Sign in to use this feature.

Years

Between: -

Subjects

remove_circle_outline
remove_circle_outline
remove_circle_outline
remove_circle_outline
remove_circle_outline
remove_circle_outline
remove_circle_outline
remove_circle_outline
remove_circle_outline

Journals

remove_circle_outline
remove_circle_outline
remove_circle_outline
remove_circle_outline
remove_circle_outline
remove_circle_outline
remove_circle_outline
remove_circle_outline
remove_circle_outline
remove_circle_outline
remove_circle_outline
remove_circle_outline
remove_circle_outline

Article Types

Countries / Regions

remove_circle_outline
remove_circle_outline
remove_circle_outline
remove_circle_outline
remove_circle_outline

Search Results (2,101)

Search Parameters:
Keywords = peptide stability

Order results
Result details
Results per page
Select all
Export citation of selected articles as:
18 pages, 747 KB  
Review
Factor XII in Thrombosis and Thromboinflammation: From Molecular Biology to Clinical Translation
by Jan Stępnicki, Anna M. Imiela, Marta Szymańska, Jakub Mikołajczuk and Piotr Pruszczyk
Int. J. Mol. Sci. 2026, 27(7), 3336; https://doi.org/10.3390/ijms27073336 (registering DOI) - 7 Apr 2026
Abstract
Factor XII (FXII) is a central mediator at the intersection of coagulation, fibrinolysis, inflammation, and immunity. It is activated upon contact with negatively charged surfaces, triggering the intrinsic coagulation pathway and driving thrombus formation and stabilization. Beyond clotting, FXII contributes to activation of [...] Read more.
Factor XII (FXII) is a central mediator at the intersection of coagulation, fibrinolysis, inflammation, and immunity. It is activated upon contact with negatively charged surfaces, triggering the intrinsic coagulation pathway and driving thrombus formation and stabilization. Beyond clotting, FXII contributes to activation of the kallikrein–kinin system, generation of bradykinin, and modulation of inflammatory and immune responses. Congenital FXII deficiency does not increase bleeding risk, highlighting its unique role and making FXII inhibition an attractive strategy for anticoagulation and immune modulation with a potentially superior safety profile. Preclinical studies provide compelling evidence for this concept. In models of ischemic stroke and traumatic brain injury, FXII blockade significantly reduced infarct volume, improved neurological outcomes, and attenuated neuroinflammation without increasing hemorrhage. Similarly, in extracorporeal circulation and vascular stent implantation, FXII inhibition prevented thrombus formation and reduced fibrin deposition, achieving effects comparable to heparin but with markedly lower bleeding risk. Several classes of FXII inhibitors are currently in development, including antisense oligonucleotides, peptides, recombinant proteins, and monoclonal antibodies. Among them, Ixodes ricinus contact phase inhibitor (Ir-CPI) and recombinant human albumin-fused Infestin-4 (rHA-Infestin-4) have demonstrated strong antithrombotic efficacy in animal models. Most notably, garadacimab, a monoclonal anti-FXIIa antibody, has completed phase 3 trials and received regulatory approval for hereditary angioedema (HAE) prophylaxis, where it markedly reduces attack frequency with a favorable safety profile. This review summarizes current knowledge on FXII biology and evaluates its translational potential as a novel target for anticoagulant and anti-inflammatory therapies. Full article
Show Figures

Figure 1

28 pages, 2628 KB  
Article
Scalable Jet-O-Mized Eggshell Membrane Processing for Bioactives Promoting Gut Health
by Manar Younes, Tamer A. E. Ahmed, Riadh Hammami and Maxwell T. Hincke
Molecules 2026, 31(7), 1217; https://doi.org/10.3390/molecules31071217 - 7 Apr 2026
Abstract
This study introduces a novel, simplified, and scalable two-step process for generating bioactive eggshell membrane (ESM) formulations by combining jet-O-mizer ultra-fine milling of ESM (yielding JEM biomaterial) with KOH-mediated hydrolysis, achieving ~50% solubilization of proteins and peptides and enabling the first evaluation of [...] Read more.
This study introduces a novel, simplified, and scalable two-step process for generating bioactive eggshell membrane (ESM) formulations by combining jet-O-mizer ultra-fine milling of ESM (yielding JEM biomaterial) with KOH-mediated hydrolysis, achieving ~50% solubilization of proteins and peptides and enabling the first evaluation of ESM-derived bioactives for gut health applications. The soluble protein fraction (SJ) was separated from the whole hydrolysate (WJ), and subjected to simulated gastrointestinal digestion to assess stability and bioavailability. The antioxidant capacities of the JEM-derived material showed a significant 15-fold increase compared to soluble non-hydrolyzed JEM (NJEM). SJ inhibited E. coli bacterial growth by 50% within 24 h, compared to the untreated bacterial culture. The formulations demonstrated superior anti-inflammatory properties with lipopolysaccharide (LPS)-induced RAW macrophages, resulting in a 80% reduction in NO production compared to untreated cells. Proteomics analysis of SJ revealed key anti-inflammatory (YBX1, YWHAE) and antimicrobial (OCX36, OC-17, TENP, and histones) effectors whose coordinated activities could modulate gut microbial composition. The permeability of the intestinal barrier model Caco-2 monolayer was not significantly affected by treatment with any JEM-derived formulation, thereby predicting maintenance of intestinal integrity. This study provides safe, novel ESM derivatives with high bioavailability and multifunctional bioactivities, including antibacterial, antioxidant, and anti-inflammatory effects, positioning them as promising candidates for dietary supplements to promote gut health. Full article
Show Figures

