Sign in to use this feature.

Years

Between: -

Subjects

remove_circle_outline
remove_circle_outline
remove_circle_outline
remove_circle_outline
remove_circle_outline
remove_circle_outline
remove_circle_outline
remove_circle_outline
remove_circle_outline

Journals

remove_circle_outline
remove_circle_outline
remove_circle_outline
remove_circle_outline
remove_circle_outline
remove_circle_outline
remove_circle_outline
remove_circle_outline

Article Types

Countries / Regions

remove_circle_outline
remove_circle_outline
remove_circle_outline
remove_circle_outline
remove_circle_outline

Search Results (508)

Search Parameters:
Keywords = poly(l-lactic acid)

Order results
Result details
Results per page
Select all
Export citation of selected articles as:
11 pages, 2006 KB  
Article
Synthesis of Poly(Lactic Acid-co-Arginine) and Construction of Its Ternary Phase Diagram for Nonsolvent Induced Phase Separation
by Yinying Zhu, Hongxia Yan, Bei Wang, Zihan Shangguan and Junyan Yao
Materials 2025, 18(20), 4816; https://doi.org/10.3390/ma18204816 - 21 Oct 2025
Viewed by 182
Abstract
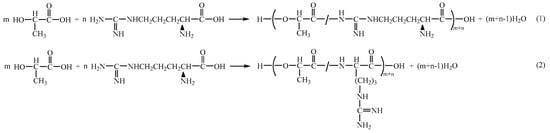
L-arginine, a basic amino acid, exhibits high biocompatibility, reactivity, and absorbability. It was selected as the co-polymer modification monomer for L-lactic acid with the objective of enhancing the hydrophilicity of poly(lactic acid) (PLA), neutralizing the acidity of PLA degradation products, and regulating the [...] Read more.
L-arginine, a basic amino acid, exhibits high biocompatibility, reactivity, and absorbability. It was selected as the co-polymer modification monomer for L-lactic acid with the objective of enhancing the hydrophilicity of poly(lactic acid) (PLA), neutralizing the acidity of PLA degradation products, and regulating the degradation cycle. The copolymer poly(lactic acid-co-arginine) (PLAA) was synthesized by direct melting polycondensation of L-arginine and L-lactic acid, and the structures and properties of PLAA were characterized. The results indicated the presence of –NH2, –NH–, and NH= in the molecular chain of the copolymer PLAA. Furthermore, the PLAA was identified as an amorphous copolymer. The “PLAA/CHCl3/C6H14” ternary phase diagram was constituted by nonsolvent-induced phase separation (NIPS) by selecting chloroform (CHCl3) as a good solvent and n-hexane (C6H14) as a nonsolvent. The phase diagram displays three distinguishable regions: the homogeneous zone, the metastable zone, and the phase separation zone. These regions are identified by the binodal and spinodal curves. The ternary phase diagram establishes a theoretical foundation for the preparation and processing of PLAA nanoparticles, composite materials, and porous fibers or membranes. Full article
Show Figures

Figure 1

22 pages, 564 KB  
Review
Electrospinning PLLA/PCL Blend Fibre-Based Materials and Their Biomedical Application: A Mini Review
by Chen Meng
Polymers 2025, 17(20), 2802; https://doi.org/10.3390/polym17202802 - 20 Oct 2025
Viewed by 333
Abstract
Fibres play a crucial role in diverse biomedical applications, ranging from tissue engineering to drug delivery. Electrospinning has emerged as a simple and versatile technique for producing ultrafine fibres at micro- to nanoscale dimensions. Synthetic biopolymers are effective cues to replace damaged tissue [...] Read more.
Fibres play a crucial role in diverse biomedical applications, ranging from tissue engineering to drug delivery. Electrospinning has emerged as a simple and versatile technique for producing ultrafine fibres at micro- to nanoscale dimensions. Synthetic biopolymers are effective cues to replace damaged tissue in the biomedical field, both in vitro and in vivo applications. Among them, poly (L-lactic acid) (PLLA) is a renewable, environmentally friendly biopolymer material. Polycaprolactone (PCL) is a synthetic polymer with good biocompatibility and biodegradation characteristics. However, both electrospun PLLA and PCL fibres have their limitations. To overcome these shortcomings, electrospinning PLLA/PCL blend fibres has been the subject of many studies. This review discusses the different parameters for the electrospinning of PLLA/PCL-based fibres for biomedical applications. Furthermore, we also discuss how electrospun PLLA/PCL-based scaffolds can be modified or combined with other biomaterials, such as natural polymers and bioceramics, and examine their in vitro and in vivo applications in various tissue repair strategies. Full article
(This article belongs to the Special Issue Polymer Composites for Biomedical Applications)
Show Figures

