Numerical Study of Premixed PODE3-4/CH4 Flames at Engine-Relevant Conditions
Abstract
1. Introduction
2. Numerical Approach
3. Verification of Chemical Mechanisms
4. Results and Discussion
4.1. Combustion Characteristics of PODE3-4/CH4 at Engine-Relevant Conditions
4.2. Flux Analysis
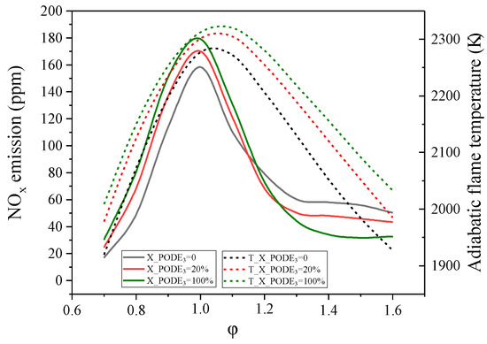
4.3. Analysis of NOx Emissions from the Combustion of PODE3/CH4/Air Mixture
4.4. PSR Simulation of PODE3-4/CH4 Mixture
5. Conclusions
- (1)
- The calculated IDT of pure PODE3 and pure PODE4 are negligible at low flame temperature, whereas at higher temperature (T > 1000 K), the calculated IDT of pure PODE4 are ~10 times longer than that of pure PODE3. The difference in the IDTs of PODE3 and PODE4 declines at higher pressure (p = 40 bar).
- (2)
- Using a blend consisting of 80% PODE3 and 20% PODE4 as pilot ignition fuel, the IDT of CH4 is significantly reduced and the LBV of CH4 is substantially increased with increased pilot fuel addition. However, such a promoting effect decays at a higher fraction of PODE3-4 addition.
- (3)
- The NOx emission is increased with PODE3 addition; the maximum NOx emission of pure PODE3 is ~40 ppm higher than that of pure CH4. The NOx emission is dramatically reduced at lean or rich flames. The PSR simulation shows that the NOx formation is inhibited at too short a residence time because the flame temperature is too low at that condition, which hinders the thermal NOx formation.
- (4)
- The extinction residence time of CH4 is greatly expanded from 0.5 ms to 0.08 ms by the addition of 20% PODE3-4; consequently, the high reactivity of PODE fuels at low temperature is vital to enhance the flame stability of CH4.
Author Contributions
Funding
Data Availability Statement
Conflicts of Interest
References
- Ishida, M.; Yamamoto, S.; Ueki, H.; Sakaguchi, D. Remarkable improvement of NOx–PM trade-off in a diesel engine by means of bioethanol and EGR. Energy 2010, 35, 4572–4581. [Google Scholar] [CrossRef]
- Zheng, Z.; Xia, M.; Liu, H.; Shang, R.; Ma, G.; Yao, M. Experimental study on combustion and emissions of n-butanol/biodiesel under both blended fuel mode and dual fuel RCCI mode. Fuel 2018, 226, 240–251. [Google Scholar] [CrossRef]
- Sattarzadeh, M.; Ebrahimi, M.; Jazayeri, S.A. A detail study of a RCCI engine performance fueled with diesel fuel and natural gas blended with syngas with different compositions. Int. J. Hydrogen Energy 2022, 47, 16283–16296. [Google Scholar] [CrossRef]
- Dai, L.; Gersen, S.; Glarborg, P.; Levinsky, H.; Mokhov, A. Experimental and numerical analysis of the autoignition behavior of NH3 and NH3/H2 mixtures at high pressure. Combust. Flame 2020, 215, 134–144. [Google Scholar] [CrossRef]
- Zareei, J.; Rohani, A. Optimization and study of performance parameters in an engine fueled with hydrogen. Int. J. Hydrogen Energy 2020, 45, 322–336. [Google Scholar] [CrossRef]
- Gao, Z.; Wu, S.; Luo, J.; Zhang, B.; Zhang, H.; Xiao, R. Optimize the co-solvent for methanol in diesel with group of oxygen-containing reagents: Molecular structure and intermolecular forces analysis. Fuel Process. Technol. 2021, 222, 106980. [Google Scholar] [CrossRef]
