Engineered Porosity in Microcrystalline Diamond-Reinforced PLLA Composites: Effects of Particle Concentration on Thermal and Structural Properties
Abstract
1. Introduction
2. Experimental Set-Up
2.1. Materials
2.2. Fabrication Procedure of PLLA/MDP Composites
2.3. Structural and Thermal Characterization of PLLA/MDP Composites
3. Results and Discussion
3.1. Topography and Structure of PLLA/MDP Composites
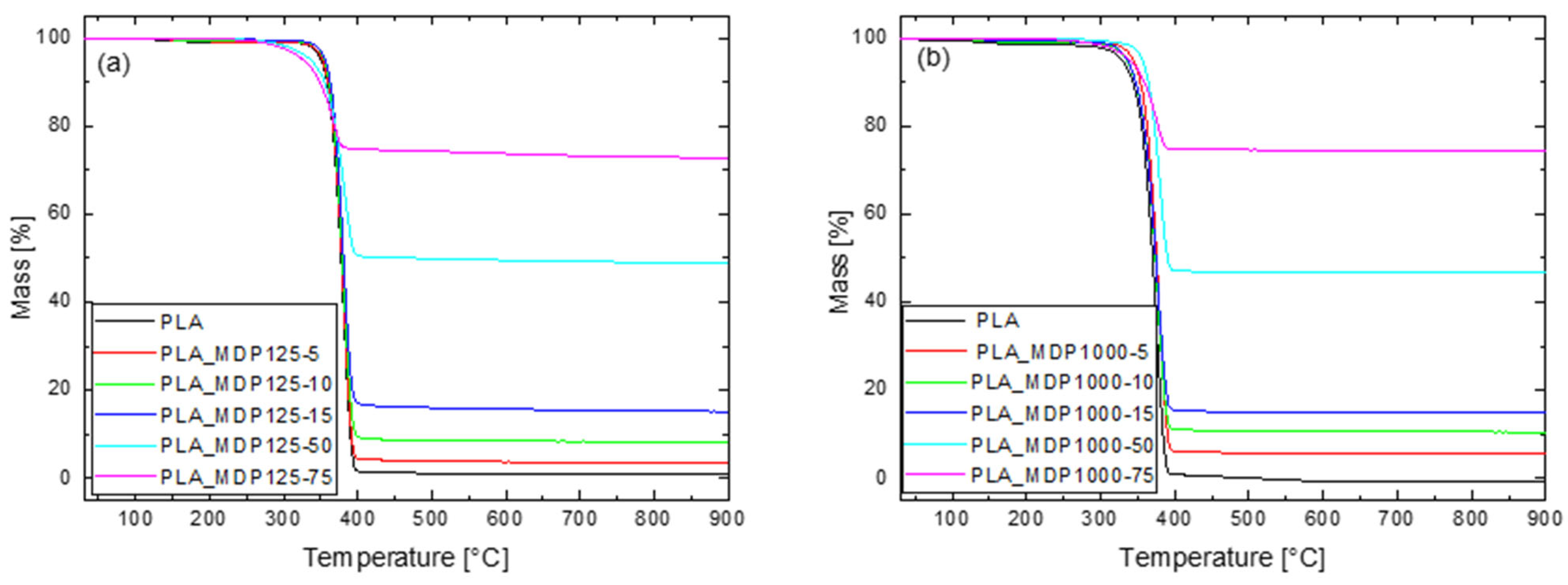
3.2. Thermogravimetric and DSC Analyses of PLLA/MDP Composites
4. Conclusions
Supplementary Materials
Author Contributions
Funding
Data Availability Statement
Conflicts of Interest
References
- Zulkharnay, R.; May, P.W. Applications of diamond films: A review. Funct. Diam. 2024, 4, 2410160. [Google Scholar] [CrossRef]
- Field, J.E. The mechanical and strength properties of diamond. Rep. Prog. Phys. 2012, 75, 126505. [Google Scholar] [CrossRef]
- Li, Y.; Yang, L.; Jiang, X.; Lu, Y.; Han, C.; Tang, Y.; Yang, N. Diamond Nanostructures at Different Dimensions: Synthesis and Applications. Adv. Funct. Mater. 2024, 34, 2314558. [Google Scholar] [CrossRef]
- Kowalewska, E.; Ficek, M.; Formela, K.; Zieliński, A.; Kunuku, S.; Sawczak, M.; Bogdanowicz, R. Tailoring of Optical Properties of Methacrylate Resins Enriched by HPHT Microdiamond Particles. Nanomaterials 2022, 12, 2604. [Google Scholar] [CrossRef] [PubMed]
- Rehman, A.; Houshyar, S.; Wang, X. Nanodiamond-Based Fibrous Composites: A Review of Fabrication Methods, Properties, and Applications. ACS Appl. Nano Mater. 2021, 4, 2317–2332. [Google Scholar] [CrossRef]
- Cai, N.; Dai, Q.; Wang, Z.; Luo, X.; Xue, Y.; Yu, F. Preparation and Properties of Nanodiamond/Poly(Lactic Acid) Composite Nanofiber Scaffolds. Fibers Polym. 2014, 15, 2544–2552. [Google Scholar] [CrossRef]
- Zhao, Y.-Q.; Lau, K.-T.; Kim, J.; Xu, C.-L.; Zhao, D.-D.; Li, H.-L. Nanodiamond/Poly (Lactic Acid) Nanocomposites: Effect of Nanodiamond on Structure and Properties of Poly (Lactic Acid). Compos. Part B Eng. 2010, 41, 646–653. [Google Scholar] [CrossRef]
- Zhang, C.; Ai, M.; Wu, M.; Rong, J.; Naito, K.; Yu, X.; Zhang, Q. Effect of Curcumin-Modified Nanodiamonds on Properties of Eco-Friendly Polylactic Acid Composite Films. Colloids Surf. Physicochem. Eng. Asp. 2024, 680, 132652. [Google Scholar] [CrossRef]
- Han, W.; Wu, M.; Rong, J.; Zhang, S.; Zhang, X.; Zhao, T.; Yu, X.; Naito, K.; Zhang, Q. Effect of Functionalized Nanodiamond on Properties of Polylactic Acid Eco-Friendly Composite Films. Diam. Relat. Mater. 2023, 133, 109717. [Google Scholar] [CrossRef]
- Su, S.-H.; Huang, Y.; Qu, S.; Liu, W.; Liu, R.; Li, L. Microdiamond/PLA Composites with Enhanced Thermal Conductivity through Improving Filler/Matrix Interface Compatibility. Diam. Relat. Mater. 2018, 81, 161–167. [Google Scholar] [CrossRef]
