Abstract
In this paper, steel fiber coal gangue concrete is examined for its fire resistance, high strength, and stability, aiming to achieve both green sustainability and resistance to elevated temperatures. We conducted tests on concrete specimens with varying coal gangue aggregate volume replacement rates (0%, 20%, 40%, 60%) and steel fiber volume contents (0%, 0.5%, 1.0%, 1.5%) to assess their post-high-temperature mechanical properties. These tests were performed at five temperature levels: 20 °C, 200 °C, 400 °C, 600 °C, and 800 °C. The focus was on analyzing the residual mechanical properties and constitutive relationship of the steel fiber coal gangue concrete after exposure to high temperatures. The findings indicate that as the temperature rises, the compressive strength, split tensile strength, and modulus of elasticity of the steel fiber coal gangue concrete specimens undergo varying degrees of reduction. However, the peak strain and ultimate strain increase gradually. The incorporation of steel fibers enhances the mechanical properties of the coal gangue concrete, resulting in improvements in the elastic modulus and peak strain, both before and after exposure to high temperatures. Furthermore, the established constitutive relationship for steel fiber coal gangue concrete after high temperatures, derived from calculations and validated with experimental data, provides a more accurate representation of the entire damage process under uniaxial compressive loading at elevated temperatures.
1. Introduction
Coal gangue, a globally significant traditional energy source, holds a pivotal position in the world’s energy landscape, deeply intertwined with economic growth and human livelihoods. Specifically, during the mining and sorting of coal, coal gangue emerges as an industrial solid waste. For instance, in China, a prominent energy producer, approximately one ton of coal gangue is discarded for every 10 tons of coal extracted. Currently, China’s territory houses a stockpile of over 3 billion tons of coal gangue [1]. Coal gangue aggregate finds extensive use in the construction industry, primarily as a supplementary cementitious material. Researchers such as Yuanzhan Wang [2] have explored the utilization of fly ash and gangue in formulating green concrete, evaluating its mechanical properties and chloride ion permeability. The study revealed that a mass ratio of 40/60 between fly ash and gangue, at a replacement level of 20%, led to a 4.5% and 5% enhancement in the concrete’s mechanical properties and anti-chloride ion permeability, respectively. Furthermore, brickmaking serves as another avenue for the comprehensive utilization of coal gangue. This process involves multiple steps, including crushing, sieving, mixing, aging, forming, pressing, oven drying, firing, and testing [3]. Given that the quality of concrete structures significantly impacts the overall quality of a construction project, the exploration of coal gangue’s application in concrete becomes imperative. To date, numerous scholars have underscored the significant value of incorporating coal gangue into concrete [4,5,6,7,8,9,10,11].
Yuzhuo Zhang [12] and fellow researchers delved into the influence of varying coarse aggregate replacement ratios and particle size distributions of self-combustion coal gangue on concrete’s compressive strength, tensile splitting strength, and modulus of elasticity. Their findings indicate a substantial effect on the mechanical properties of concrete, particularly when the replacement ratio of self-combustion coal gangue coarse aggregate reaches 100%. In this scenario, the compressive strength, tensile splitting strength, and modulus of elasticity of the concrete were observed to decrease by 19.4%, 36.1%, and 32.2%, respectively. Jinman Wang [13] and colleagues investigated the implications of incorporating coal gangue and fly ash admixtures on concrete’s permeability and compressive strength. Their experiments revealed that by replacing 15% of the cement with fly ash and 30% of the ordinary crushed stone with gangue, the compressive strength of the concrete exceeded 10 MPa. Notably, the concrete formulated using waste gangue and fly ash exhibited superior water permeability compared to conventional concrete.
In a separate study, Haiqing Liu [14] and co-authors formulated a prediction model for estimating the elastic modulus of concrete containing non-spontaneous and spontaneous coal gangue aggregates. They utilized 150 sets of experimental data to validate this model, which effectively predicted the modulus of elasticity for both types of coal gangue aggregates. Their results emphasize the significance of the coal gangue substitution rate as a primary factor influencing concrete’s modulus of elasticity. Specifically, the modulus of elasticity for concrete containing 100% non-autogenous and autogenous coal gangue aggregates was found to decrease by 57% and 41%, respectively.
In essence, to compensate for the inherent low strength of coal gangue aggregate, incorporating fibers into gangue concrete emerges as a viable strategy to bolster its structural integrity. Afroughsabet [15] and his team explored the impact of blending 1% steel and polypropylene fibers on the mechanical properties and durability of high-strength concrete. Their findings indicated a significant enhancement in the mechanical properties across all volumetric fractions. Chunhua Lu [16] and colleagues conducted a comparative study on the flexural behavior of reinforced concrete beams using both plain concrete and steel fiber-reinforced concrete. By fabricating eight hybrid reinforced beams and five beams with pure steel/GFRP bars, they observed that steel fiber concrete significantly hindered crack propagation and augmented beam stiffness compared to plain concrete. Weiguang Tong [17] and his research team evaluated the mechanical properties of steel fiber concrete and a blend of steel, polypropylene, and polyvinyl alcohol fibers. Their results revealed that incorporating optimal volumetric ratios of steel fibers or hybrid fibers substantially improved the mechanical characteristics of the concrete. Xiaofang Duan [18] and his colleagues incorporated plastic steel fibers at varying volumetric ratios (0%, 0.45%, 0.90%, 1.35%) into concrete to analyze its axial compressive and tensile strength during the early stages. Their study highlighted that plastic fibers significantly enhanced the early-age axial tensile strength of the concrete, with a relatively minor impact on its axial compressive strength. Lastly, Jing Jun Li [19] and his research group further expanded on this field, examining the effect of fiber reinforcement on concrete properties in different contexts. Utilizing a scanning electron microscope, we examined the interfacial transition zones between aggregate/cement paste and fiber/cement paste. The findings indicate that the incorporation of high-performance polypropylene fibers into concrete notably enhances various mechanical properties, including compressive strength, split tensile strength, flexural strength, flexural toughness, and impact resistance. Campione’s [20] study delved into the impact of steel fibers on the compressive strength of expanded clay lightweight aggregate concrete under both monotonic and cyclic loading conditions. The results revealed that volumetric admixtures of 0.5%, 1%, and 2% steel fibers increased the compressive strength of lightweight aggregate concrete by 22%, 29%, and 38% under monotonic loading, and by 23%, 23%, and 41% under cyclic loading, respectively. Furthermore, the voids present due to the bonding between coal gangue and cement mortar adversely affect the compressive strength and durability of concrete, manifesting in high porosity and strong water absorption capabilities [10]. Luo [8] argued that the inclusion of steel fibers or slag powder in gangue aggregate can refine its microstructure and minimize the void ratio of concrete. Thus, the addition of steel fibers to coal gangue concrete can enhance its properties, rendering it suitable for use in construction applications.
