Sign in to use this feature.

Years

Between: -

Subjects

remove_circle_outline
remove_circle_outline
remove_circle_outline
remove_circle_outline
remove_circle_outline

Journals

Article Types

Countries / Regions

Search Results (12)

Search Parameters:
Keywords = peak interfacial friction coefficient

Order results
Result details
Results per page
Select all
Export citation of selected articles as:
24 pages, 6050 KB  
Article
Hysteresis Heat Generation in Polyurethane O-Rings: Thermo-Mechanical Coupling Mechanism and Its Quantified Effect on Reciprocating Sealing Performance
by Chang Yang, Wenbo Luo, Jing Liu, Jiawei Liu, Yu Tang and Zhichao Wang
Coatings 2026, 16(4), 436; https://doi.org/10.3390/coatings16040436 - 4 Apr 2026
Viewed by 375
Abstract
Polyurethane O-ring seals are vital for the service life and sealing reliability of hydraulic systems, yet internal hysteresis heat generation under reciprocating motion causes localized temperature rise, altering contact pressure distribution and impairing sealing performance. This study aimed to clarify the coupled effects [...] Read more.
Polyurethane O-ring seals are vital for the service life and sealing reliability of hydraulic systems, yet internal hysteresis heat generation under reciprocating motion causes localized temperature rise, altering contact pressure distribution and impairing sealing performance. This study aimed to clarify the coupled effects of reciprocating motion parameters on O-ring hysteresis heat generation and sealing performance. A unified hysteresis heat generation rate expression was derived by combining the time–temperature superposition principle with the Maier–Göritz model, and the heat source model was integrated into a thermo-mechanically coupled finite element analysis (FEA) framework, validated by matching simulated and experimental temperature rise histories. Under baseline conditions, hysteresis heating causes the O-ring’s peak contact pressure to decrease by approximately 0.4 MPa during the outward stroke. Parametric analysis revealed that elevated operating parameters increase contact pressure to maintain effective sealing, but simultaneously intensify hysteresis heating. Quantitatively, the maximum O-ring temperature was highly sensitive to operating conditions, reaching 63.6 °C at 8 MPa hydraulic pressure, 60.0 °C at a 90 Hz reciprocating frequency, and up to 81.5 °C for a friction coefficient of 0.2. Although the current framework is limited by the exclusion of interfacial frictional heating, it enables the reliable quantitative prediction of thermal loads. Ultimately, this study provides a robust method for assessing sealing safety margins and offers theoretical guidance for the structural optimization of hydraulic sealing systems. Full article
(This article belongs to the Special Issue Polymer Coatings and Polymer Composites: Testing and Modeling)
Show Figures

Figure 1

19 pages, 2045 KB  
Article
Mechanical Behavior and Modeling of Polypropylene Fiber-Reinforced Cemented Tailings Interface with Granite Under Shear Loading: Effects of Roughness and Curing Time
by Xiangqian Xu, Yabiao Li and Rui Liang
Buildings 2026, 16(5), 913; https://doi.org/10.3390/buildings16050913 - 25 Feb 2026
Cited by 1 | Viewed by 247
Abstract
Cemented paste backfill (CPB) is widely adopted in underground mines, where the shear resistance of the CPB–rock interface critically governs the integrity of backfill–rock systems. This study investigates the effects of polypropylene fiber reinforcement, surface roughness (Joint Roughness Coefficient, JRC = 0 and [...] Read more.
Cemented paste backfill (CPB) is widely adopted in underground mines, where the shear resistance of the CPB–rock interface critically governs the integrity of backfill–rock systems. This study investigates the effects of polypropylene fiber reinforcement, surface roughness (Joint Roughness Coefficient, JRC = 0 and 1.76), and curing time (1, 3, and 7 days) on the shear strength and deformation characteristics of CPB–rock interfaces. Direct shear tests were performed under normal stresses of 50, 100, and 150 kPa, with synchronous measurements of shear and vertical displacements. Results show that increasing roughness markedly strengthens the interface, with the peak shear stress rising by up to 45% due to enhanced mechanical interlocking and dilation. In contrast, adding 0.5 vol.% PP fibers slightly reduces peak shear capacity but consistently improves post-peak deformability, indicating a transition from brittle interfacial fracture to a more ductile, progressive failure mode. A three-stage mechanical model was established to describe the shear stress–displacement relationship, incorporating elastic, bond degradation, and frictional sliding phases. The model parameters, including the shear stiffness (Ks), bond degradation coefficient (η), and residual strength (τr), were calibrated using the experimental data. Mohr–Coulomb analysis further quantifies the curing-dependent evolution of interfacial strength parameters, highlighting a marked increase in cohesion from 1 to 7 days alongside roughness-governed peak strengthening. This research provides insights into the optimization of the CPB–rock interface design for enhanced geomechanical performance in underground applications. Full article
Show Figures

