Sign in to use this feature.

Years

Between: -

Subjects

remove_circle_outline
remove_circle_outline
remove_circle_outline
remove_circle_outline
remove_circle_outline

Journals

Article Types

Countries / Regions

Search Results (23)

Search Parameters:
Keywords = polyoxymethylene ether

Order results
Result details
Results per page
Select all
Export citation of selected articles as:
22 pages, 2415 KB  
Article
Ensemble Learning-Based Metamodel for Enhanced Surface Roughness Prediction in Polymeric Machining
by Elango Natarajan, Manickam Ramasamy, Sangeetha Elango, Karthikeyan Mohanraj, Chun Kit Ang and Ali Khalfallah
Machines 2025, 13(7), 570; https://doi.org/10.3390/machines13070570 - 1 Jul 2025
Viewed by 604
Abstract
This paper proposes and demonstrates a domain-adapted ensemble machine learning approach for enhanced prediction of surface roughness (Ra) during the machining of polymeric materials. The proposed model methodology employs a two-stage pipelined architecture, where classified data are fed into the model for regressive [...] Read more.
This paper proposes and demonstrates a domain-adapted ensemble machine learning approach for enhanced prediction of surface roughness (Ra) during the machining of polymeric materials. The proposed model methodology employs a two-stage pipelined architecture, where classified data are fed into the model for regressive analysis. First, a classifier (Logistic Regression or XGBoost, selected based on performance) categorizes machining data into distinct regimes based on cutting Speed (Vc), feed rate (f), and depth of cut (ap) as inputs. This classification leverages output discretization to mitigate data imbalance and capture regime-specific patterns. Second, a regressor (Support Vector Regressor or XGBoost, selected based on performance) predicts Ra within each regime, utilizing the classifier’s output as an additional feature. This structured hybrid approach enables more robust prediction in small, noisy datasets characteristic of machining studies. To validate the methodology, experiments were conducted on Polyoxymethylene (POM), Polytetrafluoroethylene (PTFE), Polyether ether ketone (PEEK), and PEEK/MWCNT composite, using a L27 Design of Experiments (DoEs) matrix. Model performance was optimized using k-fold cross-validation and hyperparameter tuning via grid search, with R-squared and RMSE as evaluation metrics. The resulting meta-model demonstrated high accuracy (R2 > 90% for XGBoost regressor across all materials), significantly improving Ra prediction compared to single-model approaches. This enhanced predictive capability offers potential for optimizing machining processes and reducing material waste in polymer manufacturing. Full article
(This article belongs to the Special Issue Sustainable Manufacturing and Green Processing Methods, 2nd Edition)
Show Figures

Figure 1

16 pages, 2333 KB  
Article
Potential of DMC and PODE as Fuel Additives for Industrial Diesel Engines
by Nicholas O’Connell, Dominik Stümpfl, Rudolf Höß and Raphael Lechner
Fuels 2025, 6(2), 44; https://doi.org/10.3390/fuels6020044 - 4 Jun 2025
Cited by 1 | Viewed by 1155
Abstract
Dimethyl carbonate (DMC) and polyoxymethylene dimethyl ethers (PODE also known as OME) are possible diesel additives that can be produced sustainably using green methanol. DMC can be produced from CO2 and methanol, while PODE can be produced from methanol and formaldehyde. In [...] Read more.
Dimethyl carbonate (DMC) and polyoxymethylene dimethyl ethers (PODE also known as OME) are possible diesel additives that can be produced sustainably using green methanol. DMC can be produced from CO2 and methanol, while PODE can be produced from methanol and formaldehyde. In this study both DMC and PODE were investigated as drop-in diesel fuel additives regarding material compatibility, injection behavior, as well as particle and exhaust emissions. Both DMC and PODE are known to be incompatible with certain materials used as seals in the fuel injection system. Therefore, the material compatibility of both neat DMC and PODE as well as blends with B0 was investigated, with both PFTE and FFKM showing good compatibility. The hydraulic injection behavior of DMC–diesel and PODE–diesel blends was investigated experimentally, showing the need for compensating injection quantities for DMC and PODE blends to match neat diesel power output due to their lower calorific values. Energetic compensation can be achieved by higher injection pressures or longer injection durations. Engine tests have been conducted with both DMC–diesel and PODE–diesel blends, demonstrating the potential to mitigate the particle–NOX trade-off. Full article
Show Figures

