Bioactive Peptides from Yellowfin Tuna By-Products: Structural Characterization and Neuro-Related Activities in PC12 Cells
Abstract
1. Introduction
2. Materials and Methods
2.1. Chemicals
2.2. Preparation and Enrichment of Tuna By-Product Peptides
2.3. Fractionation by Sephadex G-25 Gel Filtration Chromatography
2.4. Thermal Property Analysis (TGA–DSC)
2.5. Fourier Transform Infrared Spectroscopy (FTIR)
2.6. Circular Dichroism (CD) Spectra
2.7. Micromorphology and Particle Size Analysis
2.8. Molecular Mass Distribution by MALDI–TOF Mass Spectrometry
2.9. Peptide Sequence Identification by Q–TOF MS/MS
2.10. Potential Bioactivity Screening Based on BIOPEP–UWM
2.11. CCK-8-Based Cytocompatibility Assay
2.12. Quantitative Determination of Related Factor Levels
2.13. Statistical Analysis
3. Results and Discussion
3.1. Sephadex G-25 Gel Filtration Chromatography
3.2. Thermal Stability Analysis
3.3. Secondary-Structure Fingerprints
| Band | Frequencies of Amide Bands (cm–1) | Assignment | |
|---|---|---|---|
| TBP | TBP–MF | ||
| Amide A | 3397.5 | 3408.8 | N–H stretching (overlap with O–H) |
| Amide B | 2965.0 | 2965.0 | Asymmetric C–H stretching |
| Amide I | 1654.1 | 1652.3 | C=O stretching |
| Amide II | 1589.9 | 1550.3 | N–H bending coupled with C–N stretching |
| Amide III | 1246.2 | 1246.2 | |
3.4. Microstructure (SEM) and Colloidal Behavior (DLS/ζ-Potential)
3.5. Mass Spectral Analysis
3.6. Peptide Activity Prediction
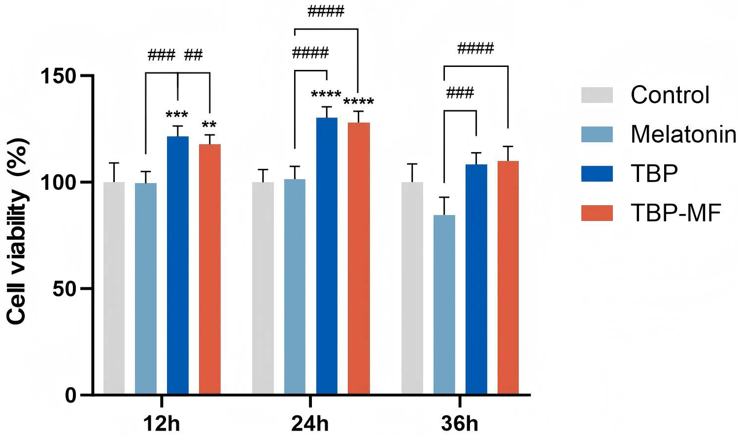
3.7. CCK-8-Based Cytocompatibility and Functional Screening in Differentiated PC12 Cells
3.8. Effects of Tuna By-Product Peptides on the Upregulation of TPH2 and GCH1 and the Synthesis of Sleep Factors BH4, GABA, and 5–HT
4. Conclusions
Author Contributions
Funding
Institutional Review Board Statement
Informed Consent Statement
Data Availability Statement
Conflicts of Interest
Abbreviations
| TBP | Tuna blood-meat peptide fraction |
| TBP–MF | Enriched major fraction of TBP obtained by Sephadex G-25 fractionation |
| TPH2 | Tryptophan hydroxylase 2 |
| GCH1 | GTP cyclohydrolase 1 |
| GABA | γ-aminobutyric acid |
| 5-HT | 5-hydroxytryptamine |
| BH4 | Tetrahydrobiopterin |
| ACE | Angiotensin-converting enzyme |
| DPP-IV | Dipeptidyl peptidase IV |
| DH | Degree of hydrolysis |
| SEM | Scanning electron microscopy |
| DLS | Dynamic light scattering |
| DSC | Differential scanning calorimetry |
| DTG | Derivative thermogravimetry |
| FTIR | Fourier transform infrared spectroscopy |
| TGA | Thermogravimetric analysis |
| TG | Thermogravimetric curve |
References
- Morin, C.M.; Drake, C.L.; Harvey, A.G.; Krystal, A.D.; Manber, R.; Riemann, D.; Spiegelhalder, K. Insomnia disorder. Nat. Rev. Dis. Primers 2015, 1, 15026. [Google Scholar] [CrossRef]
- Qaseem, A.; Kansagara, D.; Forciea, M.A.; Cooke, M.; Denberg, T.D. Clinical Guidelines Committee of the American College of Physicians. Management of Chronic Insomnia Disorder in Adults: A Clinical Practice Guideline from the American College of Physicians. Ann. Intern. Med. 2016, 165, 125–133. [Google Scholar] [CrossRef]
