Sign in to use this feature.

Years

Between: -

Subjects

remove_circle_outline
remove_circle_outline
remove_circle_outline
remove_circle_outline
remove_circle_outline
remove_circle_outline
remove_circle_outline
remove_circle_outline
remove_circle_outline

Journals

Article Types

Countries / Regions

remove_circle_outline
remove_circle_outline
remove_circle_outline
remove_circle_outline

Search Results (321)

Search Parameters:
Keywords = photo polymerization

Order results
Result details
Results per page
Select all
Export citation of selected articles as:
17 pages, 10921 KB  
Article
Effect of Solvent Polarity on the Photo-Induced Polymerization-Induced Self-Assembly of Poly(tert-butyl acrylate)-block-Polystyrene near Room Temperature
by Tianyi Zhou, Jiawei Song and Gerald Guerin
Polymers 2026, 18(2), 165; https://doi.org/10.3390/polym18020165 - 7 Jan 2026
Viewed by 243
Abstract
Reversible addition-fragmentation chain transfer mediated polymerization-induced self-assembly (RAFT-PISA) offers an efficient approach for the preparation of polymeric nanomaterials, giving access not only to common structures such as spheres, worm-like micelles and vesicles, but also to much more complex meso-objects. However, when the core [...] Read more.
Reversible addition-fragmentation chain transfer mediated polymerization-induced self-assembly (RAFT-PISA) offers an efficient approach for the preparation of polymeric nanomaterials, giving access not only to common structures such as spheres, worm-like micelles and vesicles, but also to much more complex meso-objects. However, when the core forming block polymer possesses a high glass transition temperature (Tg), like poly(methyl methacrylate) or polystyrene (PS), high-order morphologies are particularly difficult to achieve since the glassy core can prevent polymer chain reorganization during PISA. To overcome this issue, we chose to perform visible light-initiated RAFT-PISA of poly(tert-butyl acrylate)-block-polystyrene (PtBA-b-PS) in solvent systems with varying degrees of polarity. More specifically, we prepared different mixtures of diisopropyl ether and ethanol and chose PtBA as macro-CTA due to its broad range of solubility. By varying the ratio between ethanol and diisopropyl ether, we could observe a transition from spherical micelles to vesicles via intermediate structures (e.g., necklace-like micelles, network-like micellar aggregates and wedding rings). This result was particularly remarkable since the experiments were performed near room temperature. We believe that these multiple morphologies were induced by the interactions between the solvent and the corona and the change in swelling of the polystyrene core with styrene monomer that facilitated its rearrangement. We anticipate that this approach could be applied to other polymeric systems with high Tgs. Full article
(This article belongs to the Section Polymer Networks and Gels)
Show Figures

Figure 1

12 pages, 6957 KB  
Article
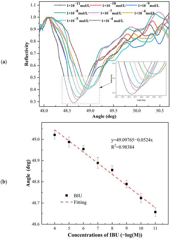
Trace Detection of Ibuprofen in Solution Based on Surface Plasmon Resonance Technology
by Sijia Han, Zhitao Yang, Songlin Jia, Fenglei Zhao and Zehong Xu
Appl. Sci. 2026, 16(1), 498; https://doi.org/10.3390/app16010498 - 4 Jan 2026
Viewed by 101
Abstract
A surface plasmon resonance (SPR) sensor utilizing a molecularly imprinted polymer (MIP) film as the recognition element was developed for the selective detection of the non-steroidal anti-inflammatory drug ibuprofen (IBU). The molecularly imprinted film on the SPR sensor chip was prepared via photo-initiated [...] Read more.
A surface plasmon resonance (SPR) sensor utilizing a molecularly imprinted polymer (MIP) film as the recognition element was developed for the selective detection of the non-steroidal anti-inflammatory drug ibuprofen (IBU). The molecularly imprinted film on the SPR sensor chip was prepared via photo-initiated in situ polymerization, enabling specific recognition of IBU molecules. Experimental results indicate that the SPR sensor can specifically identify IBU in solution, with a detection limit of 10−11 mol/L for ibuprofen. Within the concentration range of 10−11 to 10−4 mol/L, a linear relationship was observed between the SPR signal and the negative logarithm of the IBU concentration. This method offers the advantages of a low detection limit, wide detection range, and high selectivity, making it suitable for trace detection of IBU in solutions. Full article
Show Figures