Figure 1

24 pages, 865 KB  
Review
Applied Advances in Whey Bioactive Peptides: Enzymatic Generation, Mechanisms of Action, and Health-Related Applications
by Génesis K. González-Quijano, José Roberto González-Reyes, Ilse Monroy-Rodríguez, Esmeralda Rangel-Vargas, Ciro Baruchs Muñoz-Llandes and Fabiola Araceli Guzmán-Ortiz
Appl. Biosci. 2026, 5(2), 30; https://doi.org/10.3390/applbiosci5020030 - 7 Apr 2026
Abstract
Whey is a major by-product of the dairy industry and represents a valuable source of proteins that can be enzymatically converted into bioactive peptides with diverse health-related functions. In recent years, increasing attention has been given to whey-derived peptides due to their antioxidant, [...] Read more.
Whey is a major by-product of the dairy industry and represents a valuable source of proteins that can be enzymatically converted into bioactive peptides with diverse health-related functions. In recent years, increasing attention has been given to whey-derived peptides due to their antioxidant, antihypertensive, antimicrobial, anti-inflammatory, antithrombotic, immunomodulatory, and anticancer activities, highlighting their potential use as functional ingredients and nutraceutical compounds. The generation and biological functionality of these peptides are strongly influenced by the protein source, processing conditions, enzymatic or microbial hydrolysis strategies, and peptide structure. Unlike the existing literature, this review provides an analysis of individual peptide sequences, meticulously linking their specific chemical structures to their diverse biological activities, such as antioxidants, antihypertensive, and immunomodulatory effects. By moving beyond general protein hydrolysis, this work offers a unique comparative framework that evaluates how these distinct peptide fractions perform under industrial conditions. Furthermore, it bridges the gap between laboratory discovery and commercial implementation, focusing on critical parameters for large-scale production, stability in functional food matrices, and the regulatory pathways required for market-ready nutraceuticals. This integrated approach provides a strategic roadmap for translating molecular bioactivity into high-value industrial applications. This review provides an applied overview of recent advances in the production of whey bioactive peptides, emphasizing enzymatic generation methods, structure–activity relationships, and underlying mechanisms of action associated with their biological effects. In addition, current and emerging applications of whey-derived peptides in functional foods, nutraceuticals, and health-oriented formulations are critically discussed. Finally, key challenges related to peptide stability, bioavailability, industrial scalability, and regulatory aspects are addressed to identify future perspectives for the effective translation of whey bioactive peptides from research to practical applications. Full article
Show Figures

Figure 1

30 pages, 4262 KB  
Article
Synthesis of Azatide Dipeptide Analogs and Their Stability and Reactivity in 98% w/w Sulfuric Acid
by Sara Seager, Maxwell D. Seager, Ton Visser, Bartjan Koning, Jim van Wiltenburg, Martin Poelert and Janusz J. Petkowski
Molecules 2026, 31(7), 1196; https://doi.org/10.3390/molecules31071196 - 3 Apr 2026
Viewed by 146
Abstract
Life as we know it depends on peptide and nucleic acid polymers built from a limited set of backbone residues, yet planetary environments beyond Earth motivate consideration of alternative chemical frameworks for genetic- and protein-like polymers. In this context, we synthesize four azatide [...] Read more.
Life as we know it depends on peptide and nucleic acid polymers built from a limited set of backbone residues, yet planetary environments beyond Earth motivate consideration of alternative chemical frameworks for genetic- and protein-like polymers. In this context, we synthesize four azatide dipeptide analogs (Alaa-Glya (1), Glya-Alaa (2), Glya-Glya (3), and Alaa-Alaa (4)) as candidate backbone motifs for non-standard biologically relevant polymers. We then systematically assess their stability and reactivity in 98% w/w sulfuric acid, a solvent relevant to Venusian cloud chemistry. We assess the stability of the azatides via 1H and 13C NMR spectroscopy supported with ELSD-LCMS. We monitor the stability of the compounds over periods from hours to two weeks at room temperature and at elevated temperatures (50–80 °C). All four azatides readily dissolve in 98% w/w D2SO4 and are generally stable at room temperature. Glya-Alaa (2) shows no detectable degradation over a two-week incubation in 98% w/w sulfuric acid. The other three azatide analogs display only minor decomposition. ELSD-LCMS measurements qualitatively confirm the NMR results, revealing only minor-to-moderate loss of parent compounds after two weeks at room temperature. At higher temperatures, representative of the lower Venusian cloud deck, the stability of the azatides decreases dramatically. All four compounds undergo significant decomposition at 50 °C and completely degrade within one to two weeks at 80 °C. Our findings indicate that azatides, despite being generally stable in concentrated sulfuric acid at room temperature, lack the thermal stability that might be required to serve as viable backbone motifs for biological polymers in environments spanning the full temperature range of Venusian clouds. Full article
Show Figures