Figure 1

15 pages, 3822 KB  
Article
Soot and Flame Structures in Turbulent Partially Premixed Jet Flames of Pre-Evaporated Diesel Surrogates with Admixture of OMEn
by Steffen Walther, Tao Li, Dirk Geyer, Andreas Dreizler and Benjamin Böhm
Fluids 2024, 9(9), 210; https://doi.org/10.3390/fluids9090210 - 10 Sep 2024
Cited by 1 | Viewed by 1628
Abstract
In this study, the soot formation and oxidation processes in different turbulent, pre-evaporated and partially premixed diesel surrogate flames are experimentally investigated. For this purpose, a piloted jet flame surrounded by an air co-flow is used. Starting from a defined diesel surrogate mixture, [...] Read more.
In this study, the soot formation and oxidation processes in different turbulent, pre-evaporated and partially premixed diesel surrogate flames are experimentally investigated. For this purpose, a piloted jet flame surrounded by an air co-flow is used. Starting from a defined diesel surrogate mixture, different fuel blends with increasing blending ratios of poly(oxymethylene) dimethyl ether (OME) are studied. The Reynolds number, equivalence ratio, and vaporization temperature are kept constant to ensure the comparability of the different fuel mixtures. The effects of OME addition on flame structures, soot precursors, and soot are investigated, showing soot reduction when OME is added to the diesel surrogate. Using chemiluminescence images of C2 radicals (line of sight) and subsequent Abel-inversion, flame lengths and global flame structure are analyzed. The flame structure is visualized by means of planar laser-induced fluorescence (PLIF) of hydroxyl radicals (OH). The spatial distribution of soot precursors, such as polycyclic aromatic hydrocarbons (PAHs), is simultaneously measured by PLIF using the same excitation wavelength. In particular, aromatic compounds with several benzene rings (e.g., naphthalene or pyrene), which are known to be actively involved in soot formation and growth, have been visualized. Spatially distributed soot particles are detected by using laser-induced incandescence (LII), which allows us to study the onset of soot clouds and its structures qualitatively. Evident soot formation is observed in the pure diesel surrogate flame, whereas a significant soot reduction with changing PAH and soot structures can be identified with increasing OME addition. Full article
(This article belongs to the Special Issue Turbulence and Combustion)
Show Figures