Figure 1

20 pages, 3814 KB  
Article
Humidity-Driven Interfacial Restructuring of Lubricating Films in Phosphate Ester Ionic Liquids: Aromatic vs. Aliphatic Cation Effects
by Zhaowen Ba, Dan Qiao, Dapeng Feng and Jian Zhang
Lubricants 2025, 13(11), 475; https://doi.org/10.3390/lubricants13110475 - 27 Oct 2025
Cited by 1 | Viewed by 1012
Abstract
This study investigates the interfacial behavior of four phosphate ester ionic liquids (ILs) with contrasting cation hydrophobicity under humid environments. Through tribological tests, surface analysis, and molecular dynamics simulations, we reveal how moisture absorption governs lubricant film organization at metal interfaces. Aromatic ILs [...] Read more.
This study investigates the interfacial behavior of four phosphate ester ionic liquids (ILs) with contrasting cation hydrophobicity under humid environments. Through tribological tests, surface analysis, and molecular dynamics simulations, we reveal how moisture absorption governs lubricant film organization at metal interfaces. Aromatic ILs (imidazolium/pyridinium cations) exhibit significant degradation in lubrication after moisture exposure, with friction coefficients increasing by 0.03–0.05 and wear volumes scaling with humidity. This deterioration arises from competitive water–cation adsorption, where hydrogen bonding disrupts Fe-cation coordination bonds and destabilizes the protective film. In contrast, aliphatic ILs (tetraalkylammonium/phosphonium cations) maintain robust tribological performance. Their alkyl chains spatially confine water to outer adsorption layers (>17 Å from the surface), preserving a stable core lubricating film (~14 Å thick). Molecular dynamics simulations confirm that water co-adsorbs with aromatic cations (RDF peak: 2.5 Å), weakening interfacial interactions, while aliphatic ILs minimize cation–water affinity (RDF peak: 4 Å). These findings establish cation hydrophobicity as a critical design parameter for humidity-resistant lubricants, providing fundamental insights into water-mediated interfacial phenomena in complex fluid systems. Full article
Show Figures

Figure 1

23 pages, 11246 KB  
Article
Durable Low-Friction Graphite Coatings Enabled by a Polydopamine Adhesive Underlayer
by Adedoyin Abe, Fernando Maia de Oliveira, Deborah Okyere, Mourad Benamara, Jingyi Chen, Yuriy I. Mazur and Min Zou
Lubricants 2025, 13(10), 433; https://doi.org/10.3390/lubricants13100433 - 30 Sep 2025
Cited by 1 | Viewed by 1440
Abstract
This study investigates the tribological performance and wear mechanisms of graphite and polydopamine/graphite (PDA/graphite) coatings on stainless steel under dry sliding conditions. While graphite is widely used as a solid lubricant, its poor adhesion to metal substrates limits long-term durability. Incorporating an adhesion-promoting [...] Read more.
This study investigates the tribological performance and wear mechanisms of graphite and polydopamine/graphite (PDA/graphite) coatings on stainless steel under dry sliding conditions. While graphite is widely used as a solid lubricant, its poor adhesion to metal substrates limits long-term durability. Incorporating an adhesion-promoting PDA underlayer significantly improved coating lifetime and wear resistance. Tribological testing revealed that PDA/graphite coatings maintained a coefficient of friction (COF) below 0.15 for over seven times longer than graphite-only coatings. High-resolution scanning electron microscopy, SEM, and profilometry showed that PDA improved coating adhesion and suppressed lateral debris transport, confining wear to a narrow zone. Surface and counterface analyses confirmed enhanced graphite retention and formation of cohesive transfer films. Raman spectroscopy indicated only modest changes in the D and G bands. X-ray Photoelectron Spectroscopy, XPS analysis, confirmed that coating failure correlated with the detection of Fe and Cr peaks and oxide formation. Together, these results demonstrate that PDA enhances interfacial adhesion and structural stability without compromising lubrication performance, offering a strategy to extend the durability of carbon-based solid lubricant systems for high-contact-pressure applications. Full article
Show Figures

