error_outline You can access the new MDPI.com website here. Explore and share your feedback with us.
 
 
Sign in to use this feature.

Years

Between: -

Subjects

remove_circle_outline
remove_circle_outline
remove_circle_outline
remove_circle_outline
remove_circle_outline
remove_circle_outline
remove_circle_outline

Journals

Article Types

Countries / Regions

Search Results (42)

Search Parameters:
Keywords = poly methylmethacrylate (PMMA)

Order results
Result details
Results per page
Select all
Export citation of selected articles as:
20 pages, 8763 KB  
Article
Development of Cellulose Nanocrystal (CNC)-Reinforced PLA/PMMA Nanocomposite Coatings for Sustainable Paper-Based Packaging
by Milad Parhizgar, Mohammad Azadfallah, Alireza Kaboorani, Akbar Mastouri and Mariaenrica Frigione
Polymers 2026, 18(2), 175; https://doi.org/10.3390/polym18020175 - 8 Jan 2026
Abstract
Driven by environmental concerns, the packaging industry is shifting toward high-performance and bio-based coating alternatives. In this research, poly(methylmethacrylate) (PMMA) and modified cellulose nanocrystal (m-CNC) were employed as reinforcing agents to develop sustainable poly (lactic acid)-based coatings for packaging applications. Various formulations, influenced [...] Read more.
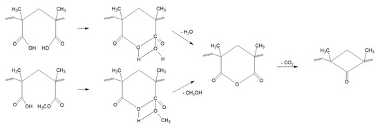
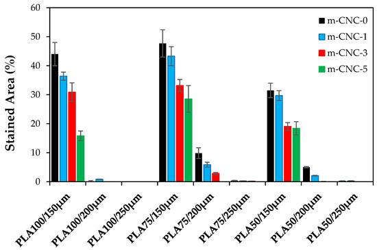
Driven by environmental concerns, the packaging industry is shifting toward high-performance and bio-based coating alternatives. In this research, poly(methylmethacrylate) (PMMA) and modified cellulose nanocrystal (m-CNC) were employed as reinforcing agents to develop sustainable poly (lactic acid)-based coatings for packaging applications. Various formulations, influenced by polymer matrix blends and m-CNC loadings (1–5%), were prepared using solvent and applied as protective coating on cardboard paper substrates. The grammage of polymeric coatings (CG) on paper was also investigated using various wet film thicknesses (i.e., 150–250 μm). Accordingly, key parameters including water contact angle, thermal behavior, mechanical performances and barrier properties were systematically evaluated to assess the effectiveness of the developed nanocomposite coatings. As a result, nonylphenol ethoxylate surfactant-modified cellulose nanocrystals exhibited good dispersion and stable suspension in chloroform for one hour, improving compatibility and interaction of polymer–CNC fillers. The water vapor permeability (WVP) of PLA-coated papers was significantly reduced by blending PMMA and increasing the content of m-CNC nanofillers. Furthermore, CNC incorporation enhanced the oil resistance of PLA/PMMA-coated cardboard. Pronounced improvements in barrier properties were observed for paper substrates coated with dry coat weight or CG of ~20 g/m2 (corresponding to 250 μm wet film thickness). Coatings based on blended polymer—particularly those reinforced with nanofillers—markedly enhanced the hydrophobicity of the cardboard papers. SEM-microscopy confirmed the structural integrity and morphology of the nanocomposite coatings. Regarding mechanical properties, the upgraded nanocomposite copolymer (PLA-75%/PMMA-25%/m-CNC3%) exhibited the highest bending test and tensile strength, achieved on coated papers and free-standing polymeric films, respectively. Based on DSC analysis, the thermal characteristics of the PLA matrix were influenced to some extent by the presence of PMMA and m-CNC. Overall, PLA/PMMA blends with an optimal amount of CNC nanofillers offer promising sustainable coatings for the packaging applications. Full article
(This article belongs to the Special Issue Functional Polymeric Materials for Food Packaging Applications)
Show Figures

