Sign in to use this feature.

Years

Between: -

Subjects

remove_circle_outline
remove_circle_outline
remove_circle_outline
remove_circle_outline
remove_circle_outline
remove_circle_outline
remove_circle_outline
remove_circle_outline
remove_circle_outline

Journals

remove_circle_outline
remove_circle_outline
remove_circle_outline
remove_circle_outline
remove_circle_outline
remove_circle_outline
remove_circle_outline
remove_circle_outline

Article Types

Countries / Regions

remove_circle_outline
remove_circle_outline
remove_circle_outline
remove_circle_outline

Search Results (578)

Search Parameters:
Keywords = pipe scale

Order results
Result details
Results per page
Select all
Export citation of selected articles as:
19 pages, 3659 KB  
Article
The Effect of Sewer-Derived Airflows on Air Pressure Dynamics in Building Drainage Systems
by Khanda Sharif and Michael Gormley
Buildings 2026, 16(2), 256; https://doi.org/10.3390/buildings16020256 - 7 Jan 2026
Viewed by 114
Abstract
The performance of a building drainage system, “BDS”, is determined by the complexity of internal airflow and pressure dynamics, governed by unsteady wastewater flows from randomly discharging appliances such as WCs, sinks, and baths. Designers attempt to optimise system safety by equalising pressure [...] Read more.
The performance of a building drainage system, “BDS”, is determined by the complexity of internal airflow and pressure dynamics, governed by unsteady wastewater flows from randomly discharging appliances such as WCs, sinks, and baths. Designers attempt to optimise system safety by equalising pressure and incorporating ventilation pipes and active devices such as AAVs and positive pressure reduction devices (PPRDs). However, failures within these systems can lead to foul gases and potentially hazardous microbes entering habitable spaces and posing a risk to public health. This study, for the first time, develops a novel model that simulates the effect of air from the sewer on BDS performance, which describes the correlation between system airflow and air pressure under the influence of air from the sewer. A combination of full-scale laboratory experiments representing a 3-storey building and real-world data from a 32-storey test rig configured as a building demonstrated that sewer air significantly modifies airflow and air pressure within a BDS. These findings are crucial for modern urban environments, where the prevalence of tall buildings amplifies the risks associated with air pressure transients. This work paves the way for updating codes to more effectively address real-world challenges. Full article
(This article belongs to the Section Building Energy, Physics, Environment, and Systems)
Show Figures

Figure 1

19 pages, 7095 KB  
Review
Experimental Research Progress on Gas–Liquid Flow and Heat Transfer Characteristics in Micro Pulsating Heat Pipes
by Jun Chen, Hao Tian, Wanli Xu, Huangdong Guo, Chao Wang, Jincheng Gu and Yichao Cao
Micromachines 2026, 17(1), 37; https://doi.org/10.3390/mi17010037 - 29 Dec 2025
Viewed by 311
Abstract
As the power density of microelectronic devices and components continues to increase, thermal management has become a critical bottleneck limiting their performance and reliability. With its advantages of effective heat dissipation, no need for external power, and good safety, the micro pulsating heat [...] Read more.
As the power density of microelectronic devices and components continues to increase, thermal management has become a critical bottleneck limiting their performance and reliability. With its advantages of effective heat dissipation, no need for external power, and good safety, the micro pulsating heat pipe (MPHP) exhibits unique application advantages and enormous development potential when compared to other cutting-edge thermal management solutions, such as embedded microchannel cooling technology, which has complicated manufacturing processes and is prone to leakage, or thermoelectric material cooling technology, which is limited by material efficiency and self-heating. However, a pulsating heat pipe (PHP) is vulnerable to the combined impacts of several elements (scale effects, wall effects, and interfacial effects) at the micro-scale, which can lead to highly variable heat transfer characteristics and complex two-phase flow behavior. There are still few thorough experimental reviews on this subject, despite the fact that many researchers have concentrated on the MPHP and carried out in-depth experimental investigations on their flow and heat transmission mechanisms. In order to provide strong theoretical support for optimizing the design of the MPHP cooling devices, this paper reviews previous experimental research on the MPHP with the goal of thoroughly clarifying the mechanisms of gas–liquid two-phase flow and heat/mass transfer within them. The definition of MPHP is first explained, along with its internal energy transmission principles and structural features. The motion states of gas–liquid two-phase working fluids in the MPHP from previous experimental investigations are then thoroughly examined, highlighting their distinctive flow patterns and evolution mechanisms. Lastly, the variations in thermal performance between different kinds of MPHPs are examined, along with the factors that affect them. Full article
Show Figures

