0.33 | 200 | 1 | 3 | 1 | 0 | −2.29 | |
| 0.33 | 400 | 1 | 3 | 1 | 0 | −17.49 | |
| 0.33 | 600 | 1 | 3 | 1 | 0 | −53.97 | |
| 0.33 | 800 | 1 | 3 | 1 | 0 | −76.66 | |
| 0.33 | 200 | 1 | 3 | 1 | 0 | −2.18 | |
| 0.33 | 400 | 1 | 3 | 1 | 0 | −16.53 | |
| 0.33 | 600 | 1 | 3 | 1 | 0 | −54.68 | |
| 0.33 | 800 | 1 | 3 | 1 | 0 | −78.94 | |
| 0.33 | 200 | 1 | 3 | 1 | 0 | −0.53 | |
| 0.33 | 400 | 1 | 3 | 1 | 0 | −18.59 | |
| 0.33 | 600 | 1 | 3 | 1 | 0 | −57.16 | |
| 0.33 | 800 | 1 | 3 | 1 | 0 | −77.98 | |
| 0.33 | 200 | 1 | 3 | 1 | 0 | 3.58 | |
| 0.33 | 400 | 1 | 3 | 1 | 0 | −19.79 | |
| 0.33 | 600 | 1 | 3 | 1 | 0 | −57.00 | |
| 0.33 | 800 | 1 | 3 | 1 | 0 | −80.14 | |
| 0.33 | 200 | 1 | 3 | 1 | 0 | −5.91 | |
| 0.33 | 400 | 1 | 3 | 1 | 0 | −20.10 | |
| 0.33 | 600 | 1 | 3 | 1 | 0 | −54.58 | |
| 0.33 | 800 | 1 | 3 | 1 | 0 | −81.95 | |
| 0.33 | 200 | 1 | 3 | 1 | 0 | 1.91 | |
| 0.33 | 400 | 1 | 3 | 1 | 0 | −23.97 | |
| 0.33 | 600 | 1 | 3 | 1 | 0 | −50.66 | |
| 0.33 | 800 | 1 | 3 | 1 | 0 | −76.39 | |
| 0.33 | 200 | 1 | 3 | 1 | 0 | −1.37 | |
| 0.33 | 400 | 1 | 3 | 1 | 0 | −16.77 | |
| 0.33 | 600 | 1 | 3 | 1 | 0 | −52.98 | |
| 0.33 | 800 | 1 | 3 | 1 | 0 | −77.25 | |
| 0.33 | 200 | 1 | 3 | 1 | 0 | −1.61 | |
| 0.33 | 400 | 1 | 3 | 1 | 0 | −21.09 | |
| 0.33 | 600 | 1 | 3 | 1 | 0 | −48.67 | |
| 0.33 | 800 | 1 | 3 | 1 | 0 | −78.99 | |
| 0.33 | 200 | 1 | 3 | 1 | 0 | −3.44 | |
| 0.33 | 400 | 1 | 3 | 1 | 0 | −22.70 | |
| 0.33 | 600 | 1 | 3 | 1 | 0 | −51.69 | |
| 0.33 | 800 | 1 | 3 | 1 | 0 | −80.00 | |
| 0.33 | 200 | 1 | 3 | 1 | 0 | 1.10 | |
| 0.33 | 400 | 1 | 3 | 1 | 0 | −18.71 | |
| 0.33 | 600 | 1 | 3 | 1 | 0 | −49.54 | |
| 0.33 | 800 | 1 | 3 | 1 | 0 | −76.41 | |
| 0.33 | 200 | 1 | 3 | 1 | 0 | 0.17 | |
| 0.33 | 400 | 1 | 3 | 1 | 0 | −15.91 | |
| 0.33 | 600 | 1 | 3 | 1 | 0 | −48.17 | |
| 0.33 | 800 | 1 | 3 | 1 | 0 | −75.55 | |
| 0.33 | 200 | 1 | 3 | 1 | 0 | 3.66 | |
| 0.33 | 400 | 1 | 3 | 1 | 0 | −18.71 | |
| 0.33 | 600 | 1 | 3 | 1 | 0 | −47.05 | |
| 0.33 | 800 | 1 | 3 | 1 | 0 | −77.40 | |
| 0.33 | 200 | 1 | 3 | 1 | 0 | −4.54 | |
| 0.33 | 400 | 1 | 3 | 1 | 0 | −21.01 | |
| 0.33 | 600 | 1 | 3 | 1 | 0 | −50.58 | |
| 0.33 | 800 | 1 | 3 | 1 | 0 | −78.00 | |
| 0.33 | 200 | 1 | 3 | 1 | 0 | −7.56 | |
| 0.33 | 400 | 1 | 3 | 1 | 0 | −21.89 | |
| 0.33 | 600 | 1 | 3 | 1 | 0 | −48.55 | |
| 0.33 | 800 | 1 | 3 | 1 | 0 | −78.97 | |
| 0.33 | 200 | 1 | 3 | 1 | 0 | −8.06 | |
| 0.33 | 400 | 1 | 3 | 1 | 0 | −20.73 | |
| 0.33 | 600 | 1 | 3 | 1 | 0 | −47.87 | |
| 0.33 | 800 | 1 | 3 | 1 | 0 | −80.42 | |
| [59] | 0.56 | 105 | 3 | 16 | 1 | 0 | −17.73 |
| 0.56 | 150 | 3 | 16 | 1 | 0 | −7.75 | |
| 0.56 | 200 | 3 | 16 | 1 | 0 | −5.07 | |
| 0.56 | 250 | 3 | 16 | 1 | 0 | −6.26 | |
| 0.56 | 300 | 3 | 16 | 1 | 0 | −9.24 | |
| 0.56 | 350 | 3 | 16 | 1 | 0 | −12.37 | |
| 0.56 | 400 | 3 | 16 | 1 | 0 | −15.95 | |
| 0.56 | 450 | 3 | 16 | 1 | 0 | −19.82 | |
| [60] | 0.3 | 200 | 2.5 | 1 | 1 | 0 | −3.90 |
| 0.3 | 400 | 2.5 | 1 | 1 | 0 | −12.78 | |
| 0.3 | 600 | 2.5 | 1 | 1 | 0 | −42.78 | |
| 0.3 | 800 | 2.5 | 1 | 1 | 0 | −76.59 | |
| 0.3 | 200 | 2.5 | 1 | 1 | 0 | 6.36 | |
| 0.3 | 400 | 2.5 | 1 | 1 | 0 | −11.03 | |
| 0.3 | 600 | 2.5 | 1 | 1 | 0 | −42.83 | |
| 0.3 | 800 | 2.5 | 1 | 1 | 0 | −75.86 | |
| 0.3 | 200 | 2.5 | 1 | 1 | 0 | 10.81 | |
| 0.3 | 400 | 2.5 | 1 | 1 | 0 | −7.33 | |
| 0.3 | 600 | 2.5 | 1 | 1 | 0 | −39.31 | |
| 0.3 | 800 | 2.5 | 1 | 1 | 0 | −73.22 | |
| 0.3 | 200 | 2.5 | 1 | 1 | 0 | 14.90 | |
| 0.3 | 400 | 2.5 | 1 | 1 | 0 | −6.87 | |
| 0.3 | 600 | 2.5 | 1 | 1 | 0 | −35.44 | |
| 0.3 | 800 | 2.5 | 1 | 1 | 0 | −69.50 | |
| 0.3 | 200 | 2.5 | 1 | 1 | 0 | 19.08 | |
| 0.3 | 400 | 2.5 | 1 | 1 | 0 | 0.14 | |
| 0.3 | 600 | 2.5 | 1 | 1 | 0 | −44.28 | |
| 0.3 | 800 | 2.5 | 1 | 1 | 0 | −71.78 | |
| [61] | 0.31 | 200 | 10 | 3 | 1 | 0 | −11.55 |
| 0.31 | 400 | 10 | 3 | 1 | 0 | 26.27 | |
| 0.31 | 600 | 10 | 3 | 1 | 0 | −5.35 | |
| 0.31 | 800 | 10 | 3 | 1 | 0 | −59.94 | |
| 0.31 | 200 | 10 | 3 | 1 | 0 | 51.47 | |
| 0.31 | 400 | 10 | 3 | 1 | 0 | 66.88 | |
| 0.31 | 600 | 10 | 3 | 1 | 0 | 33.89 | |
| 0.31 | 800 | 10 | 3 | 1 | 0 | −42.68 | |
| [62] | 0.55 | 400 | 7.5 | 1 | 1 | 4 | −18.89 |
| 0.55 | 600 | 7.5 | 1 | 1 | 4 | −20.94 | |
| 0.55 | 800 | 7.5 | 1 | 1 | 4 | −50.72 | |
| 0.55 | 400 | 7.5 | 1 | 1 | 4 | −17.03 | |
| 0.55 | 600 | 7.5 | 1 | 1 | 4 | −21.62 | |
| 0.55 | 800 | 7.5 | 1 | 1 | 4 | −59.19 | |
| 0.55 | 400 | 7.5 | 1 | 1 | 4 | −14.33 | |
| 0.55 | 600 | 7.5 | 1 | 1 | 4 | −21.50 | |
| 0.55 | 800 | 7.5 | 1 | 1 | 4 | −63.48 | |
| 0.55 | 400 | 7.5 | 1 | 1 | 4 | −19.55 | |
| 0.55 | 600 | 7.5 | 1 | 1 | 4 | −27.73 | |
| 0.55 | 800 | 7.5 | 1 | 1 | 4 | −66.82 | |
| [63] | 0.5 | 100 | 6.5 | 1 | 1 | 0 | −6.45 |
| 0.5 | 200 | 6.5 | 1 | 1 | 0 | −1.80 | |
| 0.5 | 300 | 6.5 | 1 | 1 | 0 | −12.15 | |
| 0.5 | 100 | 6.5 | 1 | 1 | 0 | −19.43 | |
| 0.5 | 200 | 6.5 | 1 | 1 | 0 | −2.69 | |
| 0.5 | 300 | 6.5 | 1 | 1 | 0 | −17.59 | |
| 0.5 | 400 | 6.5 | 1 | 1 | 0 | −32.77 | |
| 0.5 | 500 | 6.5 | 1 | 1 | 0 | −37.51 | |
| 0.5 | 600 | 6.5 | 1 | 1 | 0 | −79.81 | |
| 0.5 | 700 | 6.5 | 1 | 1 | 0 | −63.91 | |
| 0.5 | 800 | 5 | 1 | 1 | 0 | −69.21 | |
| 0.5 | 100 | 6.5 | 1 | 1 | 0 | −14.36 | |
| 0.5 | 200 | 6.5 | 1 | 1 | 0 | −0.17 | |
| 0.5 | 300 | 6.5 | 1 | 1 | 0 | −11.14 | |
| 0.5 | 400 | 6.5 | 1 | 1 | 0 | −21.18 | |
| 0.5 | 500 | 6.5 | 1 | 1 | 0 | −37.36 | |
| 0.5 | 600 | 6.5 | 1 | 1 | 0 | −55.38 | |
| 0.5 | 700 | 6.5 | 1 | 1 | 0 | −59.90 | |
| 0.5 | 800 | 5 | 1 | 1 | 0 | −68.10 | |
| 0.5 | 100 | 6.5 | 1 | 1 | 0 | 10.56 | |
| 0.5 | 200 | 6.5 | 1 | 1 | 0 | 0.19 | |
| 0.5 | 300 | 6.5 | 1 | 1 | 0 | 5.54 | |
| 0.5 | 400 | 6.5 | 1 | 1 | 0 | 12.19 | |
| 0.5 | 500 | 6.5 | 1 | 1 | 0 | −27.86 | |
| 0.5 | 600 | 6.5 | 1 | 1 | 0 | −42.16 | |
| 0.5 | 700 | 6.5 | 1 | 1 | 0 | −50.78 | |
| 0.5 | 800 | 5 | 1 | 1 | 0 | −60.71 | |
| [64] | 0.3 | 200 | 2.5 | 1 | 1 | 0 | −3.92 |
| 0.3 | 400 | 2.5 | 1 | 1 | 0 | −10.50 | |
| 0.3 | 600 | 2.5 | 1 | 1 | 0 | −41.64 | |
| 0.3 | 800 | 2.5 | 1 | 1 | 0 | −77.24 | |
| 0.3 | 200 | 2.5 | 1 | 1 | 0 | 0.09 | |
| 0.3 | 400 | 2.5 | 1 | 1 | 0 | −6.35 | |
| 0.3 | 600 | 2.5 | 1 | 1 | 0 | −48.18 | |
| 0.3 | 800 | 2.5 | 1 | 1 | 0 | −78.08 | |
| 0.3 | 200 | 2.5 | 1 | 1 | 0 | −0.25 | |
| 0.3 | 400 | 2.5 | 1 | 1 | 0 | −1.41 | |
| 0.3 | 600 | 2.5 | 1 | 1 | 0 | −5.89 | |
| 0.3 | 800 | 2.5 | 1 | 1 | 0 | −8.73 | |
| 0.3 | 200 | 2.5 | 1 | 1 | 0 | 2.88 | |
| 0.3 | 400 | 2.5 | 1 | 1 | 0 | −6.47 | |
| 0.3 | 600 | 2.5 | 1 | 1 | 0 | −53.59 | |
| 0.3 | 800 | 2.5 | 1 | 1 | 0 | −80.77 | |
| 0.3 | 200 | 2.5 | 1 | 1 | 0 | 7.12 | |
| 0.3 | 400 | 2.5 | 1 | 1 | 0 | −9.14 | |
| 0.3 | 600 | 2.5 | 1 | 1 | 0 | −62.59 | |
| 0.3 | 800 | 2.5 | 1 | 1 | 0 | −86.22 | |
| 0.3 | 200 | 2.5 | 1 | 1 | 0 | 5.20 | |
| 0.3 | 400 | 2.5 | 1 | 1 | 0 | −13.45 | |
| 0.3 | 600 | 2.5 | 1 | 1 | 0 | −68.06 | |
