Sign in to use this feature.

Years

Between: -

Subjects

remove_circle_outline
remove_circle_outline
remove_circle_outline
remove_circle_outline
remove_circle_outline
remove_circle_outline
remove_circle_outline
remove_circle_outline

Journals

Article Types

Countries / Regions

Search Results (64)

Search Parameters:
Keywords = photon number resolution

Order results
Result details
Results per page
Select all
Export citation of selected articles as:
32 pages, 5922 KB  
Article
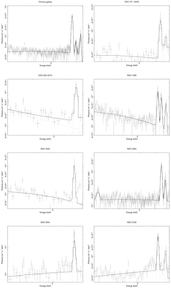
The Iwasawa–Taniguchi Effect in Compton-thick Seyfert 2 Galaxies with Extended Hard X-Ray Emission
by Jia Chen, Huili Yi, Chengchao Liu, Shenfang Ye and Shuangxi Yi
Universe 2025, 11(10), 348; https://doi.org/10.3390/universe11100348 - 18 Oct 2025
Viewed by 70
Abstract
The anti-correlation between the equivalent width of the neutral narrow Fe Kα line and the 2–10 keV luminosity (the Iwasawa–Taniguchi effect) in the nuclear regions of active galactic nuclei has been debated in recent years. With the high angular resolution of Chandra, [...] Read more.
The anti-correlation between the equivalent width of the neutral narrow Fe Kα line and the 2–10 keV luminosity (the Iwasawa–Taniguchi effect) in the nuclear regions of active galactic nuclei has been debated in recent years. With the high angular resolution of Chandra, an increasing number of Compton-thick sources have been found to show extended narrow Fe Kα emission on scales from tens of parsecs to kiloparsecs, attributed to reprocessing of nuclear radiation by surrounding Compton-thick material. We analyze eight Compton-thick sources with prominent extended Fe Kα emission. We confirm the Iwasawa–Taniguchi effect in the extended component relative to the reflection spectrum, with a steeper slope, indicating reduced production efficiency of neutral Fe Kα photon outside the nucleus. Both the reflection spectrum and Fe Kα luminosities correlate positively with intrinsic AGN luminosity, suggesting that the nucleus drives the extended emission. Finally, we find a linear relationship between redshift and the equivalent width of the nuclear Fe Kα line, with no such trend in the extended component. Full article
(This article belongs to the Special Issue 10th Anniversary of Universe: Galaxies and Their Black Holes)
Show Figures

Figure 1

28 pages, 879 KB  
Article
Performance Bounds of Ranging Precision in SPAD-Based dToF LiDAR
by Hao Wu, Yingyu Wang, Shiyi Sun, Lijie Zhao, Limin Tong, Linjie Shen and Jiang Zhu
Sensors 2025, 25(19), 6184; https://doi.org/10.3390/s25196184 - 6 Oct 2025
Viewed by 433
Abstract
LiDAR with direct time-of-flight (dToF) technology based on single-photon avalanche diode detectors (SPADs) has been widely adopted in various applications. However, a comprehensive theoretical understanding of its fundamental ranging performance bounds—particularly the degradation caused by pile-up effects due to system dead time and [...] Read more.
LiDAR with direct time-of-flight (dToF) technology based on single-photon avalanche diode detectors (SPADs) has been widely adopted in various applications. However, a comprehensive theoretical understanding of its fundamental ranging performance bounds—particularly the degradation caused by pile-up effects due to system dead time and the potential benefits of photon-number-resolving detectors—remains incomplete and has not been systematically established in prior work. In this work, we present the first theoretical derivation of the Cramér–Rao lower bound (CRLB) for dToF systems explicitly accounting for dead time effects, generalize the analysis to SPADs with photon-number-resolving capabilities, and further validate the results through Monte Carlo simulations and maximum likelihood estimation. Our analysis reveals that pile-up not only reduces the information contained within individual ToF but also introduces a previously overlooked statistical coupling between distance and photon flux rate, further degrading ranging precision. The derived CRLB enables the determination of the optimal optical photon flux, laser pulse width (with FWHM of 0.56τ), and ToF quantization resolution that yield the best achievable ranging precision, showing that an optimal precision of approximately 0.53τ/N remains theoretically achievable, where τ is TDC resolution and N is the number of laser pulses. The analysis further quantifies the limited performance improvement enabled by increased photon-number resolution, which exhibits rapidly diminishing returns. Overall, these findings establish a unified theoretical framework for understanding the fundamental limits of SPAD-based dToF LiDAR, filling a gap left by earlier studies and providing concrete design guidelines for the selection of optimal operating points. Full article
(This article belongs to the Section Radar Sensors)
Show Figures

