Sign in to use this feature.

Years

Between: -

Subjects

remove_circle_outline
remove_circle_outline
remove_circle_outline
remove_circle_outline
remove_circle_outline
remove_circle_outline
remove_circle_outline
remove_circle_outline
remove_circle_outline

Journals

remove_circle_outline
remove_circle_outline
remove_circle_outline
remove_circle_outline
remove_circle_outline
remove_circle_outline
remove_circle_outline
remove_circle_outline
remove_circle_outline
remove_circle_outline
remove_circle_outline

Article Types

Countries / Regions

remove_circle_outline
remove_circle_outline
remove_circle_outline
remove_circle_outline
remove_circle_outline

Search Results (404)

Search Parameters:
Keywords = physico-chemical water variables

Order results
Result details
Results per page
Select all
Export citation of selected articles as:
25 pages, 395 KB  
Review
Low-Cost Adsorbents for Water Treatment: A Sustainable Alternative for Pollutant Removal
by Leticia Nishi, Anna Carla Ribeiro, Carolina Moser Paraíso, Diana Aline Gomes Cusioli, Laiza Bergamasco Beltran, Luís Fernando Cusioli and Rosângela Bergamasco
Processes 2025, 13(12), 4088; https://doi.org/10.3390/pr13124088 - 18 Dec 2025
Viewed by 99
Abstract
This review addresses the potential of low-cost adsorbents (LCAds) derived from agro-industrial and marine residues as sustainable alternatives for water purification. Although raw biomass offers economic advantages, its application is often limited by low surface area and reactivity. Consequently, this paper examined physicochemical [...] Read more.
This review addresses the potential of low-cost adsorbents (LCAds) derived from agro-industrial and marine residues as sustainable alternatives for water purification. Although raw biomass offers economic advantages, its application is often limited by low surface area and reactivity. Consequently, this paper examined physicochemical modifications—such as pyrolysis, acid/alkali activation, and surface grafting—that enhance adsorptive properties. The superior performance of these modified materials in removing heavy metals, dyes, pesticides, and pharmaceuticals is highlighted. Furthermore, the transition from laboratory scale to industrial application faces key hurdles, such as biomass variability, reactor engineering, and regulatory gaps. Finally, future perspectives are presented, focusing on the integration of LCAds into hybrid treatment systems and their pivotal role in the circular economy for decentralized water management. Full article
(This article belongs to the Special Issue Natural Low-Cost Adsorbents in Water Purification Processes)
23 pages, 783 KB  
Review
Biochar as a Bridge Between Biomass Energy Technologies and Sustainable Agriculture: Opportunities, Challenges, and Future Directions
by Juan F. Saldarriaga and Julián E. López
Sustainability 2025, 17(24), 11285; https://doi.org/10.3390/su172411285 - 16 Dec 2025
Viewed by 200
Abstract
Biochar has gained significant attention as a multifunctional material linking biomass energy technologies with sustainable agriculture, providing combined benefits in soil improvement, waste valorization, and climate mitigation. This review examines biochar within the context of thermochemical conversion processes—pyrolysis, gasification, and torrefaction—and summarizes the [...] Read more.
Biochar has gained significant attention as a multifunctional material linking biomass energy technologies with sustainable agriculture, providing combined benefits in soil improvement, waste valorization, and climate mitigation. This review examines biochar within the context of thermochemical conversion processes—pyrolysis, gasification, and torrefaction—and summarizes the operational parameters that influence both energy yields and biochar quality. It synthesizes agronomic, environmental, and engineering research to explain the mechanisms through which biochar enhances soil structure, nutrient retention, water availability, microbial activity, and carbon stability. The review also assesses its role as a long-term carbon sink and its potential integration into negative-emission systems such as bioenergy with carbon capture and storage (BECCS). However, the way that biomass conversion factors concurrently influence energy performance, biochar physicochemical quality, and its agronomic and climate-mitigation consequences across many environmental contexts is rarely integrated into a unified analytical framework in current evaluations. To close that gap, this review identifies cross-cutting patterns, trade-offs, and uncertainties while methodically integrating the information on the co-behavior of various aspects. Circular economy initiatives, carbon markets, and rural development are mentioned as key potential. On the other hand, economic variability, variable performance across soil types, lack of regulatory harmonization, rivalry for biomass, and logistical limits are big hurdles. Standardized production techniques, long-term field research, life cycle and techno-economic evaluations, and integrated system design are among the top research priorities. Overall, the evidence suggests that biochar is a promising tool for creating resilient and low-carbon agriculture and energy systems, provided that scientific, technological, and governance advancements are coordinated. Full article
Show Figures