| 0.3 | 800 | 2.5 | 1 | 1 | 0 | −91.24 | |
| 0.3 | 200 | 2.5 | 1 | 1 | 0 | 14.50 | |
| 0.3 | 400 | 2.5 | 1 | 1 | 0 | −3.19 | |
| 0.3 | 600 | 2.5 | 1 | 1 | 0 | −37.83 | |
| 0.3 | 800 | 2.5 | 1 | 1 | 0 | −71.62 | |
| 0.3 | 200 | 2.5 | 1 | 1 | 0 | −5.69 | |
| 0.3 | 400 | 2.5 | 1 | 1 | 0 | −26.14 | |
| 0.3 | 600 | 2.5 | 1 | 1 | 0 | −67.05 | |
| 0.3 | 800 | 2.5 | 1 | 1 | 0 | −92.05 | |
| 0.3 | 200 | 2.5 | 1 | 1 | 0 | −1.92 | |
| 0.3 | 400 | 2.5 | 1 | 1 | 0 | −9.61 | |
| 0.3 | 600 | 2.5 | 1 | 1 | 0 | −67.31 | |
| 0.3 | 800 | 2.5 | 1 | 1 | 0 | −87.50 | |
| 0.3 | 200 | 2.5 | 1 | 1 | 0 | 1.67 | |
| 0.3 | 400 | 2.5 | 1 | 1 | 0 | −14.99 | |
| 0.3 | 600 | 2.5 | 1 | 1 | 0 | −71.66 | |
| 0.3 | 800 | 2.5 | 1 | 1 | 0 | −90.00 | |
| 0.3 | 200 | 2.5 | 1 | 1 | 0 | 3.34 | |
| 0.3 | 400 | 2.5 | 1 | 1 | 0 | −21.33 | |
| 0.3 | 600 | 2.5 | 1 | 1 | 0 | −78.00 | |
| 0.3 | 800 | 2.5 | 1 | 1 | 0 | −92.67 | |
| 0.3 | 200 | 2.5 | 1 | 1 | 0 | 0.91 | |
| 0.3 | 400 | 2.5 | 1 | 1 | 0 | −18.18 | |
| 0.3 | 600 | 2.5 | 1 | 1 | 0 | −64.54 | |
| 0.3 | 800 | 2.5 | 1 | 1 | 0 | −84.55 | |
| [65] | 0.5 | 200 | 1 | 1 | 1 | 0 | 8.04 |
| 0.5 | 400 | 1 | 1 | 1 | 0 | −15.32 | |
| 0.5 | 600 | 1 | 1 | 1 | 0 | −48.90 | |
| 0.5 | 800 | 1 | 1 | 1 | 0 | −69.34 | |
| 0.5 | 200 | 1 | 1 | 1 | 0 | 12.83 | |
| 0.5 | 400 | 1 | 1 | 1 | 0 | −14.87 | |
| 0.5 | 600 | 1 | 1 | 1 | 0 | −46.62 | |
| 0.5 | 800 | 1 | 1 | 1 | 0 | −69.60 | |
| 0.5 | 200 | 1 | 1 | 1 | 0 | 14.91 | |
| 0.5 | 400 | 1 | 1 | 1 | 0 | 1.07 | |
| 0.5 | 600 | 1 | 1 | 1 | 0 | −32.97 | |
| 0.5 | 800 | 1 | 1 | 1 | 0 | −76.59 | |
| 0.3 | 200 | 1 | 1 | 1 | 0 | 7.74 | |
| 0.3 | 400 | 1 | 1 | 1 | 0 | −19.36 | |
| 0.3 | 600 | 1 | 1 | 1 | 0 | −47.42 | |
| 0.3 | 800 | 1 | 1 | 1 | 0 | −77.74 | |
| 0.3 | 200 | 1 | 1 | 1 | 0 | 14.49 | |
| 0.3 | 400 | 1 | 1 | 1 | 0 | −14.84 | |
| 0.3 | 600 | 1 | 1 | 1 | 0 | −44.17 | |
| 0.3 | 800 | 1 | 1 | 1 | 0 | −76.33 | |
| 0.3 | 200 | 1 | 1 | 1 | 0 | 23.76 | |
| 0.3 | 400 | 1 | 1 | 1 | 0 | −0.99 | |
| 0.3 | 600 | 1 | 1 | 1 | 0 | −34.16 | |
| 0.3 | 800 | 1 | 1 | 1 | 0 | −74.75 | |
| [66] | 0.5 | 100 | 10 | 1 | 1 | 0 | −10.42 |
| 0.5 | 300 | 10 | 1 | 1 | 0 | −22.66 | |
| 0.5 | 500 | 10 | 1 | 1 | 0 | −33.41 | |
| 0.5 | 800 | 10 | 1 | 1 | 0 | −78.34 | |
| 0.5 | 100 | 10 | 1 | 0 | 0 | −11.30 | |
| 0.5 | 300 | 10 | 1 | 0 | 0 | −35.71 | |
| 0.5 | 500 | 10 | 1 | 0 | 0 | −44.69 | |
| 0.5 | 800 | 10 | 1 | 0 | 0 | −76.85 | |
| 0.35 | 100 | 10 | 1 | 1 | 0 | −7.57 | |
| 0.35 | 300 | 10 | 1 | 1 | 0 | −3.72 | |
| 0.35 | 500 | 10 | 1 | 1 | 0 | 5.38 | |
| 0.35 | 800 | 10 | 1 | 1 | 0 | −52.45 | |
| 0.35 | 100 | 10 | 1 | 0 | 0 | −7.57 | |
| 0.35 | 300 | 10 | 1 | 0 | 0 | −14.21 | |
| 0.35 | 500 | 10 | 1 | 0 | 0 | −28.07 | |
| 0.35 | 800 | 10 | 1 | 0 | 0 | −64.58 | |
| [67] | 0.6 | 100 | 1.5 | 2 | 1 | 0 | −0.11 |
| 0.6 | 300 | 1.5 | 2 | 1 | 0 | 0.05 | |
| 0.6 | 600 | 1.5 | 2 | 1 | 0 | −0.52 | |
| 0.6 | 750 | 1.5 | 2 | 1 | 0 | −0.75 | |
| 0.6 | 100 | 1.5 | 2 | 1 | 0 | −0.05 | |
| 0.6 | 300 | 1.5 | 2 | 1 | 0 | 0.06 | |
| 0.6 | 600 | 1.5 | 2 | 1 | 0 | −0.50 | |
| 0.6 | 750 | 1.5 | 2 | 1 | 0 | −0.75 | |
| 0.6 | 100 | 1.5 | 2 | 1 | 0 | 0.19 | |
| 0.6 | 300 | 1.5 | 2 | 1 | 0 | 0.32 | |
| 0.6 | 600 | 1.5 | 2 | 1 | 0 | −0.51 | |
| 0.6 | 750 | 1.5 | 2 | 1 | 0 | −0.78 | |
| 0.6 | 100 | 1.5 | 2 | 1 | 0 | 0.13 | |
| 0.6 | 300 | 1.5 | 2 | 1 | 0 | 0.37 | |
| 0.6 | 600 | 1.5 | 2 | 1 | 0 | −0.60 | |
| 0.6 | 750 | 1.5 | 2 | 1 | 0 | −0.85 | |
| 0.6 | 100 | 1.5 | 2 | 1 | 0 | −0.03 | |
| 0.6 | 300 | 1.5 | 2 | 1 | 0 | 0.16 | |
| 0.6 | 600 | 1.5 | 2 | 1 | 0 | −0.68 | |
| 0.6 | 750 | 1.5 | 2 | 1 | 0 | −0.88 | |
| 0.6 | 100 | 1.5 | 2 | 1 | 0 | 0.13 | |
| 0.6 | 300 | 1.5 | 2 | 1 | 0 | 0.39 | |
| 0.6 | 600 | 1.5 | 2 | 1 | 0 | −0.55 | |
| 0.6 | 750 | 1.5 | 2 | 1 | 0 | −0.93 | |
| 0.6 | 100 | 1.5 | 2 | 1 | 0 | 0.24 | |
| 0.6 | 300 | 1.5 | 2 | 1 | 0 | 0.24 | |
| 0.6 | 600 | 1.5 | 2 | 1 | 0 | −0.53 | |
| 0.6 | 750 | 1.5 | 2 | 1 | 0 | −0.75 | |
| 0.6 | 100 | 1.5 | 2 | 1 | 0 | −0.01 | |
| 0.6 | 300 | 1.5 | 2 | 1 | 0 | −0.07 | |
| 0.6 | 600 | 1.5 | 2 | 1 | 0 | −0.48 | |
| 0.6 | 750 | 1.5 | 2 | 1 | 0 | −0.77 | |
| 0.6 | 100 | 1.5 | 2 | 1 | 0 | −0.09 | |
| 0.6 | 300 | 1.5 | 2 | 1 | 0 | −0.08 | |
| 0.6 | 600 | 1.5 | 2 | 1 | 0 | −0.47 | |
| 0.6 | 750 | 1.5 | 2 | 1 | 0 | −0.77 | |
| 0.6 | 100 | 1.5 | 2 | 1 | 0 | −0.05 | |
| 0.6 | 300 | 1.5 | 2 | 1 | 0 | −0.08 | |
| 0.6 | 600 | 1.5 | 2 | 1 | 0 | −0.59 | |
| 0.6 | 750 | 1.5 | 2 | 1 | 0 | −0.81 | |
| 0.6 | 100 | 1.5 | 2 | 1 | 0 | 0.06 | |
| 0.6 | 300 | 1.5 | 2 | 1 | 0 | 0.14 | |
| 0.6 | 600 | 1.5 | 2 | 1 | 0 | −0.56 | |
| 0.6 | 750 | 1.5 | 2 | 1 | 0 | −0.87 | |
| 0.6 | 100 | 1.5 | 2 | 1 | 0 | 0.05 | |
| 0.6 | 300 | 1.5 | 2 | 1 | 0 | 0.06 | |
| 0.6 | 600 | 1.5 | 2 | 1 | 0 | −0.60 | |
| 0.6 | 750 | 1.5 | 2 | 1 | 0 | −0.93 | |
| 0.6 | 100 | 1.5 | 2 | 1 | 0 | 0.08 | |
| 0.6 | 300 | 1.5 | 2 | 1 | 0 | 0.11 | |
| 0.6 | 600 | 1.5 | 2 | 1 | 0 | −0.58 | |
| 0.6 | 750 | 1.5 | 2 | 1 | 0 | −0.85 | |
| 0.6 | 100 | 1.5 | 2 | 1 | 0 | 0.03 | |
| 0.6 | 300 | 1.5 | 2 | 1 | 0 | 0.11 | |
| 0.6 | 600 | 1.5 | 2 | 1 | 0 | −0.66 | |
| 0.6 | 750 | 1.5 | 2 | 1 | 0 | −0.76 | |
| [68] | 0.29 | 200 | 5 | 1 | 1 | 0 | 2.25 |
| 0.29 | 400 | 5 | 1 | 1 | 0 | −29.21 | |
| 0.29 | 500 | 5 | 1 | 1 | 0 | −43.26 | |
| 0.29 | 600 | 5 | 1 | 1 | 0 | −63.48 | |
| 0.45 | 200 | 5 | 1 | 1 | 0 | 2.68 | |
| 0.45 | 400 | 5 | 1 | 1 | 0 | −16.07 | |
| 0.45 | 500 | 5 | 1 | 1 | 0 | −36.61 | |
| 0.45 | 600 | 5 | 1 | 1 | 0 | −59.82 | |
| 0.32 | 200 | 5 | 1 | 1 | 0 | −14.20 | |
| 0.32 | 400 | 5 | 1 | 1 | 0 | −42.61 | |
| 0.32 | 500 | 5 | 1 | 1 | 0 | −48.30 | |
| 0.32 | 600 | 5 | 1 | 1 | 0 | −68.18 | |
| 0.48 | 200 | 5 | 1 | 1 | 0 | −23.97 | |
| 0.48 | 400 | 5 | 1 | 1 | 0 | −19.83 | |
| 0.48 | 500 | 5 | 1 | 1 | 0 | −41.32 | |
| 0.48 | 600 | 5 | 1 | 1 | 0 | −62.81 | |
| [69] | 0.54 | 100 | 5 | 1 | 1 | 0 | −18.74 |
| 0.54 | 300 | 5 | 1 | 1 | 0 | −40.00 | |
| 0.54 | 500 | 5 | 1 | 1 | 0 | −46.25 | |
| 0.54 | 700 | 5 | 1 | 1 | 0 | −72.50 | |
| 0.6 | 100 | 5 | 1 | 1 | 0 | −10.12 | |
| 0.6 | 300 | 5 | 1 | 1 | 0 | −19.10 | |
| 0.6 | 500 | 5 | 1 | 1 | 0 | −29.22 | |
| 0.6 | 700 | 5 | 1 | 1 | 0 | −49.44 | |
| 0.57 | 100 | 5 | 1 | 1 | 0 | −27.91 | |
| 0.57 | 300 | 5 | 1 | 1 | 0 | −27.91 | |
| 0.57 | 500 | 5 | 1 | 1 | 0 | −52.33 | |
| 0.57 | 700 | 5 | 1 | 1 | 0 | −82.56 | |
| 0.57 | 100 | 5 | 1 | 1 | 0 | −11.77 | |
| 0.57 | 300 | 5 | 1 | 1 | 0 | −16.67 | |
| 0.57 | 500 | 5 | 1 | 1 | 0 | −16.67 | |
| 0.57 | 700 | 5 | 1 | 1 | 0 | −31.38 | |
| 0.46 | 100 | 5 | 1 | 1 | 0 | −28.26 | |
| 0.46 | 300 | 5 | 1 | 1 | 0 | −32.81 | |
| 0.46 | 500 | 5 | 1 | 1 | 0 | −39.34 | |
| 0.46 | 700 | 5 | 1 | 1 | 0 | −45.83 | |
| 0.46 | 100 | 5 | 1 | 1 | 0 | −16.14 | |
| 0.46 | 300 | 5 | 1 | 1 | 0 | −23.61 | |
| 0.46 | 500 | 5 | 1 | 1 | 0 | −30.21 | |
| 0.46 | 700 | 5 | 1 | 1 | 0 | −35.07 | |