Figure 1

13 pages, 2204 KB  
Article
Fast Cure of Bone Cement Based on Poly(Methyl Methacrylate)/Hydroxyapatite Nanocomposite for Application in Cranioplasty
by Matheus Alves Coelho, Alexandre Malta Rossi and Marcos Lopes Dias
Processes 2026, 14(2), 213; https://doi.org/10.3390/pr14020213 - 7 Jan 2026
Abstract
Novel initiation systems for the production of poly(methyl methacrylate) (PMMA) bone cements based on low-toxicity tertiary amine initiators and hydroxyapatite nanoparticles were investigated. Bicomponent systems formed by a solid component containing PMMA and benzoyl peroxide (BPO) and a liquid component containing methylmethacrylate and [...] Read more.
Novel initiation systems for the production of poly(methyl methacrylate) (PMMA) bone cements based on low-toxicity tertiary amine initiators and hydroxyapatite nanoparticles were investigated. Bicomponent systems formed by a solid component containing PMMA and benzoyl peroxide (BPO) and a liquid component containing methylmethacrylate and low-toxicity aliphatic (dimethylamino-ethoxy-ethane) (DMEE) and aromatic (dimethylamino-benzaldehyde) (DMAB) tertiary amines were tested at two amine concentrations (0.75 and 3.75 wt%) and compared with the standard tertiary amine dimethyl-p-toluidine (DMT). The components were mixed in a 2:1 ratio (solid/liquid) for 60 s. Nanocomposites were prepared using nano-hydroxyapatite inserted into the PMMA-based polymer matrix at various concentrations between 1.0 and 3.75 wt%, aiming to increase the biocompatibility of bone cements applied in cranioplasty. The concentration of tertiary amines directly affects the reaction rate, and increasing the concentration accelerates the curing reaction. Thermal analyses (DSC and TGA) revealed that the produced polymers did not show significant changes in glass transition temperature (113 °C and 115 °C), nor in onset (150–158 °C) or peak degradation temperatures (353 °C and 355 °C). The reaction with the aliphatic amine proved to be slow, as no polymerization occurred within the time period stipulated in the study. However, drastic changes did take place when the cure occurred in the presence of nano-hydroxyapatite. The cure with DMAB (3.75 wt%) that presented an exothermic peak at 37 min (53 °C) showed a peak at 16 min (70 °C), and the cure with DMEE (3.75 wt%) a peak at 11 min (62.5 °C) after the addition of nano-hydroxyapatite. In conclusion, addition of nano-hydroxyapatite significantly influenced both the time and the temperature of cure reaction in all amines studied, expanding the possibility of using new initiators in polymerization systems for cranioplasty flaps. Full article
Show Figures

Figure 1

15 pages, 3095 KB  
Article
Effect of Silver/Reduced Graphene Oxide@Titanium Dioxide (Ag/rGO@TiO2) Nanocomposites on the Mechanical Characteristics and Biocompatibility of Poly(Styrene-co-Methyl Methacrylate)-Based Bone Cement
by Mohan Raj Krishnan, Reem M. Alshabib and Edreese H. Alsharaeh
Polymers 2025, 17(14), 1970; https://doi.org/10.3390/polym17141970 - 18 Jul 2025
Cited by 1 | Viewed by 1004
Abstract
This study reports the impact of a silver nanoparticles/reduced graphene oxide@titanium dioxide nanocomposite (Ag/rGO@TiO2) on the mechanical and biocompatibility properties of poly(styrene-co-methylmethacrylate)/poly methyl methacrylate (PS-PMMA/PMMA)-based bone cement. The chemical, structural, mechanical, and thermal characteristics of Ag/rGO@TiO2 nanocomposite-reinforced PS-PMMA bone cement [...] Read more.
This study reports the impact of a silver nanoparticles/reduced graphene oxide@titanium dioxide nanocomposite (Ag/rGO@TiO2) on the mechanical and biocompatibility properties of poly(styrene-co-methylmethacrylate)/poly methyl methacrylate (PS-PMMA/PMMA)-based bone cement. The chemical, structural, mechanical, and thermal characteristics of Ag/rGO@TiO2 nanocomposite-reinforced PS-PMMA bone cement ((Ag/rGO@TiO2)/(PS-PMMA)/PMMA) were evaluated using Fourier Transform Infrared spectroscopy (FT-IR), X-ray diffraction (XRD), nano-indentation, and electron microscopy. FT-IR, XRD, and transmission electron microscopy results confirmed the successful synthesis of the nanocomposite and the nanocomposite-incorporated bone cement. The elastic modulus (E) and hardness (H) of the ((Ag/rGO@TiO2)/(PS-PMMA)/PMMA) bone cement were measured to be 5.09 GPa and 0.202 GPa, respectively, compared to the commercial counterparts, which exhibited E and H values of 1.7 GPa to 3.7 GPa and 0.174 GPa, respectively. Incorporating Ag/rGO@TiO2 nanocomposites significantly enhanced the thermal properties of the bone cement. Additionally, in vitro studies demonstrated that the bone cement was non-toxic to the MG63 cell line. Full article
(This article belongs to the Special Issue Recent Advances and Applications of Polymer Nanocomposites)
Show Figures