Figure 1

16 pages, 1139 KB  
Article
Study on the Bioavailability of Arsenic in the Rice–Crayfish Farming System
by Kelei Zhang, Shoudong Zhang, Longjun Deng, Tiancai Li, Li Liu, Wei Luo, Yibo Zhang, Yongyao Guo, Dan Liu, Shiyong Yang, Jun Wang, Dongjie Wang and Zongjun Du
Fishes 2025, 10(12), 645; https://doi.org/10.3390/fishes10120645 - 15 Dec 2025
Viewed by 134
Abstract
Rice–fishery integrated farming has expanded rapidly in China, yet its implications for arsenic (As) accumulation remain insufficiently understood. This study evaluated As bioavailability and enrichment in a rice–crayfish farming system (RCFS) by establishing controlled field plots with soil As concentrations ranging from 5 [...] Read more.
Rice–fishery integrated farming has expanded rapidly in China, yet its implications for arsenic (As) accumulation remain insufficiently understood. This study evaluated As bioavailability and enrichment in a rice–crayfish farming system (RCFS) by establishing controlled field plots with soil As concentrations ranging from 5 to 40 mg/kg under three water-management regimes: alternating wetting and drying (AWD), continuously flooded (CF), and RCFS. Soil–water physicochemical variables and As accumulation in both rice organs and crayfish tissues were systematically analyzed, followed by human health risk assessment. Inorganic As in brown rice increased linearly with soil As, following Y = 0.0117X + 0.0598 (R2 = 0.96), and the estimated soil safety thresholds were 26.48 mg/kg for AWD, 11.98 mg/kg for RCFS, and 9.24 mg/kg for CF. AWD consistently exhibited the lowest As risk due to its ability to elevate soil Eh and maintain a more favorable pH, thereby suppressing As mobilization. Compared with CF, RCFS reduced As bioavailability through crayfish-induced bioturbation, which increased Eh, enhanced SOM and CEC, and improved soil aeration. As accumulation in crayfish tissues also rose with soil As, with abdominal muscle As fitting Y = 0.0085X + 0.0553 (R2 = 0.8588). Although abdominal muscle met safety limits, the hepatopancreas accumulated substantially higher As and exceeded carcinogenic risk thresholds, even at 5 mg/kg of soil As, indicating a potential health concern for consumers. This work elucidates As dynamics and enrichment mechanisms in RCFS, providing guidance for safer rice–crayfish production in As-impacted areas. Full article
(This article belongs to the Special Issue Advances in Integrated Rice-Fish Farming)
Show Figures

Figure 1

21 pages, 898 KB  
Review
Current Research Trends and Challenges Related to the Use of Greywater in Buildings
by Kaja Niewitecka and Monika Żubrowska-Sudoł
Water 2025, 17(23), 3431; https://doi.org/10.3390/w17233431 - 2 Dec 2025
Viewed by 583
Abstract
This paper presents a review of current trends and challenges in greywater use in buildings, with particular emphasis on toilet = flushing applications. It discusses the quantitative and qualitative characteristics of greywater, including its generation sources, share in total domestic wastewater volume (50–89%), [...] Read more.
This paper presents a review of current trends and challenges in greywater use in buildings, with particular emphasis on toilet = flushing applications. It discusses the quantitative and qualitative characteristics of greywater, including its generation sources, share in total domestic wastewater volume (50–89%), and flow variability depending on residents, building type, and user habits. Implementation of greywater recycling technologies faces several challenges, such as parameter variability, stringent sanitary and epidemiological standards, and the presence of micropollutants, including pharmaceuticals. Technological barriers include the integration of multi-stage treatment systems (physical, biological, and chemical) and ensuring effective disinfection for indoor use. The paper also highlights the lack of uniform international regulations and the significant variation in recovered water quality requirements. Key physicochemical and microbiological indicators that determine treatment system requirements are presented, with particular emphasis on the removal of organic pollutants and indicator bacteria. Various physical, chemical, and biological treatment technologies are described, with hybrid systems offering high efficiency and user safety. The implementation of greywater recycling systems encounters technical, regulatory, and social barriers. Social acceptance and transparent monitoring are identified as key challenges for widespread adoption. This critical literature review summarises current knowledge on effective greywater management in buildings, representing an increasingly important issue for sustainable water resource management. Full article
(This article belongs to the Special Issue Drawbacks, Limitations, Solutions and Perspectives of Water Reuse)
Show Figures