Figure 1

38 pages, 967 KB  
Review
Environmentally Sustainable and Climate-Adapted Bitumen–Composite Materials for Road Construction in Central Asia
by Gulbarshin K. Shambilova, Rinat M. Iskakov, Nurgul K. Shazhdekeyeva, Bayan U. Kuanbayeva, Mikhail S. Kuzin, Ivan Yu. Skvortsov and Igor S. Makarov
Infrastructures 2025, 10(12), 345; https://doi.org/10.3390/infrastructures10120345 - 12 Dec 2025
Viewed by 711
Abstract
This review examines scientific and engineering strategies for adapting bituminous and asphalt concrete materials to the highly diverse climates of Central Asia. The region’s sharp gradients—from arid lowlands to cold mountainous zones—expose pavements to thermal fatigue, photo-oxidative aging, freeze–thaw cycles, and wind abrasion. [...] Read more.
This review examines scientific and engineering strategies for adapting bituminous and asphalt concrete materials to the highly diverse climates of Central Asia. The region’s sharp gradients—from arid lowlands to cold mountainous zones—expose pavements to thermal fatigue, photo-oxidative aging, freeze–thaw cycles, and wind abrasion. Existing climatic classifications and principles for designing thermally and radiatively resilient pavements are summarized. Special emphasis is placed on linking binder morphology, rheology, and climate-induced transformations in composite bituminous systems. Advanced characterization methods—including dynamic shear rheometry (DSR), multiple stress creep recovery (MSCR), bending beam rheometry (BBR), and linear amplitude sweep (LAS), supported by FTIR, SEM, and AFM—enable quantitative correlations between phase composition, oxidative chemistry, and mechanical performance. The influence of polymeric, nanostructured, and biopolymeric modifiers on stability and durability is critically assessed. The review promotes region-specific material design and the use of integrated accelerated aging protocols (RTFOT, PAV, UV, freeze–thaw) that replicate local climatic stresses. A climatic rheological profile is proposed as a unified framework combining climate mapping with microstructural and rheological data to guide the development of sustainable and durable pavements for Central Asia. Key rheological indicators—complex modulus (G*), non-recoverable creep compliance (Jnr), and the BBR m-value—are incorporated into this profile. Full article
Show Figures

Figure 1

27 pages, 8744 KB  
Review
Recent Progress in WO3-Based Photo(electro)-Catalysis Systems for Green Organic Synthesis and Wastewater Remediation: A Review
by Linghua Bu, Lingxiao Tan, Sai Zhang, Kun Xu and Chengchu Zeng
Catalysts 2025, 15(11), 1061; https://doi.org/10.3390/catal15111061 - 6 Nov 2025
Cited by 1 | Viewed by 890
Abstract
Photo(electro)-catalysis has increasingly attracted attention from researchers due to its wide applications in green chemical transformation, including organic synthesis and environmental remediation. As a promising candidate, the n-type semiconductor WO3 possesses a suitable bandgap (~2.6 eV), good visible-light response, high chemical stability, [...] Read more.
Photo(electro)-catalysis has increasingly attracted attention from researchers due to its wide applications in green chemical transformation, including organic synthesis and environmental remediation. As a promising candidate, the n-type semiconductor WO3 possesses a suitable bandgap (~2.6 eV), good visible-light response, high chemical stability, and multi-electron transfer capability, thus endowing it with enormous potential in heterogeneous photocatalysis (PC) and photoelectrocatalysis (PEC) to address environment and energy issues. In this review, the recent research progress of WO3-based photo(electro)-catalysts is examined and systematically summarized with regard to construction strategies and various application scenarios. To start with, the research background, functionalization methods and possible reaction mechanisms for WO3 are introduced in depth. Key influencing factors, including light absorption capacity, charge carrier separation, and reusability, are also analyzed. Then, diverse applications of WO3 for the elimination of organic pollutants (e.g., persistent organic pollutants and polymeric wastes) and green organic synthesis (i.e., oxidation, reduction, and other reactions) are intentionally discussed to underscore their vast potential in photo(electro)-catalytic performance. Finally, future challenges and insightful perspectives are proposed to explore effective WO3-based materials. This comprehensive review aims to offer profound insights into innovative exploration of high-performance WO3 semiconductor catalysts and guide new researchers in this field to better understand their vital roles in green organic synthesis and hazardous pollutants removal. Full article
(This article belongs to the Special Issue Advanced Photo/Electrocatalysts for Environmental Purification)
Show Figures