Figure 1

23 pages, 6286 KB  
Article
Partially Averaged Navier–Stokes k-ω Modeling of Thermal Mixing in T-Junctions
by Ashhar Bilal, Puzhen Gao, Muhammad Irfan Khalid, Abid Hussain and Ali Mansoor
J. Nucl. Eng. 2026, 7(1), 2; https://doi.org/10.3390/jne7010002 - 24 Dec 2025
Viewed by 257
Abstract
The temperature fluctuations due to the mixing of two streams in a T-junction induce thermal stresses in the piping material, resulting in a pipe failure in Nuclear Power Plants. The numerical modeling of the thermal mixing in T-junctions is a challenging task in [...] Read more.
The temperature fluctuations due to the mixing of two streams in a T-junction induce thermal stresses in the piping material, resulting in a pipe failure in Nuclear Power Plants. The numerical modeling of the thermal mixing in T-junctions is a challenging task in computational fluid dynamics (CFD) as it requires advanced turbulence modeling with scale-resolving capabilities for accurate prediction of the temperature fluctuations near the wall. One approach to address this challenge is using Partially Averaged Navier–Stokes modeling (PANS), which can capture the unresolved turbulent scales more accurately than traditional Reynolds-Averaged Navier–Stokes models. PANS modeling with k-ε closure gives encouraging results in the case of the Vattenfall T-junction benchmark case. In this study, PANS k-ω closure modeling is implemented for the WATLON T-junction Benchmark case. The momentum ratio (MR) for two inlet streams is 8.14, which is a wall jet case. The time-averaged and root mean square velocity and temperature profiles are compared with the PANS k-ε and LES results and with experimental data. The velocity and temperature field results for PANS k-ω are close to the experimental data as compared to the PANS k-ε for a given filter control parameter fk. Full article
Show Figures

Figure 1

33 pages, 1816 KB  
Review
Microplastic Pollution in the Environment: A Chemical Engineering Perspective on Sources, Fate, and Mitigation Strategies
by Mahmoud Allawy Mohsin and Ahmed Hayder Abd zaid
Polymers 2026, 18(1), 29; https://doi.org/10.3390/polym18010029 - 23 Dec 2025
Viewed by 688
Abstract
Microplastic pollution is a defining environmental crisis of the Anthropocene, threatening ecosystems and human health due to its persistence and global dispersion. This review synthesizes current knowledge through a chemical engineering framework, analyzing the contaminant’s lifecycle from formation and environmental fate to detection [...] Read more.
Microplastic pollution is a defining environmental crisis of the Anthropocene, threatening ecosystems and human health due to its persistence and global dispersion. This review synthesizes current knowledge through a chemical engineering framework, analyzing the contaminant’s lifecycle from formation and environmental fate to detection and removal. We systematically evaluate conventional and advanced mitigation technologies, highlighting the potential of engineered adsorbents (e.g., functionalized sponges, biochar) for targeted capture while underscoring the limitations of current wastewater treatment for nano-plastics. The analysis extends beyond end-of-pipe solutions to underscore the imperative for sustainable polymer design and circular economy systems, where biodegradable polymers and chemical recycling must be integrated. Crucially, we identify techno-economic analysis (TEA) and life-cycle assessment (LCA) as essential, yet underdeveloped, tools for quantifying the true cost and sustainability of management strategies. The synthesis concludes that addressing microplastic pollution requires the integrated application of chemical engineering principles across molecular, process, and system scales, and it identifies key research priorities in advanced material design, standardized analytics, hybrid treatment processes, and comprehensive impact modeling. Full article
(This article belongs to the Section Polymer Chemistry)
Show Figures