Figure 1

20 pages, 3215 KB  
Article
Spray-Dried Porcine Collagen Microcapsules in Tara Gum–Maltodextrin Matrices: A Sustainable Approach to By-Product Valorization for Functional and Nutraceutical Applications
by Carlos A. Ligarda-Samanez, Thamirys G. Ccana-Buleje, David Choque-Quispe, Henry Palomino-Rincón, Fredy Taipe-Pardo, Elibet Moscoso-Moscoso, Mauricio Muñoz-Melgarejo, Rober Luciano-Alipio, Justina Cervantes Carrión, Jenny C. Muñoz-Saenz, Uriel R. Quispe-Quezada and Enoc E. Jilaja-Carita
Appl. Sci. 2025, 15(23), 12667; https://doi.org/10.3390/app152312667 - 29 Nov 2025
Viewed by 400
Abstract
Within the framework of the circular economy, this study evaluated the valorization of pig trotters as a source of porcine hydrolyzed collagen, which was microencapsulated via spray drying in maltodextrin (95%) and tara gum (5%) matrices. A 22 factorial design was applied [...] Read more.
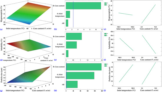
Within the framework of the circular economy, this study evaluated the valorization of pig trotters as a source of porcine hydrolyzed collagen, which was microencapsulated via spray drying in maltodextrin (95%) and tara gum (5%) matrices. A 22 factorial design was applied to analyze the effect of inlet temperature (140 °C and 160 °C) and core concentration (5% and 10% w/w) on the physicochemical, techno-functional, structural, and morphological properties of the microcapsules. The hydrolyzed collagen presented a protein content of 52.03%. The microcapsules exhibited protein contents ranging from 17.82 to 29.36%, moisture between 1.58 and 4.71%, water activity ranging from 0.24 to 0.38, bulk density ranging from 0.44 to 0.49 g/mL, hygroscopicity ranging from 24.72 to 38.08%, solubility between 81.23 and 82.80%, and particle size ranging from 4.85 to 6.52 µm. SEM micrographs revealed predominantly spherical particles with indentations and agglomerates. FTIR spectra confirmed the characteristic amide bands of collagen and molecular interactions within the tara gum–maltodextrin matrix, while TGA thermograms demonstrated the thermal stability of the formulations. Core content had a greater influence than temperature on all response variables. Overall, the findings confirm that spray-drying microencapsulation is an effective strategy for producing stable, dispersible collagen-based powders with potential for functional food and nutraceutical applications, representing a sustainable pathway for valorizing animal by-products within the circular economy. Full article
(This article belongs to the Special Issue Valorization of Agri-Food Waste Biomass)
Show Figures