While concrete structures generally exhibit satisfactory fire resistance, undamaged concrete can still undergo a decrement in strength as temperatures rise [21]. Hence, a thorough examination of how various temperatures impact concrete’s mechanical properties is vital for evaluating and repairing fire-affected concrete components. In a comprehensive experimental study, Jéssica Beatriz da Silva [21] and her team utilized both standard and high-strength recycled concrete mixtures formulated with a compressible filler model. Their findings indicate that incorporating an additional mortar layer representing the characterized recycled concrete enables a comprehensive analysis of the overall volume. Furthermore, Areej Abedalqader [22] and his colleagues experimentally assessed the mechanical properties of recycled concrete, such as compressive strength, modulus of elasticity, and compressive stress–strain curves, at varying temperatures (20 °C, 200 °C, 400 °C, and 500 °C) with differing percentages of recycled aggregate replacement (20%, 40%, 60%, and 100%). Their results revealed a deteriorating trend in concrete’s mechanical properties as the proportion of recycled aggregates increased at a given temperature. Furthermore, R Talo’s [23] study revealed that cylinders exposed to 100 °C experienced a marginal rise in compressive strength in contrast to cylinders heated to 400 °C, where no discernible trend in compressive strength was observed. Notably, specimens heated to 800 °C exhibited a significant decline in strength, reaching up to 82% reduction. B Cai’s [24] investigation into the mechanical properties of steel fiber volcanic slag concrete (SFSAC) following freeze–thaw cycles and exposure to elevated temperatures found that after 25 freeze–thaw cycles, both SFSAC and SFNAC exhibited a temperature-dependent decay of mechanical properties, albeit with varying degrees of deterioration. Notably, the inclusion of volcanic slag aggregate enhanced the mechanical properties of concrete, particularly when the temperature exceeded 400 °C.
A considerable body of research has been dedicated to exploring the post-thermal performance of lightweight aggregate concrete and fiber-reinforced ordinary aggregate concrete [20,25,26,27,28,29,30,31]. However, studies focusing on steel fiber coal gangue concrete remain scarce, and a universally accepted uniaxial compression constitutive model for this material after high-temperature exposure is yet to be established. This lack of a standardized model impedes further exploration into how varying steel fiber volume fractions and coal gangue replacement ratios influence the mechanical properties of coal gangue concrete under diverse temperature conditions. Consequently, this paper aims to enhance the mechanical performance of steel-fiber coal gangue concrete after high temperatures by incorporating randomly distributed short steel fibers into a coal gangue concrete matrix with a high substitution rate. This approach seeks to foster the widespread adoption of coal gangue concrete as an environmentally friendly building material.
2. Experimental Program
2.1. Materials
The coal gangue sampled for this experimental study originated from Lishu County, located in the province of Jilin in China. As depicted in Figure 1, the coal gangue’s physical characteristics are clearly displayed. In order to check the chemical composition of the gangue aggregate selected in this paper, we refer to MS Shackley [32], and the test results of X-ray fluorescence (XRF) on the coal gangue are shown in Table 1. Additionally, steel fibers were utilized as a component, and their visual appearance is also shown in Figure 1. Figure 2 shows the grading curves of coal gangue aggregate. The specific material properties of the raw ingredients utilized in the production of SFCGC specimens are outlined in Table 2. As can be seen in Table 2, the water absorption rate of gangue material in this paper is 8.3, compared to the workable concrete made from gangue aggregate with an 8.7% water absorption rate in Jisheng Qiu’s study [33]. The negative effect of water absorption by gangue aggregate used in this study leading to SFCGC is relatively small. Considering that this paper focuses on the study of mechanical properties and the constitutive relationship of concrete, the slump of SFCGC will not be discussed in depth in the following sections. In addition, the stacking density and apparent density of the coal gangue aggregate used in this paper are significantly lower compared to that of ordinary crushed stone. This is mainly due to the internal structure of the coal gangue, which is is looser, resulting in its high porosity, and the coal gangue with more content of needle-like material is also the main reason for its low bulk density. In addition, the water absorption rate of the coal gangue aggregate is lower than that of ordinary crushed stone, which also indicates that there are more microcracks and larger pores in the coal gangue material, leading to its relatively loose structure. Based on the above physical properties, the working performance of SFCGC may be poorer than that of ordinary concrete, but on the whole, SFCGC is able to meet the requirements as a construction material.
Figure 1.
Materials.
Table 1.
The coal gangue’s chemical composition (%).
Figure 2.
Grading curves of coal gangue aggregate.
Table 2.
Materials for experiment.
2.2. Mix Proportion Designing of Specimens
According to the volume method in JGJ55-2011 “Specification for the Design of Normal Concrete Proportions” [34], the base proportion of NAC (natural aggregate concrete) was obtained. In the formulation of CGC (coal gangue concrete), the incorporation of coal gangue coarse aggregate was achieved through volumetric substitution. Specifically, crushed stone was replaced with coal gangue at ratios of 20%, 40%, and 60% based on equivalent volume, thereby determining the mix ratios of CGC. The mix ratios for steel fiber reinforced concrete and the corresponding normal concrete, both reinforced with steel fiber, are detailed in Table 3. In the process of configuring SFCGC as well as SFNAC, we focused on the compressive strength of the test blocks and carried out trial mixing tests of the concrete with a water–cement ratio of 0.4 and 0.5. Based on the results of the trial mixing test, it was found that the concrete test block with a 0.4 water–cement ratio achieved a more ideal working performance. In addition, due to the physical properties of gangue aggregate, such as water absorption, it has some differences from ordinary crushed stone, so we reduced the cement admixture of SFCGC. The test blocks were divided into 16 groups according to the type of aggregate and the amount of steel fiber admixture, where NAC in the group number of the test blocks stands for normal aggregate concrete, CGC stands for coal gangue concrete, the coal gangue substitution rate is indicated by the number after the letter, and the 0–1.5 after the short horizontal stands for the volume admixture of steel fiber.
Table 3.
Mixture compositions.
2.3. SFCGC Preparating
Regarding the provisions of GB/T50080-2002 [35] and GB/T50081-2002 [36], we used a total of 480, 100 mm × 100 mm × 100 mm cubic test blocks, 240, 100 mm × 100 mm × 300 mm prismatic test blocks, and 48, 100 mm × 100 mm × 400 mm prismatic test blocks. Among them, 240 cubic specimens were used for the cubic uniaxial compression test and another 240 cubic specimens were used for the split tensile test. Figure 3 shows the process used to prepare the specimens. When making the test block, first of all, sand, cement, coal gangue aggregate, steel fiber, and other raw materials were added at a certain ratio into the concrete mixer for dry mixing 5 min, then dry-mixed uniformly after adding water, and mixing was continued for 3 min. In the experimental process, we found that, if the conventional method of vibration was used, coal gangue aggregate would appear with a floating phenomenon, which would lead to the test block of the internal material not being uniform, affecting the strength of the test block. Therefore, this test was divided into two vibrations: the first half of the concrete was placed into the test mold in the vibration table for vibration, and continuous vibration was carried out until the surface was without obvious floating bubbles. Then, the other half of the concrete continued to vibrate until the surface of the test block was without obvious bubbles, and the test block surface was used for smoothing.
Figure 3.
The situation of making specimens.
2.4. Thermal Treatment of the Specimens
The heating procedure of the high-temperature test was set according to the international standard heating curve ISO-834 [37]. The heating device used in this test was a multifunctional resistance furnace, model ZH-252-12, with a rated power of 21 KW, and the heating rate of the furnace was set to 20 °C/min, with a maximum temperature of 1000 °C. There were 8 heating plates in the resistance furnace, according to the needs of the setup combination shown in Figure 4a. The completed test pieces were put into the resistance furnace according to the batch and heated up to 200 °C, 400 °C, 600 °C, and 800 °C, respectively. To facilitate real-time monitoring of the resistance furnace and the internal temperature of the test block, a K-type thermocouple sensor was positioned inside the furnace, with its other end connected to a temperature collector. As depicted in Figure 4b, this K-type thermocouple sensor enabled us to track the internal temperature of both the test block and the resistance furnace. Figure 4c showcases the temperature collector, model SK-A6000. Once the internal temperature of the resistance furnace attained the desired target value, the heating process was halted. After a cooldown period of 3 h, the specimen was allowed to reach room temperature before being removed. Finally, we observed the crack formation on the specimen as a result of the fire exposure.