Figure 1

18 pages, 6501 KB  
Article
Engineered Porosity in Microcrystalline Diamond-Reinforced PLLA Composites: Effects of Particle Concentration on Thermal and Structural Properties
by Mateusz Ficek, Franciszek Skiba, Marcin Gnyba, Gabriel Strugała, Dominika Ferneza, Tomasz Seramak, Konrad Szustakiewicz and Robert Bogdanowicz
Materials 2025, 18(19), 4606; https://doi.org/10.3390/ma18194606 - 4 Oct 2025
Viewed by 387
Abstract
This research explores microcrystalline diamond particles in poly(L-lactic acid) matrices to create structured porous composites for advanced biodegradable materials. While nanodiamond–polymer composites are well-documented, microcrystalline diamond particles remain unexplored for controlling hierarchical porosity in systems required by tissue engineering, thermal management, and filtration [...] Read more.
This research explores microcrystalline diamond particles in poly(L-lactic acid) matrices to create structured porous composites for advanced biodegradable materials. While nanodiamond–polymer composites are well-documented, microcrystalline diamond particles remain unexplored for controlling hierarchical porosity in systems required by tissue engineering, thermal management, and filtration industries. We investigate diamond–polymer composites with concentrations from 5 to 75 wt% using freeze-drying methodology, employing two particle sizes: 0.125 μm and 1.00 μm diameter particles. Systematic porosity control ranges from 11.4% to 32.8%, with smaller particles demonstrating reduction from 27.3% at 5 wt% to 11.4% at 75 wt% loading. Characterization through infrared spectroscopy, X-ray computed microtomography, and Raman analysis confirms purely physical diamond–polymer interactions without chemical bonding, validated by characteristic diamond lattice vibrations at 1332 cm−1. Thermal analysis reveals modified crystallization behavior with decreased melting temperatures from 180 to 181 °C to 172 °C. The investigation demonstrates a controllable transition from large-volume interconnected pores to numerous small-volume closed pores with increasing diamond content. These composites provide a quantitative framework for designing hierarchical structures applicable to tissue engineering scaffolds, thermal management systems, and specialized filtration technologies requiring biodegradable materials with engineered porosity and enhanced thermal conductivity. Full article
Show Figures

Graphical abstract

20 pages, 4672 KB  
Article
Challenges in Nanofiber Formation from NADES-Based Anthocyanin Extracts: A Physicochemical Perspective
by Paulina Wróbel, Katarzyna Latacz, Jacek Chęcmanowski and Anna Witek-Krowiak
Materials 2025, 18(19), 4502; https://doi.org/10.3390/ma18194502 - 27 Sep 2025
Viewed by 454
Abstract
This study explores the challenge of using anthocyanin-rich natural deep eutectic solvent (NADES) extracts to produce electrospun nanofibers for biodegradable freshness indicators. Red cabbage was extracted with two choline chloride-based NADESs (with citric or lactic acid), modified with 10–50% ethanol to lower viscosity, [...] Read more.
This study explores the challenge of using anthocyanin-rich natural deep eutectic solvent (NADES) extracts to produce electrospun nanofibers for biodegradable freshness indicators. Red cabbage was extracted with two choline chloride-based NADESs (with citric or lactic acid), modified with 10–50% ethanol to lower viscosity, and compared with a standard 50% ethanol-water solvent. The citric acid NADES with 30% ethanol gave the highest anthocyanin yield (approx. 0.312 mg/mL, more than 20 times higher than the ethanol extract at approx. 0.014 mg/mL). For fiber fabrication, a polymer carrier blend of poly(ethylene oxide) (PEO) and sodium alginate (Alg) was employed, known to form hydrogen-bonded networks that promote chain entanglement and facilitate electrospinning. Despite this, the NADES extracts could not be electrospun into nanofibers, while the ethanol extract produced continuous, smooth fibers with diameters of approximately 100 nm. This highlights a clear trade-off; NADESs improve anthocyanin recovery, but their high viscosity and low volatility prevent fiber formation under standard electrospinning conditions. To leverage the benefits of NADES extracts, future work could focus on hybrid systems, such as multilayer films, core-shell fibers, or microcapsules, where the extracts are stabilized without relying solely on direct electrospinning. In storage tests, ethanol-extract nanofibers acted as effective pH-responsive indicators, showing visible color change from day 4 of meat storage. At the same time, alginate films with NADES extract remained unchanged after 12 days. These results highlight the importance of striking a balance between chemical stability and sensing sensitivity when designing anthocyanin-based smart packaging. Full article
Show Figures