Figure 1

21 pages, 3182 KB  
Article
High-Resolution Chaos Maps for Optically Injected Lasers
by Gerardo Antonio Castañón Ávila, Alejandro Aragón-Zavala, Ivan Aldaya and Ana Maria Sarmiento-Moncada
Appl. Sci. 2025, 15(17), 9724; https://doi.org/10.3390/app15179724 - 4 Sep 2025
Viewed by 562
Abstract
Deterministic chaos in optically injected semiconductor lasers (OILs) has attracted significant attention due to its relevance in secure communications, entropy generation, and photonic applications. However, existing studies often rely on low-resolution parameter sweeps or include noise contributions that obscure the intrinsic nonlinear dynamics. [...] Read more.
Deterministic chaos in optically injected semiconductor lasers (OILs) has attracted significant attention due to its relevance in secure communications, entropy generation, and photonic applications. However, existing studies often rely on low-resolution parameter sweeps or include noise contributions that obscure the intrinsic nonlinear dynamics. To address this gap, we investigate a noise-free OIL model and construct high-resolution chaos maps across the injection strength and frequency detuning parameter space. Chaos is characterized using two complementary approaches for computing the largest Lyapunov exponent: the Rosenstein time-series method and the exact variational method. This dual approach provides reliable and reproducible detection of deterministic chaotic regimes and reveals a rich attractor landscape with alternating bands of periodicity, quasi-periodicity, and chaos. The novelty of this work lies in combining high-resolution mapping with rigorous chaos indicators, enabling fine-grained identification of dynamical transitions. The results not only deepen the fundamental understanding of nonlinear laser dynamics but also provide actionable guidelines for exploiting or avoiding chaos in photonic devices, with potential applications in random chaos-based communications, number generation, and optical security systems. Full article
(This article belongs to the Special Issue Optical Communications Systems and Optical Sensing)
Show Figures

Figure 1

21 pages, 4843 KB  
Article
Study on Non-Equilibrium Atomic Radiation Characteristics During High-Speed Re-Entry of a Spacecraft Capsule
by Jia-Zhi Hu, Yong-Dong Liang and Zhi-Hui Li
Aerospace 2025, 12(9), 790; https://doi.org/10.3390/aerospace12090790 - 31 Aug 2025
Viewed by 593
Abstract
This study investigates the non-equilibrium radiation characteristics during the high-speed re-entry of a lunar-return-type capsule under rarefied atmospheric conditions. A line-by-line spectral model was developed to compute atomic emission and absorption coefficients for excited nitrogen and oxygen atoms. Coupled with the Direct Simulation [...] Read more.
This study investigates the non-equilibrium radiation characteristics during the high-speed re-entry of a lunar-return-type capsule under rarefied atmospheric conditions. A line-by-line spectral model was developed to compute atomic emission and absorption coefficients for excited nitrogen and oxygen atoms. Coupled with the Direct Simulation Monte Carlo (DSMC) method, the Photon Monte Carlo (PMC) method was employed to solve the radiative energy transport equation. The model was validated against the FIRE II flight experiment at 1631 s and 1634 s, showing improved agreement with experimental heat flux data compared to previous numerical results. A detailed sensitivity analysis was conducted to examine the influence of spectral discretization and the number of emitted photons per computational cell. Results indicate that low spectral resolution can cause non-physical fluctuations in wall heat flux, while increasing the number of photons improves local smoothness. Optimal parameters were identified as 50,000 spectral points and 5000 photons per cell. The model was further applied to a lunar-return-type capsule re-ntering at 90 km and 95 km altitudes. It was found that radiative heating is spatially decoupled from aerodynamic heating and primarily governed by excited species concentration and line-of-sight geometry. At 90 km, radiative heating accounted for over 15.31% of the aerodynamic heating, more than double that at 95 km. These results underscore the necessity of considering radiation effects in the design of thermal protection systems, particularly at high re-entry velocities and large angles of attack. Full article
(This article belongs to the Section Astronautics & Space Science)
Show Figures