Figure 1

21 pages, 4021 KB  
Article
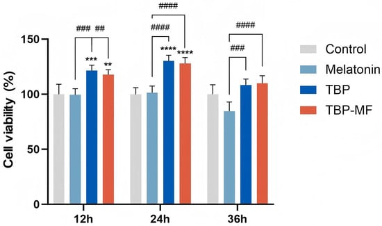
Bioactive Peptides from Yellowfin Tuna By-Products: Structural Characterization and Neuro-Related Activities in PC12 Cells
by Yaqi Kong, Yifan Liu, Haoze Yang, Xianzhe Liang, Min Zhao, Ahsan Javed, Xiaozhen Diao and Wenhui Wu
Curr. Issues Mol. Biol. 2026, 48(4), 374; https://doi.org/10.3390/cimb48040374 - 3 Apr 2026
Viewed by 110
Abstract
Marine-derived bioactive peptides have attracted increasing attention as value-added functional ingredients. In this study, peptides (<3 kDa) were prepared from yellowfin tuna processing by-products and further fractionated by Sephadex G-25 gel filtration. The major fraction (TBP-MF) exhibited markedly improved compositional homogeneity compared with [...] Read more.
Marine-derived bioactive peptides have attracted increasing attention as value-added functional ingredients. In this study, peptides (<3 kDa) were prepared from yellowfin tuna processing by-products and further fractionated by Sephadex G-25 gel filtration. The major fraction (TBP-MF) exhibited markedly improved compositional homogeneity compared with the unfractionated hydrolysate (TBP), providing a well-defined peptide system for subsequent characterization and biological evaluation. Physicochemical analyses demonstrated that TBP-MF possessed enhanced thermal stability and a more ordered secondary structure, characterized by pronounced β-sheet enrichment, as revealed by TGA/DSC, FTIR, and circular dichroism analyses. Morphological and colloidal characterization further showed that TBP-MF formed relatively uniform lamellar and fibrous assemblies with a narrower particle size distribution and reduced electrostatic stabilization, indicating a higher tendency toward ordered self-association. Peptidomic profiling combined with in silico analysis revealed that TBP-MF was enriched in short peptides with relatively higher PeptideRanker scores and a functional motif distribution containing relatively more neuro-related annotations, although angiotensin-converting enzyme (ACE)- and dipeptidyl peptidase IV (DPP-IV)-related motifs remained predominant in both groups. In differentiated PC12 cells, TBP-MF exhibited excellent cytocompatibility and induced a stable, concentration-dependent increase in the Cell Counting Kit-8 (CCK-8) readout (OD450), indicating enhanced cellular metabolic activity and/or increased cell number. In addition, TBP-MF significantly increased intracellular levels of key neurochemical factors associated with sleep-related regulation, including tetrahydrobiopterin (BH4), serotonin (5-HT), and γ-aminobutyric acid (GABA). Overall, this study highlights yellowfin tuna by-products as a promising marine resource for bioactive peptides and suggests that fractionation-driven structural refinement is associated with neuro-related biological activity in differentiated PC12 cells. These findings support the potential application of marine by-product-derived peptides as functional ingredients in health-related fields. Full article
(This article belongs to the Special Issue Molecular Research in Bioactivity of Natural Products, 3rd Edition)
Show Figures

