Sign in to use this feature.

Years

Between: -

Subjects

remove_circle_outline
remove_circle_outline
remove_circle_outline
remove_circle_outline
remove_circle_outline
remove_circle_outline
remove_circle_outline
remove_circle_outline
remove_circle_outline

Journals

remove_circle_outline
remove_circle_outline
remove_circle_outline
remove_circle_outline
remove_circle_outline
remove_circle_outline
remove_circle_outline
remove_circle_outline
remove_circle_outline
remove_circle_outline
remove_circle_outline
remove_circle_outline

Article Types

Countries / Regions

remove_circle_outline
remove_circle_outline
remove_circle_outline
remove_circle_outline
remove_circle_outline

Search Results (170)

Search Parameters:
Keywords = post-disruption recovery

Order results
Result details
Results per page
Select all
Export citation of selected articles as:
16 pages, 5709 KB  
Article
Impact of Proximal Conjoint Tendon Injury on Return to Play in the BF–ST Complex: A Prospective MRI-Based Study
by Makoto Wada, Takumi Okunuki, Takeshi Sugimoto, Yasuhito Tanaka and Tsukasa Kumai
Diagnostics 2026, 16(1), 166; https://doi.org/10.3390/diagnostics16010166 - 5 Jan 2026
Viewed by 359
Abstract
Background/Objectives: Proximal hamstring injuries involving the biceps femoris–semitendinosus (BF–ST) conjoint tendon (CT) often exhibit delayed healing, yet the prognostic significance of CT involvement and intratendinous injury morphology has not been fully clarified. This study aimed to determine whether full-layer CT injury, particularly bilateral [...] Read more.
Background/Objectives: Proximal hamstring injuries involving the biceps femoris–semitendinosus (BF–ST) conjoint tendon (CT) often exhibit delayed healing, yet the prognostic significance of CT involvement and intratendinous injury morphology has not been fully clarified. This study aimed to determine whether full-layer CT injury, particularly bilateral involvement in Zone C, prolongs return-to-play (RTP) in competitive rugby athletes. Methods: This prospective study evaluated 41 university rugby players with acute BF–ST complex injuries using clinical examination, ultrasonography, and MRI. Injuries were classified by Type (I: full-layer CT; II: BFLH-only; III: ST-only), Zone (A–E), and Grade (0–3). RTP was defined as unrestricted return to team training or match play. Group differences were analyzed using ANOVA or non-parametric tests with appropriate post hoc corrections. Results: Type I injuries required significantly longer RTP (11.4 ± 4.8 weeks) than Type II (5.3 ± 2.4 weeks) and Type III (4.0 ± 1.7 weeks), confirming the strong impact of CT involvement on prognosis. In Zone C, bilateral full-layer CT involvement was associated with an approximately twofold longer RTP duration compared with unilateral BFLH-side injuries, indicating that intratendinous tissue disruption influences recovery. These findings highlight the importance of early MRI-based assessment to identify clinically relevant tendon involvement patterns. Conclusions: Full-layer CT injuries, particularly bilateral intratendinous patterns in Zone C, markedly prolong RTP compared with isolated BFLH or ST injuries. An MRI-based classification incorporating injury type, zone, and extent of CT involvement provides clinically valuable prognostic information and may enhance RTP decision-making. Full article
(This article belongs to the Special Issue Clinical Diagnosis and Management in Orthopaedics and Traumatology)
Show Figures

Figure 1

52 pages, 3660 KB  
Article
Exploring the Progression of Sustainable Development Goals in Saudi Arabia: A Comparative Examination During and After COVID-19 Period
by Harman Preet Singh, Ajay Singh, Fakhre Alam, Vikas Agrawal, Yaser Hasan Al-Mamary and Aliyu Alhaji Abubakar
Sustainability 2026, 18(1), 406; https://doi.org/10.3390/su18010406 - 31 Dec 2025
Viewed by 341
Abstract
COVID-19 significantly disrupted the progress of the SDGs globally, including in Saudi Arabia. This study explores the progression of SDGs in Saudi Arabia during and after COVID-19, focusing on four dimensions: financial, socioeconomic, health, and environmental. A qualitative approach was employed, involving 19 [...] Read more.
COVID-19 significantly disrupted the progress of the SDGs globally, including in Saudi Arabia. This study explores the progression of SDGs in Saudi Arabia during and after COVID-19, focusing on four dimensions: financial, socioeconomic, health, and environmental. A qualitative approach was employed, involving 19 semi-structured interviews conducted in two rounds (during and post COVID-19). Thematic analysis, conducted using NVivo 14.0, identified four main themes and 16 subthemes, which align with the SDG dimensions. The study revealed significant disruptions across four SDG dimensions during the pandemic. These included economic downturns, increased poverty, strained healthcare systems, and environmental changes. Guided by systems theory as an analytical lens, the study findings indicate that while COVID-19 caused disruptions across SDGs, it also acted as a catalyst for transformational shifts across interconnected SDG domains. The post-pandemic period has shown recovery, including economic growth, enhanced gender equality, improved mental health services, and a renewed focus on sustainability. Six cross-thematic themes emerged: (1) economic recovery and employment, (2) gender equity and education, (3) mental health and healthcare, (4) poverty reduction and food security, (5) environmental sustainability, and (6) digital transformation resilience. Based on these insights, the study provides recommendations for Saudi policymakers to align SDG progress with Saudi Vision 2030 in line with pragmatic sustainability. Full article
Show Figures