Figure 1

26 pages, 30007 KB  
Article
LES and RANS Spray Combustion Analysis of OME3-5 and n-Dodecane
by Frederik Wiesmann, Tuan M. Nguyen, Julien Manin, Lyle M. Pickett, Kevin Wan, Fabien Tagliante and Thomas Lauer
Energies 2024, 17(10), 2265; https://doi.org/10.3390/en17102265 - 8 May 2024
Viewed by 1820
Abstract
Clean-burning oxygenated and synthetic fuels derived from renewable power, so-called e-fuels, are a promising pathway to decarbonize compression–ignition engines. Polyoxymethylene dimethyl ethers (PODEs or OMEs) are one candidate of such fuels with good prospects. Their lack of carbon-to-carbon bonds and high concentration of [...] Read more.
Clean-burning oxygenated and synthetic fuels derived from renewable power, so-called e-fuels, are a promising pathway to decarbonize compression–ignition engines. Polyoxymethylene dimethyl ethers (PODEs or OMEs) are one candidate of such fuels with good prospects. Their lack of carbon-to-carbon bonds and high concentration of chemically bound oxygen effectively negate the emergence of polycyclic aromatic hydrocarbons (PAHs) and even their precursors like acetylene (C2H2), enabling soot-free combustion without the soot-NOx trade-off common for diesel engines. The differences in the spray combustion process for OMEs and diesel-like reference fuels like n-dodecane and their potential implications on engine applications include discrepancies in the observed ignition delay, the stabilized flame lift-off location, and significant deviations in high-temperature flame morphology. For CFD simulations, the accurate modeling and prediction of these differences between OMEs and n-dodecane proved challenging. This study investigates the spray combustion process of an OME3 − 5 mixture and n-dodecane with advanced optical diagnostics, Reynolds-Averaged Navier–Stokes (RANS), and Large-Eddy Simulations (LESs) within a constant-volume vessel. Cool-flame and high-temperature combustion were measured simultaneously via high-speed (50 kHz) imaging with formaldehyde (CH2O) planar laser-induced fluorescence (PLIF) representing the former and line-of-sight OH* chemiluminescence the latter. Both RANS and LES simulations accurately describe the cool-flame development process with the formation of CH2O. However, CH2O consumption and the onset of high-temperature reactions, signaled by the rise of OH* levels, show significant deviations between RANS, LES, and experiments as well as between n-dodecane and OME. A focus is set on the quality of the simulated results compared to the experimentally observed spatial distribution of OH*, especially in OME fuel-rich regions. The influence of the turbulence modeling is investigated for the two distinct ambient temperatures of 900 K and 1200 K within the Engine Combustion Network Spray A setup. The capabilities and limitations of the RANS simulations are demonstrated with the initial cool-flame propagation and periodic oscillations of CH2O formation/consumption during the quasi-steady combustion period captured by the LES. Full article
(This article belongs to the Section I1: Fuel)
Show Figures

Figure 1

17 pages, 4507 KB  
Article
Numerical Study of Premixed PODE3-4/CH4 Flames at Engine-Relevant Conditions
by Yupeng Leng, Xiang Ji, Chengcheng Zhang, Nigel Simms, Liming Dai and Chunkan Yu
Fuels 2024, 5(1), 90-106; https://doi.org/10.3390/fuels5010006 - 12 Mar 2024
Viewed by 2265
Abstract
Polyoxymethylene dimethyl ether (PODEn, n ≥ 1) is a promising alternative fuel to diesel with higher reactivity and low soot formation tendency. In this study, PODE3-4 is used as a pilot ignition fuel for methane (CH4) and the [...] Read more.
Polyoxymethylene dimethyl ether (PODEn, n ≥ 1) is a promising alternative fuel to diesel with higher reactivity and low soot formation tendency. In this study, PODE3-4 is used as a pilot ignition fuel for methane (CH4) and the combustion characteristics of PODE3-4/CH4 mixtures are investigated numerically using an updated PODE3-4 mechanism. The ignition delay time (IDT) and laminar burning velocity (LBV) of PODE3-4/CH4 blends were calculated at high temperature and high pressure relevant to engine conditions. It is discovered that addition of a small amount of PODE3-4 has a dramatic promotive effect on IDT and LBV of CH4, whereas such a promoting effect decays at higher PODE3-4 addition. Kinetic analysis was performed to gain more insight into the reaction process of PODE3-4/CH4 mixtures at different conditions. In general, the promoting effect originates from the high reactivity of PODE3-4 at low temperatures and it is further confirmed in simulations using a perfectly stirred reactor (PSR) model. The addition of PODE3-4 significantly extends the extinction limit of CH4 from a residence time of ~0.5 ms to that of ~0.08 ms, indicating that the flame stability is enhanced as well by PODE3-4 addition. It is also found that NO formation is reduced in lean or rich flames; moreover, NO formation is inhibited by too short a residence time. Full article
(This article belongs to the Special Issue Chemical Kinetics of Biofuel Combustion)
Show Figures