Figure 1

2 pages, 157 KB  
Abstract
Optimization of the Chimeric Peptide Chim4 for Cell Selectivity and Proteolysis Stability
by João B. Nunes, Bruno S. Sá, Guilherme H. S. Santos, Izadora C. M. Oliveira, Sonia M. Freitas, Marcelo H. S. Ramada, José R. S. A. Leite and Guilherme D. Brand
Proceedings 2026, 137(1), 136; https://doi.org/10.3390/proceedings2026137136 - 3 Apr 2026
Viewed by 85
Abstract
Introduction: The rise of bacterial resistance has driven the search for new therapies, with antimicrobial peptides (AMPs) emerging as promising candidates [...] Full article
(This article belongs to the Proceedings of The 6th International Congress on Health Innovation—INOVATEC 2025)
29 pages, 2046 KB  
Review
Multifaceted Applications of Ruthenocene and Its Derivatives in Biomedicine, Energy Storage and Electrochemical Sensing
by Ammara Shahid, Sana Sabahat and Aisha Naeem
Biosensors 2026, 16(4), 204; https://doi.org/10.3390/bios16040204 - 3 Apr 2026
Viewed by 246
Abstract
Ruthenocene (Rc) and its derivatives form a structurally versatile class of metallocenes with unique and multifunctional applicability. This review presents a detailed analysis of Rc chemistry including the structural comparison with ferrocene, its redox behavior, and substituent effects. We also discuss its applications [...] Read more.
Ruthenocene (Rc) and its derivatives form a structurally versatile class of metallocenes with unique and multifunctional applicability. This review presents a detailed analysis of Rc chemistry including the structural comparison with ferrocene, its redox behavior, and substituent effects. We also discuss its applications in sensing, energy storage, photochemistry, and biomedicine. Rc exhibits unique conformational and adaptive electronic properties based on one and two-electron oxidation processes. Electrochemical investigations of Rc to date indicate that its redox behavior is strongly dependent on the electrolyte system, exhibiting quasi-Nernstian characteristics, the formation of stabilized dimeric species [Rc2]2+, and interconversion among Ru(II), Ru(III), and Ru(IV) oxidation states. Rc-based systems exhibit superior performance as redox mediators and labels in electrochemical sensing systems in terms of electron-transfer kinetics, signal amplification, and surface immobilization. In the field of energy storage, Rc decreases the charging overpotential and increases the cycle life of Li-O2 batteries. Rc further acts as a photoinitiator via charge-transfer-to-solvent and efficient photoinduced electron transfer in metalloporphyrin and fullerene dyads. In biomedical research, Rc derivatives as well as bioconjugates possess promising anticancer activities, displaying reactive oxygen species generation, topoisomerase inhibition, thioredoxin reductase inhibition, receptor-mediated uptake, and target peptide conjugation. Given its flexible ligand design, electrolyte driven redox behaviors, and antiproliferative properties, Rc exhibits a very adaptive molecular scaffold for next generation electrochemical technologies as well as metallodrug design. Full article
(This article belongs to the Section Biosensor Materials)
Show Figures

Figure 1

19 pages, 3312 KB  
Article
Impact of Lipid Source on Protein Digestion and Absorption in Skimmed Goat Milk and Associated Intestinal Oxidative Stress Responses in a Caco-2 Cell Model
by Haiyan Xue, Bowei Ding, Baoyuan He, Jun Ma, Yanhui Lian and Wenmin Dong
Foods 2026, 15(7), 1200; https://doi.org/10.3390/foods15071200 - 2 Apr 2026
Viewed by 174
Abstract
Liquid infant formula has garnered increasing attention due to its mild thermal processing and superior retention of bioactive nutrients. Within such matrices, the lipid source is a critical determinant of protein digestion behavior, yet its influence on peptide bioavailability and intestinal homeostasis remains [...] Read more.
Liquid infant formula has garnered increasing attention due to its mild thermal processing and superior retention of bioactive nutrients. Within such matrices, the lipid source is a critical determinant of protein digestion behavior, yet its influence on peptide bioavailability and intestinal homeostasis remains undefined. Given that efficient peptide absorption is vital for the systemic delivery of bioactivity in infants, understanding the lipid–protein synergy is essential for formula optimization. Moreover, excessive oxidative stress is closely associated with impaired intestinal health and developmental disorders in infants, making the regulation of oxidative stress crucial for maintaining intestinal function. The present study evaluated the effects of three distinct lipid sources—soybean oil (SM), bovine milk fat (BM), and goat milk fat (GM)—on the physicochemical stability, proteolytic digestion, peptide release, intestinal absorption, and oxidative stress modulation of goat-milk-based infant formula. An integrated approach combining physicochemical characterization, in vitro simulated infant digestion, and a Caco-2 intestinal epithelial cell model was employed. we demonstrate that all three lipids (3% w/w) formed stable emulsions with uniform spherical structures and mean particle diameters of 117–300 nm, as visualized by laser confocal microscopy. Following in vitro simulation of infant gastrointestinal digestion, the SM group exhibited the most extensive protein hydrolysis, yielding the highest total peptide content (4.28 ± 0.10 mg/mL) and generated the highest number of peptides identified by LC-MS/MS (474 types). Bioinformatic analysis predicted that peptides from all groups possess potential antihypertensive, hypoglycemic, and immunomodulatory activities. The Caco-2 monolayer cell model demonstrated that although the GM group produced fewer identified peptide species than the SM group (365 types), it achieved significantly higher intestinal peptide absorption rate (55.34 ± 1.05%). Furthermore, the GM digests provided superior protection against H2O2-induced oxidative stress in Caco-2 cells, markedly reducing reactive oxygen species levels and suppressing the expression of pro-inflammatory cytokines TNF-α and IL-6. Collectively, these findings reveal that while soybean oil promotes more extensive proteolysis, the use of homologous goat milk lipid enhances peptide bioaccessibility and confers potential cytoprotective effects on intestinal epithelial cells, underscoring its potential as a preferred lipid source in infant formula formulations. Full article
(This article belongs to the Section Nutraceuticals, Functional Foods, and Novel Foods)
Show Figures