Figure 1

29 pages, 1702 KB  
Article
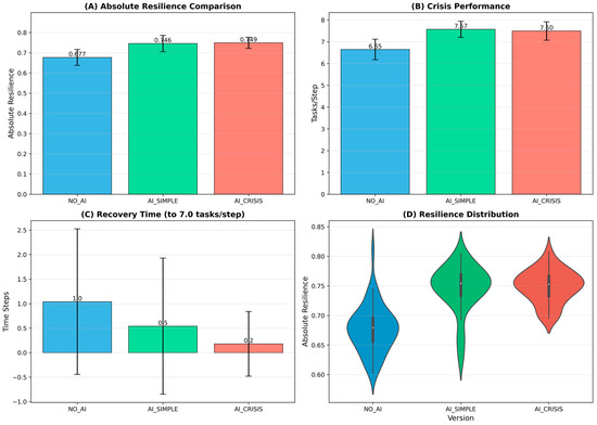
Modeling Organizational Resilience in Human-Cyber-Physical Systems (Industry 5.0) Through Collective Dynamics, Decision Scenarios and Crisis-Aware AI: A Multi-Method Simulation Approach
by Olga Bucovețchi, Andreea Elena Voipan, Daniel Voipan, Alexandru Georgescu and Razvan Mihai Dobrescu
Appl. Sci. 2026, 16(1), 292; https://doi.org/10.3390/app16010292 - 27 Dec 2025
Viewed by 257
Abstract
Supply chain disruptions during the COVID-19 pandemic exposed structural vulnerabilities of centrally controlled manufacturing systems, motivating renewed interest in organizational resilience within the context of Industry 5.0 human–cyber–physical systems. This study investigates how organizational decision-making paradigms and crisis-aware artificial intelligence (AI) jointly influence [...] Read more.
Supply chain disruptions during the COVID-19 pandemic exposed structural vulnerabilities of centrally controlled manufacturing systems, motivating renewed interest in organizational resilience within the context of Industry 5.0 human–cyber–physical systems. This study investigates how organizational decision-making paradigms and crisis-aware artificial intelligence (AI) jointly influence performance, crisis response, and recovery. An agent-based modeling (ABM) framework is developed to compare centralized, distributed, and self-organized organizational structures across 650 simulation runs under a controlled supply side disruption. A crisis-aware Q-learning architecture enables AI agents to shift from efficiency-oriented to stability-oriented strategies when resource scarcity is detected. To avoid baseline-dependent bias, resilience is evaluated using an absolute, capacity-normalized metric. Results indicate that self-organized systems consistently outperform centralized and distributed structures in baseline performance, crisis throughput, and recovery speed. The integration of crisis-aware AI further increases absolute resilience by approximately 10.7% and enables substantially higher throughput during disruption compared to hierarchical control. Enhanced performance is primarily driven by adaptive coalition formation, proactive resource conservation, and rapid post-crisis recovery supported by preserved coordination structures. These findings provide quantitative support for Industry 5.0’s human-centric principles and show that decentralized decision-making augmented by context-adaptive AI offers a robust organizational design strategy for volatile manufacturing environments. Full article
Show Figures