Graphical abstract

23 pages, 14755 KB  
Article
Ethylene-Vinyl Acetate Copolymer as a Polyfunctional Modifier for Low-Viscosity Photosensitive Compositions
by Dmitriy A. Bazhanov, Uliana V. Nikulova, Ramil R. Khasbiullin, Nikita Yu. Budylin, Elizaveta V. Ermakova and Aleksey V. Shapagin
Polymers 2025, 17(20), 2787; https://doi.org/10.3390/polym17202787 - 17 Oct 2025
Viewed by 808
Abstract
The article presents the results of a study of the possibility of using heat-treated ethylene-vinyl acetate copolymer (EVA) as a thermoplastic modifier in a photosensitive composition based on tert-butyl acrylate (tBA). The use of such a modifier in 3D printing compositions is important [...] Read more.
The article presents the results of a study of the possibility of using heat-treated ethylene-vinyl acetate copolymer (EVA) as a thermoplastic modifier in a photosensitive composition based on tert-butyl acrylate (tBA). The use of such a modifier in 3D printing compositions is important for improving their physical and mechanical properties at low temperatures. An attempt was also made to use EVA as a polymer chain brancher. The molecular structure of the components and their compositions, rheology, curing kinetics, and phase organization of photocured systems were studied using FTIR and NMR spectroscopy, spectrophotometry, rheometry, Photo-DSC, and scanning electron microscopy. It was found that heat treatment of EVA allows the formation of single C=C bonds in macromolecules, which are necessary for a potential crosslinking agent with tBA. It was shown that EVA effectively functions as a thickener and modifier: with an increase in the modifier concentration, the nature of the composition flow changes from Newtonian to pseudoplastic, the rate of the photochemical polymerization reaction decreases, and the degree of conversion of the system decreases. However, the formation of a heterogeneous phase structure and the absence of a continuous spatial network of chemical bonds prevent the use of EVA simultaneously as a functional additive and crosslinking agent. Full article
Show Figures

Graphical abstract

13 pages, 7281 KB  
Article
Photo-Thermal Synergistic Catalytic Oxidative Dehydrogenation of Propane over NiO Nanoparticle-Decorated Graphitic Carbon Nitride
by Pengcheng Dai, Hui Zhao, Dehong Yang, Yongxin Zhao, Longzhen Cheng, Huishan Chen, Dongzhi Jiang and Yilong Cui
Catalysts 2025, 15(10), 919; https://doi.org/10.3390/catal15100919 - 24 Sep 2025
Viewed by 831
Abstract
The oxidative dehydrogenation of propane (ODHP) catalyzed by oxygen offers several advantages, including resistance to carbon deposition and low energy consumption. However, achieving high propylene selectivity at industrially relevant conversions remains challenging, as existing catalysts typically require temperatures exceeding 500 °C, promoting over-oxidation [...] Read more.
The oxidative dehydrogenation of propane (ODHP) catalyzed by oxygen offers several advantages, including resistance to carbon deposition and low energy consumption. However, achieving high propylene selectivity at industrially relevant conversions remains challenging, as existing catalysts typically require temperatures exceeding 500 °C, promoting over-oxidation to COx. In this study, we developed a NiO nanoparticle-decorated graphitic carbon nitride catalyst (NiO@CN-600) via thermal polymerization–oxidation for photo-thermal synergistic ODHP. At 430 °C, thermal catalysis achieved a propane conversion of 14%. Remarkably, introducing light irradiation boosted conversion to 24%, a 10% increase. Further experimental results reveal that the photo-thermal synergistic catalysis can be described by the following mechanism: initial thermal energy provides sufficient activation energy, enabling the reaction to overcome the energy barrier and proceed smoothly. Simultaneously, the introduction of light energy enhances the activity of lattice oxygen, making it more likely to detach from the lattice and form oxygen vacancies, which in turn boosts the efficiency of the oxidation reaction on the catalyst surface. Full article
(This article belongs to the Section Catalytic Reaction Engineering)
Show Figures