Figure 1

17 pages, 7095 KB  
Article
Optimizing Vent Pipe Configurations in Dual-Riser Drainage Systems for Healthier Indoor Environments
by Qiaolan Sun, Shan Li, Deming Liu and Huijun Mao
Buildings 2025, 15(24), 4522; https://doi.org/10.3390/buildings15244522 - 15 Dec 2025
Viewed by 337
Abstract
Building drainage systems are essential for protecting occupant health and indoor air quality. While recent studies have focused on high-rise drainage dynamics and riser offset mitigation, ventilation components—particularly appliance vent pipes—remain underexplored. This study employed a full-scale proportional drainage experimental tower to assess [...] Read more.
Building drainage systems are essential for protecting occupant health and indoor air quality. While recent studies have focused on high-rise drainage dynamics and riser offset mitigation, ventilation components—particularly appliance vent pipes—remain underexplored. This study employed a full-scale proportional drainage experimental tower to assess appliance vent pipes on horizontal branches as a strategy for water seal protection in dual-riser systems. Maximum drainage capacities were quantified under varying pipe positions and diameters (DN50, DN75, DN100), alongside analyses of pressure transients and water seal losses. Results indicate that appliance vent pipes increase maximum drainage capacity from 6.5 L/s (baseline cast iron dual-riser) to 7.5 L/s, a 1.0 L/s gain, though improvements are modest. Position does not affect capacity (uniformly 7.5 L/s across configurations) but profoundly influences water seal losses: P-type trap placement yields the lowest losses on most floors, combined P-type trap/floor drain placement achieves intermediate values, and floor drain placement the highest. Thus, the P-type trap is optimal. Diameter similarly has no impact on capacity but shows nuanced effects on seals; DN75 minimizes losses on most floors, outperforming DN50 and DN100, indicating that appliance vent pipe design should adopt a height-zoned approach tailored to anticipated drainage loads and pressure characteristics. Appliance vent pipes effectively dampen positive/negative pressure fluctuations, reducing seal depletion and sewer gas risks. These findings guide engineering designs for healthier indoor environments in high-rise buildings. Full article
(This article belongs to the Section Building Energy, Physics, Environment, and Systems)
Show Figures

Figure 1

17 pages, 4365 KB  
Article
Comparative Study on the Passivation Effect of Potato Peel and Pig Manure-Based Biochar Prepared by Cyclic Catalytic Pyrolysis on Cd and Pb in Soil: An Experimental Study in a Ring Pipe
by Qiushi Zheng, Wenjing Shi, Ran Tu, Yuquan Tian, Huanyu Wang, Yue Zhao, Jingyu Shen, Can Wang, Guoxin Lan and Yan Wu
Processes 2025, 13(12), 4029; https://doi.org/10.3390/pr13124029 - 12 Dec 2025
Viewed by 294
Abstract
This study innovatively combines the cyclic catalytic pyrolysis system (CCPS) with a circular pipe device, using biochar from potato peels (PP) and pig manure (PM) to passivate Cd and Pb in the soil, and explores the influencing mechanisms via multiple methods. Results showed [...] Read more.
This study innovatively combines the cyclic catalytic pyrolysis system (CCPS) with a circular pipe device, using biochar from potato peels (PP) and pig manure (PM) to passivate Cd and Pb in the soil, and explores the influencing mechanisms via multiple methods. Results showed that in aqueous adsorption, biochar from the CCPS performed better, with the potato peel-based biochar produced via the cyclic catalytic pyrolysis system (PPB-2) achieving 100% removal of Cd2+ and Pb2+ within 100–270 min. In the soil remediation experiment using a ring pipe setup, pig manure-based biochar produced via the cyclic catalytic pyrolysis system (PMB-2) exhibited superior performance, reducing Cd concentration from 22.36 mg/kg to 11.21 mg/kg (49.87% removal) and Pb concentration from 718.28 mg/kg to 400.09 mg/kg (44.3% removal) after 40 days. This confirms that the PM-derived biochar prepared by CCPS is more suitable for the remediation of cadmium- and lead-contaminated soils, providing a reference for research on soil heavy metal passivation. Notably, the raw materials (PP and PM) are low-cost, locally abundant agricultural wastes, enabling resource recycling and lowering large-scale application costs. The ring pipe encapsulation further simplifies operational procedures for practical promotion while avoiding direct biochar–soil contact and mitigating secondary pollution risks. Full article
Show Figures