Figure 1

24 pages, 2013 KB  
Article
Waste Separation Behavioral Intention Among Residents After the Abolition of the Zero-COVID Policy: A Case Study of Shanghai, China
by Xinrui Li, Takehiko Murayama, Shigeo Nishikizawa and Kultip Suwanteep
Waste 2026, 4(1), 1; https://doi.org/10.3390/waste4010001 - 27 Dec 2025
Viewed by 350
Abstract
In recent years, China has made strong national commitments to waste reduction and circular economy, including the implementation of mandatory municipal solid waste separation policies and the rollout of zero-waste city initiatives. These efforts represent a strategic shift toward systemic environmental governance. However, [...] Read more.
In recent years, China has made strong national commitments to waste reduction and circular economy, including the implementation of mandatory municipal solid waste separation policies and the rollout of zero-waste city initiatives. These efforts represent a strategic shift toward systemic environmental governance. However, the outbreak of the COVID-19 pandemic in early 2020—and the subsequent implementation of the country’s stringent zero-COVID policy—led to an abrupt disruption of these programs. Under this policy, strict lockdowns, quarantine of both confirmed and suspected cases, and city-wide containment became top priorities, sidelining environmental initiatives such as waste separation and sustainable waste infrastructure development. This study investigates how Chinese residents’ motivations for waste separation evolved across three key phases: pre-pandemic, during the zero-COVID enforcement period, and post-pandemic recovery. Grounded in the Theory of Planned Behavior and pro-environmental behavior theory, we developed an extended model incorporating pandemic-related social, psychological, and policy variables. Based on 526 valid questionnaire responses collected in late 2023 in Shanghai, we conducted structural equation modeling and repeated-measures analysis. Findings reveal a significant shift from externally driven compliance—reliant on governmental enforcement and service provision—to internally motivated behavior based on environmental values and personal efficacy. This transition was most evident after the pandemic, suggesting the potential for sustained pro-environmental habits despite weakened policy enforcement. Our findings underscore the importance of strengthening internal drivers in environmental governance, especially under conditions where policy continuity is vulnerable to systemic shocks such as public health emergencies. Full article
Show Figures

Figure 1

13 pages, 1013 KB  
Article
Long-Term Health Consequences of SARS-CoV-2: Reaction Time and Brain Fog
by Ana Lesac Brizić, Branislava Popović, Tina Zavidić, Nevena Todorović, Verica Petrović, Nataša Pilipović-Broćeta, Ana R. Miljković, Aleksandar Ljubotina and Ema Dejhalla
Neurol. Int. 2026, 18(1), 6; https://doi.org/10.3390/neurolint18010006 - 26 Dec 2025
Viewed by 1099
Abstract
Background/Objectives: Beyond respiratory problems, COVID-19 can cause a variety of symptoms, such as neurological disorders caused by biological and psychological factors. Brain fog (BF), a post-illness cognitive impairment that many patients report, can be evaluated with reaction time (RT) testing. Response latency [...] Read more.
Background/Objectives: Beyond respiratory problems, COVID-19 can cause a variety of symptoms, such as neurological disorders caused by biological and psychological factors. Brain fog (BF), a post-illness cognitive impairment that many patients report, can be evaluated with reaction time (RT) testing. Response latency is measured by RT, which can be either simple (sRT) or complex (cRT). This study focuses on how COVID-19 affects cognitive function, with particular attention on RT changes, BF prevalence, and implications for daily life. Methods: The study included 599 participants from Bosnia and Herzegovina, Croatia and Serbia. RT was measured using PsyToolkit and participants completed a COVID-19-associated BF questionnaire. Participants who experienced BF after their latest COVID-19 infection rated its severity using a visual analogue scale (VAS). Additional clinical data were obtained from medical records. Results: BF was reported by 40% of participants post-COVID-19. Men reported it less frequently but found it more disruptive. RT progressively declined post-infection, reaching peak impairment at 15 weeks, following recovery, with RT normalizing by six months. Conclusions: COVID-19 is linked to temporary RT impairment, peaking at 15 weeks post-infection and resolving by six months, independent of BF presence. This study emphasizes the need for a biopsychosocial approach to BF management. Easily available RT assessments should be incorporated into routine clinical practice. Full article
(This article belongs to the Section Aging Neuroscience)
Show Figures