- Wu, G.; Wang, X.; Abubakar, S.; Li, Y. A skeletal mechanism for biodiesel-dimethyl ether combustion in engines. Fuel 2022, 325, 124834. [Google Scholar] [CrossRef]
- Zheng, Y.; Tang, Q.; Wang, T.; Wang, J. Kinetics of synthesis of polyoxymethylene dimethyl ethers from paraformaldehyde and dimethoxymethane catalyzed by ion-exchange resin. Chem. Eng. Sci. 2015, 134, 758–766. [Google Scholar] [CrossRef]
- Mahbub, N.; Oyedun, A.O.; Kumar, A.; Oestreich, D.; Arnold, U.; Sauer, J. A life cycle assessment of oxymethylene ether synthesis from biomass-derived syngas as a diesel additive. J. Clean. Prod. 2017, 165, 1249–1262. [Google Scholar] [CrossRef]
- Liu, F.; Wang, T.; Zheng, Y.; Wang, J. Synergistic effect of Brønsted and Lewis acid sites for the synthesis of polyoxymethylene dimethyl ethers over highly efficient SO42−/TiO2 catalysts. J. Catal. 2017, 355, 17–25. [Google Scholar] [CrossRef]
- Bi, X.; Liu, H.; Huo, M.; Shen, C.; Qiao, X.; Lee, C.F. Experimental and numerical study on soot formation and oxidation by using diesel fuel in constant volume chamber with various ambient oxygen concentrations. Energy Convers. Manag. 2014, 84, 152–163. [Google Scholar] [CrossRef]
- Liu, H.; Wang, Z.; Zhang, J.; Wang, J.; Shuai, S. Study on combustion and emission characteristics of Polyoxymethylene Dimethyl Ethers/diesel blends in light-duty and heavy-duty diesel engines. Appl. Energy 2017, 185, 1393–1402. [Google Scholar] [CrossRef]
- Li, Y.; Chen, Y.; Wu, G. A new skeletal mechanism for diesel-n-butanol blends combustion in engine. Fuel 2020, 264, 116856. [Google Scholar] [CrossRef]
- Liu, J.; Yang, J.; Sun, P.; Gao, W.; Yang, C.; Fang, J. Compound combustion and pollutant emissions characteristics of a common-rail engine with ethanol homogeneous charge and polyoxymethylene dimethyl ethers injection. Appl. Energy 2019, 239, 1154–1162. [Google Scholar] [CrossRef]
- Liu, J.; Ma, H.; Sun, P.; Wang, P.; Wang, T.; Liu, Y.; Wei, M.; Fang, J. Simulation study on in-cylinder combustion and pollutant generation characteristics of PODE/methanol blends. Fuel Process. Technol. 2022, 228, 107165. [Google Scholar] [CrossRef]
- Hao, Y.; Xinghu, L.I.; Mingfei, M.U.; Xuehao, L.I. Experiments on the performances and emissions of diesel engine fuelled with diesel/polyoxymethylene dimethyl ethers blends. J. Automot. Saf. Energy 2015, 13, 1053. [Google Scholar]
- He, J.; Su, X.; Chen, H.; Chen, Y.; Zhang, X.; Liu, Y.; Tian, Z.; Xu, H. Spray and combustion characteristics of polyoxymethylene dimethyl ethers and diesel blends in a constant volume chamber. Energy Rep. 2022, 8, 1056–1066. [Google Scholar] [CrossRef]
- Li, X.; Yu, H.; Sun, Y.; Wang, H.; Guo, T.; Sui, Y.; Miao, J.; Zeng, X.; Li, S. Synthesis and Application of Polyoxymethylene Dimethyl Ethers. Appl. Mech. Mater. 2013, 448–453, 2969–2973. [Google Scholar] [CrossRef]