Figure 1

38 pages, 8327 KB  
Review
Functional Peptides: Comparing Synthetic and Sequence-Engineered Antibiofilm Pharmaceutics
by Bilal Aslam, Muhammad Hassan Khalid and Sulaiman F. Aljasir
Pharmaceutics 2026, 18(4), 441; https://doi.org/10.3390/pharmaceutics18040441 - 2 Apr 2026
Viewed by 381
Abstract
Biofilm formation is a complex phenomenon employed by microbes to counteract antimicrobials. Biofilm-associated infections are a challenging threat to modern medicine. Antimicrobial peptides (AMPs) are recognized as some of the most promising therapeutics to tackle biofilm-producing and multidrug-resistant (MDR) pathogens. However, stability, toxicity, [...] Read more.
Biofilm formation is a complex phenomenon employed by microbes to counteract antimicrobials. Biofilm-associated infections are a challenging threat to modern medicine. Antimicrobial peptides (AMPs) are recognized as some of the most promising therapeutics to tackle biofilm-producing and multidrug-resistant (MDR) pathogens. However, stability, toxicity, and potency are key issues in the case of naturally occurring AMPs. Next-generation antibiofilm tools, such as synthetic or engineered AMPs, have emerged as a potent therapeutic choice. Synthetic peptides offer structural simplicity, versatility for chemical modification, and increased stability, which makes them capable of effectively disrupting both the biofilm matrix and the bacterial membrane. For engineered peptides, rational sequence modification, hybridization, and computational design are used to overcome limitations related to selectivity, biofilm-specific targeting and regulatory pathway modulation. This review provides a critical evaluation of synthetic and engineered AMPs from various perspectives, such as design strategies, antibiofilm action mechanisms, therapeutic performance, and translational potential. This study sheds light on current advances and emerging technologies, including AI-guided peptide optimization and multifunctional peptide platforms, and thereby sets the stage for the rational development of peptide-based therapeutics aimed at overcoming biofilm-mediated antimicrobial resistance (AMR). Full article
(This article belongs to the Special Issue Antimicrobial Peptides as Promising Therapeutic Agents)
Show Figures

Figure 1

14 pages, 1150 KB  
Article
Phase Angle and Lean Mass Evolution After Roux-en-Y Gastric Bypass: Functional Outcomes and Comparison with GLP-1 Therapies
by Julia Navarro-Marroco, Carmen Lucas-Abellán, Ana María García-Muñoz, Lucía Guardiola-García, Rebeca González-Louzao, Desirée Victoria-Montesinos and Pilar Hernández-Sánchez
Dietetics 2026, 5(2), 21; https://doi.org/10.3390/dietetics5020021 - 1 Apr 2026
Viewed by 191
Abstract
Background: Roux-en-Y gastric bypass (RYGB) is a highly effective treatment for severe obesity, achieving substantial weight loss and metabolic improvement. Beyond weight, assessing body composition and functional markers is essential. Phase angle (PA), obtained through bioelectrical impedance, is a relevant indicator of cellular [...] Read more.
Background: Roux-en-Y gastric bypass (RYGB) is a highly effective treatment for severe obesity, achieving substantial weight loss and metabolic improvement. Beyond weight, assessing body composition and functional markers is essential. Phase angle (PA), obtained through bioelectrical impedance, is a relevant indicator of cellular integrity and nutritional status. The rise of glucagon-like peptide-1 and glucose-dependent insulinotropic polypeptide (GLP-1 and GLP-1/GIP) agonists makes comparison with surgical outcomes increasingly important. This study aimed to evaluate changes in fat mass, lean mass, hydration, and PA after RYGB and compare these findings with evidence from pharmacological therapies. Methods: A retrospective observational study was conducted in 15 patients (18–50 years, BMI > 35 kg/m2) at Quirón Salud Hospital Torrevieja. Body composition was assessed using multifrequency bioelectrical impedance (TANITA BC-980) before surgery and at 3 and 12 months. All patients received structured nutritional follow-up. Repeated-measures ANOVA and the Friedman test were applied. Results: After 12 months, weight decreased by 40.06 ± 11.86 kg; fat mass by 30.43 ± 10.81 kg; and fat-free mass by 9.64 ± 5.31 kg. PA declined 11% during the first 3 months and then stabilized. Women lost more fat mass; men lost more lean mass. Conclusions: RYGB combined with nutritional support produces high-quality weight loss with relative preservation of lean tissue and stabilization of PA, which proves valuable for postoperative monitoring. Full article
Show Figures