Graphical abstract

26 pages, 1000 KB  
Review
Neurological Sequelae of Long COVID: Mechanisms, Clinical Impact and Emerging Therapeutic Insights
by Muhammad Danial Che Ramli, Beevenna Kaur Darmindar Singh, Zakirah Zainal Abidin, Athirah Azlan, Amanina Nurjannah, Zaw Myo Hein, Che Mohd Nasril Che Mohd Nassir, Rajesh Thangarajan, Noor Aishah Bt. Mohammed Izham and Suresh Kumar
COVID 2025, 5(12), 207; https://doi.org/10.3390/covid5120207 - 16 Dec 2025
Viewed by 1144
Abstract
The COVID-19 pandemic has demonstrated that its effects go far beyond the initial respiratory illness, with many survivors experiencing lasting neurological problems. Some patients develop a condition known as Long COVID, or post-acute sequelae of SARS-CoV-2 infection (PASC), which includes current issues such [...] Read more.
The COVID-19 pandemic has demonstrated that its effects go far beyond the initial respiratory illness, with many survivors experiencing lasting neurological problems. Some patients develop a condition known as Long COVID, or post-acute sequelae of SARS-CoV-2 infection (PASC), which includes current issues such as reduced cognitive function, chronic headaches, depression, neuropathic pain, and sensory disturbances. These symptoms can severely disrupt daily life and overall well-being. In this narrative review, we provide an overview of current understanding regarding the neurological effects of COVID-19, with a focus on Long COVID. We discuss possible underlying mechanisms, including direct viral invasion of the nervous system, immune-related damage, and vascular complications. We also summarize findings from cohort studies and meta-analyses that explore the causes, symptom patterns, and frequency of these neurological issues. Approximately one-third of people who have had COVID-19 report neurological symptoms, especially those who experienced severe illness or were infected with pre-Omicron variants. Emerging research has identified potential biomarkers such as neurofilament light chain (NFL) and glial fibrillary acidic protein (GFAP) that may help in diagnosis. Treatment approaches under investigation include antiviral medications, nutraceuticals, and comprehensive rehabilitation programs. Factors like older age, existing health conditions, and genetic differences in ACE2 and TMPRSS2 genes may affect an individual’s risk. To effectively address these challenges, current research is essential to improve diagnostic methods, develop targeted treatments, and enhance rehabilitation strategies. Ultimately, a coordinated, multidisciplinary effort is crucial to reduce the neurological impact of Long COVID and support better recovery for patients. Full article
(This article belongs to the Special Issue Exploring Neuropathology in the Post-COVID-19 Era)
Show Figures

Figure 1

17 pages, 1991 KB  
Article
Lesion-Symptom Mapping of Acute Speech Deficits After Left vs. Right Hemisphere Stroke: A Retrospective Analysis of NIHSS Best Language Scores and Clinical Neuroimaging
by Nilofar Sherzad, Roger Newman-Norlund, John Absher, Leonardo Bonilha, Christopher Rorden, Julius Fridriksson and Sigfus Kristinsson
Brain Sci. 2025, 15(12), 1329; https://doi.org/10.3390/brainsci15121329 - 13 Dec 2025
Viewed by 747
Abstract
Background: Recent research suggests that damage to right hemisphere regions homotopic to the left hemisphere language network affects language abilities to a greater extent than previously thought. However, few studies have investigated acute disruption of language after lesion to the right hemisphere. [...] Read more.
Background: Recent research suggests that damage to right hemisphere regions homotopic to the left hemisphere language network affects language abilities to a greater extent than previously thought. However, few studies have investigated acute disruption of language after lesion to the right hemisphere. Here, we examined lesion correlates of acute speech deficits following left and right hemisphere ischemic stroke to clarify the neural architecture underlying early language dysfunction. Methods: We retrospectively analyzed 410 patients (225 left, 185 right hemisphere lesions) from the Stroke Outcome Optimization Project dataset. Presence and severity of speech deficits was measured using the National Institute of Health Stroke Scale Best Language subscore within 48 h of onset. Manual lesion masks were derived from clinical MRI scans and normalized to MNI space. Lesion-symptom mapping was conducted using voxelwise and region-of-interest analyses with permutation correction (5000 iterations; p < 0.05), controlling for total lesion volume. Results: Speech deficits were observed in 53.7% of the cohort (58.2% left, 48.1% right hemisphere lesions). In the full sample, the presence of speech deficits was associated with bilateral subcortical and perisylvian damage, including the external and internal capsules, insula, putamen, and superior fronto-occipital fasciculus. Severity of speech deficits localized predominantly to left hemisphere structures, with peak associations in the external capsule (Z = 6.39), posterior insula (Z = 5.64), and inferior fronto-occipital fasciculus (Z = 5.43). In the right hemisphere cohort, the presence and severity of speech deficits were linked to homologous regions, including the posterior insula (Z = 3.70) and external capsule (Z = 3.63), although with smaller effect sizes relative to the left hemisphere cohort. Right hemisphere lesions resulted in milder deficits despite larger lesion volumes compared with left hemisphere lesions. Conclusions: Acute speech impairment following right hemisphere stroke is associated with damage to a homotopic network encompassing perisylvian cortical and subcortical regions analogous to the dominant left hemisphere language network. These findings demonstrate that damage to the right hemisphere consistently results in acute speech deficits, challenging the traditional left-centric view of post-stroke speech impairment. These results have important implications for models of bilateral language representation and the neuroplastic mechanisms supporting language recovery. Full article
(This article belongs to the Special Issue Diagnosis and Treatment of Post-Stroke and Progressive Aphasias)
Show Figures