- Liu, H.; Wang, Z.; Wang, J.; He, X.; Zheng, Y.; Tang, Q.; Wang, J. Performance, combustion and emission characteristics of a diesel engine fueled with polyoxymethylene dimethyl ethers (PODE3-4)/ diesel blends. Energy 2015, 88, 793–800. [Google Scholar] [CrossRef]
- Liu, J.; Sun, P.; Huang, H.; Meng, J.; Yao, X. Experimental investigation on performance, combustion and emission characteristics of a common-rail diesel engine fueled with polyoxymethylene dimethyl ethers-diesel blends. Appl. Energy 2017, 202, 527–536. [Google Scholar] [CrossRef]
- Ma, Y.; Cui, L.; Ma, X.; Wang, J. Optical study on spray combustion characteristics of PODE/diesel blends in different ambient conditions. Fuel 2020, 272, 117691. [Google Scholar] [CrossRef]
- Lin, Q.; Tay, K.L.; Yu, W.; Yang, W.; Wang, Z. Effects of polyoxymethylene dimethyl ether 3 (PODE3) addition and injection pressure on combustion performance and particle size distributions in a diesel engine. Fuel 2021, 283, 119347. [Google Scholar] [CrossRef]
- Zhang, C.; Li, P.; Li, Y.; He, J.; Li, X. Shock-tube study of dimethoxymethane ignition at high temperatures. Energy Fuels 2014, 28, 4603–4610. [Google Scholar] [CrossRef]
- Hu, E.; Gao, Z.; Liu, Y.; Yin, G.; Huang, Z. Experimental and modeling study on ignition delay times of dimethoxy methane/n-heptane blends. Fuel 2017, 189, 350–357. [Google Scholar] [CrossRef]
- Jacobs, S.; Döntgen, M.; Alquaity, A.B.S.; Kopp, W.A.; Kröger, L.C.; Burke, U.; Pitsch, H.; Leonhard, K.; Curran, H.J.; Heufer, K.A. Detailed kinetic modeling of dimethoxymethane. Part II: Experimental and theoretical study of the kinetics and reaction mechanism. Combust. Flame 2019, 205, 522–533. [Google Scholar] [CrossRef]
- HerzlerHerzler, J.; Fikri, M.; Schulz, C. High-pressure shock-tube study of the ignition and product formation of fuel-rich dimethoxymethane (DMM)/air and CH4/DMM/air mixtures. Combust. Flame 2020, 216, 293–299. [Google Scholar] [CrossRef]
- Dagaut, P.; Cathonnet, M. Oxidation of dimethoxymethane in a jet-stirred reactor. Combust. Flame 2001, 125, 1106–1117. [Google Scholar] [CrossRef]
- Sun, W.; Wang, G.; Li, S.; Zhang, R.; Yang, B.; Yang, J.; Li, Y.; Westbrook, C.K.; Law, C.K. Speciation and the laminar burning velocities of poly(oxymethylene) dimethyl ether 3 (POMDME3) flames: An experimental and modeling study. Proc. Combust. Inst. 2017, 36, 1269–1278. [Google Scholar] [CrossRef]
- Sun, W.; Tao, T.; Lailliau, M.; Hansen, N.; Yang, B.; Dagaut, P. Exploration of the oxidation chemistry of dimethoxymethane: Jet-stirred reactor experiments and kinetic modeling. Combust. Flame 2018, 193, 491–501. [Google Scholar] [CrossRef]
- Vermeire, F.H.; Carstensen, H.H.; Herbinet, O.; Battin-Leclerc, F.; Marin, G.B.; Van Geem, K.M. Experimental and modeling study of the pyrolysis and combustion of dimethoxymethane. Combust. Flame 2018, 190, 270–283. [Google Scholar] [CrossRef]
- Golka, L.; Weber, I.; Olzmann, M. Pyrolysis of dimethoxymethane and the reaction of dimethoxymethane with H atoms: A shock-tube/ARAS/TOF-MS and modeling study. Proc. Combust. Inst. 2019, 37, 179–187. [Google Scholar] [CrossRef]