| 0.43 | 100 | 5 | 1 | 1 | 0 | −18.63 | |
| 0.43 | 300 | 5 | 1 | 1 | 0 | −30.15 | |
| 0.45 | 100 | 5 | 1 | 1 | 0 | −19.47 | |
| 0.45 | 300 | 5 | 1 | 1 | 0 | −29.08 | |
| [70] | 0.5 | 200 | 5 | 2 | 1 | 3 | −4.00 |
| 0.5 | 400 | 5 | 2 | 1 | 3 | −20.00 | |
| 0.5 | 600 | 5 | 2 | 1 | 3 | −36.00 | |
| 0.5 | 800 | 5 | 2 | 1 | 3 | −77.00 | |
| 0.5 | 200 | 5 | 2 | 0 | 3 | −16.00 | |
| 0.5 | 400 | 5 | 2 | 0 | 3 | −37.00 | |
| 0.5 | 600 | 5 | 2 | 0 | 3 | −53.00 | |
| 0.5 | 800 | 5 | 2 | 0 | 3 | −82.00 | |
| [71] | 0.55 | 150 | 10 | 2 | 1 | 0 | 8.05 |
| 0.55 | 500 | 10 | 2 | 1 | 0 | 25.12 | |
| 0.4 | 150 | 10 | 2 | 1 | 0 | 2.30 | |
| 0.4 | 500 | 10 | 2 | 1 | 0 | 46.93 | |
| 0.55 | 150 | 10 | 2 | 1 | 0 | −6.44 | |
| 0.55 | 500 | 10 | 2 | 1 | 0 | −7.92 | |
| 0.55 | 750 | 10 | 2 | 1 | 0 | −57.18 | |
| 0.4 | 150 | 10 | 2 | 1 | 0 | −9.70 | |
| 0.4 | 500 | 10 | 2 | 1 | 0 | −6.84 | |
| 0.4 | 750 | 10 | 2 | 1 | 0 | −65.97 | |
| 0.5 | 150 | 10 | 2 | 1 | 0 | −14.49 | |
| 0.5 | 500 | 10 | 2 | 1 | 0 | −21.74 | |
| 0.5 | 750 | 10 | 2 | 1 | 0 | −77.97 | |
| 0.5 | 1000 | 10 | 2 | 1 | 0 | −91.01 | |
| 0.4 | 150 | 10 | 2 | 1 | 0 | −8.07 | |
| 0.4 | 500 | 10 | 2 | 1 | 0 | −16.14 | |
| 0.4 | 750 | 10 | 2 | 1 | 0 | −67.37 | |
| 0.4 | 1000 | 10 | 2 | 1 | 0 | −89.65 | |
| [72] | 0.33 | 200 | 1 | 3 | 1 | 0 | 4.42 |
| 0.33 | 400 | 1 | 3 | 1 | 0 | −17.33 | |
| 0.33 | 600 | 1 | 3 | 1 | 0 | −49.08 | |
| 0.33 | 800 | 1 | 3 | 1 | 0 | −75.24 | |
| 0.33 | 200 | 1 | 3 | 1 | 0 | −0.92 | |
| 0.33 | 400 | 1 | 3 | 1 | 0 | −16.38 | |
| 0.33 | 600 | 1 | 3 | 1 | 0 | −52.87 | |
| 0.33 | 800 | 1 | 3 | 1 | 0 | −77.30 | |
| 0.33 | 200 | 1 | 3 | 1 | 0 | −1.33 | |
| 0.33 | 400 | 1 | 3 | 1 | 0 | −21.29 | |
| 0.33 | 600 | 1 | 3 | 1 | 0 | −48.69 | |
| 0.33 | 800 | 1 | 3 | 1 | 0 | −79.14 | |
| 0.33 | 200 | 1 | 3 | 1 | 0 | −3.56 | |
| 0.33 | 400 | 1 | 3 | 1 | 0 | −22.85 | |
| 0.33 | 600 | 1 | 3 | 1 | 0 | −51.80 | |
| 0.33 | 800 | 1 | 3 | 1 | 0 | −79.68 | |
| 0.33 | 200 | 1 | 3 | 1 | 0 | 1.22 | |
| 0.33 | 400 | 1 | 3 | 1 | 0 | −18.47 | |
| 0.33 | 600 | 1 | 3 | 1 | 0 | −49.37 | |
| 0.33 | 800 | 1 | 3 | 1 | 0 | −76.34 | |
| 0.33 | 200 | 1 | 3 | 1 | 0 | 0.60 | |
| 0.33 | 400 | 1 | 3 | 1 | 0 | −15.82 | |
| 0.33 | 600 | 1 | 3 | 1 | 0 | −47.50 | |
| 0.33 | 800 | 1 | 3 | 1 | 0 | −75.72 | |
| 0.33 | 200 | 1 | 3 | 1 | 0 | 3.57 | |
| 0.33 | 400 | 1 | 3 | 1 | 0 | −18.66 | |
| 0.33 | 600 | 1 | 3 | 1 | 0 | −47.10 | |
| 0.33 | 800 | 1 | 3 | 1 | 0 | −77.03 | |
| 0.33 | 200 | 1 | 3 | 1 | 0 | −3.77 | |
| 0.33 | 400 | 1 | 3 | 1 | 0 | −20.64 | |
| 0.33 | 600 | 1 | 3 | 1 | 0 | −50.32 | |
| 0.33 | 800 | 1 | 3 | 1 | 0 | −78.25 | |
| 0.33 | 200 | 1 | 3 | 1 | 0 | −7.45 | |
| 0.33 | 400 | 1 | 3 | 1 | 0 | −21.48 | |
| 0.33 | 600 | 1 | 3 | 1 | 0 | −48.42 | |
| 0.33 | 800 | 1 | 3 | 1 | 0 | −78.80 | |
| 0.33 | 200 | 1 | 3 | 1 | 0 | −8.13 | |
| 0.33 | 400 | 1 | 3 | 1 | 0 | −20.35 | |
| 0.33 | 600 | 1 | 3 | 1 | 0 | −46.98 | |
| 0.33 | 800 | 1 | 3 | 1 | 0 | −79.88 | |
| 0.33 | 200 | 1 | 3 | 1 | 0 | −11.34 | |
| 0.33 | 400 | 1 | 3 | 1 | 0 | −24.47 | |
| 0.33 | 600 | 1 | 3 | 1 | 0 | −57.89 | |
| 0.33 | 800 | 1 | 3 | 1 | 0 | −82.37 | |
| 0.33 | 200 | 1 | 3 | 1 | 0 | −21.10 | |
| 0.33 | 400 | 1 | 3 | 1 | 0 | −30.10 | |
| 0.33 | 600 | 1 | 3 | 1 | 0 | −59.90 | |
| 0.33 | 800 | 1 | 3 | 1 | 0 | −80.70 | |
| 0.33 | 200 | 1 | 3 | 1 | 0 | −23.19 | |
| 0.33 | 400 | 1 | 3 | 1 | 0 | −33.41 | |
| 0.33 | 600 | 1 | 3 | 1 | 0 | −57.96 | |
| 0.33 | 800 | 1 | 3 | 1 | 0 | −83.53 | |
| 0.33 | 200 | 1 | 3 | 1 | 0 | −20.04 | |
| 0.33 | 400 | 1 | 3 | 1 | 0 | −35.07 | |
| 0.33 | 600 | 1 | 3 | 1 | 0 | −62.28 | |
| 0.33 | 800 | 1 | 3 | 1 | 0 | −85.19 | |
| 0.33 | 200 | 1 | 3 | 1 | 0 | −16.13 | |
| 0.33 | 400 | 1 | 3 | 1 | 0 | −23.44 | |
| 0.33 | 600 | 1 | 3 | 1 | 0 | −56.93 | |
| 0.33 | 800 | 1 | 3 | 1 | 0 | −84.02 | |
| 0.33 | 200 | 1 | 3 | 1 | 0 | −21.02 | |
| 0.33 | 400 | 1 | 3 | 1 | 0 | −26.56 | |
| 0.33 | 600 | 1 | 3 | 1 | 0 | −57.50 | |
| 0.33 | 800 | 1 | 3 | 1 | 0 | −81.73 | |
| 0.33 | 200 | 1 | 3 | 1 | 0 | −21.84 | |
| 0.33 | 400 | 1 | 3 | 1 | 0 | −26.69 | |
| 0.33 | 600 | 1 | 3 | 1 | 0 | −59.45 | |
| 0.33 | 800 | 1 | 3 | 1 | 0 | −86.14 | |
| 0.33 | 200 | 1 | 3 | 1 | 0 | −17.50 | |
| 0.33 | 400 | 1 | 3 | 1 | 0 | −24.21 | |
| 0.33 | 600 | 1 | 3 | 1 | 0 | −59.22 | |
| 0.33 | 800 | 1 | 3 | 1 | 0 | −84.31 | |
| 0.33 | 200 | 1 | 3 | 1 | 0 | −19.78 | |
| 0.33 | 400 | 1 | 3 | 1 | 0 | −35.83 | |
| 0.33 | 600 | 1 | 3 | 1 | 0 | −62.77 | |
| 0.33 | 800 | 1 | 3 | 1 | 0 | −85.42 | |
| 0.33 | 200 | 1 | 3 | 1 | 0 | −24.77 | |
| 0.33 | 400 | 1 | 3 | 1 | 0 | −42.63 | |
| 0.33 | 600 | 1 | 3 | 1 | 0 | −62.38 | |
| 0.33 | 800 | 1 | 3 | 1 | 0 | −84.96 | |
| [73] | 0.61 | 150 | 1 | 1 | 1 | 0 | −0.13 |
| 0.61 | 300 | 1 | 1 | 1 | 0 | −0.17 | |
| 0.61 | 450 | 1 | 1 | 1 | 0 | −0.51 | |
| 0.61 | 600 | 1 | 1 | 1 | 0 | −0.86 | |
| 0.57 | 150 | 1 | 1 | 1 | 0 | −0.09 | |
| 0.57 | 300 | 1 | 1 | 1 | 0 | 0.17 | |
| 0.57 | 450 | 1 | 1 | 1 | 0 | −0.44 | |
| 0.57 | 600 | 1 | 1 | 1 | 0 | −0.80 | |
| 0.54 | 150 | 1 | 1 | 1 | 0 | −0.21 | |
| 0.54 | 300 | 1 | 1 | 1 | 0 | −0.04 | |
| 0.54 | 450 | 1 | 1 | 1 | 0 | −0.55 | |
| 0.54 | 600 | 1 | 1 | 1 | 0 | −0.83 | |
| [74] | 0.35 | 300 | 5 | 4 | 1 | 0 | −19.55 |
| 0.35 | 500 | 5 | 4 | 1 | 0 | −53.22 | |
| 0.35 | 600 | 5 | 4 | 1 | 0 | −65.49 | |
| 0.35 | 800 | 5 | 4 | 1 | 0 | −84.41 | |
| 0.35 | 300 | 5 | 4 | 1 | 0 | −10.25 | |
| 0.35 | 500 | 5 | 4 | 1 | 0 | −49.50 | |
| 0.35 | 600 | 5 | 4 | 1 | 0 | −65.00 | |
| 0.35 | 800 | 5 | 4 | 1 | 0 | −83.50 | |
| 0.35 | 300 | 5 | 4 | 1 | 0 | −15.75 | |
| 0.35 | 500 | 5 | 4 | 1 | 0 | −51.38 | |
| 0.35 | 600 | 5 | 4 | 1 | 0 | −66.58 | |
| 0.35 | 800 | 5 | 4 | 1 | 0 | −82.60 | |
| 0.35 | 300 | 5 | 4 | 1 | 0 | −17.52 | |
| 0.35 | 500 | 5 | 4 | 1 | 0 | −56.32 | |
| 0.35 | 600 | 5 | 4 | 1 | 0 | −66.66 | |
| 0.35 | 800 | 5 | 4 | 1 | 0 | −80.46 | |
| 0.35 | 300 | 5 | 4 | 1 | 0 | −18.60 | |
| 0.35 | 500 | 5 | 4 | 1 | 0 | −54.81 | |
| 0.35 | 600 | 5 | 4 | 1 | 0 | −66.67 | |
| 0.35 | 800 | 5 | 4 | 1 | 0 | −78.53 | |
| 0.35 | 300 | 5 | 4 | 1 | 0 | −7.84 | |
| 0.35 | 500 | 5 | 4 | 1 | 0 | −50.39 | |
| 0.35 | 600 | 5 | 4 | 1 | 0 | −61.88 | |
| 0.35 | 800 | 5 | 4 | 1 | 0 | −80.16 | |
| 0.35 | 300 | 5 | 4 | 1 | 0 | −6.87 | |
| 0.35 | 500 | 5 | 4 | 1 | 0 | −47.39 | |
| 0.35 | 600 | 5 | 4 | 1 | 0 | −59.15 | |
| 0.35 | 800 | 5 | 4 | 1 | 0 | −77.78 | |
| 0.35 | 300 | 5 | 4 | 1 | 0 | −5.08 | |
| 0.35 | 500 | 5 | 4 | 1 | 0 | −46.78 | |
| 0.35 | 600 | 5 | 4 | 1 | 0 | −61.02 | |
| 0.35 | 800 | 5 | 4 | 1 | 0 | −77.63 | |
| 0.35 | 300 | 5 | 4 | 1 | 0 | −7.92 | |
| 0.35 | 500 | 5 | 4 | 1 | 0 | −49.81 | |
| 0.35 | 600 | 5 | 4 | 1 | 0 | −56.60 | |
| 0.35 | 800 | 5 | 4 | 1 | 0 | −74.72 | |
| 0.35 | 300 | 5 | 4 | 1 | 0 | −15.29 | |
| 0.35 | 500 | 5 | 4 | 1 | 0 | −54.12 | |