Figure 4.
Diagram of fire test instrument.
2.5. Mechanical Property Test
Mechanical property tests were conducted following GT50081-2019 [35]. As shown in Figure 5, the mechanical property tests were carried out on a YAW-1000 hydraulic pressure testing machine. The controlled loading rates of the tests were 0.5 MPa/s and 0.6 MPa/s. To determine the mechanical properties after high-temperature exposure, we recorded the load at the moment of specimen failure. This data were then used to calculate the cubic compressive strength and splitting tensile strength of the steel fiber coal gangue concrete. The entire testing procedure is visually represented in Figure 6.
Figure 5.
YAW-1000 hydraulic pressure testing machine.
Figure 6.
Schematic diagram of concrete strength tests.
2.6. Prism Uniaxial Compression Test
In this paper, a uniaxial compression test of prisms was also performed in strict accordance with the specification requirements of Chapter 6 in GT50081-2019 [36], and the prismatic cylinder uniaxial compression test selected YAR-600 electro-hydraulic servo press (Jilin Guanteng company, Changchun, China) as the loading device, as Figure 7 shows. The loading process of the test was controlled by the computer connected to the press, the real-time value of the load on the prism during the test as read and recorded by the computer, and the real-time displacement of the prism in the whole field during the test was measured and collected using the digital image correlation equipment (DIC). The DIC equipment consisted of an ultra-high-definition camera, fill light, calibration plate, and computer. Its workflow was to firstly collect the real-time displacement field of the test block surface, which changed with the change in load through the ultra-high-definition camera, and then to analyze and calculate the displacement field of the test block surface using special software and derive the real-time strain of the test block as a whole.
Figure 7.
Prism uniaxial compression test procedure.
3. Results and Discussion
3.1. Observations of SFCGC after High Temperature
3.1.1. Apparent Color Change of Specimens after High-Temperature Damage
Figure 8 demonstrates the apparent condition of steel fiber coal gangue concrete specimens at ordinary temperatures. Figure 9 shows the apparent condition of NAC-1.0, CGC20-1.0, CGC40-1.0, and CGC60-1.0 specimens after going through different temperatures. Comparing Figure 8 and Figure 9 shows that the surface cracks on the specimens after firing were mainly caused by the temperature difference between different parts of the specimens during firing. The colors of the specimen surface were similar at 600 °C and 800 °C, and the appearance of the CGC60-1.0 specimen surface was concomitant with the exposure of the coal gangue coarse aggregate. In addition, Figure 9 shows that the SFCGC had a certain degree of edge bursting around 800 °C, which indicates that the steam pressure generated in the high temperature led to a steeper temperature gradient inside the specimen. The SFCGC had a low tensile strength, and although steel fibers were added, the steel fibers were not effective in preventing the bursting phenomenon in the case of rapid warming up to 800 °C. In addition, Sideris et al. [38] also showed that steel fibers do not prevent the high-temperature bursting phenomenon of concrete, which is also consistent with the experimental phenomena in this paper.
Figure 8.
Surface appearance of specimen at normal temperature.
Figure 9.
Surface appearance of specimen after high temperature.
3.1.2. Crack Development on the Surface of the Specimen after High-Temperature Damage
Figure 10 shows the comparison of the crack widths of SFCGC20 specimens with different steel fiber volume contents at fire temperatures of 200 °C and 600 °C. It can be seen that at the same steel fiber volume content, the higher the temperature, the more cracks there were on the surface of SFCGC20-1.0. It can be seen that with the same amount of steel fiber doping, the ignition temperature was higher, there were more cracks on the surface of the test block, there was a larger maximum crack width, and the temperature increased from 200 °C to 600 °C, making the SFCGC20-1.0 test block surface’s maximum crack width increase by 4.17 times. The ignition temperature was the same; the larger the amount of steel fiber doping, the fewer cracks on the surface of the test block, and the smaller the maximum crack width. The increase in steel fiber doping from 0% to 1.5% at a fire temperature of 600 °C reduced the maximum crack width on the surface of the specimen by 29%, which was because the steel fibers in the specimen effectively limited the development of cracks through the bridging effect.
Figure 10.
Maximum crack width of SFCGC specimen after high temperature.
In summary, the cracking pattern of SFCGC applied in high-temperature environments is similar to that of ordinary concrete. Notably, the incorporation of steel fibers reduces the maximum crack width on the surface of the specimen after high temperature, suggesting that the addition of steel fibers can reduce the deterioration of CGC compressive strength with high temperatures and improve the energy absorption capacity of concrete.
3.2. Internal Micro-Mechanism of Steel Fiber Coal Gangue Concrete
Figure 11 demonstrates the SEM images of a NAC and CGC40-1.0 concrete internal interface transition zone, and its physico-mechanical properties mainly depend on the properties of the material, relative content, and interfacial adhesion structure. In addition, in the steel fiber coal gangue concrete internal interface transition zone, there are flaky structures of Ca(OH)2 and cluster structures of calcium alumina product body (AFt) enrichment. The calcium alumina crystals are mainly in the tiny pores and aggregate surface, which indicates that in the steel fiber–cement matrix interface area, there is significant porosity, and the looser network structure, specimen interfacial adhesion, and interfacial effect play the role of a steel fiber on the coal gangue concrete. The characteristics of the interface region between the steel fiber and cement matrix significantly affect the microscopic mechanical properties of concrete.
Figure 11.
Microscopic mechanism of concrete. (a) SEM image of NAC internal interface. (b) CGC40-1.0 SEM image of the internal interface transition zone.
3.3. Cubic Compressive Strength
Figure 12 analyzes the residual compressive strength of SFCGC subjected to high-temperature damage as affected by steel fiber content. From the analysis in Figure 12, it is clear that the residual compressive strength decreases in general due to increasing temperature, but increases at 200 °C. The primary cause of this phenomenon is that when the temperature reaches 100 °C, the evaporation of both free and bound water in concrete creates numerous microscopic voids within its structure, thereby diminishing its overall strength [39]. However, as the temperature continues to escalate, the water–cement ratio decreases, activating the coal gangue and accelerating the hydration reaction within the concrete, subsequently enhancing its strength. Nevertheless, when the temperature surpasses 200 °C, the hydration products within the concrete start to decompose, and the carbon content in the coal gangue burns. Additionally, the deformation of various substances at such high temperatures becomes uncoordinated, causing significant stress differences and minimal shape variations, ultimately leading to the cracking of the CGC specimen and a decrease in the strength of SFCGC.

Figure 12.
Compressive strength of SFCGC after high temperature.
Figure 13 illustrates the trend in the attenuation of relative compressive strength as the temperature rises. Upon reaching the maximum temperature, the relative compressive strength of SFCGC20 exhibited increases of 7.23%, 9.35%, and 10.7% respectively, as the steel fiber content was increased from 0% to 1.5%. This indicates that the incorporation of a moderate amount of steel fibers can enhance the strength of concrete through bridging action [40]. Furthermore, a negative correlation was observed between the relative compressive strength and the increasing substitution rate of coal gangue aggregate. For instance, considering concrete without steel fiber after exposure to high temperatures of 800 °C, as the volume replacement of coal gangue increased from 0% to 60%, the concrete strength decreased by 3.1%, 9.2%, and 5.0%, respectively. This decrease can be primarily attributed to the inherent mineral composition of coal gangue, which results in lower strength compared to ordinary crushed stone [41].