Figure 1

28 pages, 7657 KB  
Article
N-Succinylated Canonical vs. Dehydropeptides: Contrasting Self-Assembly Pathways and Hydrogel Properties
by Teresa Pereira, André F. Carvalho, Filipe Teixeira, Andreia Patrícia Magalhães, David M. Pereira, Loic Hilliou, Antero Abrunhosa, Manuel Bañobre-López, Paula M. T. Ferreira and José A. Martins
Gels 2026, 12(4), 299; https://doi.org/10.3390/gels12040299 - 1 Apr 2026
Viewed by 220
Abstract
Limited mechanical robustness and prompt proteolytic degradation preclude wider biomedical application of supramolecular peptide hydrogels. Low-molecular-weight dehydropeptides represent a promising class of hydrogelators, owing to their enhanced proteolytic stability, high self-assembly propensity, biocompatibility, and tunable rheological and drug-release properties. Herein, we prepared a [...] Read more.
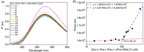
Limited mechanical robustness and prompt proteolytic degradation preclude wider biomedical application of supramolecular peptide hydrogels. Low-molecular-weight dehydropeptides represent a promising class of hydrogelators, owing to their enhanced proteolytic stability, high self-assembly propensity, biocompatibility, and tunable rheological and drug-release properties. Herein, we prepared a small library of N-succinylated dehydrotripeptides (Suc-L-Xaa-L-Phe-Z-ΔPhe-OMe/-OH; Xaa = Phe or Val), together with the canonical analogs (Suc-L-Phe-L-Phe-L-Phe-OMe/-OH), to assess whether in addition to proteolytic resistance, dehydropeptides offer clear advantages over canonical peptides in terms of self-assembly, gelation efficacy, mechanical performance, and cargo release. Peptide self-assembly, hydrogel formation, and supramolecular organization were investigated by fluorescence and circular dichroism (CD) spectroscopy, molecular dynamic (MD) simulations, Thioflavin T hydrogel staining, ATR-FTIR spectroscopy, transmission electron microscopy (TEM), and rheological measurements. Drug-release performance was evaluated using methyl orange as a model cargo. Overall, the dehydropeptide-based hydrogels displayed enhanced gelation efficacy, improved mechanical properties, and sustained release profiles compared to canonical analogs. Spectroscopic analysis (CD and ATR-FTIR) and molecular dynamic simulations indicated that the dehydropeptides preferentially self-assemble into more ordered supramolecular fibrils, with extended β-sheet-like packing, whereas the canonical peptides predominantly populate more disordered backbone environments. Proteolysis assays with α-chymotrypsin revealed that both canonical and dehydropeptide methyl esters underwent chymotrypsin-catalyzed ester hydrolysis. Importantly, only the canonical dicarboxylic acid underwent further proteolytic degradation. The dehydropeptide dicarboxylic acids revealed fully resistant to proteolysis over extended time periods. These results demonstrate that the incorporation of dehydroamino acid into peptides enables control over supramolecular packing, nanofibrillar network architecture, rheology, and cargo release. This report raises the profile of relatively underexplored dehydropeptide-based soft materials as promising high-performance biomaterials for technological and biomedical applications. Full article
(This article belongs to the Special Issue Research and Application of Injectable Hydrogels)
Show Figures