Figure 1

23 pages, 3604 KB  
Article
Amphiphilic Thermoresponsive Triblock PLA-PEG-PLA and Diblock mPEG-PLA Copolymers for Controlled Deferoxamine Delivery
by Nikolaos D. Bikiaris, Ermioni Malini, Evi Christodoulou, Panagiotis A. Klonos, Apostolos Kyritsis, Apostolos Galaris and Kostas Pantopoulos
Gels 2025, 11(9), 742; https://doi.org/10.3390/gels11090742 - 15 Sep 2025
Viewed by 518
Abstract
This study focuses on the synthesis and characterization of thermoresponsive hydrogels of poly(lactic acid) (PLA) and poly(ethylene glycol) (PEG), PLA–PEG copolymers, aiming at the targeted and controlled release of deferoxamine (DFO), a clinically applied iron-chelating drug. Triblock (PLA-PEG-PLA) and diblock (mPEG-PLA) copolymers were [...] Read more.
This study focuses on the synthesis and characterization of thermoresponsive hydrogels of poly(lactic acid) (PLA) and poly(ethylene glycol) (PEG), PLA–PEG copolymers, aiming at the targeted and controlled release of deferoxamine (DFO), a clinically applied iron-chelating drug. Triblock (PLA-PEG-PLA) and diblock (mPEG-PLA) copolymers were synthesized using ring-opening polymerization (ROP) with five different PEGs with molecular weights of 1000, 1500, 2000, 4000, and 6000 g/mol and two types of lactide (L-lactide and D-lactide). Emulsions of the polymers in phosphate-buffered saline (PBS) were prepared at concentrations ranging from 10% to 50% w/w to study the sol–gel transition properties of the copolymers. Amongst the synthesized copolymers, only those that demonstrated thermoresponsive sol-to-gel transitions near physiological temperature (37 °C) were selected for further analysis. Structural and molecular confirmation was performed by Nuclear Magnetic Resonance (NMR) and Fourier-transform infrared spectroscopy (FTIR), while the molecular weights were determined via Gel Permeation Chromatography (GPC). The thermal transitions were studied by calorimetry (DSC) and crystallinity via X-ray diffraction (XRD) analysis. DFO-loaded hydrogels were prepared, and their drug release profiles were investigated under simulated physiological conditions (37 °C) for seven days using HPLC analysis. The thermoresponsive characteristics of these systems can offer a promising strategy for injectable drug delivery applications, where micelles serve as drug carriers and undergo in situ gelation, enabling controlled release. This alternative procedure may significantly improve the bioavailability of DFO and enhance patient compliance by addressing key limitations of conventional administration routes. Full article
(This article belongs to the Special Issue Recent Advances in Hydrogels for Tissue Engineering Applications)
Show Figures

Graphical abstract

15 pages, 3156 KB  
Article
Bio-Based Aqueous Dispersions Based on Unsaturated PLA Polymers for Barrier Packaging Applications
by Roosa Hämäläinen, Pauliina Kivinen, Rajesh Koppolu, Eetu Nissinen and Adina Anghelescu-Hakala
Polymers 2025, 17(18), 2467; https://doi.org/10.3390/polym17182467 - 12 Sep 2025
Viewed by 565
Abstract
The growing demand for sustainable packaging materials highlights the need for bio-based alternatives to fossil-derived polymers, particularly in barrier applications where reduced environmental impact and recyclability are critical. Poly(lactic acid) is a promising candidate due to its renewable origin and biodegradability, yet its [...] Read more.
The growing demand for sustainable packaging materials highlights the need for bio-based alternatives to fossil-derived polymers, particularly in barrier applications where reduced environmental impact and recyclability are critical. Poly(lactic acid) is a promising candidate due to its renewable origin and biodegradability, yet its application in aqueous dispersion coatings remains underdeveloped. In this study, copolymers were synthesized from L-(+)-lactic acid, itaconic acid, and 1,4-/2,3-butanediol via polycondensation, and a solvent-free thermomechanical method was used to prepare aqueous dispersions from the produced copolymers. The main objective of this study was to identify an optimal composition for the copolymer and dispersion to achieve small and uniformly sized dispersion particles while also assessing the scalability of the process from laboratory to pilot production. The smallest dispersion particles and most uniform size distribution were achieved with a copolymer that had an Mn close to the average (10,180 g mol−1) and a low Tg (−1.4 °C). The grade and dosage of the dispersion stabilizer significantly influenced the particle size and particle size distribution. The process scale-up, including polymer production at pilot scale and dispersion preparation at bench scale, was successfully demonstrated. The water vapor barrier properties of the coated dispersions were promising (<10 g/m2 at 23 °C/50% RH), supporting the potential of aqueous PLA-based dispersions as sustainable barrier coatings. Full article
(This article belongs to the Special Issue Sustainable Polymers for Value Added and Functional Packaging)
Show Figures