Figure 1

22 pages, 2653 KB  
Article
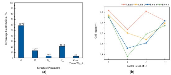
Analysis of Structural Parameters’ Influence on Separation Performance in a Gas–Liquid Cyclone Separator
by Dongjing Chen, Jin Zhang, Xiao Li, Ruiqi Lv, Ying Li, Xiangdong Kong, Tianliang Lin and Shengrong Wang
Processes 2025, 13(12), 4021; https://doi.org/10.3390/pr13124021 - 12 Dec 2025
Viewed by 480
Abstract
Hydraulic systems are widely used in industry, and gas contamination of hydraulic oil reduces reliability. This study quantifies how the primary geometry of a gas–liquid cyclone separator affects separation performance and proposes an optimal parameter matching scheme. An orthogonal design, combined with numerical [...] Read more.
Hydraulic systems are widely used in industry, and gas contamination of hydraulic oil reduces reliability. This study quantifies how the primary geometry of a gas–liquid cyclone separator affects separation performance and proposes an optimal parameter matching scheme. An orthogonal design, combined with numerical simulations and visualization experiments, evaluated five factors: chamber diameter D, chamber height H, overflow pipe diameter Don, insertion depth of the overflow pipe Hon, and underflow orifice diameter Ddown. Considering mixture entrainment, three metrics were used: direct separation efficiency α, split ratio β, and the actual separation efficiency γ, defined as the product of α and β. Range analysis and variance analysis show that β is governed by outlet sizing, with Don contributing 56.87% and Ddown contributing 39.26%. γ is dominated by body scale parameters, with D contributing 58.79%, Hon contributing 21.18%, and H contributing 13.27%. The optimized geometry achieves γ of about 80.8%. Experiments confirm consistent trends from 0.5% to 8% gas volume fraction, with separation generally above 77% and simulation-to-experiment differences below 20% when the gas fraction exceeds 1%. Full article
(This article belongs to the Section Separation Processes)
Show Figures

Figure 1

21 pages, 2627 KB  
Article
Determination of the Water Outflow Zone on the Ground Surface After a Pipe Failure Using Fractal Geometry
by Małgorzata Iwanek and Paweł Suchorab
Sustainability 2025, 17(24), 11093; https://doi.org/10.3390/su172411093 - 11 Dec 2025
Viewed by 168
Abstract
Uncontrolled water outflows from water supply pipes can pose a serious threat to human safety and infrastructure due to the washing out of soil particles and the formation of subsurface voids, leading to soil subsidence (suffosion). One way to mitigate these hazards is [...] Read more.
Uncontrolled water outflows from water supply pipes can pose a serious threat to human safety and infrastructure due to the washing out of soil particles and the formation of subsurface voids, leading to soil subsidence (suffosion). One way to mitigate these hazards is by determining water outflow zones (WOZ) around underground pipes, within which water may emerge on the soil surface. This paper presents the final stage of a broader study on the use of fractal geometry for determining WOZ. Suffosion hole locations form point structures that exhibit features of probabilistic fractals, and their parameters depend on the number of points in the structure. The objectives of the study were: (1) to determine the minimum number of points required for a structure to be considered representative; (2) to establish a relationship for calculating the WOZ radius; and (3) to empirically verify the theoretical WOZ radius values. Representative structures were identified and used to calculate the Rfr parameter, which, after scaling to real conditions, enabled determination of the WOZ radius, ranging from 3.5 to 5.5 m. Empirical verification confirmed the method’s validity, as theoretical zones covered up to 100% of actual outflow points (96% overall). The developed method can be applied into decision-support systems for sustainable infrastructure planning, and more efficient use of water resources. Full article
Show Figures

Figure 1

22 pages, 3278 KB  
Article
A Cloud Model-Based Framework for a Multi-Scale Seismic Robustness Evaluation of Water Supply Networks
by Pingyuan Liu, Juan Zhang, Keying Li, Xueliang Tang and Guofeng Du
Sustainability 2025, 17(24), 11081; https://doi.org/10.3390/su172411081 - 10 Dec 2025
Viewed by 237
Abstract
This study proposed a cloud model-based framework for assessing the seismic robust-ness of water supply networks (WSN). A multi-scale robustness indicator system was developed, which considers physical-layer attributes (pipe material, length), topological-layer graph characteristics (node degree), and functional-layer hydraulic metrics (water supply adequacy [...] Read more.
This study proposed a cloud model-based framework for assessing the seismic robust-ness of water supply networks (WSN). A multi-scale robustness indicator system was developed, which considers physical-layer attributes (pipe material, length), topological-layer graph characteristics (node degree), and functional-layer hydraulic metrics (water supply adequacy rate). The cloud-probability density evolution method was employed to address parameter uncertainties, while Monte Carlo simulation was used to integrate these three indicators through the cloud composite weighting method to analyze the robustness qualitatively and quantitatively. The proposed method utilizes a forward cloud generator to generate the robustness distribution clouds for both net-work nodes and community-level systems, and its robustness level can be classified according to the standard cloud. A case study demonstrated the practical application of this assessment approach. The presented methodology for evaluating WSN robustness during seismic events provides critical insights for developing disaster prevention plans, formulating emergency response strategies, and implementing targeted seismic reinforcement measures. The integration of cloud theory with probabilistic assessment offers a novel paradigm for infrastructure resilience evaluation under uncertainty. Full article
Show Figures