Figure 13.
Adversarial compressive strength of SFCGC after high temperature.
By fitting the relative compressive strength test results using MATLAB software 9.2.0.538062 (R2017a), we obtained the variation in the cubic compressive strength of high-temperature SFCGC and SFNAC with the experienced temperature and the influence law of the two parameters of steel fiber volume content, as shown in Table 4 and Figure 14. In Table 4, R2 represents the accuracy coefficient of the prediction model, which is calculated as shown in Equation (2)–(5), and the closer the value of R2 is to the value of 1, the higher the accuracy of the proposed model is. It can be concluded from Table 4 that the experimental values are in good agreement with the fitted values. In addition, compared with the cubic polynomial function model for steel fiber fragmented aggregate concrete (SFSAC) with single control of compressive strength through fire temperature after experiencing high temperatures studied by Cai B [25], the composite function model proposed in this paper is able to better predict the compressive strength of SFCGC under the influence of two parameters, namely, the volume content of steel fibers and the fire temperature. The prediction model accuracy coefficients R2 are all greater than 0.9.
where y = f(xi) is the value of the function obtained by bringing xi into the regression equation, yi is the experimental result, and is the average of the experimental results.
Table 4.
The fitting formula of compressive strength of SFCGC cube.

Figure 14.
The fitting formula of compressive strength of SFCGC cube.
3.4. Splitting Tensile Strength Damage
For each steel fiber admixture, the residual splitting tensile strength of SFCGC subjected to high temperature is analyzed in Figure 15. As can be seen from Figure 15, within 200 °C, the non-spontaneous combustion gangue was activated, resulting in a certain increase in the concrete splitting tensile strength. Taking SFCGC20-1.0 as an example, the strength of the concrete was increased from 52.73Mpa at 200 °C to 59.84 Mpa, an increase of 13.5%.
Figure 15.
Splitting strength of SFCGC after high temperature.
Figure 16 analyzes the deterioration pattern of the relative splitting tensile strength of SFNAC and SFCGC. From Figure 16, the effects of different conditions on the splitting tensile strength of coal gangue concrete cube specimens can be seen. In general, the relative splitting tensile strengths of SFCGC40-0.5, SFCGC40-1.0, and SFCGC40-1.5 after experiencing 800 °C were enhanced by 23.6%, 55%, and 76.7%, respectively, compared with CGC40-0. This proves that the incorporation of steel fibers improves the relative split tensile strength of CGC to a greater extent. The above shows that the concrete specimen, with scattered steel fibers on both sides of the section of the concrete, plays a certain role in “connecting the bridge” in the process of tensile damage, improving the specimen’s splitting tensile strength [40]. With the increase in the combustion coal gangue substitution rate, the relative splitting tensile strength of SFCGC decreased gradually. The concrete splitting tensile strength of CGC20-1.0, CGC40-1.0, and CGC60-1.0 after high temperature at 800°C decreased by 13.8%, 28.5%, and 42.8%, respectively. The cause of the above situation may be that the specimen produced and developed a large number of microcracks and micropores inside the concrete matrix due to the steam pressure in the high-temperature environment. In addition, since the coal gangue aggregate showed more obvious brittleness compared with the ordinary crushed stone aggregate, this led to the formation of multiple stress concentrations in the test block during the tensile process of microcracks and micropores, accelerating the fracture damage of the test block.
Figure 16.
Adversarial splitting strength of SFCGC after high temperature.
An analysis of the influence of steel fiber incorporation and coal gangue substitution on the mechanical properties of SFCGC reveals their significant impact. In addition, the overall strength of the concrete is assessed by evaluating the harmony between steel fiber clustering in SFCGC and the combustion behavior of coal gangue aggregates. Specifically, the SFCGC20-1.0 mix design, when implemented in practical projects, has demonstrated its ability to maintain post-fire structural stability while achieving desirable cost-effectiveness.
Based on the composite function prediction model in Section 3.3, the results of fitting the relative splitting tensile strength of concrete specimens by using MATLAB software are shown in Table 5 and Figure 17. The accuracy coefficients R2 of the relative splitting tensile strengths of SFNAC and SFCGC calculated by applying Equation (5) are shown in Table 5. From Table 5, it can be observed that the experimental values are in good agreement with the fitted values, and the fitting equations can better forecast the splitting tensile strength of SFCGC subjected to high-temperature damage.
Table 5.
The fitting formula of splitting tensile strength of SFCGC cube.
Figure 17.
The fitting formula of splitting strength of SFCGC cube.
3.5. Stress–Strain Relationship
3.5.1. Elasticity Modulus
In the present study, the elasticity modulus is defined as the cut line modulus corresponding to the 40% peak stress point observed in the ascending phase of the concrete’s stress–strain curve following exposure to high temperatures [25]. Figure 15 depicts the influence of high-temperature degradation on the elastic modulus of SFCGC.
As depicted in Figure 18, the elasticity modulus of steel fiber natural aggregate concrete (SFNAC) and steel fiber coal gangue concrete (SFCGC) are presented. From this figure, it is evident that the initial elasticity modulus E0 of natural aggregate concrete (NAC) measured at room temperature stands at 21,822 MPa. Notably, upon introducing steel fiber, the modulus of elasticity E0,f exhibits increments of 4%, 3.5%, and 1.7% for steel fiber volume contents of 0.5%, 1.0%, and 1.5%, respectively. However, as the coal gangue substitution rate increases, the modulus of elasticity of coal gangue concrete exhibits a gradual overall decrease. Specifically, starting from 21,822 MPa for a coal gangue volume replacement of 0, it reduces to 7752 MPa when the substitution rate reaches 60% for CGC60-1.0, representing a nearly 65% drop. This significant reduction is primarily attributed to the loose structure of coal gangue coarse aggregate, its high water absorption rate, and other contributing factors. Furthermore, as the temperature rises, the elasticity moduli of SFNAC and SFCGC generally exhibit a downward trend due to the development of cracks at the cement mortar and coarse aggregate interface, as well as damage to the coarse aggregate itself, resulting in loose, high-temperature deformation and a sharp decrease in the elasticity modulus.
Figure 18.
Elastic modulus of SFCGC and SFNAC cubes.
3.5.2. Peak Strain
Figure 19 provide insights into the impact of varying coal gangue aggregate volume replacement ratios, steel fiber contents, and exposure to high temperatures on the peak strain of steel fiber coal gangue concrete specimens.
Figure 19.
The peak strain of SFCGC and SFNAC.
As Figure 19 illustrates, the integration of steel fibers into concrete contributes to mitigating thermal damage and enhancing the material’s toughness, ultimately leading to an augmentation in its peak strain. Notably, for fire temperatures below 400 °C, the trend of peak strain enhancement remains comparable to that observed at room temperature. However, once the fire temperature surpasses 400 °C, the increment in peak strain diminishes significantly compared to its room temperature counterpart. Further analysis reveals that the peak strains of NAC-1.0, SFCGC20-1.0, SFCGC40-1.0, and SFCGC60-1.0 specimens increased by 250%, 177%, 174%, and 122%, respectively, compared to their room temperature counterparts. This observation suggests that an increase in the coal gangue substitution rate diminishes the extent of peak strain enhancement following exposure to high temperatures, indicating the relatively superior refractory properties of coal gangue aggregate.