| 0.35 | 600 | 5 | 4 | 1 | 0 | −65.88 | |
| 0.35 | 800 | 5 | 4 | 1 | 0 | −72.94 | |
| [75] | 0.3 | 100 | 2 | 1 | 1 | 0 | −0.26 |
| 0.3 | 200 | 2 | 1 | 1 | 0 | −8.74 | |
| 0.3 | 400 | 2 | 1 | 1 | 0 | −12.58 | |
| 0.3 | 600 | 2 | 1 | 1 | 0 | −53.11 | |
| 0.3 | 100 | 2 | 1 | 1 | 0 | −2.12 | |
| 0.3 | 200 | 2 | 1 | 1 | 0 | −2.66 | |
| 0.3 | 400 | 2 | 1 | 1 | 0 | −19.79 | |
| 0.3 | 600 | 2 | 1 | 1 | 0 | −47.94 | |
| 0.3 | 100 | 2 | 1 | 1 | 0 | −0.40 | |
| 0.3 | 200 | 2 | 1 | 1 | 0 | −3.04 | |
| 0.3 | 400 | 2 | 1 | 1 | 0 | −9.51 | |
| 0.3 | 600 | 2 | 1 | 1 | 0 | −54.82 | |
| 0.5 | 100 | 2 | 1 | 1 | 0 | 4.40 | |
| 0.5 | 200 | 2 | 1 | 1 | 0 | −7.33 | |
| 0.5 | 400 | 2 | 1 | 1 | 0 | −21.99 | |
| 0.5 | 600 | 2 | 1 | 1 | 0 | −50.73 | |
| [76] | 0.4 | 500 | 4.17 | 1 | 1 | 0 | −21.77 |
| 0.4 | 500 | 5 | 4 | 1 | 0 | −26.30 | |
| 0.4 | 500 | 4.17 | 1 | 1 | 0 | −9.98 | |
| 0.4 | 500 | 5 | 4 | 1 | 0 | −26.52 | |
| 0.55 | 500 | 4.17 | 1 | 1 | 0 | −10.14 | |
| 0.55 | 500 | 5 | 4 | 1 | 0 | −26.69 | |
| 0.55 | 500 | 4.17 | 1 | 1 | 0 | −15.97 | |
| 0.55 | 500 | 5 | 4 | 1 | 0 | −32.59 | |
| 0.7 | 500 | 4.17 | 1 | 1 | 0 | −15.00 | |
| 0.7 | 500 | 5 | 4 | 1 | 0 | −21.82 | |
| 0.7 | 500 | 4.17 | 1 | 1 | 0 | −17.54 | |
| 0.7 | 500 | 5 | 4 | 1 | 0 | −30.33 | |
| [77] | 0.28 | 200 | 10 | 3 | 1 | 0 | 1.23 |
| 0.28 | 400 | 10 | 3 | 1 | 0 | −54.30 | |
| 0.28 | 600 | 10 | 3 | 1 | 0 | −75.61 | |
| 0.28 | 800 | 10 | 3 | 1 | 0 | −88.93 | |
| 0.28 | 200 | 10 | 3 | 1 | 0 | 0.36 | |
| 0.28 | 400 | 10 | 3 | 1 | 0 | −14.92 | |
| 0.28 | 600 | 10 | 3 | 1 | 0 | −41.72 | |
| 0.28 | 800 | 10 | 3 | 1 | 0 | −67.80 | |
| 0.28 | 200 | 10 | 3 | 1 | 0 | −1.91 | |
| 0.28 | 400 | 10 | 3 | 1 | 0 | −13.69 | |
| 0.28 | 600 | 10 | 3 | 1 | 0 | −40.50 | |
| 0.28 | 800 | 10 | 3 | 1 | 0 | −64.26 | |
| 0.28 | 200 | 10 | 3 | 1 | 0 | −2.10 | |
| 0.28 | 400 | 10 | 3 | 1 | 0 | −48.01 | |
| 0.28 | 600 | 10 | 3 | 1 | 0 | −52.20 | |
| 0.28 | 800 | 10 | 3 | 1 | 0 | −70.65 | |
| 0.28 | 200 | 10 | 3 | 1 | 0 | −0.62 | |
| 0.28 | 400 | 10 | 3 | 1 | 0 | −16.54 | |
| 0.28 | 600 | 10 | 3 | 1 | 0 | −48.53 | |
| 0.28 | 800 | 10 | 3 | 1 | 0 | −72.49 | |
| 0.28 | 200 | 10 | 3 | 1 | 0 | −0.96 | |
| 0.28 | 400 | 10 | 3 | 1 | 0 | −15.66 | |
| 0.28 | 600 | 10 | 3 | 1 | 0 | −43.45 | |
| 0.28 | 800 | 10 | 3 | 1 | 0 | −65.02 | |
| 0.28 | 200 | 10 | 3 | 1 | 0 | −1.75 | |
| 0.28 | 400 | 10 | 3 | 1 | 0 | −14.79 | |
| 0.28 | 600 | 10 | 3 | 1 | 0 | −43.00 | |
| 0.28 | 800 | 10 | 3 | 1 | 0 | −59.73 | |
| [78] | 0.6 | 400 | 5.2 | 1 | 1 | 0 | −25.37 |
| 0.6 | 600 | 5.2 | 1 | 1 | 0 | −61.30 | |
| 0.6 | 800 | 4.14 | 1 | 1 | 0 | −82.60 | |
| 0.6 | 1000 | 3.5 | 1 | 1 | 0 | −90.08 | |
| 0.6 | 1200 | 2.96 | 1 | 1 | 0 | −83.74 | |
| 0.35 | 400 | 5.2 | 1 | 1 | 0 | 0.38 | |
| 0.35 | 600 | 5.2 | 1 | 1 | 0 | −45.05 | |
| 0.35 | 800 | 4.14 | 1 | 1 | 0 | −71.31 | |
| 0.35 | 1000 | 3.5 | 1 | 1 | 0 | −88.22 | |
| 0.35 | 1200 | 2.96 | 1 | 1 | 0 | −86.92 | |
| 0.28 | 400 | 5.2 | 1 | 1 | 0 | −0.39 | |
| 0.28 | 600 | 5.2 | 1 | 1 | 0 | −47.99 | |
| 0.28 | 800 | 4.14 | 1 | 1 | 0 | −74.46 | |
| 0.28 | 1000 | 3.5 | 1 | 1 | 0 | −88.05 | |
| 0.28 | 1200 | 2.96 | 1 | 1 | 0 | −88.12 | |
| [79] | 0.4 | 100 | 3 | 3 | 1 | 0 | −14.01 |
| 0.4 | 200 | 3 | 3 | 1 | 0 | −10.81 | |
| 0.4 | 300 | 3 | 3 | 1 | 0 | −25.21 | |
| 0.4 | 600 | 3 | 3 | 1 | 0 | −67.20 | |
| 0.35 | 100 | 3 | 3 | 1 | 0 | −14.29 | |
| 0.35 | 200 | 3 | 3 | 1 | 0 | −12.96 | |
| 0.35 | 300 | 3 | 3 | 1 | 0 | −22.93 | |
| 0.35 | 600 | 3 | 3 | 1 | 0 | −70.10 | |
| 0.3 | 100 | 3 | 3 | 1 | 0 | −16.28 | |
| 0.3 | 200 | 3 | 3 | 1 | 0 | −15.41 | |
| 0.3 | 300 | 3 | 3 | 1 | 0 | −31.10 | |
| 0.3 | 600 | 3 | 3 | 1 | 0 | −73.55 | |
| 0.3 | 100 | 3 | 3 | 1 | 0 | −14.49 | |
| 0.3 | 200 | 3 | 3 | 1 | 0 | −11.23 | |
| 0.3 | 300 | 3 | 3 | 1 | 0 | −27.54 | |
| 0.3 | 600 | 3 | 3 | 1 | 0 | −68.48 | |
| [80] | 0.34 | 200 | 25 | 3 | 1 | 15 | −12.97 |
| 0.34 | 400 | 25 | 2.5 | 1 | 15 | −38.59 | |
| 0.34 | 600 | 25 | 2 | 1 | 15 | −49.69 | |
| 0.34 | 800 | 25 | 2 | 1 | 15 | −84.06 | |
| 0.34 | 200 | 25 | 3 | 1 | 15 | −31.76 | |
| 0.34 | 400 | 25 | 2.5 | 1 | 15 | −56.44 | |
| 0.34 | 600 | 25 | 2 | 1 | 15 | −69.51 | |
| 0.34 | 800 | 25 | 2 | 1 | 15 | −90.38 | |
| [81] | 0.5 | 100 | 5 | 1 | 1 | 0 | 0.29 |
| 0.5 | 200 | 5 | 1 | 1 | 0 | −0.76 | |
| 0.5 | 300 | 5 | 1 | 1 | 0 | −10.18 | |
| 0.5 | 400 | 5 | 1 | 1 | 0 | −28.75 | |
| 0.5 | 500 | 5 | 1 | 1 | 0 | −51.10 | |
| 0.5 | 600 | 5 | 1 | 1 | 0 | −75.61 | |
| 0.5 | 700 | 5 | 1 | 1 | 0 | −81.51 | |
| 0.5 | 800 | 5 | 1 | 1 | 0 | −91.19 | |
| 0.5 | 1200 | 5 | 1 | 1 | 0 | −99.46 | |
| 0.5 | 100 | 5 | 1 | 1 | 0 | 3.80 | |
| 0.5 | 200 | 5 | 1 | 1 | 0 | 2.74 | |
| 0.5 | 300 | 5 | 1 | 1 | 0 | −6.67 | |
| 0.5 | 400 | 5 | 1 | 1 | 0 | −26.06 | |
| 0.5 | 500 | 5 | 1 | 1 | 0 | −43.28 | |
| 0.5 | 600 | 5 | 1 | 1 | 0 | −53.50 | |
| 0.5 | 700 | 5 | 1 | 1 | 0 | −68.85 | |
| 0.5 | 800 | 5 | 1 | 1 | 0 | −92.27 | |
| [82] | 0.3 | 200 | 5 | 3 | 1 | 0 | −15.00 |
| 0.3 | 400 | 5 | 3 | 1 | 0 | −20.00 | |
| 0.3 | 600 | 5 | 3 | 1 | 0 | −42.00 | |
| [83] | 0.43 | 100 | 2 | 2 | 1 | 0 | −16.90 |
| 0.43 | 150 | 2 | 2 | 1 | 0 | −11.34 | |
| 0.43 | 200 | 2 | 2 | 1 | 0 | −8.21 | |
| 0.43 | 250 | 2 | 2 | 1 | 0 | −0.12 | |
| 0.43 | 280 | 2 | 2 | 1 | 0 | 11.23 | |
| 0.43 | 100 | 2 | 2 | 1 | 0 | −8.77 | |
| 0.43 | 150 | 2 | 2 | 1 | 0 | −14.85 | |
| 0.43 | 200 | 2 | 2 | 1 | 0 | −17.98 | |
| 0.43 | 250 | 2 | 2 | 1 | 0 | −17.98 | |
| 0.43 | 280 | 2 | 2 | 1 | 0 | −11.89 | |
| [84] | 0.5 | 100 | 2 | 0.75 | 1 | 0 | −8.59 |
| 0.5 | 200 | 2 | 0.75 | 1 | 0 | −16.90 | |
| 0.5 | 400 | 2 | 0.75 | 1 | 0 | −34.06 | |
| 0.5 | 600 | 2 | 0.75 | 1 | 0 | −45.81 | |
| 0.5 | 800 | 2 | 0.75 | 1 | 0 | −71.56 | |
| 0.5 | 100 | 2 | 0.75 | 1 | 0 | −9.00 | |
| 0.5 | 200 | 2 | 0.75 | 1 | 0 | −17.64 | |
| 0.5 | 400 | 2 | 0.75 | 1 | 0 | −30.35 | |
| 0.5 | 600 | 2 | 0.75 | 1 | 0 | −50.17 | |
| 0.5 | 800 | 2 | 0.75 | 1 | 0 | −68.89 | |
| [85] | 0.4 | 200 | 3 | 3 | 1 | 0 | −2.41 |
| 0.4 | 400 | 3 | 2.5 | 1 | 0 | −13.74 | |
| 0.4 | 600 | 3 | 2 | 1 | 0 | −46.12 | |
| 0.4 | 800 | 3 | 2 | 1 | 0 | −80.24 | |
| 0.4 | 200 | 3 | 3 | 1 | 0 | −4.15 | |
| 0.4 | 400 | 3 | 2.5 | 1 | 0 | −9.78 | |
| 0.4 | 600 | 3 | 2 | 1 | 0 | −43.40 | |
| 0.4 | 800 | 3 | 2 | 1 | 0 | −74.79 | |
| 0.4 | 200 | 3 | 3 | 1 | 0 | −0.93 | |
| 0.4 | 400 | 3 | 2.5 | 1 | 0 | −6.81 | |
| 0.4 | 600 | 3 | 2 | 1 | 0 | −41.67 | |
| 0.4 | 800 | 3 | 2 | 1 | 0 | −80.74 | |
| [86] | 0.3 | 200 | 3.3 | 2 | 1 | 0 | −7.28 |
| 0.3 | 400 | 3.3 | 2 | 1 | 0 | −10.91 | |
| 0.3 | 600 | 3.3 | 2 | 1 | 0 | −28.32 | |
| 0.3 | 800 | 3.3 | 2 | 1 | 0 | −61.19 | |
| 0.3 | 200 | 3.3 | 2 | 1 | 0 | −3.52 | |
| 0.3 | 400 | 3.3 | 2 | 1 | 0 | −2.46 | |
| 0.3 | 600 | 3.3 | 2 | 1 | 0 | −23.39 | |
| 0.3 | 800 | 3.3 | 2 | 1 | 0 | −56.37 | |
| [87] | 0.72 | 300 | 10 | 3 | 1 | 0 | 22.59 |