Figure 1

15 pages, 4432 KB  
Article
Disinfection Strategies for Poly(methyl methacrylate): Method Sequence, Solution Concentration, and Intraoral Temperature on Antimicrobial Activity
by Ana Beatriz Sato Kamio, Andressa da Silva Barboza, Maria Eduarda Broering da Silva, Artur Ferronato Soto, Juliana Silva Ribeiro de Andrade, Thais Mageste Duque, Ariadne Cristiane Cabral da Cruz, Ricardo Ruiz Mazzon and Maurício Malheiros Badaró
Polymers 2025, 17(1), 8; https://doi.org/10.3390/polym17010008 - 24 Dec 2024
Cited by 1 | Viewed by 1439
Abstract
This study aimed to evaluate the antimicrobial effectiveness of different disinfection protocols for dentures by combining methods, varying intervention sequences, sodium hypochlorite (NaOCl) concentrations (0.1% and 0.25%), and post-exposure to intraoral temperature. The heat-polymerized poly(methylmethacrylate) (PMMA) was divided into groups (n = 15): [...] Read more.
This study aimed to evaluate the antimicrobial effectiveness of different disinfection protocols for dentures by combining methods, varying intervention sequences, sodium hypochlorite (NaOCl) concentrations (0.1% and 0.25%), and post-exposure to intraoral temperature. The heat-polymerized poly(methylmethacrylate) (PMMA) was divided into groups (n = 15): control (C, distilled water immersion), B (brushing), I0.1% and I0.25% (isolated NaOCl immersion), B + I0.1% and B + I0.25% (brushing followed by immersion), I + B0.1% and I + B0.25% (immersion followed by brushing), and B + I0.1% + T and B + I0.25% + T (brushing, NaOCl immersion, and overnight exposure to 35 °C ± 2 °C). The post-disinfection exposure to intraoral temperature simulated the denture use during sleeping time. Quantitative evaluation was performed by colony-forming unit (CFU/mL) counting of C. albicans and qualitative analysis by scanning electron microscopy (SEM) images. Data were processed by one-way ANOVA with Tukey’s post-hoc test to compare different protocols at the same concentration and among groups (α ≤ 0.05). Applying 0.25% NaOCl in associated protocols, the intervention sequence was no different (B + I and I + B) and caused the lowest C. albicans counts. The 0.1% NaOCl lost part of its action when the immersion method started the protocols. B + I0.25%, I0.25% + B, and B + I0.1% had similar antimicrobial efficacy, but the intraoral temperature (B + I + T) reduced the efficacy of these protocols, regardless of NaOCl concentration. Residual biofilm recolonization was also detected in SEM images. In conclusion, all the combinations between mechanical and chemical methods using 0.25% NaOCl were the most effective against C. albicans. The antimicrobial efficacy of NaOCl at 0.1% changes depending on the intervention sequence. The intraoral temperature influenced the C. albicans recolonization after the disinfection protocols. Full article
(This article belongs to the Special Issue Polymer-Based Materials for Drug Delivery and Biomedical Applications)
Show Figures

Figure 1

17 pages, 3145 KB  
Review
Cemented vs. Cementless Fixation in Primary Knee Replacement: A Narrative Review
by Mikołaj Wilczyński, Michał Bieniek, Przemysław Krakowski and Robert Karpiński
Materials 2024, 17(5), 1136; https://doi.org/10.3390/ma17051136 - 29 Feb 2024
Cited by 19 | Viewed by 7408
Abstract
Knee osteoarthritis (OA) is one of the leading causes of disability around the globe. Osteoarthritis is mainly considered a disease affecting the elderly. However, more and more studies show that sports overuse, obesity, or congenital disorders can initiate a pathologic cascade that leads [...] Read more.
Knee osteoarthritis (OA) is one of the leading causes of disability around the globe. Osteoarthritis is mainly considered a disease affecting the elderly. However, more and more studies show that sports overuse, obesity, or congenital disorders can initiate a pathologic cascade that leads to OA changes in the younger population. Nevertheless, OA mostly affects the elderly, and with increasing life expectancy, the disease will develop in more and more individuals. To date, the golden standard in the treatment of the end-stage of the disease is total joint replacement (TJR), which restores painless knee motion and function. One of the weakest elements in TJR is its bonding with the bone, which can be achieved by bonding material, such as poly methyl-methacrylate (PMMA), or by cementless fixation supported by bone ingrowth onto the endoprosthesis surface. Each technique has its advantages; however, the most important factor is the revision rate and survivor time. In the past, numerous articles were published regarding TJR revision rate, but no consensus has been established yet. In this review, we focused on a comparison of cemented and cementless total knee replacement surgeries. We introduced PICO rules, including population, intervention, comparison and outcomes of TJR in a PubMed search. We identified 783 articles published between 2010 and 2023, out of which we included 14 in our review. Our review reveals that there is no universally prescribed approach to fixate knee prostheses. The determination of the most suitable method necessitates an individualized decision-making process involving the active participation and informed consent of each patient. Full article
(This article belongs to the Special Issue Bone Tissue Engineering Materials: From Preparation to Properties)
Show Figures