- Modesto-Lowe, V.; Chaplin, M.M.; León-Barriera, R.; Jain, L. Reducing the risks when using benzodiazepines to treat insomnia: A public health approach. Clevel. Clin. J. Med. 2024, 91, 293–299. [Google Scholar] [CrossRef]
- Scott, A.J.; Correa, A.B.; Bisby, M.A.; Chandra, S.S.; Rahimi, M.; Christina, S.; Heriseanu, A.I.; Dear, B.F. Cognitive Behavioral Therapy for Insomnia in People with Chronic Disease: A Systematic Review and Meta-Analysis. JAMA Intern. Med. 2025, 185, 1350–1361. [Google Scholar] [CrossRef]
- 2023 American Geriatrics Society Beers Criteria® Update Expert Panel. American Geriatrics Society 2023 updated AGS Beers Criteria® for potentially inappropriate medication use in older adults. J. Am. Geriatr. Soc. 2023, 71, 2052–2081. [CrossRef]
- Barker, M.J.; Greenwood, K.M.; Jackson, M.; Crowe, S.F. Cognitive effects of long-term benzodiazepine use: A meta-analysis. CNS Drugs 2004, 18, 37–48. [Google Scholar] [CrossRef]
- Monti, J.M. Serotonin control of sleep-wake behavior. Sleep Med. Rev. 2011, 15, 269–281. [Google Scholar] [CrossRef]
- Oikonomou, G.; Altermatt, M.; Zhang, R.-w.; Coughlin, G.M.; Montz, C.; Gradinaru, V.; Prober, D.A. The Serotonergic Raphe Promote Sleep in Zebrafish and Mice. Neuron 2019, 103, 686–701.e8. [Google Scholar] [CrossRef]
- Venner, A.; Broadhurst, R.Y.; Sohn, L.T.; Todd, W.D.; Fuller, P.M. Selective activation of serotoninergic dorsal raphe neurons facilitates sleep through anxiolysis. Sleep 2019, 43, zsz231. [Google Scholar] [CrossRef]
- Werner Ernst, R.; Blau, N.; Thöny, B. Tetrahydrobiopterin: Biochemistry and pathophysiology. Biochem. J. 2011, 438, 397–414. [Google Scholar] [CrossRef]
- Gupta, P.; Kumar, R. GTP cyclohydroxylase1 (GCH1): Role in neurodegenerative diseases. Gene 2023, 888, 147749. [Google Scholar] [CrossRef]
- Fanet, H.; Capuron, L.; Castanon, N.; Calon, F.; Vancassel, S. Tetrahydrobioterin (BH4) Pathway: From Metabolism to Neuropsychiatry. Curr. Neuropharmacol. 2021, 19, 591–609. [Google Scholar] [CrossRef]
- Liu, W.; Hou, S.; Zhang, Q.; Yu, S.; Zhao, L.; Li, H.; Wang, Y.; Liu, X. Food-derived bioactive peptides for anxiety and sleep management: Mechanistic insights, bidirectional interactions, structure-activity relationship, and targeted preparation. Trends Food Sci. Technol. 2026, 168, 105468. [Google Scholar] [CrossRef]
- Li, Z.; Dang, Q.; Wang, P.; Zhao, F.; Huang, J.; Wang, C.; Liu, X.; Min, W. Food-Derived Peptides: Beneficial CNS Effects and Cross-BBB Transmission Strategies. J. Agric. Food Chem. 2023, 71, 20453–20478. [Google Scholar] [CrossRef]
- Ghalamara, S.; Brazinha, C.; Silva, S.; Pintado, M. Exploring Fish Processing by-Products as an Alternative Source of Bioactive Peptides: A Review on Extraction and Food Applications. Curr. Food Sci. Technol. Rep. 2024, 2, 377–391. [Google Scholar] [CrossRef]