Figure 1

35 pages, 3619 KB  
Review
Research Progress on the Preparation, Modification, and Applications of g-C3N4 in Photocatalysis and Piezoelectric Photocatalysis
by Mengyang Li, Liuqing Yang, Yizhe Song, Hongru Hou, Yujie Fang, Yucheng Liu, Lihao Xie and Dingze Lu
Inorganics 2025, 13(9), 300; https://doi.org/10.3390/inorganics13090300 - 5 Sep 2025
Viewed by 2008
Abstract
The metal-free polymeric semiconductor graphitic carbon nitride (g-C3N4) has emerged as a promising material for photocatalytic applications due to its responsiveness to visible light, adjustable electronic structure, and stability. This review systematically summarizes recent advances in preparation strategies, including [...] Read more.
The metal-free polymeric semiconductor graphitic carbon nitride (g-C3N4) has emerged as a promising material for photocatalytic applications due to its responsiveness to visible light, adjustable electronic structure, and stability. This review systematically summarizes recent advances in preparation strategies, including thermal polycondensation, solvothermal synthesis, and template methods. Additionally, it discusses modification approaches such as heterojunction construction, elemental doping, defect engineering, morphology control, and cocatalyst loading. Furthermore, it explores the diverse applications of g-C3N4-based materials in photocatalysis, including hydrogen (H2) evolution, carbon dioxide (CO2) reduction, pollutant degradation, and the emerging field of piezoelectric photocatalysis. Particular attention is given to g-C3N4 composites that are rationally designed to enhance charge separation and light utilization. Additionally, the synergistic mechanism of photo–piezocatalysis is examined, wherein a mechanically induced piezoelectric field facilitates carrier separation and surface reactions. Despite significant advancements, challenges persist, including limited visible-light absorption, scalability issues, and uncertainties in the multi-field coupling mechanisms. The aim of this review is to provide guidelines for future research that may lead to the development of high-performance and energy-efficient catalytic systems in the context of environmental and energy applications. Full article
(This article belongs to the Special Issue Featured Papers in Inorganic Materials 2025)
Show Figures

Figure 1

15 pages, 2419 KB  
Article
Development and 3D Printing of AESO-Based Composites Containing Olive Pit Powder
by Giovanna Colucci, Francesca Sacchi, Marta Checchi, Marianna Barbalinardo, Francesca Chiarini, Federica Bondioli, Carla Palumbo and Massimo Messori
J. Compos. Sci. 2025, 9(9), 479; https://doi.org/10.3390/jcs9090479 - 3 Sep 2025
Viewed by 1003
Abstract
Bio-based polymeric composites were prepared by dispersing different amounts of olive pit (OP) powder within an acrylate epoxidized soybean oil (AESO) photocurable resin using tetrahydrofurfuryl acrylate (THFA) as diluent and (2,4,6-trimethylbenzoyl), phosphine oxide (BAPO) as photo-initiator, and they were photocured by Vat Photopolymerization [...] Read more.
Bio-based polymeric composites were prepared by dispersing different amounts of olive pit (OP) powder within an acrylate epoxidized soybean oil (AESO) photocurable resin using tetrahydrofurfuryl acrylate (THFA) as diluent and (2,4,6-trimethylbenzoyl), phosphine oxide (BAPO) as photo-initiator, and they were photocured by Vat Photopolymerization (VP) using a Liquid Crystal Display (LCD) 3D printer. Formulation viscosity was studied because of its important role in a VP process able to influence the printability of the final parts. Different 3D printed architectures were successfully realized with good resolution and accuracy, high level of detail, and flexibility. The effect of OP addition was investigated by thermal (TGA and DSC), morphological (SEM and PSD), viscoelastic (DMA), and mechanical (tensile testing) characterization. The filler led to an increase in the Tg, storage modulus, and tensile properties, underlining the stiffening effect induced by the OP particles onto the polymeric starting resin. This underlines the possibility to apply these bio-based composites in many application fields by valorizing agro-wastes, developing more sustainable materials, and taking advantages of VP 3D printing, such as low costs, minimal wastage, and customized geometry. Biocompatibility tests were also successfully carried out. The results clearly indicate that the AESO-based composites promote cell adhesion and viability. Full article
(This article belongs to the Special Issue Sustainable Polymer Composites: Waste Reutilization and Valorization)
Show Figures