- Peukert, S.; Sela, P.; Nativel, D.; Herzler, J.; Fikri, M.; Schulz, C. Direct Measurement of High-Temperature Rate Constants of the Thermal Decomposition of Dimethoxymethane, a Shock Tube and Modeling Study. J. Phys. Chem. A 2018, 122, 7559–7571. [Google Scholar] [CrossRef]
- Gaiser, N.; Zhang, H.; Bierkandt, T.; Schmitt, S.; Zinsmeister, J.; Kathrotia, T.; Hemberger, P.; Shaqiri, S.; Kasper, T.; Aigner, M.; et al. Investigation of the combustion chemistry in laminar, low-pressure oxymethylene ether flames (OME0–4). Combust. Flame 2022, 243, 112060. [Google Scholar] [CrossRef]
- Zhang, H.; Kaczmarek, D.; Rudolph, C.; Schmitt, S.; Gaiser, N.; Oßwald, P.; Bierkandt, T.; Kasper, T.; Atakan, B.; Kohse-Höinghaus, K. Dimethyl ether (DME) and dimethoxymethane (DMM) as reaction enhancers for methane: Combining flame experiments with model-assisted exploration of a polygeneration process. Combust. Flame 2022, 237, 111863. [Google Scholar] [CrossRef]
- Cai, L.; Jacobs, S.; Langer, R.; vom Lehn, F.; Heufer, K.A.; Pitsch, H. Auto-ignition of oxymethylene ethers (OMEn, n = 2–4) as promising synthetic e-fuels from renewable electricity: Shock tube experiments and automatic mechanism generation. Fuel 2020, 264, 116711. [Google Scholar] [CrossRef]
- He, T.; Wang, Z.; You, X.; Liu, H.; Wang, Y.; Li, X.; He, X. A chemical kinetic mechanism for the low- and intermediate-temperature combustion of Polyoxymethylene Dimethyl Ether 3 (PODE3). Fuel 2018, 212, 223–235. [Google Scholar] [CrossRef]
- Goodwin, D.G.; Moffat, H.K.; Speth, R.L. Cantera: An object-oriented software toolkit for chemical kinetics, thermodynamics, and transport processes. Zenodo 2022. [Google Scholar] [CrossRef]
- Zhu, Q.; Zong, Y.; Tan, Y.R.; Lyu, J.-Y.; Pan, J.; Zhou, X.; Liu, H.; He, S.; Chen, W.; Yu, W.; et al. Comparative analysis of PODE3 and PODE4 fuel additives for emission reduction and soot characteristics in compression ignition engines. Energy 2024, 286, 129498. [Google Scholar] [CrossRef]
- Niu, B.; Jia, M.; Chang, Y.; Duan, H.; Dong, X.; Wang, P. Construction of reduced oxidation mechanisms of polyoxymethylene dimethyl ethers (PODE1–6) with consistent structure using decoupling methodology and reaction rate rule. Combust. Flame 2021, 232, 111534. [Google Scholar] [CrossRef]
- Burke, U.; Metcalfe, W.K.; Burke, S.M.; Heufer, K.A.; Dagaut, P.; Curran, H.J. A detailed chemical kinetic modeling, ignition delay time and jet-stirred reactor study of methanol oxidation. Combust. Flame 2016, 165, 125–136. [Google Scholar] [CrossRef]
- Otomo, J.; Koshi, M.; Mitsumori, T.; Iwasaki, H.; Yamada, K. Chemical kinetic modeling of ammonia oxidation with improved reaction mechanism for ammonia/air and ammonia/hydrogen/air combustion. Int. J. Hydrogen Energy 2018, 43, 3004–3014. [Google Scholar] [CrossRef]
- Glarborg, P.; Miller, J.A.; Ruscic, B.; Klippenstein, S.J. Modeling nitrogen chemistry in combustion. Prog. Energy Combust. Sci. 2018, 67, 31–68. [Google Scholar] [CrossRef]
- Snegirev, A. Perfectly stirred reactor model to evaluate extinction of diffusion flame. Combust. Flame 2015, 162, 3622–3631. [Google Scholar] [CrossRef]