Figure 1

13 pages, 1635 KB  
Article
The Role of Ion Exchange Resins for Solving Biorefinery Catalytic Processes Challenges
by Yolanda Patiño, Laura Faba, Raquel Peláez, Jennifer Cueto, Pablo Marín, Eva Díaz and Salvador Ordóñez
Catalysts 2023, 13(6), 999; https://doi.org/10.3390/catal13060999 - 13 Jun 2023
Cited by 5 | Viewed by 3310
Abstract
Different possible applications of ion exchange resins in the framework of biorefinery catalytic applications are discussed in this article. Three case studies were selected for this approach, connected to three main routes for biomass upgrading: syngas upgrading to high-value chemicals, biomass hydrolysate upgrading, [...] Read more.
Different possible applications of ion exchange resins in the framework of biorefinery catalytic applications are discussed in this article. Three case studies were selected for this approach, connected to three main routes for biomass upgrading: syngas upgrading to high-value chemicals, biomass hydrolysate upgrading, and direct upgrading of oily fraction. The tailored acidic properties of these materials, as well as their stability in the presence of water, have made them promising catalysts for applications such as obtaining biodiesel from activated sludge wastes in batch reactors and obtaining polyoxymethylene methyl ether from syngas (via formaldehyde and methylal, and working in a continuous fixed bed reactor). However, the acidity of these materials may still be too low for acid-catalyzed aldol condensation reactions in the aqueous phase. Full article
(This article belongs to the Special Issue Advances in the Catalytic Behavior of Ion-Exchange Resins)
Show Figures

Graphical abstract

18 pages, 1688 KB  
Review
Exploring the Potential of Lignocellulosic Biomass-Derived Polyoxymethylene Dimethyl Ether as a Sustainable Fuel for Internal Combustion Engines
by Chakrapani Nagappan Kowthaman, S. M. Ashrafur Rahman and I. M. R. Fattah
Energies 2023, 16(12), 4679; https://doi.org/10.3390/en16124679 - 13 Jun 2023
Cited by 3 | Viewed by 1900
Abstract
The most effective way to reduce internal combustion engine emissions is to use a sustainable alternative fuel that contains oxygen molecules. Alternative fuels may be used to address a future global energy crisis. Different oxygenated alternative fuels have been investigated in internal combustion [...] Read more.
The most effective way to reduce internal combustion engine emissions is to use a sustainable alternative fuel that contains oxygen molecules. Alternative fuels may be used to address a future global energy crisis. Different oxygenated alternative fuels have been investigated in internal combustion engines. Polyoxymethylene di-methylene ether (PODE), which contains 3–5 CH2O groups, is currently superior in the field of oxygenated fuels due to its physical and chemical properties. Furthermore, using PODE as a fuel does not necessitate any significant engine modifications. When compared to standard diesel fuel, the use of PODE results in near stoichiometric combustion with less hazardous exhaust gas. It also significantly reduces NOx emissions due to the lack of C-to-C bonds. Several articles in the literature were found on the manufacturing and application processes for the production of PODE. However, the current review focuses primarily on simplifying the various production technologies, the physical and chemical properties of PODEn and its advantages and disadvantages in ICEs, PODEn application in internal combustion engines and its characteristics, PODE spray analysis, and measurements of the fuel’s physical and chemical characteristics. This review emphasizes the fact that PODE can be used as a sole fuel or in conjunction with fossil fuels and advanced combustion technologies. Because C-C bonds and higher oxygen molecules are not available, the trade-off relationship between nitrogen oxides and soot production is avoided when PODEn is used as a fuel, and combustion efficiency is significantly improved. Full article
(This article belongs to the Special Issue Internal Combustion Engine: Research and Application)
Show Figures