Figure 1

12 pages, 1821 KB  
Article
Effect of Polymer Composition on the Optical Properties of a New Aggregation-Induced Emission Fluorophore: A Combined Experimental and Computational Approach
by Alberto Picchi, Qinfan Wang, Francesco Ventura, Cosimo Micheletti, Jesse Heijkoop, Francesco Picchioni, Ilaria Ciofini, Carlo Adamo and Andrea Pucci
Polymers 2023, 15(17), 3530; https://doi.org/10.3390/polym15173530 - 24 Aug 2023
Cited by 2 | Viewed by 2713
Abstract
Nowadays, fluorophores with a tetraphenylethylene (TPE) core are considered interesting due to the aggregation-induced emission (AIE) behavior that enables their effective use in polymer films. We propose a novel TPE fluorophore (TPE-BPAN) bearing two dimethylamino push and a 4-biphenylacetonitrile pull moieties [...] Read more.
Nowadays, fluorophores with a tetraphenylethylene (TPE) core are considered interesting due to the aggregation-induced emission (AIE) behavior that enables their effective use in polymer films. We propose a novel TPE fluorophore (TPE-BPAN) bearing two dimethylamino push and a 4-biphenylacetonitrile pull moieties with the typical AIE characteristics in solution and in the solid state, as rationalized by DFT calculations. Five different host polymer matrices with different polarity have been selected: two homopolymers of poly(methylmethacrylate) (PMMA) and poly(cyclohexyl methacrylate) (PCHMA) and three copolymers at different compositions (P(MMA-co-CHMA) 75:25, 50:50, and 25:75 mol%). The less polar comonomer of CHMA appeared to enhance TPE-BPAN emission with the highest quantum yield (QY) of about 40% measured in P(MMA-co-CHMA) 75:25. Further reduction in polymer polarity lowered QY and decreased the film stability and adhesion to the glass surface. LSC performances were not significantly affected by the matrix’s polarity and resulted in around one-third of the state-of-the-art due to the reduced QY of TPE-BPAN. The theoretical investigation based on density functional theory (DFT) calculations clarified the origin of the observed AIE and the role played by the environment in modulating the photophysical behavior. Full article
Show Figures

Figure 1

20 pages, 20699 KB  
Article
Biomolecular Adsorprion at ZnS Nanomaterials: A Molecular Dynamics Simulation Study of the Adsorption Preferences, Effects of the Surface Curvature and Coating
by Roja Rahmani and Alexander P. Lyubartsev
Nanomaterials 2023, 13(15), 2239; https://doi.org/10.3390/nano13152239 - 2 Aug 2023
Cited by 10 | Viewed by 2692
Abstract
The understanding of interactions between nanomaterials and biological molecules is of primary importance for biomedical applications of nanomaterials, as well as for the evaluation of their possible toxic effects. Here, we carried out extensive molecular dynamics simulations of the adsorption properties of about [...] Read more.
The understanding of interactions between nanomaterials and biological molecules is of primary importance for biomedical applications of nanomaterials, as well as for the evaluation of their possible toxic effects. Here, we carried out extensive molecular dynamics simulations of the adsorption properties of about 30 small molecules representing biomolecular fragments at ZnS surfaces in aqueous media. We computed adsorption free energies and potentials of mean force of amino acid side chain analogs, lipids, and sugar fragments to ZnS (110) crystal surface and to a spherical ZnS nanoparticle. Furthermore, we investigated the effect of poly-methylmethacrylate (PMMA) coating on the adsorption preferences of biomolecules to ZnS. We found that only a few anionic molecules: aspartic and glutamic acids side chains, as well as the anionic form of cysteine show significant binding to pristine ZnS surface, while other molecules show weak or no binding. Spherical ZnS nanoparticles show stronger binding of these molecules due to binding at the edges between different surface facets. Coating of ZnS by PMMA changes binding preferences drastically: the molecules that adsorb to a pristine ZnS surface do not adsorb on PMMA-coated surfaces, while some others, particularly hydrophobic or aromatic amino-acids, show high binding affinity due to binding to the coating. We investigate further the hydration properties of the ZnS surface and relate them to the binding preferences of biomolecules. Full article
(This article belongs to the Section Theory and Simulation of Nanostructures)
Show Figures