Graphical abstract

29 pages, 42730 KB  
Article
Sustainable and Functional Polymeric Coating for Wood Preservation
by Ramona Marina Grigorescu, Rodica-Mariana Ion, Lorena Iancu, Sofia Slamnoiu-Teodorescu, Anca Irina Gheboianu, Elvira Alexandrescu, Madalina Elena David, Mariana Constantin, Iuliana Raut, Celina Maria Damian, Cristian-Andi Nicolae and Bogdan Trica
Coatings 2025, 15(8), 875; https://doi.org/10.3390/coatings15080875 - 25 Jul 2025
Cited by 2 | Viewed by 1378
Abstract
The development of sustainable and functional nanocomposites has attracted considerable attention in recent years due to their broad spectrum of potential applications, including wood preservation. Also, a global goal is to reuse the large volumes of waste for environmental issues. In this context, [...] Read more.
The development of sustainable and functional nanocomposites has attracted considerable attention in recent years due to their broad spectrum of potential applications, including wood preservation. Also, a global goal is to reuse the large volumes of waste for environmental issues. In this context, the aim of the study was to obtain soda lignin particles, to graft ZnO nanoparticles onto their surface and to apply these hybrids, embedded into a biodegradable polymer matrix, as protection/preservation coating for oak wood. The organic–inorganic hybrids were characterized in terms of compositional, structural, thermal, and morphological properties that confirm the efficacy of soda lignin extraction and ZnO grafting by physical adsorption onto the decorating support and by weak interactions and coordination bonding between the components. The developed solution based on poly(3-hydroxybutyrate-co-3-hydroxyvalerate) and lignin-ZnO was applied to oak wood specimens by brushing, and the improvement in hydrophobicity (evaluated by water absorption that decreased by 48.8% more than wood, humidity tests where the treated sample had a humidity of 4.734% in comparison with 34.911% for control, and contact angle of 97.8° vs. 80.5° for untreated wood) and UV and fungal attack protection, while maintaining the color and aspect of specimens, was sustained. L.ZnO are well dispersed into the polymer matrix, ensuring a smooth and less porous wood surface. According to the results, the obtained wood coating using both a biodegradable polymeric matrix and a waste-based preservative can be applied for protection against weathering degradation factors, with limited water uptake and swelling of the wood, UV shielding, reduced wood discoloration and photo-degradation, effective protection against fungi, and esthetic quality. Full article
Show Figures