Figure 1

28 pages, 4294 KB  
Article
Engineering Poly(L-Lactic Acid)/Hydroxyapatite Scaffolds via Melt-Electrowriting: Enhancement of Osteochondral Cell Response in Human Nasal Chondrocytes
by Valentina Basoli, Vittorio Barbano, Cecilia Bärtschi, Cosimo Loffreda, Matteo Zanocco, Alfredo Rondinella, Alex Lanzutti, Wenliang Zhu, Stefania Specchia, Andrea Barbero, Florian Markus Thieringer, Huaizhong Xu and Elia Marin
Polymers 2025, 17(18), 2455; https://doi.org/10.3390/polym17182455 - 10 Sep 2025
Viewed by 1978
Abstract
Osteochondral repair remains challenging due to cartilage’s limited self-healing capacity and the structural complexity of the osteochondral interface, particularly the hypertrophic layer anchoring cartilage to bone. We fabricated melt electrowritten (MEW) poly(L-lactic acid) (PLLA) scaffolds incorporating 1%, 5%, and 10% hydroxyapatite (HAp) to [...] Read more.
Osteochondral repair remains challenging due to cartilage’s limited self-healing capacity and the structural complexity of the osteochondral interface, particularly the hypertrophic layer anchoring cartilage to bone. We fabricated melt electrowritten (MEW) poly(L-lactic acid) (PLLA) scaffolds incorporating 1%, 5%, and 10% hydroxyapatite (HAp) to provide a precise fiber architecture (~200 μm pores) and bone-mimetic biochemical cues. Human nasal chondrocytes (hNCs), currently in clinical trials for knee cartilage repair, were selected for their phenotypic plasticity and established safety profile, facilitating translational potential. HAp–PLLA scaffolds, especially at higher HAp contents, enhanced hNC adhesion, proliferation, mineralization, and maintenance of cartilage-specific ECM compared to PLLA alone. This work demonstrates the first high-HAp MEW-printed PLLA scaffold for osteochondral repair, integrating architectural precision with bioactivity in a clinically relevant cell–material system. Full article
Show Figures

Graphical abstract

43 pages, 5417 KB  
Review
Integrating Graphene Oxide and Mesenchymal Stem Cells in 3D-Printed Systems for Drug Delivery and Tissue Regeneration
by Igor Soares Gianini Grecca, Vitor Fernando Bordin Miola, Júlia Carolina Ferreira, Thiago Rissato Vinholo, Laira Mireli Dias da Silva, Paulo Gabriel Friedrich Totti, Silvia Helena Soares Gianini, Maricelma da Silva Soares de Souza, Juliana da Silva Soares de Souza, Adriano Cressoni Araújo, Elen Landgraf Guiguer, Caio Sérgio Galina Spilla, Marcelo Dib Bechara, Domingos Donizeti Roque, Eliana de Souza Bastos Mazuqueli Pereira and Karina Torres Pomini
Pharmaceutics 2025, 17(8), 1088; https://doi.org/10.3390/pharmaceutics17081088 - 21 Aug 2025
Viewed by 771
Abstract
Mesenchymal stem cells (MSCs) represent a promising strategy in the field of regenerative medicine due to their multipotent differentiation capacity and immunomodulatory properties. The interaction of these cells with the extracellular matrix (ECM) and biomaterials, notably graphene oxide (GO), has proven decisive in [...] Read more.
Mesenchymal stem cells (MSCs) represent a promising strategy in the field of regenerative medicine due to their multipotent differentiation capacity and immunomodulatory properties. The interaction of these cells with the extracellular matrix (ECM) and biomaterials, notably graphene oxide (GO), has proven decisive in modulating cell behavior, with the potential to optimize tissue regeneration processes. This review was conducted using the MEDLINE, Scopus, and Cochrane databases, covering studies published between 2018 and 2025, from which seven studies met the inclusion criteria, with an emphasis on in vitro and in vivo investigations regarding the association between GO and MSCs. The main findings demonstrate that GO, particularly when conjugated with polymers such as poly(L-lactic acid) (PLLA), enhances cell adhesion, stimulates proliferation, and promotes the osteogenic differentiation of MSCs, in addition to positively modulating intracellular signaling pathways. However, significant gaps remain in understanding the mechanisms and safety of GO’s therapeutic use in association with MSCs. Therefore, this review reinforces the need for further studies to deepen the characterization of the bioactive properties of GO-MSCs, aiming to enable safer and more effective clinical applications. Full article
Show Figures