Figure 1

17 pages, 1027 KB  
Review
Photon Detector Technology for Laser Ranging: A Review of Recent Developments
by Zhihui Li, Xin Jin, Changfu Yuan and Kai Wang
Coatings 2025, 15(7), 798; https://doi.org/10.3390/coatings15070798 - 8 Jul 2025
Viewed by 2169
Abstract
Laser ranging technology holds a key position in the military, aerospace, and industrial fields due to its high precision and non-contact measurement characteristics. As a core component, the performance of the photon detector directly determines the ranging accuracy and range. This paper systematically [...] Read more.
Laser ranging technology holds a key position in the military, aerospace, and industrial fields due to its high precision and non-contact measurement characteristics. As a core component, the performance of the photon detector directly determines the ranging accuracy and range. This paper systematically reviews the technological development of photonic detectors for laser ranging, with a focus on analyzing the working principles and performance differences of traditional photodiodes [PN (P-N junction photodiode), PIN (P-intrinsic-N photodiode), and APD (avalanche photodiode)] (such as the high-frequency response characteristics of PIN and the internal gain mechanism of APD), as well as their applications in short- and medium-range scenarios. Additionally, this paper discusses the unique advantages of special structures such as transmitting junction-type and Schottky-type detectors in applications like ultraviolet light detection. This article focuses on photon counting technology, reviewing the technological evolution of photomultiplier tubes (PMTs), single-photon avalanche diodes (SPADs), and superconducting nanowire single-photon detectors (SNSPDs). PMT achieves single-photon detection based on the external photoelectric effect but is limited by volume and anti-interference capability. SPAD achieves sub-decimeter accuracy in 100 km lidars through Geiger mode avalanche doubling, but it faces challenges in dark counting and temperature control. SNSPD, relying on the characteristics of superconducting materials, achieves a detection efficiency of 95% and a dark count rate of less than 1 cps in the 1550 nm band. It has been successfully applied in cutting-edge fields such as 3000 km satellite ranging (with an accuracy of 8 mm) and has broken through the near-infrared bottleneck. This study compares the differences among various detectors in core indicators such as ranging error and spectral response, and looks forward to the future technical paths aimed at improving the resolution of photon numbers and expanding the full-spectrum detection capabilities. It points out that the new generation of detectors represented by SNSPD, through material and process innovations, is promoting laser ranging to leap towards longer distances, higher precision, and wider spectral bands. It has significant application potential in fields such as space debris monitoring. Full article
Show Figures