Figure 1

11 pages, 1984 KB  
Article
High-Resolution DLP 3D Printing for Complex Curved and Thin-Walled Structures at Practical Scale: Archimedes Microscrew
by Chih-Lang Lin, Jun-Ting Liu and Chow-Shing Shin
Micromachines 2025, 16(7), 762; https://doi.org/10.3390/mi16070762 - 29 Jun 2025
Cited by 1 | Viewed by 1467
Abstract
As three-dimensional (3D) printing becomes increasingly prevalent in microfluidic system fabrication, the demand for high precision has become critical. Among various 3D printing technologies, light-curing-based methods offer superior resolution and are particularly well suited for fabricating microfluidic channels and associated micron-scale components. Two-photon [...] Read more.
As three-dimensional (3D) printing becomes increasingly prevalent in microfluidic system fabrication, the demand for high precision has become critical. Among various 3D printing technologies, light-curing-based methods offer superior resolution and are particularly well suited for fabricating microfluidic channels and associated micron-scale components. Two-photon polymerization (TPP), one such method, can achieve ultra-high resolution at the submicron level. However, its severely limited printable volume and high operational costs significantly constrain its practicality for real-world applications. In contrast, digital light processing (DLP) 3D printing provides a more balanced alternative, offering operational convenience, lower cost, and print dimensions that are more compatible with practical microfluidic needs. Despite these advantages, most commercial DLP systems still struggle to fabricate intricate, high-resolution structures—particularly curve, thin-walled, or hollow ones—due to over-curing and interlayer adhesion issues. In this study, we developed a DLP-based projection micro-stereolithography (PμSL) system with a simple optical reconfiguration and fine-tuned its parameters to overcome limitations in printing precise and intricate structures. For demonstration, we selected an Archimedes microscrew as the target structure, as it serves as a key component in microfluidic micromixers. Based on our previous study, the most effective design was selected and fabricated in accordance with practical microfluidic dimensions. The PμSL system developed in this study, along with optimized parameters, provides a reference for applying DLP 3D printing in high-precision microfabrication and advancing microfluidic component development. Full article
(This article belongs to the Special Issue Recent Advances in Micro/Nanofabrication, 2nd Edition)
Show Figures

Figure 1

16 pages, 2807 KB  
Review
Research on the Rapid Curing Mechanism and Technology of Chinese Lacquer
by Jiangyan Hou, Tianyi Wang, Yao Wang, Xinhao Feng and Xinyou Liu
Polymers 2025, 17(12), 1596; https://doi.org/10.3390/polym17121596 - 7 Jun 2025
Cited by 1 | Viewed by 1392
Abstract
Chinese lacquer, a historically significant bio-based coating, has garnered increasing attention in sustainable materials research due to its outstanding corrosion resistance, thermal stability, and environmental friendliness. Its curing process relies on the laccase-catalyzed oxidation and polymerization of urushiol to form a dense lacquer [...] Read more.
Chinese lacquer, a historically significant bio-based coating, has garnered increasing attention in sustainable materials research due to its outstanding corrosion resistance, thermal stability, and environmental friendliness. Its curing process relies on the laccase-catalyzed oxidation and polymerization of urushiol to form a dense lacquer film. However, the stringent temperature and humidity requirements (20–30 °C, 70–80% humidity) and a curing period that can extend over several weeks severely constrain its industrial application. Recent studies have significantly enhanced the curing efficiency through strategies such as pre-polymerization control, metal ion catalysis (e.g., Cu2+ reducing drying time to just one day), and nanomaterial modification (e.g., nano-Al2O3 increasing film hardness to 6H). Nevertheless, challenges remain, including the sensitivity of laccase activity to environmental fluctuations, the trade-off between accelerated curing and film performance, and issues related to toxic pigments and VOC emissions. Future developments should integrate enzyme engineering (e.g., directed evolution to broaden laccase tolerance), intelligent catalytic systems (e.g., photo-enzyme synergy), and green technologies (e.g., UV curing), complemented by multiscale modeling and circular design strategies, to drive the innovative applications of Chinese lacquer in high-end fields such as aerospace sealing and cultural heritage preservation. Full article
(This article belongs to the Section Polymer Composites and Nanocomposites)
Show Figures