- Li, F.N.; Li, Y.; Bao, H.W.; Wang, H.X.; Ma, F. Fabrication of Hydroxyl Terminated Diamond by High-Voltage Hydroxide Ion Treatments. Appl. Surf. Sci. 2023, 622, 156909. [Google Scholar] [CrossRef]
- Tsuji, H.; Aratani, T.; Takikawa, H. Physical Properties, Crystallization, and Thermal/Hydrolytic Degradation of Poly(L-lactide)/Nano/Micro-Diamond Composites. Macromol. Mater. Eng. 2013, 298, 1149–1159. [Google Scholar] [CrossRef]
- Zhang, Y.; Pan, X.; Bi, M.; Pan, S.; Zhang, Z.; Ma, W.; Wang, X.; Fu, Y. Enhanced Separation Performance of Polyimide Ultrafiltration Membranes Embedded with Deep Eutectic Solvent-Coated Nanodiamonds. Ind. Eng. Chem. Res. 2023, 62, 21367–21379. [Google Scholar] [CrossRef]
- Siddiqa, A.; Majid, A.; Saira, F.; Farooq, S.; Qureshi, R.; Qaisar, S. Nanodiamond Embedded Polyaniline/Polyvinylidene Fluoride Nanocomposites as Microfiltration Membranes for Removal of Industrial Pollution. RSC Adv. 2023, 13, 29206–29214. [Google Scholar] [CrossRef]
- Iqbal, S.; Rafique, M.S.; Iqbal, N.; Bashir, S.; Malarvili, M.B.; Anjum, A.A. Development of Versatile, Thermally Stable, Flexible, UV-Resistant and Antibacterial Polyvinyl Alcohol-Nanodiamonds Composite for Efficient Food Packaging. Heliyon 2024, 10, e33270. [Google Scholar] [CrossRef]
- Cieślik, M.; Susik, A.; Banasiak, M.; Bogdanowicz, R.; Formela, K.; Ryl, J. Tailoring Diamondised Nanocarbon-Loaded Poly(Lactic Acid) Composites for Highly Electroactive Surfaces: Extrusion and Characterisation of Filaments for Improved 3D-Printed Surfaces. Microchim. Acta 2023, 190, 370. [Google Scholar] [CrossRef]
- Ficek, M.; Głowacki, M.J.; Gajewski, K.; Kunicki, P.; Gacka, E.; Sycz, K.; Mrózek, M.; Wojciechowski, A.M.; Gotszalk, T.P.; Gawlik, W.; et al. Integration of Fluorescent, NV-Rich Nanodiamond Particles with AFM Cantilevers by Focused Ion Beam for Hybrid Optical and Micromechanical Devices. Coatings 2021, 11, 1332. [Google Scholar] [CrossRef]
- Głowacki, M.J.; Ficek, M.; Sawczak, M.; Wcisło, A.; Bogdanowicz, R. Fluorescence of Nanodiamond Cocktails: pH-Induced Effects through Interactions with Comestible Liquids. Food Chem. 2022, 381, 132206. [Google Scholar] [CrossRef]
- Szustakiewicz, K.; Gazińska, M.; Kryszak, B.; Grzymajło, M.; Pigłowski, J.; Wiglusz, R.J.; Okamoto, M. The Influence of Hydroxyapatite Content on Properties of Poly(L-Lactide)/Hydroxyapatite Porous Scaffolds Obtained Using Thermal Induced Phase Separation Technique. Eur. Polym. J. 2019, 113, 313–320. [Google Scholar] [CrossRef]
- Waheed, S.; Cabot, J.M.; Smejkal, P.; Farajikhah, S.; Sayyar, S.; Innis, P.C.; Beirne, S.; Barnsley, G.; Lewis, T.W.; Breadmore, M.C.; et al. Three-Dimensional Printing of Abrasive, Hard, and Thermally Conductive Synthetic Microdiamond–Polymer Composite Using Low-Cost Fused Deposition Modeling Printer. ACS Appl. Mater. Interfaces 2019, 11, 4353–4363. [Google Scholar] [CrossRef]