Graphical abstract

27 pages, 5059 KB  
Article
In Vitro Degradation of Continuous Iron Wire-Reinforced PLLA Composite Monofilaments for Bioresorbable Vascular Stents Fabricated via a Novel 3D Printer: An Early-Stage Prototype Study
by Handai Liu, Alexandre Portela, Han Xu, Vlasta Chyzna, Yinshi Lu, Ke Gong, Daniel P. Fitzpatrick, Guangming Yan, Ronan Dunbar and Yuanyuan Chen
Processes 2025, 13(8), 2621; https://doi.org/10.3390/pr13082621 - 19 Aug 2025
Viewed by 758
Abstract
Poly(L-lactic acid) (PLLA) and iron (Fe) are popular bioresorbable material candidates for biomedical implants. However, PLLA coronary stents are relatively too thick compared to metallic stents when providing the same mechanical strength, while iron degrades too slowly. Recent studies show that PLLA coatings [...] Read more.
Poly(L-lactic acid) (PLLA) and iron (Fe) are popular bioresorbable material candidates for biomedical implants. However, PLLA coronary stents are relatively too thick compared to metallic stents when providing the same mechanical strength, while iron degrades too slowly. Recent studies show that PLLA coatings can enhance iron’s corrosion rate, and iron has strong mechanical strength, making PLLA–Fe composites ideal for bioresorbable implants. Although PLLA coatings on iron samples have been studied, research on embedding iron wires in relatively thick PLLA matrices is limited. Moreover, no studies have yet explored 3D-printed metal wire-reinforced PLLA monofilaments for biomedical applications. To address these research gaps and investigate the in vitro degradation profile of PLLA/Fe wire monofilaments for bioresorbable stents, this study first developed a novel polymer filament–metal wire coextrusion 3D printer for printing PLLA/Fe wire monofilaments. In vitro degradation tests were then conducted on both PLLA/Fe and neat PLLA monofilaments at 50 °C. Thereafter, characterizations, including mass loss, pH, surface appearance and morphology, tensile tests, gel permeation chromatography (GPC), and differential scanning calorimetry (DSC), were performed. Results indicated that the overall degradation rate of PLLA/Fe monofilaments was higher than that of PLLA counterparts, while the degradation rate of PLLA matrix was not affected by the embedded iron wire according to molecular weight analysis. Notably, the Young’s modulus and stiffness of PLLA monofilaments were significantly improved by the iron wires during the early stages of degradation, but the reinforcement in tensile strength was negative after immersion due to the poor embedding quality of the iron wires in the PLLA monofilaments. With future improvement of the embedding quality of iron wire, the 3D-printed PLLA/Fe wire composites can have great potential in the development of biomedical devices using the novel 3D printing method, including most types of stents and bone scaffolds. Full article
Show Figures