Figure 1

13 pages, 12600 KB  
Article
Characterizing Internal Flow Field in Binary Solution Droplet Combustion with Micro-Particle Image Velocimetry
by Bingyao Huang, Haodong Zhang, Zundi Liu, Xiaoyuan Yang, Wei Li and Yuyang Li
Appl. Sci. 2023, 13(9), 5752; https://doi.org/10.3390/app13095752 - 6 May 2023
Cited by 1 | Viewed by 2218
Abstract
Droplet internal flow participates in liquid-phase mass transfer during multicomponent solution droplet combustion. In this work, internal flow fields in the binary droplet combustion of two polyoxymethylene dimethyl ethers (CH3O(CH2O)nCH3, n ≥ 1, abbreviated as [...] Read more.
Droplet internal flow participates in liquid-phase mass transfer during multicomponent solution droplet combustion. In this work, internal flow fields in the binary droplet combustion of two polyoxymethylene dimethyl ethers (CH3O(CH2O)nCH3, n ≥ 1, abbreviated as PODEn), i.e., PODE2 and PODE4, are characterized using micro-particle image velocimetry (Micro-PIV). The buoyancy-driven upward vapor flow around the droplet is found to initiate two opposite radial flows in the droplet, which form two vortex cores near the surface, while the gravitational effect and Marangoni effect resulting from the content and temperature gradients in the binary droplets can induce disturbance to the two flows. The binary droplets have comparable spatially averaged flow velocities at the stable evaporation stage to those of pure droplets, which are around 3 mm/s. The velocity curves are more fluctuant and tend to slightly increase and reach the peak values at around 250 ms, and then decrease until droplet atomization. The flow velocities in the droplet interior are generally higher than those near the droplet surface, forming a parabolic velocity profile along the horizontal radial direction. The peak velocity first increases to 5–9 mm/s as the radial flow and vortex structure start to form and then decreases to around 3 mm/s until droplet atomization. The radial flow with a spatially averaged velocity of 3 mm/s can run around one lap during the stable evaporation stage, which implies that the convection-induced mass transfer is relatively weak, and consequently, the content gradient of the binary droplet is still mainly controlled by mass diffusion. Full article
(This article belongs to the Special Issue Feature Papers in Section 'Applied Thermal Engineering')
Show Figures

Figure 1

18 pages, 1141 KB  
Article
Techno-Economic Analysis of Large Scale Production of Poly(oxymethylene) Dimethyl Ether Fuels from Methanol in Water-Tolerant Processes
by Yannic Tönges, Vincent Dieterich, Sebastian Fendt, Hartmut Spliethoff and Jakob Burger
Fuels 2023, 4(1), 1-18; https://doi.org/10.3390/fuels4010001 - 6 Jan 2023
Cited by 4 | Viewed by 5219
Abstract
Poly(oxymethylene) dimethyl ether (OME) are a much-discussed and promising synthetic and renewable fuel for reducing soot and, if produced as e-fuel, CO2 emissions. OME production is generally based on the platform chemical methanol as an intermediate. Thus, the OME production cost is [...] Read more.
Poly(oxymethylene) dimethyl ether (OME) are a much-discussed and promising synthetic and renewable fuel for reducing soot and, if produced as e-fuel, CO2 emissions. OME production is generally based on the platform chemical methanol as an intermediate. Thus, the OME production cost is strongly dependent on the methanol cost. This work investigates OME production from methanol. Seven routes for providing methanolic formaldehyde solutions are conceptually designed for the first time and simulated in a process simulator. They are coupled with a state-of-the-art OME synthesis to evaluate the economics of the overall production chain from methanol to OME. For a plant size of 100 kt/a, the average levelized product cost of OME is 79.08 EUR/t plus 1.31 times the cost of methanol in EUR/t. Full article
(This article belongs to the Special Issue Advances in Synthetic Fuel)
Show Figures