- Alakrach, A.M.; Noriman, N.Z.; Dahham, O.S.; Hamzah, R.; Alsaadi, M.A.; Shayfull, Z.; Syed Idrus, S.Z. Chemical and Hydrophobic Properties of PLA/HNTs-ZrO2Bionanocomposites. J. Phys. Conf. Ser. 2018, 1019, 012065. [Google Scholar] [CrossRef]
- Dos Santos, C.A.B.; Ujčić, A.; Sobótka, M.; Jurczak, P.; Lach, S.; Rodziewicz-Motowidło, S.; Szustakiewicz, K. Amber Extract as a Bio-additive to Poly(Lactic Acid) Films: Multimethod Analysis of Crystallinity and Stability. J. Vinyl Addit. Technol. 2023, 29, 1125–1140. [Google Scholar] [CrossRef]
- Udvardi, B.; Kovács, I.J.; Fancsik, T.; Kónya, P.; Bátori, M.; Stercel, F.; Falus, G.; Szalai, Z. Effects of Particle Size on the Attenuated Total Reflection Spectrum of Minerals. Appl. Spectrosc. 2017, 71, 1157–1168. [Google Scholar] [CrossRef]
- Stehlik, S.; Mermoux, M.; Schummer, B.; Vanek, O.; Kolarova, K.; Stenclova, P.; Vlk, A.; Ledinsky, M.; Pfeifer, R.; Romanyuk, O.; et al. Size Effects on Surface Chemistry and Raman Spectra of Sub-5 Nm Oxidized High-Pressure High-Temperature and Detonation Nanodiamonds. J. Phys. Chem. C 2021, 125, 5647–5669. [Google Scholar] [CrossRef]
- Tu, J.; Wang, X.; Liu, B. Fragmentation Behavior of Diamond Particles with Different Particle Size and Ratio under High Pressure Compaction. Ceram. Int. 2024, 50, 36145–36155. [Google Scholar] [CrossRef]
- Szustakiewicz, K.; Kryszak, B.; Gazińska, M.; Chęcmanowski, J.; Stępak, B.; Grzymajło, M.; Antończak, A. The Effect of Selective Mineralization of PLLA in Simulated Body Fluid Induced by ArF Excimer Laser Irradiation: Tailored Composites with Potential in Bone Tissue Engineering. Compos. Sci. Technol. 2020, 197, 108279. [Google Scholar] [CrossRef]
- Zhang, J.; Wang, J.; Zhang, G.; Huo, Z.; Huang, Z.; Wu, L. A Review of Diamond Synthesis, Modification Technology, and Cutting Tool Application in Ultra-Precision Machining. Mater. Des. 2024, 237, 112577. [Google Scholar] [CrossRef]
- Maitra, U.; Prasad, K.E.; Ramamurty, U.; Rao, C.N.R. Mechanical Properties of Nanodiamond-Reinforced Polymer-Matrix Composites. Solid State Commun. 2009, 149, 1693–1697. [Google Scholar] [CrossRef]
- Neitzel, I.; Mochalin, V.; Knoke, I.; Palmese, G.R.; Gogotsi, Y. Mechanical Properties of Epoxy Composites with High Contents of Nanodiamond. Compos. Sci. Technol. 2011, 71, 710–716. [Google Scholar] [CrossRef]
- Kalsoom, U.; Waheed, S.; Paull, B. Fabrication of Humidity Sensor Using 3D Printable Polymer Composite Containing Boron-Doped Diamonds and LiCl. ACS Appl. Mater. Interfaces 2020, 12, 4962–4969. [Google Scholar] [CrossRef]
- Sun, Y.; Finne-Wistrand, A.; Waag, T.; Xing, Z.; Yassin, M.; Yamamoto, A.; Mustafa, K.; Steinmüller-Nethl, D.; Krueger, A.; Albertsson, A. Reinforced Degradable Biocomposite by Homogenously Distributed Functionalized Nanodiamond Particles. Macromol. Mater. Eng. 2015, 300, 436–447. [Google Scholar] [CrossRef]