Graphical abstract

33 pages, 5307 KB  
Article
SiPM Developments for the Time-Of-Propagation Detector of the Belle II Experiment
by Flavio Dal Corso, Jakub Kandra, Roberto Stroili and Ezio Torassa
Sensors 2025, 25(13), 4018; https://doi.org/10.3390/s25134018 - 27 Jun 2025
Viewed by 484
Abstract
Belle II is a particle physics experiment working at an high luminosity collider within a hard irradiation environment. The Time-Of-Propagation detector, aimed at the charged particle identification, surrounds the Belle II tracking detector on the barrel part. This detector is composed by 16 [...] Read more.
Belle II is a particle physics experiment working at an high luminosity collider within a hard irradiation environment. The Time-Of-Propagation detector, aimed at the charged particle identification, surrounds the Belle II tracking detector on the barrel part. This detector is composed by 16 modules, each module contains a finely fused silica bar, coupled to microchannel plate photomultiplier tube (MCP-PMT) photo-detectors and readout by high-speed electronics. The MCP-PMT lifetime at the nominal collider luminosity is about one year, this is due to the high photon background degrading the quantum efficiency of the photocathode. An alternative to these MCP-PMTs is multi-pixel photon counters (MPPC), known as silicon photomultipliers (SiPM). The SiPMs, in comparison to MCP-PMTs, have a lower cost, higher photon detection efficiency and are unaffected by the presence of a magnetic field, but also have a higher dark count rate that rapidly increases with the integrated neutron flux. The dark count rate can be mitigated by annealing the damaged devices and/or operating them at low temperatures. We tested SiPMs, with different dimensions and pixel sizes from different producers, to study their time resolution (the main constraint that has to satisfy the photon detector) and to understand their behavior and tolerance to radiation. For these studies we irradiated the devices to radiation up to 5×10111 MeV neutrons equivalent (neq) per cm2 fluences; we also started studying the effect of annealing on dark count rates. We performed several measurements on these devices, on top of the dark count rate, at different conditions in terms of overvoltage and temperatures. These measurements are: IV-curves, amplitude spectra, time resolution. For the last two measurements we illuminated the devices with a picosecond pulsed laser at very low intensities (with a number of detected photons up to about twenty). We present results mainly on two types of SiPMs. A new SiPM prototype developed in collaboration with FBK with the aim of improving radiation hardness, is expected to be delivered in September 2025. Full article
(This article belongs to the Section Physical Sensors)
Show Figures

Figure 1

8 pages, 1476 KB  
Communication
Characterization of a Wide-Band Single-Photon Detector Based on Transition-Edge Sensor
by Jingkai Xia, Shuo Zhang and Bingjun Wu
Photonics 2025, 12(6), 609; https://doi.org/10.3390/photonics12060609 - 13 Jun 2025
Viewed by 730
Abstract
A superconducting transition-edge sensor (TES) as a microcalorimeter detects incoming photons by measuring heat converted from photon energy. With high resolving power and low noise levels, a TES is sensitive to single photons and able to count photons within a wide spectral band [...] Read more.
A superconducting transition-edge sensor (TES) as a microcalorimeter detects incoming photons by measuring heat converted from photon energy. With high resolving power and low noise levels, a TES is sensitive to single photons and able to count photons within a wide spectral band from X-ray to near-infrared. We have developed a TES detector aiming at soft X-ray spectroscopy applications. In this work, the performance of this detector is characterized. It is shown that the energy resolution of this detector is about 1.8 eV for 1.5 keV photons. The good resolution is also kept in visible range, enabling photon-number resolving for 405 nm photons. Full article
(This article belongs to the Special Issue Recent Progress in Single-Photon Generation and Detection)
Show Figures