Graphical abstract

40 pages, 5512 KB  
Review
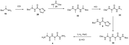
Framework Nucleic Acids as a Nanocontainer for Delivering Heterogeneous Molecular Drugs
by Miao Yang, Xiufan Lou, Jiahong Song, Jia Wang, Hongzhen Peng and Lihua Wang
Pharmaceutics 2026, 18(4), 439; https://doi.org/10.3390/pharmaceutics18040439 - 1 Apr 2026
Viewed by 196
Abstract
Framework nucleic acids (FNAs) are a class of nucleic acid-based nanostructures characterized by their unique precise structures, excellent biocompatibility and stability, robust loading capacity, and distinctive distribution and metabolic behaviors. They are widely applied in frontier fields such as nanodevices, biosensing, and drug [...] Read more.
Framework nucleic acids (FNAs) are a class of nucleic acid-based nanostructures characterized by their unique precise structures, excellent biocompatibility and stability, robust loading capacity, and distinctive distribution and metabolic behaviors. They are widely applied in frontier fields such as nanodevices, biosensing, and drug delivery. In recent years, research on FNAs has gradually developed from the design and synthesis of nucleic acid nanostructures to practical applications, particularly in providing precise nanocontainers for heterogeneous molecular drugs such as small molecules, peptides, and proteins. Acting as a drug delivery system, FNA nanocontainers could be utilized to address multiple issues inherent in the application of heterogeneous molecular drugs, including hydrophobicity, affinity, and stability. However, they also face challenges such as low drug carrier capacity, potential immunogenicity, and insufficient long-term stability in vivo, necessitating the development of new strategies. This article focuses on composite drugs of small molecules, peptides, and proteins carried by FNAs, elucidates the design principles of FNA carriers, the interaction modes between FNAs and drug molecules, and the physicochemical properties and biological effects/efficacy of FNA–drug complexes, and summarizes the structure–activity relationship patterns. Furthermore, obstacles limiting clinical transformation are proposed to provide beneficial suggestions for the future development of FNA-based drugs. Full article
Show Figures

Figure 1

22 pages, 2159 KB  
Article
Effects of Controlled Atmosphere Conditions on the Quality Characteristics, Physicochemical and Antioxidant Properties of Pork Bone Broth
by Ying Su, Junli Dong, Qian Deng, Long Zhang, Jing Li and Jie Chen
Foods 2026, 15(7), 1188; https://doi.org/10.3390/foods15071188 - 1 Apr 2026
Viewed by 204
Abstract
Controlled atmosphere (CA) is widely employed to preserve perishable foods, yet its potential effects on the quality of thermally processed bone broth remain poorly understood. This work systematically investigated the influences of ventilation time (0, 1, and 3 s), ventilation frequency (30, 60, [...] Read more.
Controlled atmosphere (CA) is widely employed to preserve perishable foods, yet its potential effects on the quality of thermally processed bone broth remain poorly understood. This work systematically investigated the influences of ventilation time (0, 1, and 3 s), ventilation frequency (30, 60, 90, and 110 cycles), and cooking duration (25, 30, 38, and 45 min) on the overall quality of pork bone broth. A single-factor experimental design was adopted with three replications per treatment. Results showed that CA treatment effectively improved the sensory properties of pork bone broth, including color, aroma, and taste. Different CA processing parameters differentially affected the accumulation of diglycerides, proteins, peptides, amino acids and lipid oxidation-related flavor compounds, as well as antioxidant activities and emulsion stability. Specifically, prolonged ventilation promoted the accumulation of diglycerides and medium-sized peptides (1–7 kDa) but concurrently reduced solids, fat content, and ABTS radical scavenging activity, suggesting a trade-off between flavor precursor generation and oxidative stability. Furthermore, most quality indicators initially increased with rising ventilation frequency but subsequently declined at excessive levels, with optimal values attained at moderate frequencies. Notably, CA conditions that enhanced the formation of desirable flavor compounds also increased the accumulation of lipid oxidation byproducts, highlighting a critical balance required for achieving optimal product quality. Ultimately, it was found that a ventilation time of 1 s, a ventilation frequency of 60 cycles per minute, and a cooking duration of 30 min maximized the benefits of controlled atmosphere (CA) processing, thereby achieving optimal sensory properties, flavor profiles and nutritional composition in pork bone broth. This study provides fundamental data to support the development and quality regulation of thermally processed meat broths. Full article
Show Figures