Figure 1

17 pages, 3968 KB  
Article
The Application of an Ultra-Thin, High-Density μECoG Array in Dissecting Caffeine-Induced Cortical Dynamics in Mice
by Yongqi Hu, Bingjie Zhang, Zhengwei Hu, Xuemei Liu, Xiaojian Li and Ji Dai
Sensors 2025, 25(24), 7552; https://doi.org/10.3390/s25247552 - 12 Dec 2025
Viewed by 537
Abstract
High-density micro-electrocorticography (μECoG) arrays offer precise spatial resolution with minimal invasiveness. This study employed a custom ultra-thin 64-channel μECoG array to investigate cortical activity in mice under chronic caffeine exposure. While caffeine is known to enhance short-term alertness, its long-term impact on sleep [...] Read more.
High-density micro-electrocorticography (μECoG) arrays offer precise spatial resolution with minimal invasiveness. This study employed a custom ultra-thin 64-channel μECoG array to investigate cortical activity in mice under chronic caffeine exposure. While caffeine is known to enhance short-term alertness, its long-term impact on sleep microarchitecture and brain connectivity is unclear. Continuous recordings from adult mice during baseline and recovery revealed that prolonged caffeine intake significantly reduced broadband power spectral density (PSD) and spindle power but increased interregional coherence and altered spindle duration and density. In contrast, six hours of sleep deprivation elevated PSD and coherence, mainly affecting sensorimotor and retrosplenial cortices. These findings validate the μECoG array’s functionality and demonstrate that post-chronic caffeine withdrawal lowers cortical oscillatory power yet enhances network connectivity, whereas acute sleep loss boosts global synchrony. This work clarifies how sustained caffeine use and sleep deprivation distinctly disrupt sleep homeostasis through different neural mechanisms. Full article
(This article belongs to the Section Biomedical Sensors)
Show Figures

Figure 1

39 pages, 1272 KB  
Review
Awakening Recovery: Enhancing Orexinergic Tone After Acute CNS Damage
by Paloma Otero-López, Xavier Madrid-González, Víctor Fernández-Dueñas and África Flores
Pharmaceuticals 2025, 18(12), 1879; https://doi.org/10.3390/ph18121879 - 11 Dec 2025
Viewed by 723
Abstract
Acute injuries to the central nervous system (CNS) share a rapid disruption of arousal, autonomic stability, and neuroimmune balance. Among the neuromodulatory systems affected, the orexin (hypocretin) network is uniquely positioned at the intersection of wakefulness, autonomic control, and motivated behavior. Experimental evidence [...] Read more.
Acute injuries to the central nervous system (CNS) share a rapid disruption of arousal, autonomic stability, and neuroimmune balance. Among the neuromodulatory systems affected, the orexin (hypocretin) network is uniquely positioned at the intersection of wakefulness, autonomic control, and motivated behavior. Experimental evidence across ischemic, hemorrhagic, traumatic, and systemic models shows that orexin signaling is sharply suppressed during the early post-injury collapse and gradually recovers as arousal circuits and homeostatic functions stabilize. Controlled enhancement of orexinergic tone has been found to improve arousal state, modulate inflammatory responses, and support behavioral engagement, although these effects are highly dependent on timing, receptor subtype, and physiological context. This review synthesizes evidence from ischemia, hemorrhagic stroke, traumatic brain and spinal cord injury, and systemic inflammatory states, and examines the conceptual and translational rationale for targeting orexin pathways. We summarize available pharmacological, peptide-based, neuromodulatory, and physiological strategies to boost orexinergic tone, highlighting the growing development of selective OX2 agonists and experimental approaches to enhance endogenous orexin activity. By integrating findings across etiologies within a timing-aware framework, this review addresses a gap in the current literature, which has largely treated these injuries in isolation. While clinical testing in acute CNS injury has not yet been performed, the mechanistic convergence across etiologies suggests that orexinergic modulation may offer a phase-sensitive means to stabilize arousal and support recovery. Taken together, orexin emerges as a state-dependent integrator whose modulation could complement existing therapies by linking early arousal stabilization with longer-term motivational and functional recovery. Full article
(This article belongs to the Special Issue Pharmacology and Mechanism of Action of Peptides in the Brain)
Show Figures