- Yan, H.; Chu, Y.; Li, H.; Zhang, D.; Yang, Q.; Wei, Z.; Wang, Z.; Wang, Y.; Zhu, L. Advances in Research on Biological and Functional Properties of Bioactive Peptides Derived from Marine Sources. Food Sci. 2023, 44, 18–28. [Google Scholar]
- Hsu, K.-C. Purification of antioxidative peptides prepared from enzymatic hydrolysates of tuna dark muscle by-product. Food Chem. 2010, 122, 42–48. [Google Scholar] [CrossRef]
- Huang, F.; Dai, Q.; Zheng, K.; Ma, Q.; Liu, Y.; Jiang, W.; Yan, X. Unmasking the efficacy of Skipjack Tuna (Katsuwonus pelamis) dark muscle hydrolyzate in lipid regulation: A promising component for functional food. Int. J. Food Prop. 2023, 26, 3014–3029. [Google Scholar] [CrossRef]
- Cai, B.; Wan, P.; Chen, H.; Huang, J.; Ye, Z.; Chen, D.; Pan, J. Purification and Identification of Novel Myeloperoxidase Inhibitory Antioxidant Peptides from Tuna (Thunnas albacares) Protein Hydrolysates. Molecules 2022, 27, 2681. [Google Scholar] [CrossRef]
- Kumar, A.; Singh, N.; Joshi, R. Evaluation of antioxidant and ACE inhibitory peptides in rice bran protein hydrolysate using non-targeted UHPLC-QTOF-IMS profiling, MALDI-TOF-TOF-MS/MS, and molecular docking study. Int. J. Food Sci. Technol. 2024, 59, 4300–4314. [Google Scholar] [CrossRef]
- Saidi, S.; Saoudi, M.; Ben Amar, R. Valorisation of tuna processing waste biomass: Isolation, purification and characterisation of four novel antioxidant peptides from tuna by-product hydrolysate. Environ. Sci. Pollut. Res. 2018, 25, 17383–17392. [Google Scholar] [CrossRef]
- Zhang, Y.; Jing, X.; Chen, Z.; Wang, X. Purification and identification of antioxidant peptides from millet gliadin treated with high hydrostatic pressure. LWT 2022, 164, 113654. [Google Scholar] [CrossRef]
- Golonka, I.; Greber, K.E.; Szyja, B.M.; Petrus, P.P.; Pucułek, J.E.; Musiał, W. Effect of Newly Synthesized Structures of Peptides on the Stability of the Monolayers Formed. Int. J. Mol. Sci. 2023, 24, 4318. [Google Scholar] [CrossRef]
- Lin, Y.; Cai, X.; Wu, X.; Lin, S.; Wang, S. Fabrication of snapper fish scales protein hydrolysate-calcium complex and the promotion in calcium cellular uptake. J. Funct. Foods 2020, 65, 103717. [Google Scholar] [CrossRef]
- Tintor, Đ.; Ninković, K.; Milošević, J.; Polović, N.Đ. Gaining insight into protein structure via ATR-FTIR spectroscopy. Vib. Spectrosc. 2024, 134, 103726. [Google Scholar] [CrossRef]
- Sadat, A.; Joye, I.J. Peak Fitting Applied to Fourier Transform Infrared and Raman Spectroscopic Analysis of Proteins. Appl. Sci. 2020, 10, 5918. [Google Scholar] [CrossRef]
- Miles, A.J.; Janes, R.W.; Wallace, B.A. Tools and methods for circular dichroism spectroscopy of proteins: A tutorial review. Chem. Soc. Rev. 2021, 50, 8400–8413. [Google Scholar] [CrossRef]
- Bhattacharjee, S. DLS and zeta potential—What they are and what they are not? J. Control. Release 2016, 235, 337–351. [Google Scholar] [CrossRef]