3.5.3. Extreme Strain
In the present study, the ultimate strain is defined as the strain corresponding to the 50% peak stress point on the descending segment of the concrete stress–strain curve. Figure 20 offer insights into how the volume replacement rate of coal gangue and the inclusion of steel fibers influence the ultimate strain of coal gangue concrete specimens subjected to high temperatures.
Figure 20.
The extreme strain of SFCGC and SFNAC.
As observed in Figure 20, as the temperature rose to 200 °C, 400 °C, 600 °C, and 800 °C, the reduction coefficients for the ultimate strain folding of SFNAC-1.0 ere 1.09, 1.54, 2.25, and 3.77, respectively. In contrast, for SFCGC20-1.0, the respective reduction coefficients were 0.95, 1.95, 2.04, and 3.15. This indicates that the inclusion of coal gangue aggregates enhances the refractory properties of concrete specimens following high-temperature exposure. Notably, an increase in the coal gangue volume replacement rate led to a decrease in the ultimate strain reduction coefficient of the concrete specimen. This suggests that coal gangue concrete, compared to ordinary concrete, exhibits a less dense structure, resulting in more severe internal damage as the temperature rises.
3.5.4. Compressive Stress–Strain Curve
The experimental investigation of the stress–strain curves of SFCGC post-high-temperature exposure offers valuable insights into its deformation capacity and energy dissipation properties. This not only enhances our understanding of the material’s behavior under extreme conditions, but also serves as a crucial reference for the fire protection design of steel fiber coal gangue concrete structures and the subsequent evaluation of fire-damaged structures. Figure 21, Figure 22, Figure 23 and Figure 24 present the stress–strain curves of NAC and CGC20, CGC40, and CGC60 with varying steel fiber contents, each subjected to different high temperatures. Specifically, Figure 21 depicts the curves for NAC, Figure 22 for CGC20, Figure 23 for CGC40, and Figure 24 for CGC60. Figure 25 further illustrates the stress–strain curves of NAC-1.0, CGC20-1.0, CGC40-1.0, and CGC60-1.0 after exposure to 200 °C, with Figure 26 focusing specifically on CGC20 at various steel fiber doping levels. These curves completely describe the rule of change from the elastic–plastic stage to the damage stage of SFCGC in uniaxial compression damage under the action of five high temperature levels, which provides a certain reference for the practical engineering application of steel–fiber gangue concrete in fire.
Figure 21.
Stress–strain curve for NAC.
Figure 22.
Stress–strain curve for SFCGC20.
Figure 23.
Stress–strain curve for SFCGC40.
Figure 24.
Stress–strain curve for SFCGC60.
Figure 25.
Stress–strain curves of NAC and CGC with 1% steel fiber contents.
Figure 26.
Stress–strain curves of SFCGC40 with various steel fiber contents.
Observing the stress–strain curves in Figure 21, Figure 22, Figure 23 and Figure 24, a consistent trend emerges for steel fiber coal gangue concrete with varying coal gangue aggregate substitution rates. As the temperature rises, the peak strain and ultimate strain increase, shifting the entire stress–strain curve towards the right. This shift accompanies a flattening tendency and a significant decrease in the elastic modulus. At lower fire temperatures, the area enclosed by the stress–strain curve diminishes with an increase in the coal gangue substitution rate, resulting in a curve that slopes more steeply towards the lower right. Conversely, at higher temperatures, the elevated refractory properties associated with higher coal gangue substitution rates cause the stress–strain curve to incline more towards the right. While the inclusion of steel fibers augments the peak strain of the concrete, this enhancement diminishes progressively with increasing temperature. In addition, as shown in Figure 21, Figure 22, Figure 23 and Figure 24, when the fire temperature between 20 °C to 100 °C, the evaporation of free water and combined water in the concrete leads to the formation of many small holes in the structure, which reduces the strength of the concrete [39], but with a further increase in temperature, the water–cement ratio of the concrete is reduced, the coal gangue aggregate is activated, and the hydration reaction in the concrete is accelerated. When the temperature rises to more than 200 °C, the hydration products of the concrete begin to decompose, the coal gangue carbon is burned, and the deformation of the different substances at high temperatures does not coordinate with the generation of a huge difference between the stress difference and the lesser shape difference, which leads to cracking of the CGC specimen block.
Upon examination of Figure 25, it becomes evident that the curve patterns among the various groups exhibit similar trends. Notably, the peak stress of the SFCGC60-1.0 specimen is marginally lower in comparison to the CGC20-1.0 and CGC60-1.0 specimens. An interesting observation is that the area encompassed by the CGC stress–strain curves is comparatively smaller than that of NAC. This suggests, from an alternative perspective, that the incorporation of coal gangue aggregate diminishes the bearing capacity of the concrete specimens and negatively impacts their initial stiffness. Moreover, as the strain surpasses the peak strain, the curves for the coal gangue-infused concrete specimens demonstrate a steeper decline, highlighting the increased brittleness exhibited by CGC.
Upon analysis of Figure 26, it becomes apparent that the influence of steel fiber volume content on the evolution of the stress–strain curve exhibits a general similarity. Specifically, taking the coal gangue concrete stress–strain curve under varying steel fiber contents after exposure to a high temperature of 200 °C as a case in point, we observe that the initial ascending phase of the curve does not exhibit significant variation with increasing steel fiber content. This suggests that the steel fibers do not play a notable role in the elastic phase of the specimen. However, as the strain progressively increases, it becomes evident that the peak point of the stress–strain curve gradually shifts towards the right with an augmentation in steel fiber doping. This shift indicates that the incorporation of steel fibers has a mitigating effect on the brittle failure tendency of the concrete.
3.5.5. Stress–Strain Contour Diagram
Table 6 shows the changes of transverse strain and vertical strain on the surface of CGC20-1.0 prismatic specimen with the increase in test force in the axial compressive strength test after high temperature exposure. εx in Table 6 is the transverse strain of CGC20-1.0, εy is the longitudinal strain of CGC20-1.0, and fcrT is the peak stress of CGC20-1.0 at the temperature T. It can be seen that for the longitudinal strain cloud, the region of maximum longitudinal strain compression matches well with the stress concentration region of the transverse strain cloud.
Table 6.
Stress–strain contour diagram of CGC20-1.0.
3.5.6. The Constitutive Model of SFCGC
In the current research landscape, numerous mathematical models are employed to mimic the complete stress–strain curve of fiber-reinforced and lightweight aggregate concrete at ambient temperatures. However, there is a paucity of studies that delve into the compression eigenstructure relationship of high-performance concrete following exposure to high temperatures. To address this gap, we propose a series of improvements based on the intrinsic model of Jin Wu [42] and Bin Cai [25]. We have formulated a model where the ascending phase of the uniaxial compression eigenstructure is captured by a 5th-order polynomial, while the descending segment is represented by a rational fraction. Furthermore, to distinguish between steel fiber-reinforced lightweight aggregate concrete and its fiber-free counterpart, distinct expressions have been devised for the descending curve segment of each material, as outlined below.
where ε denotes the compressive strain, while σ represents the corresponding stress of the concrete. The peak stress and peak strain of the concrete after thermal exposure are designated as fcT and εpT, respectively. The shape parameters α and β govern the ascending and descending portions of the stress–strain curve. Specifically, α represents the ratio between the initial elastic modulus and the peak cut-off modulus, expressed as α = E0/Ep. The β value reflects the steepness of the descending softening segment; a higher β value corresponds to a steeper descent and is inversely related to the area enclosed by the stress–strain curve and the horizontal axis. These parameters α and β are determined through regression analysis of experimental curves, and the respective fitting equations are tabulated in Table 7, Table 8, Table 9 and Table 10.