Graphical abstract

25 pages, 1163 KB  
Review
Sexual Dimorphisms in Neurodevelopment May Affect TBI Recovery in Pediatric Patients
by Moira F. Taber, Franklin D. West and Erin E. Kaiser
Biomedicines 2025, 13(12), 3033; https://doi.org/10.3390/biomedicines13123033 - 10 Dec 2025
Viewed by 315
Abstract
Traumatic brain injury (TBI) is a leading cause of death and disability, with broad heterogeneity in recovery outcomes particularly noted in pediatric patients. Children post-TBI are vulnerable to aberrant neurodevelopment, specifically in structural and functional neural networks as they correlate with cognitive, behavioral, [...] Read more.
Traumatic brain injury (TBI) is a leading cause of death and disability, with broad heterogeneity in recovery outcomes particularly noted in pediatric patients. Children post-TBI are vulnerable to aberrant neurodevelopment, specifically in structural and functional neural networks as they correlate with cognitive, behavioral, and motor function outcomes. Consideration for sex as a biological variable which innately influences neuroanatomy, neurodevelopment, and functional organization may elucidate risk factors for negative outcomes in pediatric TBI. For example, TBI damage in sexually dimorphic neural structures and networks may explain deficits in social cognition, working memory, as well as internalizing and externalizing behaviors, which differentially impact the quality of life in male versus female TBI patients. However, characterization of sex in conjunction with developmental patterns in normal and injured pediatric populations is limited due to small sample sizes, the low representation of females, a lack of longitudinal data, and the utilization of analyses that are not sensitive enough to detect subtle differences in TBI pathologies and recovery between the sexes. This review aims to analyze and synthesize the existing evidence regarding the influence of sex on the developmental trajectories of neuroanatomical structures, white and gray matter compartments, and the network disruptions that align with sex-specific functional recovery outcomes following pediatric TBI. The delineation of these sex influences will facilitate better precision-based medicine approaches to improve patient outcomes. Full article
Show Figures

Graphical abstract

19 pages, 5192 KB  
Article
Hurricanes and Human Health in Louisiana: Insights from Hurricanes Laura, Delta, and Ida
by Shobha Kumari Yadav, Robert V. Rohli, M. E. Betsy Garrison, Elisabeth Ponce-Garcia, Nazla Bushra and Charleen McNeill
Sustainability 2025, 17(24), 10944; https://doi.org/10.3390/su172410944 - 7 Dec 2025
Viewed by 738
Abstract
Louisiana is one of the most disaster-prone states, with hurricanes ranking among the most destructive hazards. Hurricanes impede sustainability by straining hospital infrastructure, overwhelming emergency departments, and disrupting continuity of care. Louisiana’s healthcare system, characterized by high uninsured rates, limited rural access, and [...] Read more.
Louisiana is one of the most disaster-prone states, with hurricanes ranking among the most destructive hazards. Hurricanes impede sustainability by straining hospital infrastructure, overwhelming emergency departments, and disrupting continuity of care. Louisiana’s healthcare system, characterized by high uninsured rates, limited rural access, and notable racial and socioeconomic disparities, is particularly vulnerable during disasters. This research explores trends of mental and respiratory health in Louisiana surrounding Hurricanes Laura (2020), Delta (2020), and Ida (2021). Analysis reveals a substantial increase in admissions after landfall of all three storms, with mental health conditions showing a larger surge than respiratory ones in already-vulnerable communities. Gender disparities were evident, with female patients accounting for a higher percentage across all three hurricanes and across all age groups. The results suggest the importance of considering social determinants of health during disasters and ensuring adequate resources for older populations with complex medical needs, thereby promoting more sustainable health systems. These results underscore how critical preparedness and recovery planning are for hospitals in hurricane-prone areas. Incorporating resilience measures such as reliable power systems, clearer evacuation pathways, and better coordination of post-disaster care can help protect patients and providers in the future. Full article
Show Figures