- Gao, R.; Yu, Q.; Shen, Y.; Chu, Q.; Chen, G.; Fen, S.; Yang, M.; Yuan, L.; McClements, D.J.; Sun, Q. Production, bioactive properties, and potential applications of fish protein hydrolysates: Developments and challenges. Trends Food Sci. Technol. 2021, 110, 687–699. [Google Scholar] [CrossRef]
- Coscueta, E.R.; Batista, P.; Gomes, J.E.; da Silva, R.; Pintado, M.M. Screening of Novel Bioactive Peptides from Goat Casein: In Silico to In Vitro Validation. Int. J. Mol. Sci. 2022, 23, 2439. [Google Scholar] [CrossRef]
- Minkiewicz, P.; Iwaniak, A.; Darewicz, M. BIOPEP-UWM Virtual—A Novel Database of Food-Derived Peptides with In Silico-Predicted Biological Activity. Appl. Sci. 2022, 12, 7204. [Google Scholar] [CrossRef]
- He, L.-Y.; Hu, M.-B.; Li, R.-L.; Zhao, R.; Fan, L.-H.; Wang, L.; Peng, W.; Liu, Y.-J.; Wu, C.-J. The Effect of Protein-Rich Extract from Bombyx Batryticatus against Glutamate-Damaged PC12 Cells Via Regulating γ-Aminobutyric Acid Signaling Pathway. Molecules 2020, 25, 553. [Google Scholar] [CrossRef]
- Gao, X.; Kou, Q.; Ren, K.; Zuo, Y.; Xu, Y.; Zhang, Y.; Lal, R.; Wang, J. Quantitative characterization of non-DLVO factors in the aggregation of black soil colloids. Sci. Rep. 2022, 12, 5064. [Google Scholar] [CrossRef] [PubMed]
- Kong, J.; Yu, S. Fourier Transform Infrared Spectroscopic Analysis of Protein Secondary Structures. Acta Biochim. Biophys. Sin. 2007, 39, 549–559. [Google Scholar] [CrossRef] [PubMed]
- Barth, A. Infrared spectroscopy of proteins. Biochim. Biophys. Acta (BBA)-Bioenerg. 2007, 1767, 1073–1101. [Google Scholar] [CrossRef]
- König, N.; Szostak, S.M.; Nielsen, J.E.; Dunbar, M.; Yang, S.; Chen, W.; Benjamin, A.; Radulescu, A.; Mahmoudi, N.; Willner, L.; et al. Stability of Nanopeptides: Structure and Molecular Exchange of Self-assembled Peptide Fibers. ACS Nano 2023, 17, 12394–12408. [Google Scholar] [CrossRef]
- Johnson, W.C. Analyzing protein circular dichroism spectra for accurate secondary structures. Proteins 1999, 35, 307–312. [Google Scholar] [CrossRef]
- Heu, R.; Shahbazmohamadi, S.; Yorston, J.; Capeder, P. Target Material Selection for Sputter Coating of SEM Samples. Microsc. Today 2019, 27, 32–36. [Google Scholar] [CrossRef]
- Schneider, C.A.; Rasband, W.S.; Eliceiri, K.W. NIH Image to ImageJ: 25 years of image analysis. Nat. Methods 2012, 9, 671–675. [Google Scholar] [CrossRef]
- Souillac, P.O.; Middaugh, C.R.; Rytting, J.H. Investigation of protein/carbohydrate interactions in the dried state. 2. Diffuse reflectance FTIR studies. Int. J. Pharm. 2002, 235, 207–218. [Google Scholar] [CrossRef] [PubMed]
- Hosseini, S.F.; Ramezanzade, L.; Nikkhah, M. Nano-liposomal entrapment of bioactive peptidic fraction from fish gelatin hydrolysate. Int. J. Biol. Macromol. 2017, 105, 1455–1463. [Google Scholar] [CrossRef]
- Ramezanzade, L.; Hosseini, S.F.; Nikkhah, M. Biopolymer-coated nanoliposomes as carriers of rainbow trout skin-derived antioxidant peptides. Food Chem. 2017, 234, 220–229. [Google Scholar] [CrossRef]