| 0.72 | 600 | 10 | 3 | 1 | 0 | −4.17 | |
| 0.72 | 900 | 10 | 3 | 1 | 0 | −68.42 | |
| 0.71 | 300 | 10 | 3 | 1 | 0 | 34.31 | |
| 0.71 | 600 | 10 | 3 | 1 | 0 | 10.71 | |
| 0.71 | 900 | 10 | 3 | 1 | 0 | −72.26 | |
| 0.7 | 300 | 10 | 3 | 1 | 0 | 41.52 | |
| 0.7 | 600 | 10 | 3 | 1 | 0 | 16.71 | |
| 0.7 | 900 | 10 | 3 | 1 | 0 | −55.77 | |
| 0.7 | 300 | 10 | 3 | 1 | 0 | 43.13 | |
| 0.7 | 600 | 10 | 3 | 1 | 0 | 36.56 | |
| 0.7 | 900 | 10 | 3 | 1 | 0 | −48.44 | |
| 0.7 | 300 | 10 | 3 | 1 | 0 | 37.07 | |
| 0.7 | 600 | 10 | 3 | 1 | 0 | 24.88 | |
| 0.7 | 900 | 10 | 3 | 1 | 0 | −23.41 | |
| 0.72 | 300 | 20 | 3 | 1 | 0 | −18.86 | |
| 0.72 | 600 | 20 | 3 | 1 | 0 | −30.92 | |
| 0.72 | 900 | 20 | 3 | 1 | 0 | −71.93 | |
| 0.71 | 300 | 20 | 3 | 1 | 0 | −14.84 | |
| 0.71 | 600 | 20 | 3 | 1 | 0 | −30.90 | |
| 0.71 | 900 | 20 | 3 | 1 | 0 | −74.70 | |
| 0.7 | 300 | 20 | 3 | 1 | 0 | −13.02 | |
| 0.7 | 600 | 20 | 3 | 1 | 0 | −23.34 | |
| 0.7 | 900 | 20 | 3 | 1 | 0 | −60.20 | |
| 0.7 | 300 | 20 | 3 | 1 | 0 | −14.69 | |
| 0.7 | 600 | 20 | 3 | 1 | 0 | −27.50 | |
| 0.7 | 900 | 20 | 3 | 1 | 0 | −53.44 | |
| 0.7 | 300 | 20 | 3 | 1 | 0 | −28.29 | |
| 0.7 | 600 | 20 | 3 | 1 | 0 | −36.10 | |
| 0.7 | 900 | 20 | 3 | 1 | 0 | −28.29 | |
| [88] | 0.47 | 200 | 10 | 0 | 1 | 0 | −0.19 |
| 0.47 | 400 | 10 | 0 | 1 | 0 | −15.39 | |
| 0.47 | 600 | 10 | 0 | 1 | 0 | −12.68 | |
| 0.47 | 800 | 10 | 0 | 1 | 0 | −55.18 | |
| 0.47 | 200 | 10 | 0 | 1 | 0 | −5.30 | |
| 0.47 | 400 | 10 | 0 | 1 | 0 | −25.88 | |
| 0.47 | 600 | 10 | 0 | 1 | 0 | −32.48 | |
| 0.47 | 800 | 10 | 0 | 1 | 0 | −47.68 | |
| 0.47 | 200 | 10 | 0 | 1 | 0 | 2.02 | |
| 0.47 | 400 | 10 | 0 | 1 | 0 | −14.72 | |
| 0.47 | 600 | 10 | 0 | 1 | 0 | −6.00 | |
| 0.47 | 800 | 10 | 0 | 1 | 0 | −30.94 | |
| 0.47 | 200 | 10 | 0 | 1 | 0 | −15.88 | |
| 0.47 | 400 | 10 | 0 | 1 | 0 | 4.28 | |
| 0.47 | 600 | 10 | 0 | 1 | 0 | −14.91 | |
| 0.47 | 800 | 10 | 0 | 1 | 0 | −34.43 | |
| 0.47 | 200 | 10 | 1 | 1 | 0 | −21.77 | |
| 0.47 | 400 | 10 | 1 | 1 | 0 | −3.38 | |
| 0.47 | 600 | 10 | 1 | 1 | 0 | −16.81 | |
| 0.47 | 800 | 10 | 1 | 1 | 0 | −57.13 | |
| 0.47 | 200 | 10 | 1 | 1 | 0 | 3.42 | |
| 0.47 | 400 | 10 | 1 | 1 | 0 | −19.59 | |
| 0.47 | 600 | 10 | 1 | 1 | 0 | −39.67 | |
| 0.47 | 800 | 10 | 1 | 1 | 0 | −51.77 | |
| 0.47 | 200 | 10 | 1 | 1 | 0 | −10.02 | |
| 0.47 | 400 | 10 | 1 | 1 | 0 | −3.74 | |
| 0.47 | 600 | 10 | 1 | 1 | 0 | −11.44 | |
| 0.47 | 800 | 10 | 1 | 1 | 0 | −51.09 | |
| 0.47 | 200 | 10 | 1 | 1 | 0 | −30.66 | |
| 0.47 | 400 | 10 | 1 | 1 | 0 | 2.13 | |
| 0.47 | 600 | 10 | 1 | 1 | 0 | −22.09 | |
| 0.47 | 800 | 10 | 1 | 1 | 0 | −43.47 | |
| 0.47 | 200 | 10 | 2 | 1 | 0 | −11.96 | |
| 0.47 | 400 | 10 | 2 | 1 | 0 | −5.09 | |
| 0.47 | 600 | 10 | 2 | 1 | 0 | −30.14 | |
| 0.47 | 800 | 10 | 2 | 1 | 0 | −60.54 | |
| 0.47 | 200 | 10 | 2 | 1 | 0 | −9.17 | |
| 0.47 | 400 | 10 | 2 | 1 | 0 | −16.20 | |
| 0.47 | 600 | 10 | 2 | 1 | 0 | −39.69 | |
| 0.47 | 800 | 10 | 2 | 1 | 0 | −67.80 | |
| 0.47 | 200 | 10 | 2 | 1 | 0 | −10.28 | |
| 0.47 | 400 | 10 | 2 | 1 | 0 | 7.51 | |
| 0.47 | 600 | 10 | 2 | 1 | 0 | −26.43 | |
| 0.47 | 800 | 10 | 2 | 1 | 0 | −53.69 | |
| 0.47 | 200 | 10 | 2 | 1 | 0 | −9.97 | |
| 0.47 | 400 | 10 | 2 | 1 | 0 | −12.12 | |
| 0.47 | 600 | 10 | 2 | 1 | 0 | −30.34 | |
| 0.47 | 800 | 10 | 2 | 1 | 0 | −49.06 | |
References
- Fu, Z.M. Analysis of our fire statistics. J. Saf. Environ. 2014, 14, 341–345. (In Chinese) [Google Scholar]
- Zhang, R.Y. New Technologies for Quality Inspection of Construction Projects; China Planning Press: Beijing, China, 2001. (In Chinese) [Google Scholar]
- Ma, Q.M.; Guo, R.X.; Zhao, Z.M. Mechanical properties of concrete at high temperature—A review. Constr. Build. Mater. 2015, 93, 371–383. [Google Scholar] [CrossRef]
- Fire and Rescue Department Ministry of Emergency Management. 2022. Available online: https://www.119.gov.cn/qmxfxw/mtbd/spbd/2022/33150.shtml (accessed on 23 October 2022).
- Qu, H.K.; Zhou, L.C.; Wang, L. Study on properties of high temperature concrete under different cooling methods. New Build. Mater. 2017, 44, 4. (In Chinese) [Google Scholar] [CrossRef]
- Peng, G.F.; Yang, J.; Shi, Y.X. Experimental study on residual mechanical properties of ultra-high performance concrete exposed to high temperature. China Civ. Eng. J. 2017, 50, 73–79. (In Chinese) [Google Scholar]
- Zheng, Y.T.; Li, Y.C.; Peng, C.X. Effect of different cooling methods on mechanical properties of concrete after high temperature. J. Water Resour. Water Eng. 2019, 30, 189–194. (In Chinese) [Google Scholar]
- Zhang, B.; Chen, J.; Yang, O. Experimental study on mass loss and compressive strength degradation law of concrete after high temperature exposure. Build. Struct. 2019, 4, 6. (In Chinese) [Google Scholar]
- Zhang, B.; Chen, J.; Yang, O. Influence of Water Cement Ratio on Mass Loss and Compressive Strength Degradation of Concrete at Elevated Temperature. J. Disaster Prev. Mitig. Eng. 2018, 38, 9. (In Chinese) [Google Scholar]
- Bian, R.; Zhang, Y.; Jiang, L.H. Research of the mechanical properties of concrete after high temperature. Concrete 2017, 11, 10–18. (In Chinese) [Google Scholar]
- Ke, X.J.; Yang, C.H.; Su, Y.S. Effect of cooling method on mechanical property of steel fiber reinforced high-strength concrete after high temperature. J. Henan Univ. Urban Constr. 2017, 5, 794–800. (In Chinese) [Google Scholar]
- Yu, Z.W.; Zi, W.; Kuang, Y.C. Influences of temperature and time on concrete cubic compressive strength. Fire Sci. Technol. 2012, 2, 111–114. (In Chinese) [Google Scholar]
- Zi, W.; Yu, Z.W.; Kuang, Y.C. Influences of fire temperature and time on concrete residual compressive strength after water cooling. J. Cent. South Univ. 2013, 44, 1545–1550. (In Chinese) [Google Scholar]
- Shao, W.; Chen, Y.L.; Zhou, Y.C. Experimental Study on Mechanical Properties of Concrete after Different Temperature and Different Heating Time. J. Disaster Prev. Mitig. Eng. 2012, 4, 248–252. (In Chinese) [Google Scholar]
- Li, C.L.; Chen, B.; Chen, L.Z. Experimental study on mechanical properties of early-aged concrete after exposure to high temperatures. Sichuan Build. Sci. 2008, 34, 184–188. (In Chinese) [Google Scholar]
- Wu, Y.P.; Li, Y.H.; Zhang, X. Influences of water-binder ratio and fly-ash replacement level on compressive strength of concrete after high temperature. Build. Struct. 2019, 49, 4. (In Chinese) [Google Scholar]
- Cao, W.Z.; Sun, Q.X.; Zhou, M.R. Study on effect rule of cementing material andaggregate varieties upon concrete resistance to high temperature. New Build. Mater. 2009, 36, 17–20. (In Chinese) [Google Scholar]
- Zhang, Y.; Han, Y.; Kong, C.R.; Liu, S.G. Experimental Study on the Mechanics Performances of the Concrete with Manufactured Sand after High Temperature. Copp. Eng. 2012, 4, 1–4. (In Chinese) [Google Scholar]