Graphical abstract

18 pages, 4499 KB  
Article
Design of Surfactant-Free Microemulsions Composed of n-Pentanol, Ethanol, and Water: Application in Silica Nanoparticle Synthesis
by Martina Gudelj, Marina Kranjac, Ita Hajdin, Matija Tomšič, Janez Cerar, Ante Prkić and Perica Bošković
Inorganics 2025, 13(12), 392; https://doi.org/10.3390/inorganics13120392 - 28 Nov 2025
Viewed by 433
Abstract
This study investigates the formation, physicochemical properties, and applicability of surfactant-free microemulsions (SFMEs) as nanoreactors for the synthesis of silicon dioxide nanoparticles. Surfactant-free systems offer a promising and environmentally benign alternative to traditional microemulsions in which particle formation is governed by surfactants, yet [...] Read more.
This study investigates the formation, physicochemical properties, and applicability of surfactant-free microemulsions (SFMEs) as nanoreactors for the synthesis of silicon dioxide nanoparticles. Surfactant-free systems offer a promising and environmentally benign alternative to traditional microemulsions in which particle formation is governed by surfactants, yet their structural behavior and synthesis mechanisms remain insufficiently understood. A ternary system composed of water, ethanol, and n-pentanol was selected as a model, and its structural organization was analyzed through electrical conductivity, surface tension, and dynamic light scattering (DLS) measurements. The results revealed a broad single-phase region, indicating high miscibility of the components and the formation of dynamically connected polar domains. Electrical conductivity data suggested gradual reorganization of the internal structure without a distinct percolation threshold, while surface tension analysis and the corresponding Gibbs free energies of aggregation (ΔG°) reflected a weaker thermodynamic driving force for aggregation compared to systems containing longer-chain alcohols. DLS measurements confirmed the presence of fluctuating aggregates with hydrodynamic radii between 30 and 85 nm, consistent with literature values for surfactant-free systems. Based on these findings, silica nanoparticles were synthesized within selected compositions of the single-phase region. The resulting particles exhibited predominantly spherical morphology and variable dispersity, reflecting the moderate structural stability of the underlying microemulsion. The synthesized silica nanoparticles typically ranged from approximately 0.9 to 1.2 μm in diameter, reflecting the structural characteristics of the selected SFME compositions. Overall, the results demonstrate that water/ethanol/n-pentanol SFMEs provide new insights into surfactant-free aggregation processes and offer a sustainable route for the synthesis of inorganic nanoparticles. Full article
Show Figures

Graphical abstract

26 pages, 1640 KB  
Review
Towards Sustainable Biopolymer Innovation: A Review of Opuntia ficus-indica Mucilage
by Yusuf O. Mukaila, Jerry O. Adeyemi and Olaniyi A. Fawole
Processes 2025, 13(12), 3837; https://doi.org/10.3390/pr13123837 - 27 Nov 2025
Viewed by 650
Abstract
Natural biopolymers, such as the mucilage of Opuntia ficus-indica (OFI), are gaining attention as sustainable alternatives to synthetic materials due to their biocompatibility, biodegradability, and functional versatility. Opuntia ficus-indica mucilage, a polysaccharide-rich hydrocolloid extracted from OFI cladodes, has emerged as a promising biomaterial [...] Read more.
Natural biopolymers, such as the mucilage of Opuntia ficus-indica (OFI), are gaining attention as sustainable alternatives to synthetic materials due to their biocompatibility, biodegradability, and functional versatility. Opuntia ficus-indica mucilage, a polysaccharide-rich hydrocolloid extracted from OFI cladodes, has emerged as a promising biomaterial with diverse applications. In the food sector, its use in edible coatings and films can extend shelf life, reduce moisture loss, and deliver bioactive agents, aligning with eco-friendly packaging initiatives. Its physicochemical properties, including high water-holding capacity, viscosity, thermal stability, and film-forming ability, also support potential uses in pharmaceuticals, cosmetics, biomedicine, and environmental remediation. Despite this promise, large-scale adoption is limited by variability in composition, lack of standardized processing, functional inconsistencies, and competition with synthetic polymers. However, the sustainable cultivation of OFI, its resilience under drought, and the possibility of valorizing cladode waste strengthen its profile within circular economy frameworks. This review synthesizes current knowledge on the extraction, properties, and applications of OFI mucilage, while identifying key research gaps and technological challenges. It emphasizes the need for interdisciplinary research and industrial collaboration to overcome barriers and unlock the full potential of OFI mucilage as a high-performance, eco-friendly biopolymer for future applications. Full article
Show Figures