- Baird, G.; Farrell, C.; Cheung, J.; Semple, A.; Blue, J.; Ahl, P.L. FTIR Spectroscopy Detects Intermolecular β-Sheet Formation Above the High Temperature Tm for Two Monoclonal Antibodies. Protein J. 2020, 39, 318–327. [Google Scholar] [CrossRef] [PubMed]
- Griebenow, K.; Klibanov, A.M. Lyophilization-induced reversible changes in the secondary structure of proteins. Proc. Natl. Acad. Sci. USA 1995, 92, 10969–10976. [Google Scholar] [CrossRef]
- Mooney, C.; Haslam, N.J.; Pollastri, G.; Shields, D.C. Towards the Improved Discovery and Design of Functional Peptides: Common Features of Diverse Classes Permit Generalized Prediction of Bioactivity. PLoS ONE 2012, 7, e45012. [Google Scholar] [CrossRef]
- Gu, Y.; Li, X.; Qi, X.; Ma, Y.; Chan, E.C.Y. In silico identification of novel ACE and DPP-IV inhibitory peptides derived from buffalo milk proteins and evaluation of their inhibitory mechanisms. Amino Acids 2023, 55, 161–171. [Google Scholar] [CrossRef]
- Minkiewicz, P.; Iwaniak, A.; Darewicz, M. BIOPEP-UWM Database of Bioactive Peptides: Current Opportunities. Int. J. Mol. Sci. 2019, 20, 5978. [Google Scholar] [CrossRef] [PubMed]
- Liu, R.; Cheng, J.; Wu, H. Discovery of Food-Derived Dipeptidyl Peptidase IV Inhibitory Peptides: A Review. Int. J. Mol. Sci. 2019, 20, 463. [Google Scholar] [CrossRef] [PubMed]
- Li, T.; Du, W.; Huang, H.; Wan, L.; Shang, C.; Mao, X.; Kong, X. Research Progress on the Mechanism of Action of Food-Derived ACE-Inhibitory Peptides. Life 2025, 15, 1219. [Google Scholar] [CrossRef]
- Mo, L.; Wang, S.; Wu, B.; Zhao, C.; Yu, Y.; Li, J.; Wang, H. Identification and exploration of sleep-enhancing peptides from goat milk casein by peptidomics and virtual screening. Food Res. Int. 2025, 221, 117333. [Google Scholar] [CrossRef]
- Qian, J.; Yu, F.; Arnold, L.A.; Saha, A.; Zheng, L.; Zhao, M. Exploring structural features of sleep-enhancing peptides derived from casein hydrolysates by chemometrics and random forest methodology. Food Chem. 2024, 461, 140838. [Google Scholar] [CrossRef]
- Rafique, H.; Hu, X.; Ren, T.; Dong, R.; Aadil, R.M.; Zou, L.; Sharif, M.K.; Li, L. Characterization and Exploration of the Neuroprotective Potential of Oat-Protein-Derived Peptides in PC12 Cells and Scopolamine-Treated Zebrafish. Nutrients 2024, 16, 117. [Google Scholar] [CrossRef] [PubMed]
- Zhang, K.; Guan, X.; Zhang, X.; Liu, L.; Yin, R.; Jiang, T. Protective Effects of Marine Alkaloid Neolamellarin A Derivatives against Glutamate Induced PC12 Cell Apoptosis. Mar. Drugs 2022, 20, 262. [Google Scholar] [CrossRef] [PubMed]
- Xiong, C.; Zhu, Y.; Luo, Q.; Phan, C.W.; Huo, Y.; Li, P.; Li, Q.; Jin, X.; Huang, W. Neuroprotective effects of a novel peptide from Lignosus rhinocerotis against 6-hydroxydopamine-induced apoptosis in PC12 cells by inhibiting NF-κB activation. Food Sci. Nutr. 2023, 11, 2152–2165. [Google Scholar] [CrossRef] [PubMed]