- Su, X.F.; Zhang, Y.H. Effect of Fire High Temperature on Macroscopic Properties and Microstructure of Concrete Containing Marble. Bull. Chin. Ceram. Soc. 2019, 38, 3916–3921. (In Chinese) [Google Scholar]
- Yan, L.; Xin, Y.M.; He, Y.H. High temperature mechanical properties and microscopic analysis of hybrid fiber reinforced high performance concrete (HFHPC). Concrete 2012, 4, 24–28. (In Chinese) [Google Scholar]
- Ju, L.Y.; Zhang, X. Effects of Hybrid Fiber on High Performance Concrete Properties under High Temperature. J. Tongji Univ. 2006, 89–92, 101. (In Chinese) [Google Scholar]
- Jin, Z.Q.; Sun, W.; Hou, B.R. High-temperature deformation and microstructural evolution of concrete. J. Southeast Univ. Nat. Sci. Ed. 2010, 40, 619–623. (In Chinese) [Google Scholar]
- Liu, M.Y.; Lin, Z.W.; Ding, Q.J. Study of high performance concrete after high temperature with different PPF dosage. J. Huazhong Univ. Sci. Technol. Urban Sci. Ed. 2007, 24, 14–17. (In Chinese) [Google Scholar]
- Liu, M.Y.; Cheng, L.; Ding, Q.J. Mechanical properties of concrete with different fiber blends after high temperature. J. Huazhong Univ. Sci. Technol. Nat. Sci. Ed. 2008, 4, 123–125. (In Chinese) [Google Scholar]
- Li, Y.Q.; Li, L.J.; Su, J.B. Influence of coarse aggregate type on the high-temperature bursting performance of high-strength concrete. Concrete 2011, 4, 73–75. (In Chinese) [Google Scholar]
- Sun, W.; Luo, X. Study on the high temperature performance of high performance concrete. J. Constr. Mater. 2000, 4, 34–39. (In Chinese) [Google Scholar]
- Jia, F.P.; Cui, Y.L.; Sun, Y.B. Influence of high temperature on mechanical properties of fly ash concrete with large dosing capacity. J. Xi’an Univ. Archit. Technol. Nat. Sci. Ed. 2011, 43, 581–587. (In Chinese) [Google Scholar]
- Wang, K.Q. Research on the performance of fiber-reinforced concrete during high temperature damage. J. Xuzhou Coll. Constr. Technol. 2011, 11, 21–24. (In Chinese) [Google Scholar]
- Xie, L.E.; Lu, W.L.; Zheng, Q. Experimental study on the strength change of concrete under high temperature post-water cooling conditions. J. Lanzhou Jiaotong Univ. 2017, 36, 5. (In Chinese) [Google Scholar]
- Chen, L.H.; Meng, H.R.; Shang, J.L. Experimental study on nondestructive testing of ordinary concrete after high temperature. Sichuan Constr. Sci. Res. 2007, 33, 67–70. (In Chinese) [Google Scholar]
- Lv, T.Q.; Zhao, G.F.; Lin, C.X. Experimental study on the mechanical properties of concrete after high temperature resting. J. Build. Struct. 2004, 4, 63–70. (In Chinese) [Google Scholar]
- Chen, Z.P.; Wang, H.H.; Chen, Y.L. Experimental study on the mechanical properties of concrete after high temperature. Concrete 2015, 4, 13–17. (In Chinese) [Google Scholar]
- Hou, G.F.; Wei, J. Experimental study on mechanical properties of concrete with different strength grades after high temperature. Eng. Qual. 2010, 28, 68–70. (In Chinese) [Google Scholar]
- Tanyildizi, H. Variance analysis of crack characteristics of structural lightweight concrete containing silica fume exposed to high temperature. Constr. Build. Mater. 2013, 47, 1154–1159. [Google Scholar] [CrossRef]
- Yan, X.; Li, H.; Wong, Y.L. Assessment and repair of fire-damaged high-strength concrete: Strength and durability. J. Mater. Civ. Eng. 2007, 19, 462–469. [Google Scholar] [CrossRef]
- Shang, H.S.; Yi, T.H. Behavior of HPC with fly ash after elevated temperature. Adv. Mater. Sci. Eng. 2013, 2013, 478421. [Google Scholar] [CrossRef]
- Behnood, A.; Ghandehari, M. Comparison of compressive and splitting tensile strength of high-strength concrete with and without polypropylene fibers heated to high temperatures. Fire Saf. J. 2009, 44, 1015–1022. [Google Scholar] [CrossRef]
- Poon, C.S.; Shui, Z.H.; Lam, L. Compressive behavior of fiber reinforced high-performance concrete subjected to elevated temperatures. Cem. Concr. Res. 2004, 34, 2215–2222. [Google Scholar] [CrossRef]
- Zheng, W.; Li, H.; Wang, Y. Compressive behaviour of hybrid fiber-reinforced reactive powder concrete after high temperature. Mater. Des. 2012, 41, 403–409. [Google Scholar] [CrossRef]
- Tao, J.; Yuan, Y.; Taerwe, L. Compressive strength of self-compacting concrete during high-temperature exposure. J. Mater. Civ. Eng. 2010, 22, 1005–1011. [Google Scholar] [CrossRef]
- Xiao, J.; Falkner, H. On residual strength of high-performance concrete with and without polypropylene fibres at elevated temperatures. Fire Saf. J. 2006, 41, 115–121. [Google Scholar] [CrossRef]
- Demirel, B.; Keleştemur, O. Effect of elevated temperature on the mechanical properties of concrete produced with finely ground pumice and silica fume. Fire Saf. J. 2010, 45, 385–391. [Google Scholar] [CrossRef]
- Bingöl, A.F.; Gül, R. Effect of elevated temperatures and cooling regimes on normal strength concrete. Fire Mater. Int. J. 2009, 33, 79–88. [Google Scholar] [CrossRef]
- Netinger, I.; Varevac, D.; Bjegović, D. Effect of high temperature on properties of steel slag aggregate concrete. Fire Saf. J. 2013, 59, 1–7. [Google Scholar] [CrossRef]
- Husem, M. The effects of high temperature on compressive and flexural strengths of ordinary and high-performance concrete. Fire Saf. J. 2006, 41, 155–163. [Google Scholar] [CrossRef]
- Noumowé, A.; Siddique, R.; Ranc, G. Thermo-mechanical characteristics of concrete at elevated temperatures up to 310 °C. Nucl. Eng. Des. 2009, 239, 470–476. [Google Scholar] [CrossRef]
- Shihada, S. Effect of polypropylene fibers on concrete fire resistance. J. Civ. Eng. Manag. 2011, 17, 259–264. [Google Scholar] [CrossRef]
- Peng, G.F.; Bian, S.H.; Guo, Z.Q. Effect of thermal shock due to rapid cooling on residual mechanical properties of fiber concrete exposed to high temperatures. Constr. Build. Mater. 2008, 22, 948–955. [Google Scholar] [CrossRef]
- Arioz, O. Effects of elevated temperatures on properties of concrete. Fire Saf. J. 2007, 42, 516–522. [Google Scholar] [CrossRef]
- Li, Q.; Li, Z.; Yuan, G. Effects of elevated temperatures on properties of concrete containing ground granulated blast furnace slag as cementitious material. Constr. Build. Mater. 2012, 35, 687–692. [Google Scholar] [CrossRef]
- Behnood, A.; Ziari, H. Effects of silica fume addition and water to cement ratio on the properties of high-strength concrete after exposure to high temperatures. Cem. Concr. Compos. 2008, 30, 106–112. [Google Scholar] [CrossRef]
- Zhang, B. Effects of moisture evaporation (weight loss) on fracture properties of high performance concrete subjected to high temperatures. Fire Saf. J. 2011, 46, 543–549. [Google Scholar] [CrossRef]