Figure 1

20 pages, 1982 KB  
Article
Revisiting the F3 Peptide: In Vitro Investigations of C- and N-Terminally Modified Peptide Conjugates for Radiotracer Development
by Maximilian Anderla, Marlene Grillmayr, Katharina Huemer and Thomas L. Mindt
Pharmaceuticals 2026, 19(4), 558; https://doi.org/10.3390/ph19040558 - 31 Mar 2026
Viewed by 282
Abstract
Background/Objectives: The F3 peptide, a tumor-homing peptide known to bind cell-surface nucleolin, is frequently employed as a targeting vector in cancer research. However, the impact of the modification site on its cellular binding properties has not been investigated yet. In this work, [...] Read more.
Background/Objectives: The F3 peptide, a tumor-homing peptide known to bind cell-surface nucleolin, is frequently employed as a targeting vector in cancer research. However, the impact of the modification site on its cellular binding properties has not been investigated yet. In this work, we aimed to design an improved F3-based radioconjugate by identifying the optimal conjugation site and establishing a protocol for its biological evaluation in vitro. To achieve this, we compared F3 peptide derivatives modified at their N- or C-termini with DOTA for complexation of indium-111 (111In) for SPECT or Auger electron therapy or a fluorophore (FITC) for optical imaging. Methods: N-and C-terminal DOTA-modified F3 peptides were radiolabeled with indium-111 and compared for their in vitro stability in different physiologically relevant media. Suitable nucleolin-positive cell lines for further in vitro studies were identified by confocal microscopy of a FITC-labeled F3 peptide derivative. The radioconjugates were then investigated on MDA-MB-231 (breast cancer) and PC-3 (prostate cancer) cells for nucleolin-specific cell binding and uptake, and several parameters of the in vitro assays were varied to establish a suitable protocol. Results: In general, in vitro assays with F3 peptide conjugates are challenging, as the outcome depends on a number of experimental parameters, leading, in some cases, to varying results. In particular, the presence of Ca2+ and Mg2+ had a decisive impact on the results, likely because the metal ions compete with the binding of F3 conjugates to nucleolin. The C-terminal modified, 111In-labeled F3 radioconjugate performed better than the N-terminal modified analog. While several parameters of the in vitro experiments were optimized, the overall cell uptake in vitro of radioactivity was still low (<2% of applied radioactivity). Conclusions: A standardized in vitro protocol for evaluating F3 peptide conjugates on cancer cells was established, revealing that the C-terminus is the preferred site for modification. Because the cellular uptake of the radiotracer was shown to likely not be sufficient for radiotracer development, further studies on the optimization of the F3 peptide conjugates, including structural modifications, are required. Full article
Show Figures

Graphical abstract

22 pages, 2726 KB  
Article
Effect of Regulating Corn Glutelin Peptides via the Plastein Reaction on Its Physicochemical Characteristics and the Quality of Baked Bread
by Yang Sun, Wan-Ying Zhang, Yue-Yuan Lu, Hai-Bo Lu, Guo-Jun Du, Yue Zhao, Yonghui Sun, Li-Ying Bo, Jian Ren, Jing-Jing An and Meng Wang
Foods 2026, 15(7), 1173; https://doi.org/10.3390/foods15071173 - 31 Mar 2026
Viewed by 233
Abstract
Corn glutelin is the main protein component of corn processing by-products, with a wide range of sources and low cost. However, its hydrophobic molecular structure, poor solubility, foaming and emulsifying properties limit its application in the food industry. Enzymatic hydrolysis can effectively improve [...] Read more.
Corn glutelin is the main protein component of corn processing by-products, with a wide range of sources and low cost. However, its hydrophobic molecular structure, poor solubility, foaming and emulsifying properties limit its application in the food industry. Enzymatic hydrolysis can effectively improve its solubility, but the functional properties of hydrolysis products still need further improvement. The plastein reaction is a mild enzymatic modification method that can recondense small peptides in hydrolysis products under the catalysis of protease, meanwhile introducing exogenous amino acids to achieve the targeted regulation of product structure and function. Corn glutelin was hydrolyzed to obtain corn glutelin hydrolysate (CGH). Corn glutelin hydrolysate (CGH) with exogenous amino acids (valine, tyrosine, cysteine and threonine) was mediated by plastein reaction in order to gain modified products enriched with these amino acids, which are Val-CGH, Tyr-CGH, Cys-CGH and Thr-CGH, respectively. This study mainly investigated the functional properties and structural characteristics of these modified peptides. Simultaneously, the modified peptides with superior solubility, foaming ability and foaming stability were screened and applied to bread formulas to evaluate potential application of plastein reaction modifiers in the baking field. The effects of modified peptides on the specific volume of dough, texture and sensory properties of bread were assessed. Among the modified peptides, Cys-CGH had the best foaming property and foaming stability, and fine solubility. Compared with CGH, the solubility of Cys-CGH increased by 4.16%, foaming performance (FC) increased by 41.5%, foaming stability at 10 min (FS10) increased by 10.44%, foaming stability at 20 min (FS20) improved by 12.67%, and bubble stability at 30 min (FS30) improved by 16.63%. In addition, the baking loss rate of the bread sample containing 0.5% Cys-CGH decreased by 0.93%, the specific volume enhanced by 0.27 cm3/g, the hardness lowered by 0.3 N, the springiness raised by 1.03, the chewiness improved by 7.5 N. The sensory acceptance of bread samples with 0.5% Cys-CGH was significantly optimized. In brief, this also demonstrates that adding modifiers with good functional properties can improve the quality of baked products, highlighting their potential as a green food additive in baked goods. Full article
(This article belongs to the Section Food Nutrition)
Show Figures

Figure 1

Back to TopTop