- Li, N.; Cui, N.; Bakry, I.A.; Ma, Y.; Cheng, Y.; Zhao, G.; Yang, H.; Song, L.; Qiao, M.; Hai, D.; et al. Pea Peptide Modulates Abnormal Aβ Production in PC12 Cells Induced by Lead Exposure. Plant Foods Hum. Nutr. Dordr. Neth. 2025, 80, 98. [Google Scholar] [CrossRef]
- Nagatsu, T.; Ichinose, H. Regulation of pteridine-requiring enzymes by the cofactor tetrahydrobiopterin. Mol. Neurobiol. 1999, 19, 79–96. [Google Scholar] [CrossRef]
- Tegeder, I.; Costigan, M.; Griffin, R.S.; Abele, A.; Belfer, I.; Schmidt, H.; Ehnert, C.; Nejim, J.; Marian, C.; Scholz, J.; et al. GTP cyclohydrolase and tetrahydrobiopterin regulate pain sensitivity and persistence. Nat. Med. 2006, 12, 1269–1277. [Google Scholar] [CrossRef]
- Zhang, X.; Beaulieu, J.M.; Sotnikova, T.D.; Gainetdinov, R.R.; Caron, M.G. Tryptophan hydroxylase-2 controls brain serotonin synthesis. Science 2004, 305, 217. [Google Scholar] [CrossRef]
- Terao, T.; Ishii, N.; Hirakawa, H.; Aoshima, E. Is the bell-shaped dose-response curve of the selective serotonin reuptake inhibitor due to 5-HT(1A) auto-receptors? Med. Hypotheses 2020, 140, 109681. [Google Scholar] [CrossRef]
- Xiong, M.; Li, J.; Wang, D.; Delphin, E.; Ye, J.H. Intra-ventrolateral preoptic nucleus injection of γ-aminobutyric acid induces sedation in rats. Int. J. Physiol. Pathophysiol. Pharmacol. 2012, 4, 94–98. [Google Scholar]
- Qian, J.; Zheng, L.; Huang, M.; Zhao, M. Potential Mechanisms of Casein Hexapeptide YPVEPF on Stress-Induced Anxiety and Insomnia Mice and Its Molecular Effects and Key Active Structure. J. Agric. Food Chem. 2024, 72, 6189–6202. [Google Scholar] [CrossRef] [PubMed]










| Peptide Sequence (TBP) | PeptideRanker Score | Key Predicted Bioactivities (Active Motifs) | Peptide Sequence (TBP–MF) | PeptideRanker Score | Key Predicted Bioactivities (Active Motifs) |
|---|---|---|---|---|---|
| VVGLPGTR | 0.302962 | Antiamnestic (PG); Regulating (PG); ACE inh. (GLP, LPG); DPP–IV inh. (LP, VV) | DLATNPKPR | 0.430282 | ACE inh. (PR, LA); DPP–IV inh. (LA, KP) |
| MSTNPKPQR | 0.291271 | ACE inh. (PQR, TNP); DPP–IV inh. (KP, NP) | LSGQDLR | 0.403348 | Neuropeptide activity (GQ); Neuroprotective (LR); ACE inh. (GQ, SG); DPP–IV inh. (QD) |
| DLGEEHFK | 0.19661 | ACE inh. (GE, LG); DPP–IV inh. (EH, GE) | SGFQAEYVR | 0.380427 | ACE inh. (GF, SG); DPP–IV inh. (VR, AE) |
| FQDLVKDK | 0.195682 | ACE inh. (VK, FQ); DPP–IV inh. (FQ, LV) | HMADYELR | 0.376066 | Neuroprotective (LR); Regulating (DY); ACE inh. (DY, YE); DPP–IV inh. (MA, AD) |
| LSAEGADVR | 0.188699 | Neuropeptide activity (EG); Binding (EG); ACE inh. (GA, EG); DPP–IV inh. (GA, VR) | ALDVVGLR | 0.356781 | Neuroprotective (LR); ACE inh. (VG, GL); DPP–IV inh. (VV, AL) |
| SLLSGYDNK | 0.171974 | Regulating (SL); ACE inh. (GY, SG); DPP–IV inh. (LL, SL) | GILFVGSSR | 0.339825 | Neuropeptide activity (IL); ACE inh. (LF, VG); DPP–IV inh. (GI, IL) |
| HGDLGNVTK | 0.154972 | ACE inh. (HG, LG); DPP–IV inh. (NV, TK) | GLSDGEWQQ | 0.257559 | ACE inh. (GL, GE); DPP–IV inh. (GL, WQ) |