Figure 1

17 pages, 1074 KB  
Article
Seasonal Variation in Bacterial Load and Genetic Diversity in Groundwater from Aïn Tawjdate, Morocco
by Asmae Aboulkacem, Hanane Zaki, Amina Aboulkacem, Tarik Ainane, Rafail Isemin, Fatouma Mohamed Abdoul-Latif and Ayoub Ainane
Appl. Microbiol. 2025, 5(4), 136; https://doi.org/10.3390/applmicrobiol5040136 - 26 Nov 2025
Viewed by 230
Abstract
Groundwater represents an essential resource for domestic and agricultural use, and its physicochemical and microbiological quality directly affects public health. This study assessed the bacteriological quality of untreated well water in the province of Fez-Meknes, specifically in the Aïn Tawjdate area, and evaluated [...] Read more.
Groundwater represents an essential resource for domestic and agricultural use, and its physicochemical and microbiological quality directly affects public health. This study assessed the bacteriological quality of untreated well water in the province of Fez-Meknes, specifically in the Aïn Tawjdate area, and evaluated seasonal variations in bacterial contamination. During the spring and summer of 2023, groundwater samples were collected from several wells. A total of 139 bacterial strains were isolated and identified using API biochemical galleries. The most frequently detected species were Aeromonas hydrophila gr.1 (6.47%), Aeromonas hydrophila gr.2 (9.35%), Enterobacter cloacae (7.19%), Pseudomonas aeruginosa (10.07%), and Flavimonas oryzihabitans (6.47%), among others. Genetic variability among ten E. cloacae isolates was further explored using ERIC-PCR profiling; the strains differed by more than three fragments and showed less than 80% similarity; therefore, they were considered as distinct ERIC types. Statistical analyses (Chi-square, Fisher’s exact, Tukey HSD, one-way ANOVA, and two-sided Dunnett tests) revealed no significant differences in bacterial load between wells within the same season, with p-values > 0.05 according to ANOVA. However, a significant increase in contamination levels was observed in summer compared with spring. These findings highlight the potential health risks associated with the consumption of untreated groundwater and underline the need for regular microbiological monitoring and improved water treatment practices in rural communities. Full article
Show Figures

Figure 1

18 pages, 1392 KB  
Article
Precipitation-Driven Soil and Vegetation Changes Shape Wetland Greenhouse Gas Emissions
by Ziwei Yang, Kelong Chen, Hairui Zhao, Ni Zhang and Desheng Qi
Biology 2025, 14(12), 1663; https://doi.org/10.3390/biology14121663 - 24 Nov 2025
Viewed by 268
Abstract
Against the backdrop of global climate change, alterations in precipitation regimes—including the increasing frequency of extreme events—have become more widespread, exerting profound impacts on terrestrial ecosystems and reshaping greenhouse gas (GHG) emission dynamics in wetlands. Wetlands, as unique ecosystems formed at the interface [...] Read more.
Against the backdrop of global climate change, alterations in precipitation regimes—including the increasing frequency of extreme events—have become more widespread, exerting profound impacts on terrestrial ecosystems and reshaping greenhouse gas (GHG) emission dynamics in wetlands. Wetlands, as unique ecosystems formed at the interface of terrestrial and aquatic environments, play a critical role in regulating carbon source–sink functions. In this study, we conducted in situ field simulation experiments to examine how precipitation changes influence the seasonal fluxes of carbon dioxide (CO2), methane (CH4), and nitrous oxide (N2O) in the Wayan Mountain headwater wetlands, and further explored the regulatory effects of vegetation attributes and soil physicochemical properties on these fluxes. The results revealed that a moderate increase in precipitation (+25%) enhanced CO2 emissions and vegetation growth while suppressing CH4 and N2O fluxes, indicating a positive ecosystem response to additional water supply. In contrast, extreme precipitation changes (+75% and −75%) weakened the coupling between GHG fluxes and soil factors, resulting in reduced CO2 flux, amplified variability in CH4 and N2O emissions, and inhibited vegetation growth and community diversity. The dominant controls differed among gases: CO2 was primarily regulated by soil carbon pools, CH4 was highly sensitive to water availability, and N2O was influenced by soil nitrogen, pH, and salinity. Overall, moderate increases in precipitation enhance the carbon sink capacity and community stability of alpine wetlands, whereas extreme hydrological fluctuations undermine ecosystem functioning. These findings provide important insights into carbon cycling processes and regulatory mechanisms of alpine wetlands under future climate change scenarios. Full article
(This article belongs to the Special Issue Wetland Ecosystems (2nd Edition))
Show Figures