Figure 1

19 pages, 9510 KB  
Article
Thermal Management Performance of Phase Change Material Coupled with Heat Pipe for Photovoltaic Modules: Experimental Exploration
by Liang Tang, Rumei Yang, Peixian Zuo, Ziyu Leng, Xuanxun Zhou, Jinwei Li and Xiaoling Cao
Energies 2025, 18(23), 6349; https://doi.org/10.3390/en18236349 - 3 Dec 2025
Viewed by 452
Abstract
Solar photovoltaic (PV) power generation has become an important source of global renewable energy. The photoelectric conversion efficiency of crystalline silicon PV modules decreases as their surface temperature rises, while excessively high operating temperatures can also affect their service life. Therefore, reducing the [...] Read more.
Solar photovoltaic (PV) power generation has become an important source of global renewable energy. The photoelectric conversion efficiency of crystalline silicon PV modules decreases as their surface temperature rises, while excessively high operating temperatures can also affect their service life. Therefore, reducing the temperature of photovoltaic modules is one of the effective methods of enhancing their photoelectric conversion efficiency. Passive thermal management methods, such as the use of phase change materials (PCM) and heat pipes (HP), can be used to control the temperature of PV modules, but they manifest the problems of poor thermal conductivity and low heat transfer efficiency at low heat flux density, respectively. On the other hand, previous experimental studies have mostly focused on small-scale non-standard PV cell modules, without considering encapsulation and installation issues in practical applications. Meanwhile, passive cooling technology exhibits strong regional characteristics, with significant variations in temperature control and energy efficiency improvements under different climatic conditions. To address these issues, this paper proposes a novel PV module temperature control unit that couples PCM and HP. Standard commercial PV cell modules are used as experimental subjects, and tests are conducted in four different regions of China to study the adaptability and effectiveness of the coupled PCM and HP control method. The experimental results show that the power generation pattern of PV modules is consistent with the variation in solar radiation intensity. When the operating temperature of the PV module is below 40 °C, the high thermal conductivity of the heat pipe plays a dominant role in dissipating heat. When the operating temperature of PV rises above 40 °C, the phase change material begins to play a role in heat storage and temperature control. Compared to using PCM alone for temperature control, the coupled method further enhances the cooling effect, preventing a sharp temperature increase after the PCM has completely melted, and increases the power generation of PV by 4–5%. The temperature control effect of the PV module is influenced by local ambient temperature and wind speed. The coupled temperature control method exerts a relatively low improvement effect under high-temperature and low-radiation environmental conditions, but it performs better when used under low-temperature and high-radiation environmental conditions. Full article
(This article belongs to the Section A2: Solar Energy and Photovoltaic Systems)
Show Figures

Figure 1

25 pages, 6189 KB  
Article
Pipeline Leakage Identification Based on Acoustic Sensors and EPSO-1D-CNN-Bi-LSTM Model
by Niannian Wang, Kuankuan Zhang, Xingyi Wang, Bigang Peng and Shuwei Zhai
Sensors 2025, 25(23), 7355; https://doi.org/10.3390/s25237355 - 3 Dec 2025
Viewed by 622
Abstract
Water supply pipe systems are typically buried in the ground, leakage has always been a significant problem for urban water supply systems. Although leakage detection can be performed using in-pipe inspection devices with hydrophone modules, the accuracy is low and depends on staff [...] Read more.
Water supply pipe systems are typically buried in the ground, leakage has always been a significant problem for urban water supply systems. Although leakage detection can be performed using in-pipe inspection devices with hydrophone modules, the accuracy is low and depends on staff experience, and long-term work can harm health. Therefore, leakage detection and classification of various leakage levels are crucial for pipelines. This study presents a one-dimensional convolutional neural network and bidirectional long short-term memory network fusion model (1D-CNN-Bi-LSTM) for leakage detection, with enhanced particle swarm optimization (EPSO) algorithm optimized hyperparameters and multi-feature fusion for data enhancement. Ablation experiments show the key roles of EPSO and Bi-LSTM modules, and full-scale experiments confirm the method’s effectiveness. Compared to other models, this one reaches 98.33% in both leakage detection and severity classification accuracy, with strong anti-noise ability and stable recognition. In conclusion, the proposed method reduces reliance on in pipe devices, offering a more accurate and effective solution for pipeline leakage detection and severity assessment. Full article
(This article belongs to the Section Sensor Networks)
Show Figures