Figure 1

23 pages, 4102 KB  
Article
Analysis and Validation of the Signal-to-Noise Ratio for an Atmospheric Humidity Profiling Spectrometer Based on 1D-Imaging Spatial Heterodyne Spectroscopy
by Shaochun Xie, Haiyan Luo, Zhiwei Li, Wei Jin, Qiong Wu, Mai Hu, Yang Hong and Wei Xiong
Remote Sens. 2025, 17(11), 1810; https://doi.org/10.3390/rs17111810 - 22 May 2025
Viewed by 694
Abstract
Sub-kilometer spatial resolution humidity profiles from the stratosphere to the mesosphere are essential for investigating the function of atmospheric water vapor in the global water and energy cycles as well as in radiation transport. The significant variations in atmospheric radiation at low altitudes [...] Read more.
Sub-kilometer spatial resolution humidity profiles from the stratosphere to the mesosphere are essential for investigating the function of atmospheric water vapor in the global water and energy cycles as well as in radiation transport. The significant variations in atmospheric radiation at low altitudes and the gradual changes at high altitudes pose challenges to the data acquisition and processing methods of limb imaging spectrometers that rely on atmospheric scattering and absorption mechanisms. In this paper, the effects of two binning techniques—interferogram binning and recovered spectrum binning—on improving the spectral signal-to-noise ratio (SNR) are examined through theoretical analysis and simulations, exemplified by a one-dimensional (1D) imaging spatial heterodyne spectrometer designed for measuring atmospheric humidity profiles. Rician random variables are employed to characterize the amplitude of the recovered spectral points under varying signal conditions, from which spectral SNR expressions are derived for both binning methods. The difference in both methods is evaluated through numerical simulations and experiments. Simulation results demonstrate that, with an integration time of 0.3 s and a spectral resolution of 0.03 nm, the input signal below 50 km is strong, with photon noise being the dominant factor, and both binning methods improve SNR proportionally to the square root of the number of binned rows. As the signal weakens above 50 km, additive noise gradually becomes dominant with increasing tangent altitude, and spectrum binning yields a higher SNR than interferogram binning. Experimental data obtained from a similar type of spectrometer further validate these simulation findings. The results indicate that spectrum binning provides greater advantages in improving the SNR for detecting water vapor in the mesosphere, paving the way for achieving a higher vertical resolution in subsequent retrievals. Full article
(This article belongs to the Special Issue Optical Remote Sensing Payloads, from Design to Flight Test)
Show Figures

Figure 1

16 pages, 1408 KB  
Article
Feasibility Study of a PET Detector with a Wavelength-Shifting Fiber Readout
by Anzori Sh. Georgadze
Instruments 2025, 9(1), 2; https://doi.org/10.3390/instruments9010002 - 5 Feb 2025
Viewed by 2865
Abstract
We designed and evaluated the performance of a high-resolution large-area detector for positron emission tomography (PET) based on a crystal assembly readout using wavelength-shifting (WLS) fibers, offering a cost-effective alternative to the direct readout of monolithic crystals with photodetectors. The considered detector geometries [...] Read more.
We designed and evaluated the performance of a high-resolution large-area detector for positron emission tomography (PET) based on a crystal assembly readout using wavelength-shifting (WLS) fibers, offering a cost-effective alternative to the direct readout of monolithic crystals with photodetectors. The considered detector geometries were made up of 4 × 4 assemblies of LuY2SiO5:Ce (LYSO) crystal scintillators, each with surface area of 50 × 50 mm2 and thickness of 7 or 15 mm, which were optically coupled together using optical adhesive. The crystal assembly was coupled with square cross-sections of orthogonal wavelength-shifting (WLS) fibers placed on the top and bottom of the assembly. To evaluate the characteristics of the novel detector, we used GEANT4 to perform optical photon transport in the crystal assembly and WLS fibers. The simulation results show that best position resolution achieved was 1.6 ± 0.4 mm full width at half maximum (FWHM) and 4.2 ± 0.6 mm full width at tenth maximum (FWTM) for the crystal thickness of 7 mm and 1.7 ± 0.4 mm FWHM and 6.0 ± 0.6 mm FWTM for the crystal thickness of 15 mm. Compared with a direct photosensor readout, WLS fibers can drastically reduce the number of photosensors required while covering a larger sensitive detection area. In the proposed detector design, 2N photodetectors are used to cover the same image area instead of N2 with a direct readout. This design allows for the development of a compact detector with an expanded effective field of view and reduced cost. Full article
(This article belongs to the Special Issue Medical Applications of Particle Physics, 2nd Edition)
Show Figures