Table 7.
Parametric α and β regression analysis results of SFNAC-0-1.5.
Table 8.
Parametric α and β regression analysis results of SFCGC20-0-1.5.
Table 9.
Parametric α and β regression analysis results of SFCGC40-0-1.5.
Table 10.
Parametric α and β regression analysis results of SFCGC60-0-1.5.
With the increase in the steel fiber volume content, the α value increases and the β value becomes smaller, indicating that the initial slope of the rising section becomes larger and the falling section becomes flat, and the envelope area of the stress–strain curve with the horizontal axis increases, which indicates that the steel fiber can improve the brittleness and increase the toughness and ductility of CGC. For the same kind of concrete, with the increase in temperature, the α value decreases rapidly, while the β value increases gradually, indicating that the peak load and deformation modulus in the ascending section are significantly reduced. The peak strain and ultimate strain are increased rapidly while the descending section becomes flat, and the plastic deformation capacity becomes larger, but the area encompassed by the curve decreases and the absorbed energy of the specimen is reduced in the case of damage.
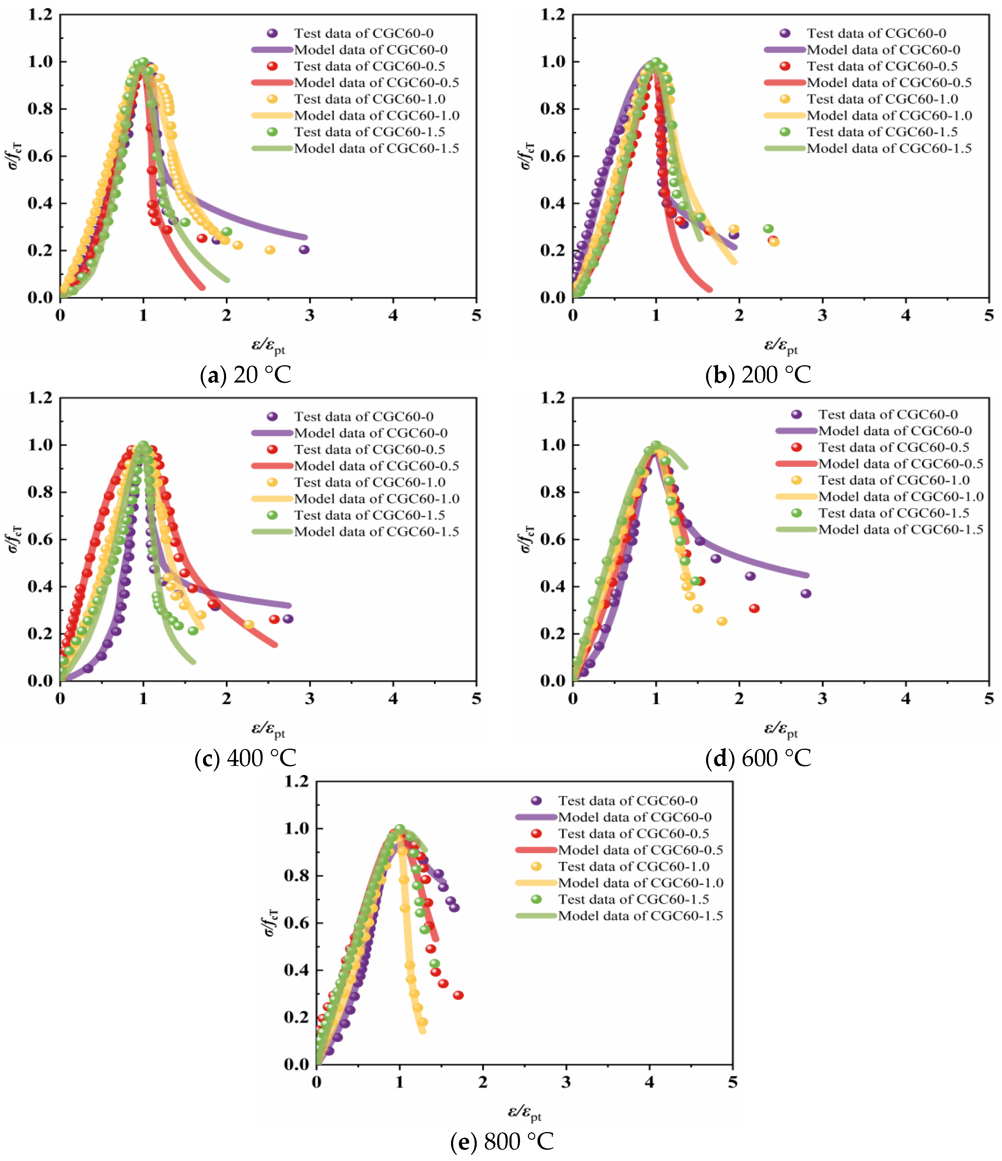
Utilizing the experimental data, we performed regression analysis to determine the parameters α and β for the ascending and descending portions of the stress–strain curve of steel–fiber coal gangue concrete exposed to varying fire temperatures. The results of this analysis are presented in Table 7, Table 8, Table 9 and Table 10. To validate the reliability of our proposed model, we compared the calculated simulated values with the experimental data, as depicted in Figure 27, Figure 28, Figure 29 and Figure 30. As is evident from Table 7, Table 8, Table 9 and Table 10, the correlation coefficients R2 between the simulated and experimental values exceeded 0.8, indicating that the curves predicted by our constitutive model closely aligned with the experimental stress–strain curves, thereby demonstrating its predictive accuracy.
Figure 27.
Comparison of experimental values of SFNAC curves with fitted lines.

Figure 28.
Comparison of experimental values of SFCGC20 curves with fitted lines.

Figure 29.
Comparison of experimental values of SFCGC40 curves with fitted lines.
Figure 30.
Comparison of experimental values of SFCGC60 curves with fitted lines.
4. Conclusions
This paper focuses on steel fiber coal gangue concrete (SFCGC) as the primary research material. An initial examination is conducted to evaluate the material properties of coal gangue aggregate. Subsequently, the mechanical properties of SFCGC are analyzed under various conditions, including varying steel fiber content (ranging from 0% to 1.5% in increments of 0.5%) and four distinct coal gangue volume replacements (0%, 20%, 40%, and 60%). These evaluations are conducted at five distinct temperature levels (20 °C, 200 °C, 400 °C, 600 °C, and 800 °C). The analysis examines the attenuation patterns and stress–strain curves at these temperature levels, yielding the following specific conclusions:
(1) An in-depth analysis was conducted of the chemical and mineral compositions of coal gangue aggregate. Additionally, a comparative assessment was performed on the fundamental physical properties of coal gangue and traditional crushed stone aggregate. The findings revealed that the physical properties of coal gangue aggregate, including bulk density, apparent density, water absorption rate, and crushing index, are relatively inferior compared to traditional crushed stone. However, on a broader scale, coal gangue largely fulfills the criteria for coarse aggregate to be used in architecture.