Figure 1

30 pages, 16292 KB  
Article
Seawater Flow-Freezing Characteristics in Open Container Injection Under Low-Temperature Conditions
by Yuhao Fan, Bei Peng, Puyu Jiang, Jiahui Ren, Yuesen Lin, Longlong Gao and Baoren Li
J. Mar. Sci. Eng. 2025, 13(12), 2289; https://doi.org/10.3390/jmse13122289 - 1 Dec 2025
Viewed by 277
Abstract
The phenomenon of seawater flow-freezing exists during ballast water injection and drainage in polar vessels, but the heat transfer and ice evolution behaviors under low-temperature flow conditions remain unclear. This study developed a computational model for ballast tank freezing using the volume of [...] Read more.
The phenomenon of seawater flow-freezing exists during ballast water injection and drainage in polar vessels, but the heat transfer and ice evolution behaviors under low-temperature flow conditions remain unclear. This study developed a computational model for ballast tank freezing using the volume of fluid (VOF) and enthalpy–porosity method, and constructed a scaled experimental platform for the simulation model validation. Based on this model, the flow-heat transfer and ice evolution process in the ballast tank are analyzed in detail, with a focus on the influence of injection velocity, pipe diameter, and position on seawater freezing characteristics. The results show that during low-temperature water injection, phase change occurs preferentially in the tank bottom region, with ice presenting as a slurry morphology; when injection velocity increases from 0.25 m/s to 3.5 m/s, the maximum ice-phase volume fraction increases by 48.9%, indicating faster flow accelerates phase-change freezing; compared to other diameters, DN150 piping exhibits the highest turbulent kinetic energy (0.054 m2/s2) and the maximum shear stress (12.49 Pa), demonstrating optimal freezing resistance; compared to bottom injection, sidewall injection intensifies heat transfer/icing near tank walls and increases ice-clogging risk around ports. This study reveals intrinsic mechanisms of dynamic ice-blockage evolution, providing theoretical basis for anti-clogging design in polar ship systems. Full article
(This article belongs to the Section Ocean Engineering)
Show Figures

Figure 1

19 pages, 5720 KB  
Article
Transient Simulation and Analysis of Runaway Conditions in Pumped Storage Power Station Turbines Using 1D–3D Coupling
by Xiaowen Yang, Zhicheng Zhang, Chenyang Hang, Kechengqi Ding, Yuxi Du, Dian Sun and Chunxia Yang
Fluids 2025, 10(12), 318; https://doi.org/10.3390/fluids10120318 - 1 Dec 2025
Viewed by 303
Abstract
Pumped-storage power plants play a vital role in power systems by providing peak load regulation, frequency control, and phase modulation services. The safety and stability of these plants critically depend on understanding transient processes during frequent unit start–stop cycles and operational transitions. This [...] Read more.
Pumped-storage power plants play a vital role in power systems by providing peak load regulation, frequency control, and phase modulation services. The safety and stability of these plants critically depend on understanding transient processes during frequent unit start–stop cycles and operational transitions. This study employs 1D–3D coupled numerical simulations to investigate a pump–turbine unit’s external characteristics, pressure pulsations, and internal flow dynamics under turbine runaway conditions. At the runaway rotational speed of 650.9 r/min, large-scale vortices with intensities exceeding 500 s−1 form at the inlet of specific runner blade passages, severely obstructing flow. Concurrently, the tailwater pipe vortex structure transitions from a central spiral pattern to a wall-attached configuration. The concurrent occurrence of these phenomena induces abrupt runner force variations and significant pressure pulsations, primarily comprising high-frequency high-amplitude pulsations at 1× and 2× blade frequency attributable to runner dynamic-static interference; broad-spectrum high-amplitude pulsations resulting from operational transitions; and low-frequency high-amplitude pulsations induced by the tailwater pipe vortex belt. Full article
Show Figures