Figure 1

12 pages, 926 KB  
Article
Enhanced Recovery After Surgery for Pediatric Lung Resection: Effects of a New Protocol
by Andrew J. Behrmann, Elizabeth A. Shumway, Brooklyn Campbell, Cannon Dew, Tara Kempker, Jessica Peuterbaugh, Venkataraman Ramachandran, Yousef El-Gohary and Ahmed I. Marwan
Children 2025, 12(12), 1658; https://doi.org/10.3390/children12121658 - 7 Dec 2025
Viewed by 342
Abstract
Background: Prenatal detection of congenital lung lesions has increased with improved imaging. These abnormalities are safely treated with thoracoscopic lobectomy. We implemented an enhanced recovery after surgery (ERAS) protocol to standardize care and aim to evaluate its safety and efficacy compared to [...] Read more.
Background: Prenatal detection of congenital lung lesions has increased with improved imaging. These abnormalities are safely treated with thoracoscopic lobectomy. We implemented an enhanced recovery after surgery (ERAS) protocol to standardize care and aim to evaluate its safety and efficacy compared to a non-ERAS cohort. Methods: A single-center retrospective chart review was conducted for twenty patients (n = 10 ERAS, n = 10 non-ERAS) undergoing thoracoscopic lobectomy from 2014–2024. Results: ERAS patients were generally younger at the time of surgery (ERAS: 4.25 ± 2.76 months vs. non-ERAS: 6.45 ± 6.78 months, p = 0.17). Postoperative length of stay was shorter in ERAS (1.77 ± 0.60 days) vs. non-ERAS patients (5.25 ± 3.79 days, p = 0.03) as well as chest tube duration (ERAS: 1.44 ± 0.73 days vs. non-ERAS 3.64 ± 2.38 days, p = 0.01). ERAS patients received lower amounts of opioid analgesics compared to non-ERAS (p = 0.0046). Use of the ERAS protocol also decreased cost for the healthcare system compared to non-ERAS patients (p = 0.0037). ERAS patients had no reintubations or prolonged air leaks (defined as >48 h), compared to four reintubations (p = 0.04) and three prolonged air leaks (p = 0.07) in the non-ERAS group. Crucially, there were no complications in the ERAS group, whereas five non-ERAS patients experienced Clavien–Dindo level III (one IIIa, two IIIb, two IVa) complications (p = 0.02). Conclusions: Our preliminary findings demonstrate the successful integration of a novel ERAS protocol in pediatric thoracoscopic lobectomies and its efficacy in reducing standard post-operative recovery times without an increased rate of complications. Earlier discharge in the ERAS group constitutes less healthcare burden with improved resource utilization and less family, work, and social disruption. Full article
Show Figures

Figure 1

26 pages, 1517 KB  
Article
One Model Fits All? Evaluating Bankruptcy Prediction Across Different Economic Periods
by Veronika Labosova, Lucia Duricova and Pavol Durana
Economies 2025, 13(12), 361; https://doi.org/10.3390/economies13120361 - 6 Dec 2025
Viewed by 637
Abstract
Financial distress prediction models are widely used to support risk management. However, economic turbulence, such as the COVID-19 pandemic, can disrupt the relationships between financial indicators and distress, thus threatening the stability and accuracy of the models’ predictions. In this study, the stability [...] Read more.
Financial distress prediction models are widely used to support risk management. However, economic turbulence, such as the COVID-19 pandemic, can disrupt the relationships between financial indicators and distress, thus threatening the stability and accuracy of the models’ predictions. In this study, the stability of bankruptcy prediction models is examined on a large sample of small and medium-sized enterprises (SMEs) in Slovakia. Three periods are distinguished: the pre-pandemic years 2018–2019, the COVID-19 pandemic years 2020–2021, and the post-pandemic recovery years 2022–2023. Two approaches to model construction are compared: separate models are estimated for each period, and a single comprehensive model covering all three periods is constructed with a period-specific indicator among the predictors. Publicly available financial data and machine learning methods are employed, and model performance is evaluated using common classification metrics. Differences in performance are revealed, indicating whether period-specific models provide superior predictive accuracy or whether a universal model can adapt to changing economic conditions. The robustness, stability, predictive power, and practical applicability of both approaches are assessed, and the influence of economic fluctuations on accuracy is demonstrated. The findings provide guidance on selecting modelling strategies across different economic environments and offer recommendations for further developing and implementing predictive models in volatile financial conditions. Full article
Show Figures