- Yu, C.; Cai, L.; Chen, J.-Y. Stochastic Modeling of Partially Stirred Reactor (PaSR) for the Investigation of the Turbulence-Chemistry Interaction for the Ammonia-Air Combustion. Flow Turbul. Combust. 2023, 112, 509–536. [Google Scholar] [CrossRef]
















| Items | Density at 25 °C (kg/m3) | Cetane Number | Oxygen Content (wt%) | Melting Point °C | Boiling Point °C |
|---|---|---|---|---|---|
| PODE1 | 860 | 29 | 42.1 | −105 | 42 |
| PODE2 | 960 | 63 | 45.3 | −65 | 105 |
| PODE3 | 1020 | 78 | 47.1 | −41 | 156 |
| PODE4 | 1060 | 90 | 48.2 | −7 | 202 |
| PODE5 | 1100 | 100 | 49 | 18.5 | 242 |
| PODE6 | 1130 | 104 | 49.6 | 58 | 280 |
| Diesel | 830 | 46 | 0 | −29 | 180–370 |
| No. | Reaction | A | n | Ea |
|---|---|---|---|---|
| 1 | CH3 + PODE3 = CH4 + PODE3C | 2000.00 | 3.12 | 7985.66 |
| 2 | CH3O2 + PODE3 = CH3O2H + PODE3B | 905.00 | 3.16 | 11,759.08 |
| 3 | PODE3 + CH3 = PODE3A + CH4 | 0.60 | 4.25 | 7543.74 |
| Mixture | PODE1 | PODE3 | CH4 | O2 | Ar | Pressure | Reference | |
|---|---|---|---|---|---|---|---|---|
| Mixture 1 | 0 | 7.15% | 0 | 42.85% | 50% | 33.3 mbar | 1.0 | [29] |
| Mixture 2 | 0 | 11.02% | 0 | 39.01% | 49.97% | 40 mbar | 1.7 | [33] |
| Mixture 3 | 9.05% | 0 | 9.03% | 31.98% | 49.94% | 40 mbar | 1.7 | [35] |
| Mixture 4 | 3.69% | 0 | 14.76% | 31.62% | 49.94% | 40 mbar | 1.4 | [35] |
| No. | Composition of Fuels | LHV of Fuel Mixtures (KJ/mole) | |
|---|---|---|---|
| 1 | 100% CH4/Air | −726.90 | 1 |
| 2 | (80% CH4 + 20% PODE3)/Air | −738.23 | 1 |
| 3 | (80% CH4 + 10% PODE3 + 10% PODE4)/Air | −738.19 | 1 |
| 4 | (80% CH4 + 20% PODE4)/Air | −738.11 | 1 |
Disclaimer/Publisher’s Note: The statements, opinions and data contained in all publications are solely those of the individual author(s) and contributor(s) and not of MDPI and/or the editor(s). MDPI and/or the editor(s) disclaim responsibility for any injury to people or property resulting from any ideas, methods, instructions or products referred to in the content. |
© 2024 by the authors. Licensee MDPI, Basel, Switzerland. This article is an open access article distributed under the terms and conditions of the Creative Commons Attribution (CC BY) license (https://creativecommons.org/licenses/by/4.0/).
Share and Cite
Leng, Y.; Ji, X.; Zhang, C.; Simms, N.; Dai, L.; Yu, C. Numerical Study of Premixed PODE3-4/CH4 Flames at Engine-Relevant Conditions. Fuels 2024, 5, 90-106. https://doi.org/10.3390/fuels5010006
Leng Y, Ji X, Zhang C, Simms N, Dai L, Yu C. Numerical Study of Premixed PODE3-4/CH4 Flames at Engine-Relevant Conditions. Fuels. 2024; 5(1):90-106. https://doi.org/10.3390/fuels5010006
Chicago/Turabian StyleLeng, Yupeng, Xiang Ji, Chengcheng Zhang, Nigel Simms, Liming Dai, and Chunkan Yu. 2024. "Numerical Study of Premixed PODE3-4/CH4 Flames at Engine-Relevant Conditions" Fuels 5, no. 1: 90-106. https://doi.org/10.3390/fuels5010006
APA StyleLeng, Y., Ji, X., Zhang, C., Simms, N., Dai, L., & Yu, C. (2024). Numerical Study of Premixed PODE3-4/CH4 Flames at Engine-Relevant Conditions. Fuels, 5(1), 90-106. https://doi.org/10.3390/fuels5010006