Figure 1

32 pages, 1184 KB  
Review
Microalgae-Based Strategies for Soil Health and Crop Productivity: Mechanisms, Challenges, and Pathways to Climate-Resilient Agriculture
by Wogene Solomon Kabato, Niguss Hailegnaw, Tesfatsion Ermias Chaffamo, Asish Samuel, Agampodi Gihan S. D. De Silva and Zoltán Molnár
Agronomy 2025, 15(11), 2669; https://doi.org/10.3390/agronomy15112669 - 20 Nov 2025
Viewed by 880
Abstract
Microalgae hold significant potential as nature-based solutions in agriculture, offering benefits such as nitrogen fixation, enhanced nutrient cycling, stimulation of beneficial microbes, strengthening soil structure, and carbon sequestration. Yet, despite their potential, the role of microalgae, particularly through their interactions with soil systems, [...] Read more.
Microalgae hold significant potential as nature-based solutions in agriculture, offering benefits such as nitrogen fixation, enhanced nutrient cycling, stimulation of beneficial microbes, strengthening soil structure, and carbon sequestration. Yet, despite their potential, the role of microalgae, particularly through their interactions with soil systems, remains largely underexplored. Their ability to generate bioactive substances such as phytohormones, amino acids, and extracellular polymeric substances (EPS) fosters soil aggregation, nutrient availability, water retention, biological soil crust, and soil restoration, which ultimately supports plant growth and productivity. Moreover, the thermochemical conversion of microalgal biomass into biochar offers an effective strategy to improve carbon sequestration while simultaneously enriching soil nutrient content, thereby increasing crop productivity. While microalgae-based products often demonstrate strong efficacy under laboratory and greenhouse conditions, their performance in the field remains constrained by soil physicochemical properties, ecological incompatibility, competition with native microbial communities, and environmental variability, leading to inconsistent outcomes and highlighting the need for soil-specific, field-relevant strategies. Furthermore, the lack of standardized and cost-effective cultivation, formulation, and processing, along with low biomass yield and energy-intensive production, continues to limit their large-scale adoption in agricultural systems. Therefore, this narrative review aimed to discuss the mechanisms of coupling microalgal biomass and biochar to enhance soil health and crop growth, while also addressing field-performance constraints. It provides a balanced view of the potential and challenges of microalgae-based technologies for sustainable soil management and crop productivity. Overall, microalgae possess significant potential to improve soil health, increase crop yields, and contribute to sustainable agriculture that can withstand climate challenges. Full article
(This article belongs to the Section Plant-Crop Biology and Biochemistry)
Show Figures

Figure 1

20 pages, 501 KB  
Review
Urban Stormwater and Groundwater Quality: Pathways, Risks, and Green Infrastructure Solutions
by Amir Motlagh
Environments 2025, 12(11), 446; https://doi.org/10.3390/environments12110446 - 20 Nov 2025
Viewed by 1285
Abstract
The development of urban areas and the proliferation of impervious surfaces have significantly altered natural hydrological cycles, resulting in an increase in stormwater runoff and substantial risks to groundwater quality. This review synthesizes current research on the transport mechanisms of stormwater contaminants, including [...] Read more.
The development of urban areas and the proliferation of impervious surfaces have significantly altered natural hydrological cycles, resulting in an increase in stormwater runoff and substantial risks to groundwater quality. This review synthesizes current research on the transport mechanisms of stormwater contaminants, including toxic elements, nutrients, pathogens, and emerging pollutants such as microplastics and pharmaceuticals, into aquifers. This study analyzes the physicochemical and biological processes that affect pollutant mobility and retention in urban soils, emphasizing the vulnerability of groundwater systems, particularly in areas with permeable soils and shallow water tables. The article evaluates a range of green infrastructure (GI) and low-impact development (LID) strategies—including rain gardens, bioswales, infiltration basins, constructed wetlands, and urban forestry—to assess how effectively they can mitigate stormwater pollution and improve groundwater protection. Case studies from North America illustrate the practical implementation and performance of GI systems, emphasizing the importance of site-specific design, monitoring, and adaptive management. The review also discusses global policy frameworks and community engagement strategies that support sustainable stormwater management. Ultimately, it advocates for an integrated, multidisciplinary approach that combines engineering, ecological science, and public policy to safeguard groundwater resources in the face of climate variability and urban expansion. Full article
Show Figures