Figure 1

17 pages, 5276 KB  
Article
Dispersion of Cellulose Nanofibers in Methacrylate-Based Nanocomposites
by Valentina Cavallo, Sébastien Pruvost, Jean-François Gerard and Alberto Fina
Polymers 2023, 15(15), 3226; https://doi.org/10.3390/polym15153226 - 28 Jul 2023
Cited by 4 | Viewed by 3060
Abstract
Poly(methylmethacrylate-co-methacrylic acid) (PMMA-co-MAA) polymers were prepared via cobalt-mediated free radical copolymerization and were characterized after synthesis. The synthesis led to a 98.5% conversion and a final ratio between the two units, MMA/MAA, was equal to 63:37 mol%. PMMA-co [...] Read more.
Poly(methylmethacrylate-co-methacrylic acid) (PMMA-co-MAA) polymers were prepared via cobalt-mediated free radical copolymerization and were characterized after synthesis. The synthesis led to a 98.5% conversion and a final ratio between the two units, MMA/MAA, was equal to 63:37 mol%. PMMA-co-MAA was then used as a matrix for cellulose-based nanocomposites to tailor filler compatibility, thanks to the presence of carboxylic groups capable of generating strong H-bonds with the cellulose surface. Cellulose nanofibers (CNFs) were dispersed using a solution with a mixture of two solvents to tailor compatibility of both the components. For this purpose, CNFs were successfully re-dispersed in methanol using the solvent exchange method and tetrahydrofuran/methanol mixtures at different ratios were used for the preparation of the films. Fully transparent films of PMMA-co-MAA + CNF were prepared up to 15 wt% of CNF with a good dispersion in the matrix. This dispersion state leads to the reinforcement of the polymethacrylate matrix, increasing its tensile strength whilst preserving optical transparency. Full article
(This article belongs to the Section Polymer Chemistry)
Show Figures

Figure 1

16 pages, 5118 KB  
Article
Fabrication of Colored Polymeric Membrane Using Clay-Based Nano Pigments of Safranin O (SO) Dye
by Chandra Mohan, Priyanka Kumari, Neeraj Kumari and Arvind Negi
Membranes 2023, 13(7), 619; https://doi.org/10.3390/membranes13070619 - 24 Jun 2023
Cited by 7 | Viewed by 2142
Abstract
In the present work, a novel methodology was developed for the fabrication of clay-based nano pigments with enhanced thermal stability and used further as a colorant to prepare polymeric membranes. Initially, the batch extraction studies were performed to analyze the maximum adsorption of [...] Read more.
In the present work, a novel methodology was developed for the fabrication of clay-based nano pigments with enhanced thermal stability and used further as a colorant to prepare polymeric membranes. Initially, the batch extraction studies were performed to analyze the maximum adsorption of Safranin O (SO) dye onto pristine montmorillonite (Mt) and organo montmorillonite (OMt) by varying different parameters like pH, contact time, and concentration. It was confirmed from batch extraction studies that the adsorption efficacy of pristine Mt for SO was found to be more than OMt due to their negatively charged surface. Clay-based nano pigments were fabricated by considering the optimized condition where the maximum uptake of SO was observed and further characterized by XRD, FTIR, TGA, and SEM techniques. XRD studies confirmed the intercalation of SO dye while FTIR spectra revealed surface interaction of the dye with Mt/OMt. TGA studies showed that the clay-based nano pigments had more thermal stability than pure SO. Nano pigments were used as colorants to prepare thin, transparent, and homogeneously dispersed polymeric membranes through the solvent casting method. XRD studies of the polymeric membrane confirmed that the intercalation of poly methylmethacrylate (PMMA) into the interlayer of clay increases interlayer spacing, which was further confirmed by the TEM analysis. The mechanical properties of the PMMA polymeric membrane were also enhanced after the dispersion of clay-based nano pigments. Full article
(This article belongs to the Special Issue Latest Scientific Discoveries in Polymer Membranes)
Show Figures