Figure 1

33 pages, 3316 KB  
Article
An Integrated GPR B-Scan Preprocessing Model Based on Image Enhancement for Detecting Subsurface Pipes
by Zhengyi Shi, Fanruo Li, Hanchao Ma, Hong Huang, Le Wu and Maohua Zhong
Sensors 2025, 25(23), 7202; https://doi.org/10.3390/s25237202 - 25 Nov 2025
Viewed by 482
Abstract
Ground-penetrating radar (GPR) has been proven effective for detecting subsurface pipes in a nondestructive way, typically with manual processing and decision-making. However, existing automatic models for segmenting the target hyperbolas often lack generalization across different pipe radii, varying subsurface media, and complex field [...] Read more.
Ground-penetrating radar (GPR) has been proven effective for detecting subsurface pipes in a nondestructive way, typically with manual processing and decision-making. However, existing automatic models for segmenting the target hyperbolas often lack generalization across different pipe radii, varying subsurface media, and complex field conditions. This is especially reflected in B-scans with diverse or small-scale hyperbolas, often accompanied by cluttered and irregular noise. In this paper, an automatic preprocessing model is proposed to enhance the interpretation of B-scans under challenging conditions. The model includes a ground reflection removal algorithm (GRRA), the data gravitational force enhancement (DGFE) method, and a global–local thresholding technique consisting of dilation-based local thresholding and segmentation (DLTS). First, a frequency-domain filter based on the fast Fourier transform and a spatial filter are applied to the raw B-scan to remove obstructive ground reflection strips. Owing to the minimal intensity differences among the target hyperbola, multiples, and background, the DGFE approach is introduced to amplify the main body of the hyperbola, distinguishing it from the noise. Finally, the target hyperbola is extracted from the grayscale image by an integrated thresholding approach. The approach initially employs global thresholding to eliminate all information except for part of the hyperbola, followed by DLTS, which uses a dilation operation with local thresholding to fully segment the hyperbola. The proposed model is evaluated on two distinct datasets and compared with several state-of-the-art methods. The results demonstrate its effectiveness, particularly in terms of cross-dataset generalization. Full article
Show Figures

Figure 1

22 pages, 8469 KB  
Article
Virtual Trainer for Learning Mexican Sign Language Using Video Similarity Analysis
by Felipe de Jesús Rivera-Cervantes, Diana-Margarita Córdova-Esparza, Juan Terven, Julio-Alejandro Romero-González, Jaime-Rodrigo González-Rodríguez, Mauricio-Arturo Ibarra-Corona and Pedro-Alfonso Ramírez-Pedraza
Technologies 2025, 13(12), 540; https://doi.org/10.3390/technologies13120540 - 21 Nov 2025
Viewed by 548
Abstract
Learning Mexican Sign Language (MSL) benefits from interactive systems that provide immediate feedback without requiring specialized sensors. This work presents a virtual training platform that operates with a conventional RGB camera and applies computer vision techniques to guide learners in real time. A [...] Read more.
Learning Mexican Sign Language (MSL) benefits from interactive systems that provide immediate feedback without requiring specialized sensors. This work presents a virtual training platform that operates with a conventional RGB camera and applies computer vision techniques to guide learners in real time. A dataset of 335 videos was recorded across 12 lessons with professional interpreters and used as the reference material for practice sessions. From each video, 48 keypoints corresponding to hands and facial landmarks were extracted using MediaPipe, normalized, and compared with user trajectories through Dynamic Time Warping (DTW). A sign is accepted when the DTW distance is below a similarity threshold, allowing users to receive quantitative feedback on performance. Additionally, an experimental baseline using video embeddings generated by the Qwen2.5-VL, VideoMAEv2, and VJEPA2 models and classified via Matching Networks was evaluated for scalability. Results show that the DTW-based module provides accurate and interpretable feedback for guided practice with minimal computational cost, while the embedding-based approach serves as an exploratory baseline for larger-scale classification and semi-automatic labeling. A user study with 33 participants evidenced feasibility and perceived usefulness (all category means significantly above neutral; Cronbach’s α=0.81). Overall, the proposed framework offers an accessible, low-cost, and effective solution for inclusive MSL education and represents a promising foundation for future multimodal sign-language learning tools. Full article
Show Figures

Figure 1

Back to TopTop