Figure 1

20 pages, 16402 KB  
Article
Numerical Optimization of the EGR Rate and Injection Timing with a Novel Cavitation Model in a Diesel Engine Fueled with PODE/Diesel Blends
by Yanju Wei, Chenyang Zhang, Zengqiang Zhu, Yajie Zhang, Dunqiang He and Shenghua Liu
Appl. Sci. 2022, 12(24), 12556; https://doi.org/10.3390/app122412556 - 7 Dec 2022
Cited by 2 | Viewed by 2111
Abstract
Polyoxymethylene dimethyl ether (PODE) is one of the most promising alternative fuels for diesel engines with a high cetane number, high oxygen content, and no C-C bonds. In this paper, a new spray model with a novel cavitation sub-model is adopted in order [...] Read more.
Polyoxymethylene dimethyl ether (PODE) is one of the most promising alternative fuels for diesel engines with a high cetane number, high oxygen content, and no C-C bonds. In this paper, a new spray model with a novel cavitation sub-model is adopted in order to create a numerical model suitable for engine simulation fueled with PODE/diesel blends. The effects of the blending ratio, injection timing, and EGR rate on the combustion and emission characteristics are investigated by the simulation. The simulation results show that the self-restoring oxygen properties of PODE can efficiently improve the combustion, causing a higher in-cylinder temperature, and therefore, higher NOx emissions. Additionally, with the increase in the blending ratio, the increase in the oxidation activity of PODE/diesel blends and the improvement of atomization are conducive to reducing soot emissions. Then, the injection timing and EGR rate are optimized. The numerical results suggest that the NOx emissions decrease initially and then increase; however, soot emissions decrease monotonically with the delay of the injection timing. When the volume blending ratio is 15%, the emission performance is best when the injection timing is between 710 °CA and 715 °CA. The increase in EGR rate can effectively reduce the in-cylinder temperature and control the NOx emissions, but the excessive EGR rate leads to higher soot emissions and a deteriorated combustion process. Therefore, an EGR rate in the range of 0.0 to 0.2 has a better comprehensive emission performance from the perspective of controlling both the NOx and soot emissions. Full article
(This article belongs to the Section Energy Science and Technology)
Show Figures

Figure 1

26 pages, 10474 KB  
Article
Numerical and Experimental Investigations on the Ignition Behavior of OME
by Frederik Wiesmann, Lukas Strauß, Sebastian Rieß, Julien Manin, Kevin Wan and Thomas Lauer
Energies 2022, 15(18), 6855; https://doi.org/10.3390/en15186855 - 19 Sep 2022
Cited by 14 | Viewed by 3121
Abstract
On the path towards climate-neutral future mobility, the usage of synthetic fuels derived from renewable power sources, so-called e-fuels, will be necessary. Oxygenated e-fuels, which contain oxygen in their chemical structure, not only have the potential to realize a climate-neutral powertrain, but also [...] Read more.
On the path towards climate-neutral future mobility, the usage of synthetic fuels derived from renewable power sources, so-called e-fuels, will be necessary. Oxygenated e-fuels, which contain oxygen in their chemical structure, not only have the potential to realize a climate-neutral powertrain, but also to burn more cleanly in terms of soot formation. Polyoxymethylene dimethyl ethers (PODE or OMEs) are a frequently discussed representative of such combustibles. However, to operate compression ignition engines with these fuels achieving maximum efficiency and minimum emissions, the physical-chemical behavior of OMEs needs to be understood and quantified. Especially the detailed characterization of physical and chemical properties of the spray is of utmost importance for the optimization of the injection and the mixture formation process. The presented work aimed to develop a comprehensive CFD model to specify the differences between OMEs and dodecane, which served as a reference diesel-like fuel, with regards to spray atomization, mixing and auto-ignition for single- and multi-injection patterns. The simulation results were validated against experimental data from a high-temperature and high-pressure combustion vessel. The sprays’ liquid and vapor phase penetration were measured with Mie-scattering and schlieren-imaging as well as diffuse back illumination and Rayleigh-scattering for both fuels. To characterize the ignition process and the flame propagation, measurements of the OH* chemiluminescence of the flame were carried out. Significant differences in the ignition behavior between OMEs and dodecane could be identified in both experiments and CFD simulations. Liquid penetration as well as flame lift-off length are shown to be consistently longer for OMEs. Zones of high reaction activity differ substantially for the two fuels: Along the spray center axis for OMEs and at the shear boundary layers of fuel and ambient air for dodecane. Additionally, the transient behavior of high temperature reactions for OME is predicted to be much faster. Full article
(This article belongs to the Special Issue Combustion Characteristics of Cleaner Fuels 2022)
Show Figures