Figure 1

18 pages, 2273 KB  
Article
Optimization of the Pixel Design for Large Gamma Cameras Based on Silicon Photomultipliers
by Carolin Wunderlich, Riccardo Paoletti and Daniel Guberman
Sensors 2024, 24(18), 6052; https://doi.org/10.3390/s24186052 - 19 Sep 2024
Viewed by 1470
Abstract
Most single-photon emission computed tomography (SPECT) scanners employ a gamma camera with a large scintillator crystal and 50–100 large photomultiplier tubes (PMTs). In the past, we proposed that the weight, size and cost of a scanner could be reduced by replacing the PMTs [...] Read more.
Most single-photon emission computed tomography (SPECT) scanners employ a gamma camera with a large scintillator crystal and 50–100 large photomultiplier tubes (PMTs). In the past, we proposed that the weight, size and cost of a scanner could be reduced by replacing the PMTs with large-area silicon photomultiplier (SiPM) pixels in which commercial SiPMs are summed to reduce the number of readout channels. We studied the feasibility of that solution with a small homemade camera, but the question on how it could be implemented in a large camera remained open. In this work, we try to answer this question by performing Geant4 simulations of a full-body SPECT camera. We studied how the pixel size, shape and noise could affect its energy and spatial resolution. Our results suggest that it would be possible to obtain an intrinsic spatial resolution of a few mm FWHM and an energy resolution at 140 keV close to 10%, even if using pixels more than 20 times larger than standard commercial SiPMs of 6 × 6 mm2. We have also found that if SiPMs are distributed following a honeycomb structure, the spatial resolution is significantly better than if using square pixels distributed in a square grid. Full article
Show Figures

Figure 1

23 pages, 16139 KB  
Article
Bioarchitectonic Nanophotonics by Replication and Systolic Miniaturization of Natural Forms
by Konstantina Papachristopoulou and Nikolaos A. Vainos
Biomimetics 2024, 9(8), 487; https://doi.org/10.3390/biomimetics9080487 - 13 Aug 2024
Viewed by 2760
Abstract
The mimesis of biological mechanisms by artificial devices constitutes the modern, rapidly expanding, multidisciplinary biomimetics sector. In the broader bioinspiration perspective, however, bioarchitectures may perform independent functions without necessarily mimicking their biological generators. In this paper, we explore such Bioarchitectonic notions and demonstrate [...] Read more.
The mimesis of biological mechanisms by artificial devices constitutes the modern, rapidly expanding, multidisciplinary biomimetics sector. In the broader bioinspiration perspective, however, bioarchitectures may perform independent functions without necessarily mimicking their biological generators. In this paper, we explore such Bioarchitectonic notions and demonstrate three-dimensional photonics by the exact replication of insect organs using ultra-porous silica aerogels. The subsequent conformal systolic transformation yields their miniaturized affine ‘clones’ having higher mass density and refractive index. Focusing on the paradigms of ommatidia, the compound eye of the hornet Vespa crabro flavofasciata and the microtrichia of the scarab Protaetia cuprea phoebe, we fabricate their aerogel replicas and derivative clones and investigate their photonic functionalities. Ultralight aerogel microlens arrays are proven to be functional photonic devices having a focal length f ~ 1000 μm and f-number f/30 in the visible spectrum. Stepwise systolic transformation yields denser and affine functional elements, ultimately fused silica clones, exhibiting strong focusing properties due to their very short focal length of f ~ 35 μm and f/3.5. The fabricated transparent aerogel and xerogel replicas of microtrichia demonstrate a remarkable optical waveguiding performance, delivering light to their sub-100 nm nanotips. Dense fused silica conical clones deliver light through sub-50 nm nanotips, enabling nanoscale light–matter interactions. Super-resolution bioarchitectonics offers new and alternative tools and promises novel developments and applications in nanophotonics and other nanotechnology sectors. Full article
Show Figures