- Muhammad, B.; Ismail, M.; Haron, Z. Elastomeric Effect of Natural Rubber Latex on Compressive Strength of Concrete at High Temperatures. J. Mater. Civ. Eng. 2011, 23, 1697–1702. [Google Scholar] [CrossRef]
- Rashad, A.M.; Zeedan, S.R. The effect of activator concentration on the residual strength of alkali-activated fly ash pastes subjected to thermal load. Constr. Build. Mater. 2011, 25, 3098–3107. [Google Scholar] [CrossRef]
- Peng, G.F.; Yang, W.W.; Zhao, J. Explosive spalling and residual mechanical properties of fiber-toughened high-performance concrete subjected to high temperatures. Cem. Concr. Res. 2006, 36, 723–727. [Google Scholar] [CrossRef]
- Chen, B.; Li, C.; Chen, L. Experimental study of mechanical properties of normal-strength concrete exposed to high temperatures at an early age. Fire Saf. J. 2009, 44, 997–1002. [Google Scholar] [CrossRef]
- Kanema, M.; De Morais, M.V.G.; Noumowe, A. Experimental and numerical studies of thermo-hydrous transfers in concrete exposed to high temperature. Heat Mass Transf. 2007, 44, 149–164. [Google Scholar] [CrossRef]
- Uysal, M.; Tanyildizi, H. Estimation of compressive strength of self compacting concrete containing polypropylene fiber and mineral additives exposed to high temperature using artificial neural network. Constr. Build. Mater. 2012, 27, 404–414. [Google Scholar] [CrossRef]
- Zhang, B.; Bicanic, N. Fracture energy of high-performance concrete at high temperatures up to 450 C: The effects of heating temperatures and testing conditions (hot and cold). Mag. Concr. Res. 2006, 58, 277–288. [Google Scholar] [CrossRef]
- Hossain, K.M.A. High strength blended cement concrete incorporating volcanic ash: Performance at high temperatures. Cem. Concr. Compos. 2006, 28, 535–545. [Google Scholar] [CrossRef]
- Yan, L.; Xing, Y.M.; Li, J.J. High-temperature mechanical properties and microscopic analysis of hybrid-fibre-reinforced high-performance concrete. Mag. Concr. Res. 2013, 65, 139–147. [Google Scholar] [CrossRef]
- Marques, A.M.; Correia, J.R.; De Brito, J. Post-fire residual mechanical properties of concrete made with recycled rubber aggregate. Fire Saf. J. 2013, 58, 49–57. [Google Scholar] [CrossRef]
- Mendes, A.; Sanjayan, J.; Collins, F. Phase transformations and mechanical strength of OPC/Slag pastes submitted to high temperatures. Mater. Struct. 2008, 41, 345–350. [Google Scholar] [CrossRef]
- Poon, C.S.; Azhar, S.; Anson, M. Performance of metakaolin concrete at elevated temperatures. Cem. Concr. Compos. 2003, 25, 83–89. [Google Scholar] [CrossRef]
- Xu, Y.; Wong, Y.L.; Poon, C.S. Impact of high temperature on PFA concrete. Cem. Concr. Res. 2001, 31, 1065–1073. [Google Scholar] [CrossRef]
- Ismail, M.; Ismail, M.E.G.; Muhammad, B. Influence of elevated temperatures on physical and compressive strength properties of concrete containing palm oil fuel ash. Constr. Build. Mater. 2011, 25, 2358–2364. [Google Scholar] [CrossRef]
- Savva, A.; Manita, P.; Sideris, K.K. Influence of elevated temperatures on the mechanical properties of blended cement concretes prepared with limestone and siliceous aggregates. Cem. Concr. Compos. 2005, 27, 239–248. [Google Scholar] [CrossRef]
- Tang, W.C.; Lo, T.Y. Mechanical and fracture properties of normal-and high-strength concretes with fly ash after exposure to high temperatures. Mag. Concr. Res. 2009, 61, 323–330. [Google Scholar] [CrossRef]
- Sideris, K.K. Mechanical characteristics of self-consolidating concretes exposed to elevated temperatures. J. Mater. Civ. Eng. 2007, 19, 648–654. [Google Scholar] [CrossRef]
- Akçaözoğlu, K. Microstructural examination of concrete exposed to elevated temperature by using plane polarized transmitted light method. Constr. Build. Mater. 2013, 48, 772–779. [Google Scholar] [CrossRef]
- Bakhtiyari, S.; Allahverdi, A.; Rais-Ghasemi, M. Self-compacting concrete containing different powders at elevated temperatures–Mechanical properties and changes in the phase composition of the paste. Thermochim. Acta 2011, 514, 74–81. [Google Scholar] [CrossRef]
- Uysal, M. Self-compacting concrete incorporating filler additives: Performance at high temperatures. Constr. Build. Mater. 2012, 26, 701–706. [Google Scholar] [CrossRef]
- Fares, H.; Noumowe, A.; Remond, S. Self-consolidating concrete subjected to high temperature: Mechanical and physicochemical properties. Cem. Concr. Res. 2009, 39, 1230–1238. [Google Scholar] [CrossRef]
- Ling, T.C.; Poon, C.S. Stress–strain behaviour of fire exposed self-compacting glass concrete. Fire Mater. 2013, 37, 297–310. [Google Scholar] [CrossRef]
- Fu, Y.F.; Wong, Y.L.; Poon, C.S. Stress–strain behaviour of high-strength concrete at elevated temperatures. Mag. Concr. Res. 2005, 57, 535–544. [Google Scholar] [CrossRef]
- Zega, C.J.; Di Maio, A.A. Recycled concrete exposed to high temperatures. Mag. Concr. Res. 2006, 58, 675–682. [Google Scholar] [CrossRef]
- Chen, B.; Liu, J. Residual strength of hybrid-fiber-reinforced high-strength concrete after exposure to high temperatures. Cem. Concr. Res. 2004, 34, 1065–1069. [Google Scholar] [CrossRef]
- Chan, Y.N.; Peng, G.F.; Anson, M. Residual strength and pore structure of high-strength concrete and normal strength concrete after exposure to high temperatures. Cem. Concr. Compos. 1999, 21, 23–27. [Google Scholar] [CrossRef]
- Ghandehari, M.; Behnood, A.; Khanzadi, M. Residual mechanical properties of high-strength concretes after exposure to elevated temperatures. J. Mater. Civ. Eng. 2010, 22, 59–64. [Google Scholar] [CrossRef]
- Xiao, J.; Xie, M.; Zhang, C. Residual compressive behaviour of pre-heated high-performance concrete with blast–furnace–slag. Fire Saf. J. 2006, 41, 91–98. [Google Scholar] [CrossRef]
- Guerrieri, M.; Sanjayan, J.; Collins, F. Residual compressive behavior of alkali-activated concrete exposed to elevated temperatures. Fire Mater. Int. J. 2009, 33, 51–62. [Google Scholar] [CrossRef]
- Watanabe, K.; Bangi, M.R.; Horiguchi, T. The effect of testing conditions (hot and residual) on fracture toughness of fiber reinforced high-strength concrete subjected to high temperatures. Cem. Concr. Res. 2013, 51, 6–13. [Google Scholar] [CrossRef]
- Vodák, F.; Trtık, K.; Kapičková, O. The effect of temperature on strength–porosity relationship for concrete. Constr. Build. Mater. 2004, 18, 529–534. [Google Scholar] [CrossRef]
- Ergün, A.; Kürklü, G.; Serhat, B.M. The effect of cement dosage on mechanical properties of concrete exposed to high temperatures. Fire Saf. J. 2013, 55, 160–167. [Google Scholar] [CrossRef]
- Zhang, X.S.; Wu, X.H.; Li, Z.W. Effect of high temperature on compressive strength and microstructure of slag concrete. Build. Sci. 2019, 35, 72–76. (In Chinese) [Google Scholar]