Figure 1

19 pages, 6153 KB  
Article
Copper–PLLA-Based Biopolymer Wrinkle Structures for Enhanced Antibacterial Activity
by Petr Slepička, Iva Labíková, Bára Frýdlová, Aneta Pagáčová, Nikola Slepičková Kasálková, Petr Sajdl and Václav Švorčík
Polymers 2025, 17(16), 2173; https://doi.org/10.3390/polym17162173 - 8 Aug 2025
Viewed by 652
Abstract
The increasing prevalence of antibiotic-resistant bacteria has intensified the need for innovative antibacterial surfaces, particularly in biomedical applications. Traditional approaches often rely on chemical agents alone, which may lead to diminishing efficacy over time. To address this, we investigated the development of a [...] Read more.
The increasing prevalence of antibiotic-resistant bacteria has intensified the need for innovative antibacterial surfaces, particularly in biomedical applications. Traditional approaches often rely on chemical agents alone, which may lead to diminishing efficacy over time. To address this, we investigated the development of a novel antibacterial surface by combining the inherent antimicrobial properties of copper with an engineered surface topography on a biopolymer matrix. A copper–poly-L-lactic acid (Cu-PLLA) composite system was fabricated using sputtering deposition followed by controlled thermal treatment to induce wrinkle-like micro- and nanostructures on the surface. The surface morphology was characterized using scanning electron microscopy (SEM) and atomic force microscopy (AFM), confirming the formation of hierarchical wrinkle patterns. The chemical composition and distribution of copper were analyzed via energy-dispersive X-ray spectroscopy (EDS). Antibacterial performance was assessed against both Gram-negative Escherichia coli and Gram-positive Staphylococcus aureus using standard colony count reduction assays. The Cu-PLLA wrinkled surfaces demonstrated significantly enhanced bactericidal activity compared with flat PLLA and copper-free controls, a finding attributed to a synergistic effect of mechanical membrane disruption and copper-mediated chemical toxicity. These findings suggest that biopolymer–metal hybrid surfaces with engineered topography offer a promising strategy for developing next-generation antibacterial materials suitable for biomedical and clinical use. Full article
(This article belongs to the Special Issue Feature Papers in Polymer Science and Technology)
Show Figures

Graphical abstract

15 pages, 2161 KB  
Article
Preparation of PLLA and PLGA Copolymers with Poly(ethylene adipate) Through Reactive Melt Mixing: Structural Characterization, Thermal Properties, and Molecular Mobility Insights
by Evi Christodoulou, Christina Samiotaki, Alexandra Zamboulis, Rizos Evangelos Bikiaris, Panagiotis A. Klonos, Apostolos Kyritsis and Dimitrios N. Bikiaris
Macromol 2025, 5(3), 35; https://doi.org/10.3390/macromol5030035 - 7 Aug 2025
Viewed by 541
Abstract
In this study, a series of copolymers was synthesized using the promising biodegradable polymers Poly(L-lactic acid) (PLLA), Poly(lactic-co-glycolic acid) (PLGA), and Poly(ethylene adipate) (PEAd), known for their high potential. PEAd was synthesized through a two-step melt polycondensation process and then used to prepare [...] Read more.
In this study, a series of copolymers was synthesized using the promising biodegradable polymers Poly(L-lactic acid) (PLLA), Poly(lactic-co-glycolic acid) (PLGA), and Poly(ethylene adipate) (PEAd), known for their high potential. PEAd was synthesized through a two-step melt polycondensation process and then used to prepare copolymers with PLLA (PLLA-co-PEAd) and PLGA (PLGA-co-PEAd) at weight ratios of 90/10 and 75/25, respectively. The synthesized materials, along with the starting polymers, were extensively characterized for their structure, molecular weight, crystallinity, and thermal behavior. These novel systems exhibit single thermal transitions, e.g., glass transition. The incorporation of PEAd into the copolymers induced a plasticizing effect, evidenced by a consistent decrease in the glass transition temperature. Due to the latter effect in combination with the Mw drop, the facilitation of crystal nucleation was observed. Finally, the results by dielectric spectroscopy on the local and segmental molecular mobility provided additional proof for the homogeneity of the systems, as manifested, e.g., by the recording of single segmental relaxation processes. Overall, the findings indicate that the PLLA-co-PEAd and PLGA-co-PEAd copolymers hold significant potential, and the use of complementary experimental techniques offers valuable insights and indirect indications of their properties. Full article
(This article belongs to the Collection Advances in Biodegradable Polymers)
Show Figures