Figure 1

17 pages, 7419 KB  
Article
Synthesis of Nano Pigments Using Clay Minerals and Organic Dyes and Their Application as Colorants in Polymer Matrix
by Chandra Mohan, Neeraj Kumari, Philippe Jeandet, Priyanka Kumari and Arvind Negi
Micromachines 2023, 14(5), 1087; https://doi.org/10.3390/mi14051087 - 21 May 2023
Cited by 8 | Viewed by 4774
Abstract
A new generation of clay-based nano pigments has been introduced, providing the advantage of both inorganic pigments and organic dyes. These nano pigments have been synthesized through a stepwise procedure where, initially, an organic dye is adsorbed onto the surface of the adsorbent, [...] Read more.
A new generation of clay-based nano pigments has been introduced, providing the advantage of both inorganic pigments and organic dyes. These nano pigments have been synthesized through a stepwise procedure where, initially, an organic dye is adsorbed onto the surface of the adsorbent, and then dye adsorbed adsorbent is used as pigment for further applications. The objective of the current paper was to examine the interaction of non-biodegradable toxic dyes, Crystal Violet (CV) and Indigo Carmine (IC), with clay minerals (montmorillonite (Mt), vermiculite (Vt), and clay bentonite (Bent)) and their organically modified forms (OMt, OBent, and OVt) and to develop a novel methodology for the synthesis of the value-added products and clay-based nano pigments without creating second generation waste materials. In our observation, the uptake of CV was more intense onto pristine Mt, Bent, and Vt, and the uptake of IC was more onto OMt, OBent, and OVt. CV was found to be in the interlayer region of Mt and Bent, as supported by XRD data. Zeta potential values confirmed the presence of CV on their surface. In contrast, in the case of Vt and organically modified forms, the dye was found on the surface, confirmed by XRD and zeta potential values. In the case of indigo carmine, the dye was found only on the surface of pristine Mt, Bent, Vt, and organo Mt, Bent, Vt. During the interaction of CV and IC with clay and organoclays, intense violet and blue-colored solid residues were obtained (also known as clay-based nano pigments). The nano pigments were used as colorants in a poly (methyl-methacrylate) (PMMA) polymer matrix to form transparent polymer films. Full article
Show Figures

Figure 1

13 pages, 3054 KB  
Article
In Vitro Mechanical Properties of a Novel Graphene-Reinforced PMMA-Based Dental Restorative Material
by Francesco De Angelis, Mirco Vadini, Matteo Buonvivere, Antonio Valerio, Michele Di Cosola, Adriano Piattelli, Virginia Biferi and Camillo D’Arcangelo
Polymers 2023, 15(3), 622; https://doi.org/10.3390/polym15030622 - 25 Jan 2023
Cited by 21 | Viewed by 4673
Abstract
Recent studies suggest that the incorporation of graphene in resin-based dental materials might enhance their mechanical properties and even decrease their degree of contraction during polymerization. The present study aimed at comparing the three-point flexural strength (FS), the compressive strength (CS), and the [...] Read more.
Recent studies suggest that the incorporation of graphene in resin-based dental materials might enhance their mechanical properties and even decrease their degree of contraction during polymerization. The present study aimed at comparing the three-point flexural strength (FS), the compressive strength (CS), and the Vickers hardness (VH) of a CAD/CAM poly-methylmethacrylate (PMMA)-based resin, a recently introduced graphene-reinforced CAD/CAM PMMA-based resin (G-PMMA), and a conventional dental bis-acryl composite resin (BACR). No significant differences (p > 0.05) were detected among the materials in terms of flexural strength. On the other hand, a mean flexural modulus value of 9920.1 MPa was recorded in BACR group, significantly higher compared to the flexural modulus detected for G-PMMA (2670.2 MPa) and for conventional PMMA (2505.3) (p < 0.05). In terms of compressive modulus (MPa) and compressive strength (MPa), BACR was significantly stiffer than PMMA and G-PMMA. Concerning VH measurements, a significantly increased hardness emerged comparing the BACR group (VH 98.19) to both PMMA and G-PMMA groups (VH 34.16 and 34.26, respectively). Based on the finding of the present study, the graphene-reinforced (PMMA)-based polymer herein tested was not superior to the conventional PMMA and seemed not able to be considered as an alternative material for permanent restorations, at least in terms of hardness and mechanical response to compressive stress. More research on the mechanical/biological properties of G-PMMAs (and on graphene as a filler) seems still necessary to better clarify their potential as dental restorative materials. Full article
(This article belongs to the Special Issue Advanced Polymeric Materials for Dental Applications)
Show Figures