Figure 1

20 pages, 1165 KB  
Article
Does Distance Matter? Metabolic and Muscular Challenges of a Non-Stop Ultramarathon with Sub-Analysis Depending on Running Distance
by Lucas John, Moritz Munk, Roman Bizjak, Sebastian V. W. Schulz, Jens Witzel, Harald Engler, Christoph Siebers, Michael Siebers, Johannes Kirsten, Marijke Grau and Daniel Alexander Bizjak
Nutrients 2025, 17(23), 3801; https://doi.org/10.3390/nu17233801 - 4 Dec 2025
Viewed by 1501
Abstract
Background: Ultramarathon running represents an extreme physiological and metabolic challenge. Despite its growing popularity among recreational and competitive runners, evidence-based guidance for nutrition, energy balance, and recovery remains limited. Understanding metabolic response and hormonal regulation during such events is crucial for improving athletes’ [...] Read more.
Background: Ultramarathon running represents an extreme physiological and metabolic challenge. Despite its growing popularity among recreational and competitive runners, evidence-based guidance for nutrition, energy balance, and recovery remains limited. Understanding metabolic response and hormonal regulation during such events is crucial for improving athletes’ health and performance. Methods: This prospective observational study examined participants of the 2024 TorTour de Ruhr® (100 km, 160.9 km, and 230 km). Pre- and post-race assessments included body composition, energy intake and expenditure, metabolic and hormonal biomarkers (leptin, ghrelin, insulin, glucagon, irisin, creatine kinase muscle type (CKM), lactate dehydrogenase (LDH)), and continuous glucose monitoring (CGM). Blood and saliva samples, bioimpedance analysis, and validated symptom questionnaires (General Assessment of Side Effects (GASE)) were used. Results: Of the 43 ultra runners (16 women, 27 men), 39 finished the race: 19 participants of the 100 km group, 8 of the 160.9 km group, and 16 of the 230 km group. Mean energy deficit was 6797 kcal (range: 417–18,364 kcal) with carbohydrate-dominant fueling (79%). Significant reductions in leptin and insulin and increases in ghrelin, glucagon, CKM, and LDH were observed, indicating disrupted energy homeostasis and muscle damage. The 230 km subgroup showed the greatest changes. Gastrointestinal and musculoskeletal symptoms increased post-race, aligning with biomarker patterns. Conclusions: Ultramarathon participation induces profound disturbances in metabolic and structural integrity, regardless of race distance. These findings underline the importance of developing individualized nutritional and recovery strategies and highlight the need for future research to investigate how energy deficit and macronutrient composition interact to influence metabolic strain and post-race recovery. Full article
Show Figures

Figure 1

18 pages, 1317 KB  
Article
Kidney Transplants Before and During the COVID-19 Pandemic at the University Hospital of Guadeloupe
by Jonathan Mutombo Muamba, Joëlle Claudéon, Arriel Bunkete Makembi, Batcho Jimy, Gerard Dalvius, Jean-Robert Makulo, Christian Lusunsi Kisoka, Yannick Mayamba Nlandu, Ernest Kiswaya Sumaili, Nazaire Mangani Nseka and Befa Notokadoukaza
Kidney Dial. 2025, 5(4), 57; https://doi.org/10.3390/kidneydial5040057 - 1 Dec 2025
Viewed by 353
Abstract
Background: Kidney transplantation activity at the University Hospital of Guadeloupe was briefly interrupted at the onset of the COVID-19 pandemic, reflecting the global impact of this health crisis on organ transplantation. This study assessed patient and graft recovery in 335 recipients transplanted between [...] Read more.
Background: Kidney transplantation activity at the University Hospital of Guadeloupe was briefly interrupted at the onset of the COVID-19 pandemic, reflecting the global impact of this health crisis on organ transplantation. This study assessed patient and graft recovery in 335 recipients transplanted between 2013 and 2023, comparing those transplanted before 2020 and after the resumption of activity. The objective was to evaluate changes in recipient profiles, surgical parameters, and post-transplant outcomes following this disruption. Methods: This retrospective cohort included all kidney transplants performed at the University Hospital of Guadeloupe over a ten-year period. Most patients (70%) received transplants before 2020, with 30% afterward. All grafts were ABO-compatible, and 98.2% were from deceased donors. Trends in transplant activity were analyzed to identify variations over time, with a peak observed in 2018, followed by a decline until 2021 and a progressive recovery from 2022. Comparative analyses were performed to examine disparities in donor and recipient characteristics, ischemia durations, and outcomes between the two periods. Results: After 2020, recipients were more likely to be elderly (≥70 years), immunized, obese, have heterozygous sickle cell disease, or have polycystic kidney disease (p < 0.05). Mean cold ischemia time decreased (p = 0.009), while warm ischemia time increased (p < 0.001), reflecting procedural and logistical adaptations. Graft survival remained stable, with 97.5% at 6 months and 89.8% at 4 years for transplants before 2020, versus 100% and 96.9%, respectively, after 2020 (p = 0.160). Patient survival did not differ significantly between periods (p = 0.199). Independent factors associated with mortality included recipient age ≥ 60 years, diabetes, graft failure, transplantation before 2020, cold ischemia time ≥ 1200 min, and graft pyelonephritis. Conclusions: Despite the temporary suspension of activity and an increased proportion of transplants with expanded criteria after 2020, graft recovery and patient survival were not adversely affected. These findings suggest that kidney transplantation in Guadeloupe demonstrated strong resilience and capacity for adaptation during and after the COVID-19 crisis, maintaining outcomes comparable to the pre-pandemic period. Full article
Show Figures

Figure 1

Back to TopTop