Figure 1

13 pages, 4204 KB  
Article
Use of Biobased Resins Derived from Renewable Monomers for Sustainable 3D Fabrication Through Two-Photon Polymerization
by Francisco Gontad, Jaime Cuartero, Sara Vidal, Nerea Otero, Natalia M. Schulz and Tobias Robert
J. Manuf. Mater. Process. 2025, 9(3), 89; https://doi.org/10.3390/jmmp9030089 - 10 Mar 2025
Cited by 1 | Viewed by 1611
Abstract
This work demonstrates the fabrication of microstructures with formulations containing bio-based prepolymers derived from itaconic acid, commercial reactive diluents, photo initiators, and inhibitors, through two-photon polymerization. Lateral and vertical resolutions within the micron range can be achieved by the adjustment of laser scanning [...] Read more.
This work demonstrates the fabrication of microstructures with formulations containing bio-based prepolymers derived from itaconic acid, commercial reactive diluents, photo initiators, and inhibitors, through two-photon polymerization. Lateral and vertical resolutions within the micron range can be achieved by the adjustment of laser scanning speed and pulse energy, and through the use of microscope objectives with high magnification and numerical aperture. The fabrication throughput can be slightly increased by simultaneously increasing the laser pulse energy and scanning speed, with special care to keep the resolution of the features that can be written via two-photon polymerization. Feasibility for the fabrication of 3D microstructures is demonstrated, through the fabrication of benchmark structures like woodpiles and pyramidal structures. Thus, this work proves that resins based on biobased formulations, originally designed for UV-curing 3D printing, can be adapted for two-photon polymerization, obtaining 3D microstructures with resolutions within the micron range. Full article
Show Figures

Figure 1

20 pages, 6732 KB  
Article
Preparation of Recyclable Magnetic Catalyst (Pd/PDA@Fe3O4) and the Catalytic Degradation of 4-Nitrophenol and Rhodamine B
by Wei Wang, Jiaqi Liu, Guang Shi, Shiqi Wu, Shihan Zhang and Ruixia Yuan
Catalysts 2025, 15(2), 175; https://doi.org/10.3390/catal15020175 - 13 Feb 2025
Cited by 5 | Viewed by 1964
Abstract
A magnetic shell-structured nano-catalyst was prepared by self-polymerization of dopamine wrapped by ferric oxide as the carrier, which was loaded with palladium nanoparticles (Pd/PDA@Fe3O4). The presence of magnetic Fe3O4 made it easy for nanoscale palladium particles [...] Read more.
A magnetic shell-structured nano-catalyst was prepared by self-polymerization of dopamine wrapped by ferric oxide as the carrier, which was loaded with palladium nanoparticles (Pd/PDA@Fe3O4). The presence of magnetic Fe3O4 made it easy for nanoscale palladium particles to recover and prevent the loss of palladium nanoparticles that is unavoidable in traditional usage and preparation procedures. The catalyst was characterized by X-ray diffraction, fourier transform infrared spectroscopy, scanning electron microscopy, thermal weight loss analysis, Raman spectroscopy, X-ray photo-electron spectroscopy, and magnetic properties analysis. The catalytic performance of the prepared catalyst was investigated taking 4-nitrophenol (10 mg/L) and rhodamine B (15 mg/L) as the target pollutants. The results showed that under the conditions of 35 °C, pH = 7 and a catalyst dosage of 3 mg, the catalytic reduction efficiency of 4-nitrophenol, rhodamine B, and the mixture of them all can reach 99%. The catalytic efficiency of Pd/PDA@Fe3O4 remained above 90% after being used 10 times. The shell structure of Fe3O4 made it possible and easy to recover and recycle the nanoscale palladium, which was a real problem in the usage of nano-catalysts. At the same time, the problem of separation and recovery of palladium nano-catalyst is solved by magnetism, which provides research ideas for the recycling and utilization of nano-materials. Full article
Show Figures