Figure 1

11 pages, 1684 KB  
Article
Characterization of Ultra-High-Dose Rate Electron Beams with ElectronFlash Linac
by Lucia Giuliano, Gaia Franciosini, Luigi Palumbo, Lilia Aggar, Marie Dutreix, Luigi Faillace, Vincent Favaudon, Giuseppe Felici, Federica Galante, Andrea Mostacci, Mauro Migliorati, Matteo Pacitti, Annalisa Patriarca and Sophie Heinrich
Appl. Sci. 2023, 13(1), 631; https://doi.org/10.3390/app13010631 - 3 Jan 2023
Cited by 26 | Viewed by 4757
Abstract
Purpose: The electron linac ElectronFlash installed at Institut Curie (Orsay, France) is entirely dedicated to FLASH irradiation for radiobiological and pre-clinical studies. The system was designed to deliver an ultra-high-dose rate per pulse (UHDR) (above 106 Gy/s) and a very high average [...] Read more.
Purpose: The electron linac ElectronFlash installed at Institut Curie (Orsay, France) is entirely dedicated to FLASH irradiation for radiobiological and pre-clinical studies. The system was designed to deliver an ultra-high-dose rate per pulse (UHDR) (above 106 Gy/s) and a very high average dose rate at different energies and pulse durations. A campaign of tests and measurements was performed to obtain a full reliable characterizations of the electron beam and of the delivered dose, which are necessary to the radiobiological experiments. Methods: A Faraday cup was used to measure the electron charges in a single RF pulse. The percentage depth dose (PDD) and the transverse dose profiles, at the energies of 5 MeV and 7 MeV, were evaluated employing Gafchromic films EBT-XD for two Poly-methylmethacrylate (PMMA) applicators with irradiation sizes of 30 mm and 120 mm, normally used for in vivo and in vitro experiments, respectively. The results were compared with Monte Carlo (MC) simulations. Results: The measurements were performed during a period of a few months in which the experimental set up was adapted and tuned in order to characterize the electron beam parameters and the values of delivered doses before the radiobiological experiments. The measurements showed that the dose parameters, obtained at the energy of 5 MeV and 7 MeV with different applicators, fulfill the FLASH regime, with a maximum value of an average dose rate of 4750 Gy/s, a maximum dose per pulse of 19 Gy and an instantaneous dose rate up to 4.75 ×106 Gy/s. By means of the PMMA applicators, a very good flatness of the dose profiles was obtained at the cost of a reduced total current. The flatness of the large field is reliable and reproducible in radiobiological experiments. The measured PDD and dose profiles are in good agreement with Monte Carlo simulations with more than 95% of the gamma-index under the thresholds of 3 mm/3%. Conclusions: The results show that the system can provide UHDR pulses totally satisfying the FLASH requirements with very good performances in terms of beam profile flatness for any size of the fields. The monitoring of electron beams and the measurement of the dose parameters played an important role in the in vivo and in vitro irradiation experiments performed at the Institut Curie laboratory. Full article
(This article belongs to the Special Issue Medical Physics: Latest Advances and Prospects)
Show Figures

Figure 1

7 pages, 686 KB  
Article
The Yield of Cherenkov and Scintillation Radiation Generated by the 2.7 MeV Electron Beam in Plate PMMA Samples
by Boris Alekseev, Viktor Tarasenko, Evgeniy Baksht, Alexaner Potylitsyn, Alexander Burachenko, Michail Shevelev, Sergey Uglov and Artem Vukolov
Micro 2022, 2(4), 663-669; https://doi.org/10.3390/micro2040044 - 25 Nov 2022
Cited by 4 | Viewed by 3180
Abstract
In this paper, we have investigated characteristics of ultraviolet and visible radiation generated by the 2.7 MeV electrons. It is shown that the Cherenkov radiation (ChR) intensity predominates over scintillations including wavelength shifting and cathodoluminescence quenching in pure poly(methylmethacrylate) (PMMA) for such electron [...] Read more.
In this paper, we have investigated characteristics of ultraviolet and visible radiation generated by the 2.7 MeV electrons. It is shown that the Cherenkov radiation (ChR) intensity predominates over scintillations including wavelength shifting and cathodoluminescence quenching in pure poly(methylmethacrylate) (PMMA) for such electron energy. To separate ChR and scintillations, we measured emission spectra and orientation dependence of the PMMA samples and compared with GEANT4 model taking into account only ChR mechanism. Full article
(This article belongs to the Section Analysis Methods and Instruments)
Show Figures