- Qin, D.T.; Zhao, L.P. Compressive strength of fibrous slag concrete in and after high temperature. Henan Build. Mater. 2011, 6, 60–61. (In Chinese) [Google Scholar]
- Aydın, S. Development of a high-temperature-resistant mortar by using slag and pumice. Fire Saf. J. 2008, 43, 610–617. [Google Scholar] [CrossRef]
- Shumuye, E.D.; Zhao, J.; Wang, Z. Effect of the Curing Condition and High-Temperature Exposure on Ground-Granulated Blast-Furnace Slag Cement Concrete. Int. J. Concr. Struct. Mater. 2021, 15, 1–20. [Google Scholar] [CrossRef]
- Lin, C.J.; Wu, N.J. An ANN Model for Predicting the Compressive Strength of Concrete. Appl. Sci. 2021, 11, 3798. [Google Scholar] [CrossRef]
- Hu, A.J.; Nan, B. Fault feature enhancement method for rolling bearing based on adaptiveprobabilistic principal component analysis. J. Vib. Shock 2017, 36, 145–150. (In Chinese) [Google Scholar]
- Deng, Y.R.; Cheng, X.D.; Tang, F. The control of moldy risk during rice storage based on multivariate linear regression analysis and random forest algorithm. J. Univ. Sci. Technol. 2022, 52, 47–54+72+55. [Google Scholar] [CrossRef]
- Raschka, S. Python Machine Learning; Packt Publishing: Birmingham, UK, 2015. [Google Scholar]
- Choe, G.; Kim, G.; Yoon, M. Effect of moisture migration and water vapor pressure build-up with the heating rate on concrete spalling type. Cem. Concr. Res. 2019, 116, 1–10. [Google Scholar] [CrossRef]
- Zhao, D.F.; Liu, M. Experimental study on residual strength and nondestructive testing of high strength concrete after high temperature. J. Build. Struct. 2015, 36 (Suppl. 2), 365–372. (In Chinese) [Google Scholar]
- Muhammed, Y.D.; Ahmet, H.S. High temperature resistance of concretes with GGBFS, waste glass powder, and colemanite ore wastes after different cooling conditions. Constr. Build. Mater. 2019, 196, 66–81. [Google Scholar]
- Shu, Q.; Lu, L.; Yuan, G. Experimental investigation on the mechanical properties of early-age concrete after heating up to 550 °C. Eur. J. Environ. Civ. Eng. 2019, 25, 1364–1378. [Google Scholar] [CrossRef]












| W/B | T (°C) | V (°C/min) | MD (h) | C | RD (day) | P (%) | |
|---|---|---|---|---|---|---|---|
| Range | [0.18–0.77] | [50–1200] | [0.10–500] | [0–48] | 0/1 | [0–112] | [–99.46–66.88] |
| Average | 0.44 | 479.50 | 18.82 | 2.43 | - | 3.55 | −31.22 |
| Standard deviation | 0.12 | 240.29 | 57.48 | 3.09 | - | 14.07 | 29.17 |
| Error (%) | 6-5-1 | 6-7-1 | 6-10-1 | 6-(5,5)-1 | ||||
|---|---|---|---|---|---|---|---|---|
| Training | Test | Training | Test | Training | Test | Training | Test | |
| RMSE | 6.27 | 6.09 | 4.17 | 3.14 | 5.98 | 4.27 | 4.92 | 3.97 |
| MAE | 5.74 | 5.01 | 3.12 | 2.78 | 4.73 | 3.91 | 4.03 | 3.19 |
| No. | W/B | Water | Cement | Coarse Aggregates | Fine Aggregates |
|---|---|---|---|---|---|
| 1 | 0.3 | 380 | 114 | 1113 | 743 |
| 2,4–7 | 0.4 | 380 | 152 | 1091 | 727 |
| 3 | 0.5 | 380 | 190 | 1068 | 712 |
| No. | T (°C) | V (°C/min) | MD (Hour) | C | RD (Day) |
|---|---|---|---|---|---|
| 1 | 200, 400, 600, 800 | 10 | 2 | Nature | 0 |
| 2 | 10 | 2 | Nature | 0 | |
| 3 | 10 | 2 | Nature | 0 | |
| 4 | 5 | 2 | Nature | 0 | |
| 5 | 10 | 1 | Nature | 0 | |
| 6 | 10 | 2 | Water | 0 | |
| 7 | 10 | 2 | Nature | 1 |
| BP | PSO-BP | RF | ||||
|---|---|---|---|---|---|---|
| Training | Test | Training | Test | Training | Test | |
| RMSE (%) | 4.17 | 3.14 | 2.60 | 2.12 | 2.56 | 2.23 |
| MAE (%) | 3.12 | 2.78 | 3.17 | 2.63 | 2.57 | 1.79 |
| No. | T (°C) | Compressive Strength (MPa) | P (Measured, %) | P (Predicted by BP, %) | P (Predicted by PSO-BP, %) | P (Predicted by RF, %) |
|---|---|---|---|---|---|---|
| 1 | 20 | 75.61 | -- | -- | -- | -- |
| 200 | 69.45 | −8.14 | −4.61 | −5.57 | −5.13 | |
| 400 | 62.59 | −17.22 | −14.37 | −15.83 | −16.98 | |
| 600 | 45.36 | −40.00 | −37.42 | −41.23 | −39.61 | |
| 800 | 26.61 | −64.81 | −64.14 | −65.03 | −62.03 | |
| 2 | 20 | 48.16 | -- | -- | -- | -- |
| 200 | 44.24 | −8.14 | −8.27 | −7.99 | −9.01 | |
| 400 | 38.42 | −20.22 | −16.68 | −21.07 | −20.66 | |
| 600 | 26.48 | −45.02 | −37.69 | −47.51 | −47.22 | |
| 800 | 14.99 | −68.88 | −65.36 | −69.32 | −70.23 | |
| 3 | 20 | 40.42 | -- | -- | -- | -- |
| 200 | 35.38 | −12.47 | −13.15 | −11.73 | −12.40 | |
| 400 | 30.01 | −25.76 | −27.39 | −25.82 | −24.92 | |
| 600 | 22.17 | −45.15 | −47.86 | −46.22 | −42.79 | |
| 800 | 11.64 | −71.19 | −70.37 | −69.61 | −68.11 | |
| 4 | 20 | 48.16 | -- | -- | -- | -- |
| 200 | 42.72 | −11.31 | −10.96 | −12.62 | −11.80 | |
| 400 | 37.78 | −21.56 | −22.92 | −22.56 | −23.19 | |
| 600 | 29.37 | −39.01 | −43.83 | −38.91 | −38.93 | |
| 800 | 11.76 | −75.57 | −77.17 | −77.14 | −74.32 | |
| 5 | 20 | 48.16 | -- | -- | -- | -- |
| 200 | 44.11 | −8.41 | −7.59 | −10.23 | −6.99 | |
| 400 | 38.89 | −19.25 | −16.00 | −23.23 | −20.20 | |
| 600 | 29.94 | −37.83 | −36.47 | −39.67 | −38.90 | |
| 800 | 15.70 | −67.39 | −64.00 | −68.22 | −66.39 | |
| 6 | 20 | 48.16 | -- | -- | -- | -- |
| 200 | 44.24 | −8.14 | −8.14 | −8.19 | −9.13 | |
| 400 | 39.67 | −17.63 | −16.10 | −18.11 | −15.19 | |
| 600 | 29.15 | −39.46 | −34.44 | −40.34 | −38.92 | |
| 800 | 17.21 | −64.27 | −61.42 | −63.28 | −64.02 | |
| 7 | 20 | 48.16 | -- | -- | -- | -- |
| 200 | 44.96 | −6.63 | −8.21 | −7.91 | −7.24 | |
| 400 | 38.67 | −19.70 | −21.03 | −21.19 | −18.93 | |
| 600 | 26.63 | −44.69 | −46.11 | −47.91 | −44.93 | |
| 800 | 15.29 | −66.24 | −68.31 | −69.01 | −67.29 |
| BP | PSO-BP | RF | |
|---|---|---|---|
| Range (%) | [0.00–43.37] | [0.23–31.57] | [0.20–36.98] |
| Average (%) | 8.88 | 6.37 | 5.70 |
Publisher’s Note: MDPI stays neutral with regard to jurisdictional claims in published maps and institutional affiliations. |
© 2022 by the authors. Licensee MDPI, Basel, Switzerland. This article is an open access article distributed under the terms and conditions of the Creative Commons Attribution (CC BY) license (https://creativecommons.org/licenses/by/4.0/).
Share and Cite
Qin, X.; Ma, Q.; Guo, R.; Tan, S. Prediction of Compressive Strength Loss of Normal Concrete after Exposure to High Temperature. Appl. Sci. 2022, 12, 12237. https://doi.org/10.3390/app122312237
Qin X, Ma Q, Guo R, Tan S. Prediction of Compressive Strength Loss of Normal Concrete after Exposure to High Temperature. Applied Sciences. 2022; 12(23):12237. https://doi.org/10.3390/app122312237
Chicago/Turabian StyleQin, Xiaoyu, Qianmin Ma, Rongxin Guo, and Shaoen Tan. 2022. "Prediction of Compressive Strength Loss of Normal Concrete after Exposure to High Temperature" Applied Sciences 12, no. 23: 12237. https://doi.org/10.3390/app122312237
APA StyleQin, X., Ma, Q., Guo, R., & Tan, S. (2022). Prediction of Compressive Strength Loss of Normal Concrete after Exposure to High Temperature. Applied Sciences, 12(23), 12237. https://doi.org/10.3390/app122312237