- Behler, K.D.; Stravato, A.; Mochalin, V.; Korneva, G.; Yushin, G.; Gogotsi, Y. Nanodiamond-Polymer Composite Fibers and Coatings. ACS Nano 2009, 3, 363–369. [Google Scholar] [CrossRef]









| Sample | Type | Commercial Name | Median (D50) [µm] | Median Tolerance| [µm] | Upper Limit (D99) [µm] |
|---|---|---|---|---|---|
| MDP125 | HPHT | MSY0-0.25 | 0.125 | 0.105–0.145 | 0.33 |
| MDP1000 | HPHT | MSY0.75-1.25 | 1.00 | 0.95–1.05 | 1.70 |
| Sample | PLLA Content [wt%] | MSY0-0.25 Content [wt%] | MSY0.75-1.25 Content [wt%] |
|---|---|---|---|
| PLLA | 100 | 0 | 0 |
| PLLA/MDP125-5 | 95 | 5 | 0 |
| PLLA/MDP125-10 | 90 | 10 | 0 |
| PLLA/MDP125-15 | 85 | 15 | 0 |
| PLLA/MDP125-50 | 50 | 50 | 0 |
| PLLA/MDP125-75 | 25 | 75 | 0 |
| PLLA/MDP1000-5 | 95 | 0 | 5 |
| PLLA/MDP1000- 10 | 90 | 0 | 10 |
| PLLA/MDP1000-15 | 85 | 0 | 15 |
| PLLA/MDP1000-50 | 50 | 0 | 50 |
| PLLA/MDP1000-75 | 25 | 0 | 75 |
Disclaimer/Publisher’s Note: The statements, opinions and data contained in all publications are solely those of the individual author(s) and contributor(s) and not of MDPI and/or the editor(s). MDPI and/or the editor(s) disclaim responsibility for any injury to people or property resulting from any ideas, methods, instructions or products referred to in the content. |
© 2025 by the authors. Licensee MDPI, Basel, Switzerland. This article is an open access article distributed under the terms and conditions of the Creative Commons Attribution (CC BY) license (https://creativecommons.org/licenses/by/4.0/).
Share and Cite
Ficek, M.; Skiba, F.; Gnyba, M.; Strugała, G.; Ferneza, D.; Seramak, T.; Szustakiewicz, K.; Bogdanowicz, R. Engineered Porosity in Microcrystalline Diamond-Reinforced PLLA Composites: Effects of Particle Concentration on Thermal and Structural Properties. Materials 2025, 18, 4606. https://doi.org/10.3390/ma18194606
Ficek M, Skiba F, Gnyba M, Strugała G, Ferneza D, Seramak T, Szustakiewicz K, Bogdanowicz R. Engineered Porosity in Microcrystalline Diamond-Reinforced PLLA Composites: Effects of Particle Concentration on Thermal and Structural Properties. Materials. 2025; 18(19):4606. https://doi.org/10.3390/ma18194606
Chicago/Turabian StyleFicek, Mateusz, Franciszek Skiba, Marcin Gnyba, Gabriel Strugała, Dominika Ferneza, Tomasz Seramak, Konrad Szustakiewicz, and Robert Bogdanowicz. 2025. "Engineered Porosity in Microcrystalline Diamond-Reinforced PLLA Composites: Effects of Particle Concentration on Thermal and Structural Properties" Materials 18, no. 19: 4606. https://doi.org/10.3390/ma18194606
APA StyleFicek, M., Skiba, F., Gnyba, M., Strugała, G., Ferneza, D., Seramak, T., Szustakiewicz, K., & Bogdanowicz, R. (2025). Engineered Porosity in Microcrystalline Diamond-Reinforced PLLA Composites: Effects of Particle Concentration on Thermal and Structural Properties. Materials, 18(19), 4606. https://doi.org/10.3390/ma18194606