Figure 1

20 pages, 7013 KB  
Article
Effects of Polyoxymethylene Dimethyl Ethers Addition in Diesel on Real Driving Emission and Fuel Consumption Characteristics of a CHINA VI Heavy-Duty Vehicle
by Haoming Gu, Shenghua Liu, Yanju Wei, Xibin Liu, Xiaodong Zhu and Zheyang Li
Energies 2022, 15(7), 2379; https://doi.org/10.3390/en15072379 - 24 Mar 2022
Cited by 6 | Viewed by 2284
Abstract
Polyoxymethylene dimethyl ethers (PODE), as the most potential oxygenated alternative fuel for diesel engines, is widely investigated. Considering the importance of research on real driving emissions (RDE) and the few studies focus on the emission characteristics of the PODE/diesel blended fuels under real [...] Read more.
Polyoxymethylene dimethyl ethers (PODE), as the most potential oxygenated alternative fuel for diesel engines, is widely investigated. Considering the importance of research on real driving emissions (RDE) and the few studies focus on the emission characteristics of the PODE/diesel blended fuels under real driving conditions, a portable emission measurement system (PEMS) was applied to measure the RDE of a heavy-duty tractor fueled with diesel or PODE/diesel blends. The tests were carried out in accordance with the relevant regulations of the CHINA VI emission standards. The second-by-second data from PEMS and the OBD system were utilized to construct engine transient operating maps. The results indicated that the addition of PODE can still decrease CO and PN emissions significantly under real driving conditions, although the low load conditions are still the areas of high brake specific CO and brake specific PN emissions. The NOx emissions, however, were not reduced as the results of the steady-state experiment of the same model of the engine. Fuel mass consumption raised when PODE was added, while the overall brake thermal efficiency improved, especially for the blending ratio of 30%, up to 40.3%, which is higher than 38.4% of pure diesel operation. Full article
Show Figures

Figure 1

24 pages, 5343 KB  
Article
Semi-Crystalline Polyoxymethylene-co-Polyoxyalkylene Multi-Block Telechels as Building Blocks for Polyurethane Applications
by Matthias Hoffmann, Matthias Hermesmann, Matthias Leven, Walter Leitner and Thomas Ernst Müller
Polymers 2022, 14(5), 882; https://doi.org/10.3390/polym14050882 - 23 Feb 2022
Cited by 4 | Viewed by 4945
Abstract
Hydroxy-terminated polyoxymethylene-co-polyoxyalkylene multi-block telechels were obtained by a new methodology that allows for the formal substituting of ether units in polyether polyols with oxymethylene moieties. An interesting feature is that, unlike carbonate groups in polycarbonate and polyethercarbonate polyols, homopolymer blocks of [...] Read more.
Hydroxy-terminated polyoxymethylene-co-polyoxyalkylene multi-block telechels were obtained by a new methodology that allows for the formal substituting of ether units in polyether polyols with oxymethylene moieties. An interesting feature is that, unlike carbonate groups in polycarbonate and polyethercarbonate polyols, homopolymer blocks of polyoxymethylene moieties can be formed. The regular nature of polyoxymethylene blocks imparts a certain crystallinity to the polymer that can give rise to new properties of polyurethanes derived from such telechels. The synthesis, reaction sequence and kinetics of the formation of oligomeric hydroxy-terminated multi-block telechel polyoxymethylene moieties are discussed in this paper and the preparation of a polyurethane material is demonstrated. Full article
(This article belongs to the Special Issue Polymer Dynamics: Bulk and Nanoconfined Polymers)
Show Figures