Figure 1

36 pages, 2586 KB  
Review
Exploring Bioactive Polysaccharides in Edible Fruits: A Cross-Biome Perspective
by Karen Rebouças Nascimento, Leandro Teodoro Júnior, Mari Cleide Sogayar and João Paulo Fabi
Plants 2025, 14(22), 3515; https://doi.org/10.3390/plants14223515 - 18 Nov 2025
Viewed by 779
Abstract
The present work consisted of a comparative analysis, followed by an extensive narrative literature review, of the structural profiles of bioactive polysaccharides from edible fruits representing different terrestrial biomes, relating them—with a focus on their monosaccharide fractions—to the abiotic variables of each biome, [...] Read more.
The present work consisted of a comparative analysis, followed by an extensive narrative literature review, of the structural profiles of bioactive polysaccharides from edible fruits representing different terrestrial biomes, relating them—with a focus on their monosaccharide fractions—to the abiotic variables of each biome, such as temperature, rainfall, annual water regimes, and physicochemical characteristics of the soil to provide an accurate landscape regarding the patterns and divergences surrounding the development of edible fruits around the world. The present review also provided a focus on the various analytical methods used to obtain data related to the glycosidic profile of the analyzed edible fruits, allowing for a comparison of issues relating to the biomes and the quantitative composition of the existing polysaccharides, together with the associated macromolecular parameters, such as degree of esterification, branching, and average molecular weight. From the analysis performed, recurrences of characteristics were identified in different biomes, such as high concentrations of galacturonic acid and arabinose in fruits from cold regions; abundance of xyloarabinan and galactan in fruits from arid areas; and greater branching, acetylation, and a lower degree of esterification in fruits subject to water variations that favor water retention and cell wall stability. These profiles suggest a strong association between the structure of polysaccharides and ecological adaptations that are crucial for their full development. The insights presented here are of the utmost importance in both basic and applied food science, indicating possible structural targets for selecting and engineering resistance in edible fruits under various abiotic stress conditions and guiding and providing direction for experimental studies that extend beyond classical methodologies. Full article
(This article belongs to the Special Issue Research on Nutritional and Bioactive Compounds from Edible Fruits)
Show Figures

Figure 1

32 pages, 2515 KB  
Article
Participatory Management of Rainwater in Informal Urban Contexts: Case Study of San Isidro Patios, Bogotá, Colombia
by Camilo Alberto Torres Parra, Yelinca Saldeño Madero, Juan José Castiblanco Prieto, Camila Jaramillo-Monroy and Alejandro Ángel Torres
Water 2025, 17(22), 3236; https://doi.org/10.3390/w17223236 - 13 Nov 2025
Viewed by 744
Abstract
This paper describes the implementation of a rainwater harvesting and treatment system in an informal urban community in Bogotá, using a participatory methodology based on Service Learning (SL). The project began with a territorial diagnosis and community prioritization of needs, identifying access to [...] Read more.
This paper describes the implementation of a rainwater harvesting and treatment system in an informal urban community in Bogotá, using a participatory methodology based on Service Learning (SL). The project began with a territorial diagnosis and community prioritization of needs, identifying access to water and its quality as the main issue. Together with the community, a system for rainwater capture, pretreatment, storage, and filtration was designed and built, adapted to local conditions. Monitoring of physicochemical and microbiological parameters across different climatic periods showed significant improvements in the quality of treated water, meeting national standards for most indicators. Simultaneously, an educational process was carried out through workshops and hands-on activities, strengthening local capacities and promoting hygiene and water management practices. The analysis highlights the system’s adaptability to climate variability, community ownership, and the replicability of the model. It concludes that the integration of appropriate technology, community participation, and education can effectively improve access to and quality of water in vulnerable urban contexts, contributing to quality of life and sustainable development. Full article
Show Figures