Graphical abstract

33 pages, 10775 KB  
Article
Electrospun Nanofibrous Membranes for Guided Bone Regeneration: Fabrication, Characterization, and Biocompatibility Evaluation—Toward Smart 2D Biomaterials
by Julia Radwan-Pragłowska, Aleksandra Kopacz, Aleksandra Sierakowska-Byczek, Łukasz Janus, Piotr Radomski and Aleksander Radwan-Pragłowski
Appl. Sci. 2025, 15(15), 8713; https://doi.org/10.3390/app15158713 - 6 Aug 2025
Viewed by 548
Abstract
Electrospun nanofibrous membranes have gained considerable attention in bone tissue engineering due to their ability to mimic the extracellular matrix and provide a suitable environment for cell attachment and proliferation. This study investigates the fabrication, characterization, and biocompatibility of poly(L-lactic acid) (PLA)-based membranes [...] Read more.
Electrospun nanofibrous membranes have gained considerable attention in bone tissue engineering due to their ability to mimic the extracellular matrix and provide a suitable environment for cell attachment and proliferation. This study investigates the fabrication, characterization, and biocompatibility of poly(L-lactic acid) (PLA)-based membranes enhanced with periclase (MgO) and gold nanoparticles (AuNPs). The membranes were fabricated using an optimized electrospinning process and subsequently characterized using scanning electron microscopy (SEM), energy-dispersive X-ray spectroscopy (EDS), Fourier-transform infrared spectroscopy (FT-IR), and contact angle measurements. Additionally, in vitro biodegradation studies in simulated body fluid (SBF) and cytocompatibility tests with osteoblast-like cells were conducted. The results demonstrated that the incorporation of MgO and AuNPs significantly influenced the structural and chemical properties of the membranes, improving their wettability and bioactivity. SEM imaging confirmed uniform fiber morphology with well-distributed nanoparticles. FT-IR spectroscopy indicated successful integration of bioactive components into the PLA matrix. Cytocompatibility assays showed that modified membranes promoted higher osteoblast adhesion and proliferation compared to pristine PLA membranes. Furthermore, biodegradation studies revealed a controlled degradation rate suitable for guided bone regeneration applications. These findings suggest that electrospun PLA membranes enriched with MgO and AuNPs present a promising biomaterial for GBR applications, offering improved bioactivity, mechanical stability, and biocompatibility. Full article
(This article belongs to the Special Issue Bioactive Composite Materials: From Preparation to Application)
Show Figures

Figure 1

25 pages, 4825 KB  
Article
Osteogenic Differentiation of Mesenchymal Stem Cells Induced by Geometric Mechanotransductive 3D-Printed Poly-(L)-Lactic Acid Matrices
by Harrison P. Ryan, Bruce K. Milthorpe and Jerran Santos
Int. J. Mol. Sci. 2025, 26(15), 7494; https://doi.org/10.3390/ijms26157494 - 2 Aug 2025
Viewed by 1027
Abstract
Bone-related defects present a key challenge in orthopaedics. The current gold standard, autografts, poses significant limitations, such as donor site morbidity, limited supply, and poor morphological adaptability. This study investigates the potential of scaffold geometry to induce osteogenic differentiation of human adipose-derived stem [...] Read more.
Bone-related defects present a key challenge in orthopaedics. The current gold standard, autografts, poses significant limitations, such as donor site morbidity, limited supply, and poor morphological adaptability. This study investigates the potential of scaffold geometry to induce osteogenic differentiation of human adipose-derived stem cells (hADSCs) through mechanotransduction, without the use of chemical inducers. Four distinct poly-(L)-lactic acid (PLA) scaffold architectures—Traditional Cross (Tc), Triangle (T), Diamond (D), and Gyroid (G)—were fabricated using fused filament fabrication (FFF) 3D printing. hADSCs were cultured on these scaffolds, and their response was evaluated utilising an alkaline phosphatase (ALP) assay, immunofluorescence, and extensive proteomic analyses. The results showed the D scaffold to have the highest ALP activity, followed by Tc. Proteomics results showed that more than 1200 proteins were identified in each scaffold with unique proteins expressed in each scaffold, respectively Tc—204, T—194, D—244, and G—216. Bioinformatics analysis revealed structures with complex curvature to have an increased expression of proteins involved in mid- to late-stage osteogenesis signalling and differentiation pathways, while the Tc scaffold induced an increased expression of signalling and differentiation pathways pertaining to angiogenesis and early osteogenesis. Full article
(This article belongs to the Special Issue Novel Approaches for Tissue Repair and Tissue Regeneration)
Show Figures