(2) Extensive experimental research has uncovered a profound impact of high temperatures on coal gangue concrete. As the temperature rises, the specimen initially exhibits a gray hue, subsequently transitioning to a gray-yellow color and ultimately attaining a gray-white appearance. Notably, cracks manifest on the surface of the specimen, accompanied by the precipitation of a dark gray substance. Further SEM analysis reveals significant porosity and a loose network structure in the interface zone between the steel fiber and cement matrix. In comparison to normal aggregate concrete (NAC), the incorporation of steel fibers effectively restricts crack propagation, exhibiting a remarkable enhancement in the crack-blocking performance.
(3) As the fire temperature rises, the mechanical properties of steel fiber coal gangue concrete (SFCGC) undergo gradual attenuation beyond 200 °C, albeit with varying degrees of attenuation, where the split tensile strength exhibits the slowest rate of decline. The extent of coal gangue aggregate substitution significantly influences the attenuation patterns of concrete’s mechanical properties. Among the test results, a 20% volume substitution level yielded the most favorable results, while a 60% volume substitution produced the least favorable outcomes. Moreover, the inclusion of steel fibers enhanced the mechanical properties of the concrete. Considering both economic costs and the impact on concrete density, SFCGC40-1.0 emerges as the optimal alternative to normal aggregate concrete (NAC) in this experimental study.
(4) As temperatures rise, the peak strain and ultimate strain of SFCGC concrete undergo an upward trend, while its modulus of elasticity experiences a significant decrease. The integration of coal gangue into the concrete mix enhances its peak and ultimate strain capacities following exposure to high temperatures. This results in an increased modulus of elasticity discount coefficient, thus improving the fire resistance of the concrete. Notably, a higher volume substitution rate of coal gangue leads to a more pronounced effect in these properties.
(5) The comprehensive stress–strain curve of SFCGC post-high temperature exposure exhibits distinct characteristics: a decline in peak stress, an augmentation of peak strain, a diminished modulus of elasticity, and a flattening trend of the curve itself. Moreover, SFCGC subjected to 200 °C temperatures exhibits a remarkable compaction effect during the initial compression phase, resulting in a concave shape in the initial ascending segment of the stress–strain curve. Notably, the inclusion of steel fibers significantly enhances the ductility and mitigates brittleness in SFCGC following high temperatures.
(6) Utilizing the established theoretical framework for concrete’s principal structural model and integrating the unique attributes of SFCGC, we have devised a segmented stress–strain full curve model tailored specifically for this material. The model’s fitting outcomes align closely with the empirical test curves, effectively capturing the deformation patterns exhibited by SFSAC under uniaxial compressive loads across varying steel fiber volume contents.
(7) This paper focuses on the experimental study of coal gangue concrete in Northeast China with four coal gangue substitution rates of 0%, 20%, 40% and 60%, and the conclusions are relatively limited. In the future, more closely distributed gradient research will be conducted. Determining the best coal gangue volume substitution rate of gangue concrete in a high-temperature environment and the optimal mixing amount of steel fiber will further promote the application of coal gangue concrete in actual projects.
Author Contributions
Conceptualization, Z.G. and B.C.; methodology, Z.G. and B.C.; test, Z.G.; validation, Z.G.; investigation, Z.G.; resources, B.C.; data curation, B.C.; writing—original draft preparation, Z.G.; writing—review and editing, Z.G.; visualization, B.C.; supervision, B.C.; project administration, B.C.; funding acquisition. All authors have read and agreed to the published version of the manuscript.
Funding
This research was financially supported by Scientific Research Projects of the Education Department of Jilin province (JJKH20240381KJ), Scientific Research Project of Jilin Provincial Housing and Urban-Rural Development Department (2023-K-21), and Jilin Provincial Science and Technology Development Plan Project (20220203082SF). The authors wish to acknowledge the sponsors. However, any opinions, findings, conclusions and recommendations presented in this paper are those of the authors and do not necessarily reflect the sponsors’ views.
Data Availability Statement
Data is contained within the article.
Conflicts of Interest
The authors declare that they have no competing interests.
References
- China’s State Economic and Trade Commission and the Ministry of Science and Technology jointly released the key points of the comprehensive utilization of coal gangue technology policy. Clean Coal Technology 2000, 56.
- Wang, Y.; Tan, Y.; Wang, Y.; Liu, C. Mechanical properties and chloride permeability of green concrete mixed with fly ash and coal gangue. Constr. Build. Mater. 2020, 233, 117166. [Google Scholar] [CrossRef]
- Kumar, S. A perspective study on fly ash–lime–gypsum bricks and hollow blocks for low cost housing development. Constr. Build. Mater. 2002, 16, 519–525. [Google Scholar] [CrossRef]
- Gao, S.; Zhao, G.; Guo, L.; Zhou, L.; Yuan, K. Utilization of coal gangue as coarse aggregates in structural concrete. Constr. Build. Mater. 2021, 268, 121212. [Google Scholar] [CrossRef]
- Guo, Y.; Yan, K.; Cui, L.; Cheng, F. Improved extraction of alumina from coal gangue by surface mechanically grinding modification. Powder Technol. 2016, 302, 33–41. [Google Scholar] [CrossRef]
- Karimaei, M.; Dabbaghi, F.; Sadeghi-Nik, A.; Dehestani, M. Mechanical performance of green concrete produced with untreated coal waste aggregates. Constr. Build. Mater. 2020, 233, 117264. [Google Scholar] [CrossRef]
- Li, Y.; Yao, Y.; Liu, X.; Sun, H.; Ni, W. Improvement on pozzolanic reactivity of coal gangue by integrated thermal and chemical activation. Fuel 2013, 109, 527–533. [Google Scholar] [CrossRef]
- Luo, D.; Wang, Y.; Zhang, S.; Niu, D.; Song, Z. Frost Resistance of Coal Gangue Aggregate Concrete Modified by Steel Fiber and Slag Powder. Appl. Sci. 2020, 10, 3229. [Google Scholar] [CrossRef]
- Ma, H.; Zhu, H.; Wu, C.; Chen, H.; Sun, J.; Liu, J. Study on compressive strength and durability of alkali-activated coal gangue-slag concrete and its mechanism. Powder Technol. 2020, 368, 112–124. [Google Scholar] [CrossRef]
- Ma, H.Q.; Yi, C.; Zhu, H.G.; Dong, Z.C.; Chen, H.Y.; Wang, J.X.; Li, D.Y. Compressive strength and durability of coal gangue aggregate concrete. Mater. Rep. B 2018, 32, 2390–2395. [Google Scholar]