Figure 1

11 pages, 3516 KB  
Article
Intensity-Product-Based Optical Sensing to Beat the Diffraction Limit in an Interferometer
by Byoung S. Ham
Sensors 2024, 24(15), 5041; https://doi.org/10.3390/s24155041 - 4 Aug 2024
Cited by 2 | Viewed by 1335
Abstract
The classically defined minimum uncertainty of the optical phase is known as the standard quantum limit or shot-noise limit (SNL), originating in the uncertainty principle of quantum mechanics. Based on the SNL, the phase sensitivity is inversely proportional to K, where K [...] Read more.
The classically defined minimum uncertainty of the optical phase is known as the standard quantum limit or shot-noise limit (SNL), originating in the uncertainty principle of quantum mechanics. Based on the SNL, the phase sensitivity is inversely proportional to K, where K is the number of interfering photons or statistically measured events. Thus, using a high-power laser is advantageous to enhance sensitivity due to the K gain in the signal-to-noise ratio. In a typical interferometer, however, the resolution remains in the diffraction limit of the K = 1 case unless the interfering photons are resolved as in quantum sensing. Here, a projection measurement method in quantum sensing is adapted for classical sensing to achieve an additional K gain in the resolution. To understand the projection measurements, several types of conventional interferometers based on N-wave interference are coherently analyzed as a classical reference and numerically compared with the proposed method. As a result, the Kth-order intensity product applied to the N-wave spectrometer exceeds the diffraction limit in classical sensing and the Heisenberg limit in quantum sensing, where the classical N-slit system inherently satisfies the Heisenberg limit of π/N in resolution. Full article
Show Figures

Figure 1

42 pages, 11257 KB  
Review
Quantum Correlation Enhanced Optical Imaging
by Siddhant Vernekar and Jolly Xavier
Quantum Beam Sci. 2024, 8(3), 19; https://doi.org/10.3390/qubs8030019 - 2 Aug 2024
Cited by 5 | Viewed by 5393
Abstract
Quantum correlations, especially time correlations, are crucial in ghost imaging for significantly reducing the background noise on the one hand while increasing the imaging resolution. Moreover, the time correlations serve as a critical reference, distinguishing between signal and noise, which in turn enable [...] Read more.
Quantum correlations, especially time correlations, are crucial in ghost imaging for significantly reducing the background noise on the one hand while increasing the imaging resolution. Moreover, the time correlations serve as a critical reference, distinguishing between signal and noise, which in turn enable clear visualization of biological samples. Quantum imaging also addresses the challenge involved in imaging delicate biological structures with minimal photon exposure and sample damage. Here, we explore the recent progress in quantum correlation-based imaging, notably its impact on secure imaging and remote sensing protocols as well as on biological imaging. We also exploit the quantum characteristics of heralded single-photon sources (HSPS) combined with decoy state methods for secure imaging. This method uses Quantum Key Distribution (QKD) principles to reduce measurement uncertainties and protect data integrity. It is highly effective in low-photon number regimes for producing high-quality, noise-reduced images. The versatility of decoy state methods with WCSs (WCS) is also discussed, highlighting their suitability for scenarios requiring higher photon numbers. We emphasize the dual advantages of these techniques: improving image quality through noise reduction and enhancing data security with quantum encryption, suggesting significant potential for quantum imaging in various applications, from delicate biological imaging to secure quantum imaging and communication. Full article
(This article belongs to the Section Medical and Biological Applications)
Show Figures