Figure 1

16 pages, 1052 KB  
Article
DGT-Based Assessment of Antibiotics and Hormones in a Typical Wastewater Treatment Plant and Its Receiving Water in Shanghai: Implications for Aquaculture Reuse
by Yin Huang, Zheng Zhang, Chaofeng Sun, Luting Wen, Qian Wang and Yanhao Yang
Toxics 2025, 13(11), 970; https://doi.org/10.3390/toxics13110970 - 11 Nov 2025
Viewed by 439
Abstract
Assessment of the environmental behavior of environmental hormones and antibiotics along the processes in typical wastewater treatment plants (WWTPs) based on bioavailable concentrations reflects the negative effects of pollutants from WWTPs on aquatic organisms more directly, as well as the potential for reusing [...] Read more.
Assessment of the environmental behavior of environmental hormones and antibiotics along the processes in typical wastewater treatment plants (WWTPs) based on bioavailable concentrations reflects the negative effects of pollutants from WWTPs on aquatic organisms more directly, as well as the potential for reusing the effluent and receiving waters for aquaculture. This study measured bioavailable concentrations in a typical WWTP and its receiving water body using the XAD-DGT samplers during dry and wet seasons. Firstly, the results confirmed the applicability of XAD-DGT in WWTP and the receiving water. Then, significant season and process-dependent variations were observed. The primary treatment occasionally led to concentration rebound due to desorption during the dry season, secondary treatment exhibited considerable variability depending on the physicochemical properties of the contaminants, and tertiary treatment consistently performed well (>80%). Based on XAD-DGT-measured bioavailable concentrations, the risks posed by environmental hormones and antibiotics in the effluent and receiving water body were determined to assess their potential for aquaculture reuse. The result indicated that the effluent water is applicable for fish aquaculture; however, further removal techniques, like adsorption or advanced oxidation, should be applied to crustacean cultivation, especially for contaminants like environmental hormones. For the water body, it was only feasible for crustacean aquaculture. Pre-treatments based on adsorption, sedimentation, or oxidation processes are necessary to remove environmental hormones and antibiotics if these areas are planned for aquaculture. This study provides an important scientific basis for a more accurate assessment of the environmental behavior of emerging contaminants, reuse directions of WWTP effluent, as well as the corresponding receiving waters. Full article
Show Figures

Graphical abstract

22 pages, 5202 KB  
Article
Characterization and GIS Mapping of the Physicochemical Quality of Soils in the Irrigated Area of Tafrata (Eastern Morocco): Implications for Sustainable Agricultural Management
by Soufiane Oubdil, Smail Souiri, Sara Ajmani, Abderrahmane Nazih, Rachid Mentag, Fatima Benradi and Mounaim Halim El Jalil
Geographies 2025, 5(4), 66; https://doi.org/10.3390/geographies5040066 - 7 Nov 2025
Cited by 1 | Viewed by 683
Abstract
The Tafrata Irrigated Perimeter (TIP) in Taourirt province, located in a semi-arid environment, faces pressures from intensive agriculture and unsustainable resource use, leading to soil degradation, low organic matter, salinity risks, and nutrient imbalances. Despite the need for effective management, limited studies have [...] Read more.
The Tafrata Irrigated Perimeter (TIP) in Taourirt province, located in a semi-arid environment, faces pressures from intensive agriculture and unsustainable resource use, leading to soil degradation, low organic matter, salinity risks, and nutrient imbalances. Despite the need for effective management, limited studies have used spatial and geostatistical tools to assess soil quality in the region. This study aims to evaluate the physico-chemical quality of TIP soils and to identify management priorities for sustainable agricultural development. To achieve this, 84 soil samples analyzed for particle size, density, electrical conductivity, pH, organic matter, total carbonate content, potassium, and phosphorus. GIS was used to generate thematic maps. Findings show that 55% of the area consists of balanced sandy loam soils, with 76% of samples having slightly alkaline pH. Phosphorus and potassium concentrations average 35.23 (mg∙kg−1) and 166.06 (mg∙kg−1), respectively. While 76% of soils are non-saline, 87% have moderate carbonate content. Organic matter is critically low at 1.46%, raising concerns about soil fertility and water retention. The study emphasizes the need for sustainable agricultural practices to manage soil variability and improve fertility, offering actionable insights to support long-term soil health and resource sustainability in the TIP. Full article
Show Figures

Figure 1

Back to TopTop