- Moghadam, M.J.; Ajalloeian, R.; Hajiannia, A. Preparation and application of alkali-activated materials based on waste glass and coal gangue: A review. Constr. Build. Mater. 2019, 221, 84–98. [Google Scholar] [CrossRef]
- Zhang, Y.; Wang, Q.; Zhou, M.; Fang, Y.; Zhang, Z. Mechanical properties of concrete with coarse spontaneous combustion gangue aggregate (SCGA): Experimental investigation and prediction methodology. Constr. Build. Mater. 2020, 255, 119337. [Google Scholar] [CrossRef]
- Wang, J.; Qin, Q.; Hu, S.; Wu, K. A concrete material with waste coal gangue and fly ash used for farmland drainage in high groundwater level areas. J. Clean. Prod. 2016, 112, 631–638. [Google Scholar] [CrossRef]
- Liu, H.; Xu, Q.; Wang, Q.; Zhang, Y. Prediction of the elastic modulus of concrete with spontaneous-combustion and rock coal gangue aggregates. Structures 2020, 28, 774–785. [Google Scholar] [CrossRef]
- Afroughsabet, V.; Ozbakkaloglu, T. Mechanical and durability properties of high-strength concrete containing steel and polypropylene fibers. Constr. Build. Mater. 2015, 94, 73–82. [Google Scholar] [CrossRef]
- Wu, K.; Chen, F.; Chen, C.; Zheng, H.; Xu, J. Analysis of the Bearing and Damage Mechanism in Steel–Steel Fiber–Reinforced Concrete-Composite Member. J. Mater. Civ. Eng. 2020, 32, 04020274. [Google Scholar] [CrossRef]
- Shi, Z.; Sun, G.; Pang, J. Research Progress on the Influence of Varying Fiber Contents on Mechanical Properties of Recycled Concrete. Struct. Durab. Health Monit. (SDHM) 2023, 17. [Google Scholar] [CrossRef]
- Xiaofang, D.; Jiaojiao, Y. Experimental study on mechanical properties and modulus of elasticity of plastic fiber concrete at early age. Hydropower Energy Sci. 2021, 39, 168–171+96. [Google Scholar]
- Jun Li, J.; Gang Niu, J.; Jun Wan, C.; Jin, B.; Liu Yin, Y. Investigation on mechanical properties and microstructure of high performance polypropylene fiber reinforced lightweight aggregate concrete. Constr. Build. Mater. 2016, 118, 27–35. [Google Scholar]
- Campione, G.; Cucchiara, C.; La Mendola, L.; Papia, M. Steel–concrete bond in lightweight fiber reinforced concrete under monotonic and cyclic actions. Eng. Struct. 2005, 27, 881–890. [Google Scholar] [CrossRef]
- Xing, Z.; Beaucour, A.-L.; Hebert, R.; Noumowe, A.; Ledesert, B. Aggregate’s influence on thermophysical concrete properties at elevated temperature. Constr. Build. Mater. 2015, 95, 18–28. [Google Scholar] [CrossRef]
- Da Silva, J.B.; Pepe, M.; Toledo Filho, R.D. High temperatures effect on mechanical and physical performance of normal and high strength recycled aggregate concrete. Fire Saf. J. 2020, 117, 103222. [Google Scholar] [CrossRef]
- Abedalqader, A.; Shatarat, N.; Ashteyat, A.; Katkhuda, H. Influence of temperature on mechanical properties of recycled asphalt pavement aggregate and recycled coarse aggregate concrete. Constr. Build. Mater. 2021, 269, 121285. [Google Scholar] [CrossRef]
- Talo, R.; Abed, F.; El Refai, A.; Alhoubi, Y. Experimental Investigation of Concrete Cylinders Confined with PBO FRCM Exposed to Elevated Temperatures. Fire 2023, 6, 322. [Google Scholar] [CrossRef]
- Cai, B.; Wang, S.; Fu, F.; Duan, W.; Wang, L. Experimental Study on Steel-Fiber-Reinforced Scoria Aggregate Concrete Subjected to Freeze-Thaw Cycles and Then Exposure to Elevated Temperatures. Fire 2023, 6, 119. [Google Scholar] [CrossRef]
- Kekanović, M.; Kekanović, E. A New Procedure of Concrete Mixture Designing. Teh. Vjesn.-Tech. Gaz. 2020, 27, 597–603. [Google Scholar] [CrossRef]
- Banthia, N.; Soleimani, S.M. Flexural response of hybrid fiber-reinforced cementitious composites. ACI Mater. J. 2005, 102, 382. [Google Scholar]
- Banthia, N.; Majdzadeh, F.; Wu, J.; Bindiganavile, V. Fiber synergy in Hybrid Fiber Reinforced Concrete (HyFRC) in flexure and direct shear. Cem. Concr. Compos. 2014, 48, 91–97. [Google Scholar] [CrossRef]
- Sun, Y.; Gao, P.; Geng, F.; Li, H.; Zhang, L.; Liu, H. Thermal conductivity and mechanical properties of porous concrete materials. Mater. Lett. 2017, 209, 349–352. [Google Scholar] [CrossRef]
- Wu, T.; Yang, X.; Wei, H.; Liu, X. Mechanical properties and microstructure of lightweight aggregate concrete with and without fibers. Constr. Build. Mater. 2019, 199, 526–539. [Google Scholar] [CrossRef]
- Hassanpour, M.; Shafigh, P.; Bin Mahmud, H. Mechanical Properties of Structural Lightweight Aggregate Concrete Containing Low Volume Steel Fiber. Arab. J. Sci. Eng. 2014, 39, 3579–3590. [Google Scholar] [CrossRef]
- Shackley, M.S. An introduction to X-ray fluorescence (XRF) analysis in archaeology. In X-ray Fluorescence Spectrometry (XRF) in Geoarchaeology; Springer: New York, NY, USA, 2011; pp. 7–44. [Google Scholar]
- Qiu, J.; Zhou, Y.; Vatin, N.I.; Guan, X.; Sultanov, S.; Khemarak, K. Damage constitutive model of coal gangue concrete under freeze-thaw cycles. Constr. Build. Mater. 2020, 264, 120720. [Google Scholar] [CrossRef]
- JGJ55-2011; Specification for the Design of Ordinary Concrete Proportion. China Architecture & Building Press: Beijing, China, 2011.
- GB/T 50080-2002; Standard for Ordinary Concrete Mix Performance Test Method. China Architecture & Building Press: Beijing, China, 2002.
- GT 50081-2019; Standard for Test Method of Concrete Physical and Mechanical Properties. China Architecture & Building Press: Beijing, China, 2019.
- ISO-834-11:2014; Fire-Resistance Tests-Elements of Building Construction. ISO: Geneva, Switzerland, 2014.
- Sideris, K.; Manita, P. Residual mechanical characteristics and spalling resistance of fiber reinforced self-compacting concretes exposed to elevated temperatures. Constr. Build. Mater. 2013, 41, 296–302. [Google Scholar] [CrossRef]
- Arioz, O. Effects of elevated temperatures on properties of concrete. Fire Saf. J. 2007, 42, 516–522. [Google Scholar] [CrossRef]
- Liu, X.; Wu, T.; Liu, Y. Stress-strain relationship for plain and fibre-reinforced lightweight aggregate concrete. Constr. Build. Mater. 2019, 225, 256–272. [Google Scholar] [CrossRef]
- Thomas, J.; Ramaswamy, A. Mechanical Properties of Steel Fiber-Reinforced Concrete. J. Mater. Civ. Eng. 2007, 19, 385–392. [Google Scholar] [CrossRef]
- Wu, J.; Jing, X.; Wang, Z. Uni-axial compressive stress-strain relation of recycled coarse aggregate concrete after freezing and thawing cycles. Constr. Build. Mater. 2017, 134, 210–219. [Google Scholar] [CrossRef]
Disclaimer/Publisher’s Note: The statements, opinions and data contained in all publications are solely those of the individual author(s) and contributor(s) and not of MDPI and/or the editor(s). MDPI and/or the editor(s) disclaim responsibility for any injury to people or property resulting from any ideas, methods, instructions or products referred to in the content. |
© 2024 by the authors. Licensee MDPI, Basel, Switzerland. This article is an open access article distributed under the terms and conditions of the Creative Commons Attribution (CC BY) license (https://creativecommons.org/licenses/by/4.0/).