Figure 1

12 pages, 2116 KB  
Article
A Supramolecular Hydrogel Enabled by the Synergy of Hydrophobic Interaction and Quadruple Hydrogen Bonding
by Liangmei Lu, Wen Zhou, Zhuzuan Chen, Yang Hu, Yu Yang, Guangzhao Zhang and Zhuohong Yang
Gels 2022, 8(4), 244; https://doi.org/10.3390/gels8040244 - 14 Apr 2022
Cited by 20 | Viewed by 4703
Abstract
The increasing preference for minimally invasive surgery requires novel soft materials that are injectable, with rapid self-healing abilities, and biocompatible. Here, by utilizing the synergetic effect of hydrophobic interaction and quadruple hydrogen bonding, an injectable supramolecular hydrogel with excellent self-healing ability was synthesized. [...] Read more.
The increasing preference for minimally invasive surgery requires novel soft materials that are injectable, with rapid self-healing abilities, and biocompatible. Here, by utilizing the synergetic effect of hydrophobic interaction and quadruple hydrogen bonding, an injectable supramolecular hydrogel with excellent self-healing ability was synthesized. A unique ABA triblock copolymer was designed containing a central poly(ethylene oxide) block and terminal poly(methylmethacrylate) (PMMA) block, with ureido pyrimidinone (UPy) moieties randomly incorporated (termed MA-UPy-PEO-UPy-MA). The PMMA block could offer a hydrophobic microenvironment for UPy moieties in water and thus boost the corresponding quadruple hydrogen bonding interaction of Upy–Upy dimers. Owing to the synergetic effect of hydrophobicity and quadruple hydrogen bonding interaction, the obtained MA-UPy-PEO-UPy-MA hydrogel exhibited excellent self-healing properties, and injectable capability, as well as superior mechanical strength, and therefore, it holds great promise in tissue engineering applications, including in cell support and drug release. Full article
(This article belongs to the Special Issue Self-Healing Hydrogels for Applications in Regenerative Medicine)
Show Figures

Figure 1

8 pages, 2758 KB  
Article
Pre-Disinfection of Poly-Methyl-Methacrylate (PMMA) Reduces Volatile Sulfides Compounds (VSC) Production in Experimental Biofilm In Vitro
by Ofir Rosner, Guy Melamed, Shiri Livne, Uziel Jeffet, Eran Dolev, Gil Ben Izhack, Hadas Heller and Nir Sterer
Appl. Sci. 2022, 12(4), 1947; https://doi.org/10.3390/app12041947 - 13 Feb 2022
Cited by 1 | Viewed by 2441
Abstract
Temporary dental crowns and bridges are commonly made of poly-methylmethacrylate (PMMA), a porous material attracting the microbial biofilm associated with malodor production. The purpose of the present study was to test pre-disinfection of PMMA on malodor-related parameters in an experimental oral biofilm. PMMA [...] Read more.
Temporary dental crowns and bridges are commonly made of poly-methylmethacrylate (PMMA), a porous material attracting the microbial biofilm associated with malodor production. The purpose of the present study was to test pre-disinfection of PMMA on malodor-related parameters in an experimental oral biofilm. PMMA discs were pre-soaked in anti-malodor disinfecting solutions and controls: (i) Saline, (ii) essential oils (EO), (iii) herbal extracts (HE), and (iv) chlorhexidine (CHX). Following, discs were subjected to a salivary incubation assay and monitored for malodor-producing bacteria within the biofilm using confocal microscopy (CLSM), malodor production (organoleptic scale 0–5), volatile sulfide levels (Halimeter), and salivary protein degradation (SDS-PAGE). Results showed that disinfection solutions were significantly effective in reducing malodor-related parameters (CHX > HE > EO > Saline). Taken together, these results suggest that pre-disinfection may help to reduce malodor production in PMMA temporary dental restorations. Full article
(This article belongs to the Collection State-of-the-Art Dentistry and Oral Health)
Show Figures

Figure 1

Back to TopTop