Figure 1

20 pages, 9891 KB  
Article
3D-Printed Poly (l-lactic acid) Scaffolds for Bone Repair with Oriented Hierarchical Microcellular Foam Structure and Biocompatibility
by Cenyi Luo, Juan Xue, Qingyi Huang, Yuxiang Deng, Zhixin Zhao, Jiafeng Li, Xiaoyan Gao and Zhengqiu Li
Biomolecules 2025, 15(8), 1075; https://doi.org/10.3390/biom15081075 - 25 Jul 2025
Viewed by 624
Abstract
This study proposes a continuous preparation strategy for poly (l-lactic acid) (PLLA) scaffolds with oriented hierarchical microporous structures for bone repair. A PLLA-oriented multi-stage microporous bone repair scaffold (hereafter referred to as the oriented multi-stage microporous scaffold) was designed using a [...] Read more.
This study proposes a continuous preparation strategy for poly (l-lactic acid) (PLLA) scaffolds with oriented hierarchical microporous structures for bone repair. A PLLA-oriented multi-stage microporous bone repair scaffold (hereafter referred to as the oriented multi-stage microporous scaffold) was designed using a novel extrusion foaming technology that integrates fused deposition modeling (FDM) 3D printing with supercritical carbon dioxide (SC-CO2) microcellular foaming technology. The influence of the 3D-printed structure on the microcellular morphology of the oriented multi-stage microporous scaffold was investigated and optimized. The combination of FDM and SC-CO2 foaming technology enables a continuous extrusion foaming process for preparing oriented multi-stage microporous scaffolds. The mechanical strength of the scaffold reached 15.27 MPa, meeting the requirements for bone repair in a low-load environment. Notably, the formation of open pores on the surface of the oriented multi-stage microporous scaffold positively affected cell proliferation, differentiation, and activity, as well as the expression of anti-inflammatory and pro-inflammatory factors. In vitro cell experiments (such as CCK-8) showed that the cell proliferation rate in the oriented multi-stage microporous scaffold reached 100–300% after many days of cultivation. This work provides a strategy for the design and manufacture of PLLA scaffolds with hierarchical microcellular structures and biocompatibility for bone repair. Full article
(This article belongs to the Section Bio-Engineered Materials)
Show Figures

Figure 1

27 pages, 36926 KB  
Article
Comparison of Additive Manufacturing and Injection Molding of Biocomposites Reinforced with Alkali-Treated Wood Flour Derived from Recycled Wooden Pallets
by Mehmet Demir, Nilgül Çetin and Nasır Narlıoğlu
Polymers 2025, 17(15), 2004; https://doi.org/10.3390/polym17152004 - 22 Jul 2025
Viewed by 856
Abstract
Biodegradable polymer composites offer promising alternatives to petroleum-based plastics, supporting the principles of a zero waste and circular economy. This study investigates the reinforcing potential of alkali-treated wood flour derived from recycled pine (Pinus brutia Ten.) and poplar (Populus alba L.) [...] Read more.
Biodegradable polymer composites offer promising alternatives to petroleum-based plastics, supporting the principles of a zero waste and circular economy. This study investigates the reinforcing potential of alkali-treated wood flour derived from recycled pine (Pinus brutia Ten.) and poplar (Populus alba L.) waste wooden pallets in poly(lactic acid) (PLA) biocomposites. Wood flour was initially recovered through grinding and screening during recycling, followed by alkali treatment via a green chemistry approach to enhance interfacial bonding with the PLA matrix. The impact of alkali concentration and two fabrication methods—additive manufacturing (AM) and injection molding (IM)—on the properties of developed biocomposite materials was assessed through mechanical, physical, morphological, and thermal analyses. IM samples outperformed AM counterparts, with the IM PLA containing 30 wt% wood flour (alkali-treated with 10% solution) showing the highest mechanical gains: tensile (+71.35%), flexural (+64.74%), and hardness (+2.62%) compared to untreated samples. Moreover, the AM sample with 10 wt% wood flour and 10% alkali treatment showed a 49.37% decrease in water absorption compared to the untreated sample, indicating improved hydrophobicity. Scanning electron microscopy confirmed that alkali treatment reduced void content and enhanced morphological uniformity, while thermal properties remained consistent across fabrication methods. This work introduces a green composite using non-toxic materials and treatments, facilitating eco-friendly production aligned with zero waste and circular economy principles throughout the manufacturing lifecycle. Full article
(This article belongs to the Special Issue Polymer Composites: Structure, Properties and Processing, 2nd Edition)
Show Figures

Graphical abstract

Back to TopTop