Figure 1

11 pages, 2558 KB  
Article
Self-Assembled Protein–Polymer Nanoparticles via Photoinitiated Polymerization-Induced Self-Assembly for Targeted and Enhanced Drug Delivery in Cancer Therapy
by Gayathri R. Ediriweera, Yixin Chang, Wenting Yang, Andrew K. Whittaker and Changkui Fu
Molecules 2025, 30(4), 856; https://doi.org/10.3390/molecules30040856 - 13 Feb 2025
Cited by 6 | Viewed by 2856
Abstract
Protein–polymer bioconjugates offer numerous advantages in biomedical applications by integrating the benefits of functional proteins and tunable synthetic polymers. Developing drug-loaded protein–polymer nanoparticles, with a receptor-targeting protein forming the nanoparticle shell, would be ideal for the targeted delivery of drugs to cancer cells [...] Read more.
Protein–polymer bioconjugates offer numerous advantages in biomedical applications by integrating the benefits of functional proteins and tunable synthetic polymers. Developing drug-loaded protein–polymer nanoparticles, with a receptor-targeting protein forming the nanoparticle shell, would be ideal for the targeted delivery of drugs to cancer cells that overexpress specific receptors for more effective cancer therapy. In this study, we report the synthesis of reduction-responsive protein–polymer nanoparticles by a photoinitiated polymerization-induced self-assembly (photo-PISA) approach. Anti-cancer drugs can be efficiently encapsulated at high concentrations within the nanoparticles during the photo-PISA process. These protein–polymer nanoparticles present transferrin (Tf) on their surfaces, capable of targeting the overexpressed Tf receptors found on cancer cells. It was found that the nanoparticles demonstrate enhanced cellular uptake and delivery of the anti-cancer drug, curcumin, to cancer cells via Tf receptor-mediated endocytosis, compared to the control PEGylated nanoparticles that lack targeting capability. Moreover, the nanoparticles can release the encapsulated curcumin in response to a reducing environment, a characteristic of cancer cells compared to health cells. Consequently, the synthesized protein–polymer nanoparticles are more effective in inducing cancer cell death compared to the control nanoparticles, demonstrating their potential as an effective and targeted drug delivery system for cancer therapy. Full article
(This article belongs to the Special Issue Advances in Functional Polymers and Their Applications)
Show Figures

Figure 1

18 pages, 13825 KB  
Article
Effect of Load Vector Orientation on Uniaxial Compressive Strength of 3D Photoresin
by Evgenii Kozhevnikov, Mikhail Turbakov, Evgenii Riabokon, Zakhar Ivanov, Andrei Golosov, Arina Panteleeva and Yan Savitsky
J. Manuf. Mater. Process. 2025, 9(1), 23; https://doi.org/10.3390/jmmp9010023 - 14 Jan 2025
Cited by 3 | Viewed by 1475
Abstract
Rapid prototyping has a wide range of applications across various fields, both in industry and for private use. It enables the production of individual parts in a short time, independent of supply chains, which is particularly important in remote locations. Among all 3D [...] Read more.
Rapid prototyping has a wide range of applications across various fields, both in industry and for private use. It enables the production of individual parts in a short time, independent of supply chains, which is particularly important in remote locations. Among all 3D printing technologies, stereolithography using photo resins is the most accessible and offers the highest printing quality. However, the strength properties of parts made from photo resins remain a critical concern. In this study, we conducted experimental research to investigate the effect of load vector orientation under uniaxial compression on the elastic and mechanical properties of 3D-printed cylindrical samples. The results revealed that samples with layers oriented at 60° to the load vector exhibited the highest strength, while those with layers at 30° to the load vector showed the lowest strength. Samples with layers aligned parallel or perpendicular to the load vector demonstrated similar strength properties. Under quasi-elastic loading, samples with layers parallel to the load vector exhibited the highest Young’s modulus and the lowest Poisson’s ratio. Conversely, samples with layers oriented at 30° to the load vector displayed the highest Poisson’s ratio. Microstructural analysis revealed that the anisotropy in the mechanical properties of the 3D-printed samples is attributed to the layered, heterogeneous structure of the photoresin, which exhibits varying degrees of polymerization along the printing axes. The upper part of each layer, with a lower degree of polymerization, contributes to the ductile behavior of the samples under shear stresses. In contrast, the lower part of the layer, with a higher degree of polymerization, leads to brittle behavior in the samples. Full article
Show Figures

Figure 1

Back to TopTop