Figure 1

18 pages, 16041 KB  
Article
Dynamic Inversion Method of Calculating Large-Scale Urban Building Height Based on Cooperative Satellite Laser Altimetry and Multi-Source Optical Remote Sensing
by Haobin Xia, Jianjun Wu, Jiaqi Yao, Nan Xu, Xiaoming Gao, Yubin Liang, Jianhua Yang, Jianhang Zhang, Liang Gao, Weiqi Jin and Bowen Ni
Land 2024, 13(8), 1120; https://doi.org/10.3390/land13081120 - 24 Jul 2024
Cited by 1 | Viewed by 1755
Abstract
Building height is a crucial indicator when studying urban environments and human activities, necessitating accurate, large-scale, and fine-resolution calculations. However, mainstream machine learning-based methods for inferring building heights face numerous challenges, including limited sample data and slow update frequencies. Alternatively, satellite laser altimetry [...] Read more.
Building height is a crucial indicator when studying urban environments and human activities, necessitating accurate, large-scale, and fine-resolution calculations. However, mainstream machine learning-based methods for inferring building heights face numerous challenges, including limited sample data and slow update frequencies. Alternatively, satellite laser altimetry technology offers a reliable means of calculating building heights with high precision. Here, we initially calculated building heights along satellite orbits based on building-rooftop contour vector datasets and ICESat-2 ATL03 photon data from 2019 to 2022. By integrating multi-source passive remote sensing observation data, we used the inferred building height results as reference data to train a random forest model, regressing building heights at a 10 m scale. Compared with ground-measured heights, building height samples constructed from ICESat-2 photon data outperformed methods that indirectly infer building heights using total building floor number. Moreover, the simulated building heights strongly correlated with actual observations at a single-city scale. Finally, using several years of inferred results, we analyzed building height changes in Tianjin from 2019 to 2022. Combined with the random forest model, the proposed model enables large-scale, high-precision inference of building heights with frequent updates, which has significant implications for global dynamic observation of urban three-dimensional features. Full article
(This article belongs to the Special Issue GeoAI for Urban Sustainability Monitoring and Analysis)
Show Figures

Figure 1

14 pages, 10507 KB  
Article
Position-Sensitive Silicon Photomultiplier Arrays with Large-Area and Sub-Millimeter Resolution
by Fabio Acerbi, Stefano Merzi and Alberto Gola
Sensors 2024, 24(14), 4507; https://doi.org/10.3390/s24144507 - 12 Jul 2024
Cited by 8 | Viewed by 2608
Abstract
Silicon photomultipliers (SiPMs) are solid-state single-photon-sensitive detectors that show excellent performance in a wide range of applications. In FBK (Trento, Italy), we developed a position-sensitive SiPM technology, called “linearly graded” (LG-SiPM), which is based on an avalanche-current weighted-partitioning approach. It shows position reconstruction [...] Read more.
Silicon photomultipliers (SiPMs) are solid-state single-photon-sensitive detectors that show excellent performance in a wide range of applications. In FBK (Trento, Italy), we developed a position-sensitive SiPM technology, called “linearly graded” (LG-SiPM), which is based on an avalanche-current weighted-partitioning approach. It shows position reconstruction resolution below 250 μm on an 8 × 8 mm2 device area with four readout channels and minimal distortions. A recent development in terms of LG-SIPM is a larger chip version (10 × 10 mm2) based on FBK NUV-HD technology (near-ultraviolet sensitive), with a peak photon detection efficiency at 420 nm. Such a large-area detector with position sensitivity is very interesting in applications like MR-compatible PET, high-energy physics experiments, and readout of time-projection chambers, gamma and beta cameras, or scintillating fibers, with a reduced number of channels. These SiPMs were characterized in terms of noise, photon detection efficiency, and position resolution. We also developed tiles of 2 × 2 and 3 × 3 LG-SiPMs, reaching very large sensitive areas of 20 × 20 mm2 and 30 × 30 mm2. We implemented a “smart-channel” configuration, which allowed us to have just six output channels for the 2 × 2 elements and eight channels for the 3 × 3 element tiles, preserving a position resolution below 0.5 mm. These kinds of detectors provide a great advantage in compact and low-power applications by maintaining position sensitivity over large areas with a small number of channels. Full article
(This article belongs to the Special Issue Advanced Silicon Photomultiplier Based Sensors)
Show Figures

Figure 1

Back to TopTop