| AAEGVLTK | 0.139185 | Neuropeptide activity (EG); Hypotensive (AA); ACE inh. (AA, GV); DPP–IV inh. (AA, AE) | VTVPAYFNK | 0.241983 | ACE inh. (AY, VP); DPP–IV inh. (PA, VP) |
| VLGGQYVTR | 0.135662 | Neuropeptide activity (GQ); ACE inh. (GQ, GG); DPP–IV inh. (GG, QY) | TQEFIDR | 0.200373 | ACE inh. (TQ, EF); DPP–IV inh. (DR, QE) |
| VNQAEQLR | 0.128261 | Neuroprotective (LR); ACE inh. (LR); DPP–IV inh. (AE, NQ) | QQEALDKK | 0.130172 | ACE inh. (EA, KK); DPP–IV inh. (AL, KK) |
| TIANSDR | 0.0832161 | ACE inh. (IA, DR); DPP–IV inh. (IA, DR) | QVVDSHVR | 0.116024 | ACE inh. (VR, VV); DPP–IV inh. (VV, VR) |
| SVSEELTK | 0.0802248 | DPP–IV inh. (LT, SV) | TGADVVVTR | 0.108484 | ACE inh. (GA, TG); DPP–IV inh. (VV, GA) |
| LNVQAAAK | 0.0776645 | Hypotensive (AA); ACE inh. (AA, LN); DPP–IV inh. (AA, LN) | VTSGDTTR | 0.0759831 | ACE inh. (SG, GD); DPP–IV inh. (TR, TS) |
| GQVEVTGSK | 0.0699837 | Neuropeptide activity (GQ); ACE inh. (GS, GQ); DPP–IV inh. (EV, QV) | LTTDGKVR | 0.06769 | ACE inh. (GK, VR); DPP–IV inh. (VR, KV) |
| TTATDDVK | 0.0346048 | Binding (TAT); ACE inh. (VK); DPP–IV inh. (TA, AT) | VGNAVSEVK | 0.0603922 | ACE inh. (VK, VG); DPP–IV inh. (AV, EV) |
Disclaimer/Publisher’s Note: The statements, opinions and data contained in all publications are solely those of the individual author(s) and contributor(s) and not of MDPI and/or the editor(s). MDPI and/or the editor(s) disclaim responsibility for any injury to people or property resulting from any ideas, methods, instructions or products referred to in the content. |
© 2026 by the authors. Licensee MDPI, Basel, Switzerland. This article is an open access article distributed under the terms and conditions of the Creative Commons Attribution (CC BY) license.
Share and Cite
Kong, Y.; Liu, Y.; Yang, H.; Liang, X.; Zhao, M.; Javed, A.; Diao, X.; Wu, W. Bioactive Peptides from Yellowfin Tuna By-Products: Structural Characterization and Neuro-Related Activities in PC12 Cells. Curr. Issues Mol. Biol. 2026, 48, 374. https://doi.org/10.3390/cimb48040374
Kong Y, Liu Y, Yang H, Liang X, Zhao M, Javed A, Diao X, Wu W. Bioactive Peptides from Yellowfin Tuna By-Products: Structural Characterization and Neuro-Related Activities in PC12 Cells. Current Issues in Molecular Biology. 2026; 48(4):374. https://doi.org/10.3390/cimb48040374
Chicago/Turabian StyleKong, Yaqi, Yifan Liu, Haoze Yang, Xianzhe Liang, Min Zhao, Ahsan Javed, Xiaozhen Diao, and Wenhui Wu. 2026. "Bioactive Peptides from Yellowfin Tuna By-Products: Structural Characterization and Neuro-Related Activities in PC12 Cells" Current Issues in Molecular Biology 48, no. 4: 374. https://doi.org/10.3390/cimb48040374
APA StyleKong, Y., Liu, Y., Yang, H., Liang, X., Zhao, M., Javed, A., Diao, X., & Wu, W. (2026). Bioactive Peptides from Yellowfin Tuna By-Products: Structural Characterization and Neuro-Related Activities in PC12 Cells. Current Issues in Molecular Biology, 48(4), 374. https://doi.org/10.3390/cimb48040374