Graphical abstract

14 pages, 4335 KB  
Article
Effect of PODE on Emission Characteristics of a China VI Heavy-Duty Diesel Engine
by Yanju Wei, Yajie Zhang, Zengqiang Zhu, Xiaodong Zhu, Haoming Gu and Shenghua Liu
Appl. Sci. 2022, 12(3), 1108; https://doi.org/10.3390/app12031108 - 21 Jan 2022
Cited by 6 | Viewed by 2359
Abstract
With its high cetane number and oxygen content, polyoxymethylene dimethyl ether (PODE) can promote engine combustion and reduce particulate emissions, which has become a key research object of diesel surrogate fuel. This study further explores the effects of blending PODE on emission characteristics [...] Read more.
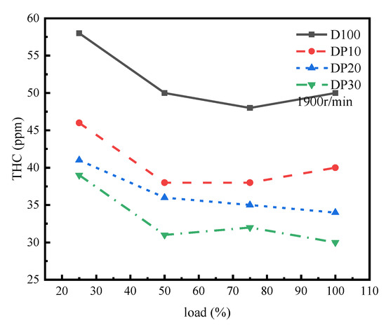
With its high cetane number and oxygen content, polyoxymethylene dimethyl ether (PODE) can promote engine combustion and reduce particulate emissions, which has become a key research object of diesel surrogate fuel. This study further explores the effects of blending PODE on emission characteristics of a China VI diesel engine. Diesel/PODE blends with the PODE volume blending ratios of 10%, 20% and 30% have been experimentally investigated in a China VI heavy-duty diesel engine at 1900 rpm and four different loads. Furthermore, the effects of EGR rates (Exhaust Gas Recirculation) rates (0–20%) on combustion and emission characteristics have been also discussed at 1700 r/min engine speed and 50% engine load condition. An exhaust gas analyzer and a particle counter were used to collect NOx, CO and THC emissions and particulate number (PN) emissions. The results show that the CO and THC emissions can be significantly reduced with the increase in the mixing ratio of PODE. Additionally, the particle number concentration can be also reduced, especially at low and high loads. The NOx emissions can be improved by increasing EGR rates. Interestingly, there is a trade-off relationship between PN and NOx emissions. In general, blending PODE can effectively reduce NOx and PN emissions simultaneously. Full article
Show Figures

Figure 1

13 pages, 2667 KB  
Article
Filtration Efficiency and Regeneration Behavior in a Catalytic Diesel Particulate Filter with the Use of Diesel/Polyoxymethylene Dimethyl Ether Mixture
by Hao Chen, Xin Su, Xiaochen Wang, Fengyu Sun, Peng Zhang, Liming Geng and Haifeng Wang
Catalysts 2021, 11(12), 1425; https://doi.org/10.3390/catal11121425 - 24 Nov 2021
Cited by 6 | Viewed by 2653
Abstract
Polyoxymethylene dimethyl ether (PODEn) is a promising diesel additive, especially in particulate matter reduction. However, how PODEn addition affects the filtration efficiency and regeneration process of a catalytic diesel particulate filter (cDPF) is still unknown. Therefore, this experimental work investigated the size-dependent particulate [...] Read more.
Polyoxymethylene dimethyl ether (PODEn) is a promising diesel additive, especially in particulate matter reduction. However, how PODEn addition affects the filtration efficiency and regeneration process of a catalytic diesel particulate filter (cDPF) is still unknown. Therefore, this experimental work investigated the size-dependent particulate number removal efficiency under various engine loads and exhaust gas recirculation (EGR) ratios when fueling with diesel (D100) and diesel/PODEn mixture (P10). In addition, the regeneration behavior of the cDPF was studied by determining the breakeven temperatures (BETs) for both tested fuels. The results showed that the cDPF had lower removal efficiencies in nucleation mode particles but higher filtration efficiencies in accumulation mode particles. In addition, the overall filtration efficiency for P10 particles was higher than that for D100 particles. Positioning the upstream cDPF, increasing the EGR ratio slightly decreased the number concentration of nucleation mode particles but greatly increased that of accumulation mode particles. However, increasing the EGR ratio decreased the removal efficiency of nanoparticles, and this effect was more apparent for the P10 case. Under the same period of soot loading, the pressure drop of P10 fuel was significantly lower than that of diesel fuel. In addition, a significantly lower BET was observed for the P10 fuel, in comparison with D100 fuel. In conclusion, adopting cDPF is beneficial for fueling with P10 in terms of the overall filtration efficiency in the particulate number and the lower input energy requirement for active regeneration. However, with the addition of EGR, the lower filtration efficiencies of nanoparticles should be concerned, especially fueling with diesel/PODEn mixture. Full article
(This article belongs to the Section Environmental Catalysis)
Show Figures

Figure 1

Back to TopTop