Figure 1

27 pages, 12274 KB  
Article
Mechanical Properties and Microstructure Damage of Limestone Concrete Under Triaxial Stress
by Kaide Liu, Songxin Zhao, Dingbo Wang, Wenping Yue, Chaowei Sun, Yu Xia and Qiyu Wang
Buildings 2025, 15(11), 1924; https://doi.org/10.3390/buildings15111924 - 2 Jun 2025
Cited by 3 | Viewed by 1587
Abstract
This study takes limestone crushed stone concrete as the research object and systematically investigates its mechanical property changes and microstructural damage characteristics under different confining pressures using triaxial compression tests, scanning electron microscope (SEM) tests, and digital image processing techniques. The results show [...] Read more.
This study takes limestone crushed stone concrete as the research object and systematically investigates its mechanical property changes and microstructural damage characteristics under different confining pressures using triaxial compression tests, scanning electron microscope (SEM) tests, and digital image processing techniques. The results show that, in terms of macro-mechanical properties, as the confining pressure increases, the peak strength increases by 192.66%, the axial peak strain increases by 143.66%, the elastic modulus increases by 133.98%, and the ductility coefficient increases by 54.61%. In terms of microstructure, the porosity decreases by 64.35%, the maximum pore diameter decreases by 75.69%, the fractal dimension decreases by 19.56%, and the interfacial transition zone cracks gradually extend into the aggregate interior. The optimization of the microstructure makes the concrete more compact, reduces stress concentration, and thereby enhances the macro-mechanical properties. Additionally, the failure characteristics of the specimens shift from diagonal shear failure to compressive flow failure. According to the Mohr–Coulomb strength criterion, the calculated cohesion is 6.96 MPa, the internal friction angle is 38.89°, and the breakage angle is 25.53°. A regression analysis established a quantitative relationship between microstructural characteristics and macro-mechanical properties, revealing the significant impact of microstructural characteristics on macro-mechanical properties. Under low confining pressure, early volumetric expansion and rapid volumetric strain occur, with microcracks mainly concentrated at the aggregate interface that are relatively wide. Under high confining pressure, volumetric expansion is delayed, volumetric strain increases slowly, and microcracks extend into the interior of the aggregate, becoming finer and more dispersed. Full article
(This article belongs to the Special Issue Advanced Research on Concrete Materials in Construction)
Show Figures

Figure 1

13 pages, 21741 KB  
Article
Laser Cladding for Diamond-Reinforced Composites with Low-Melting-Point Transition Layer
by Yongqian Chen, Yifei Du, Jialin Liu, Shanghua Zhang, Tianjian Wang, Shirui Guo, Yinghao Cui, Xiaolei Li, Bo Zheng, Yue Zhao and Lujun Cui
Materials 2025, 18(10), 2402; https://doi.org/10.3390/ma18102402 - 21 May 2025
Cited by 1 | Viewed by 1201
Abstract
To address the graphitization of diamond induced by high temperatures during laser cladding of diamond-reinforced composites, this study proposes a laser cladding method utilizing Inconel 718 (IN718) nickel-based alloy as a transition layer which has a lower melting point than the substrate of [...] Read more.
To address the graphitization of diamond induced by high temperatures during laser cladding of diamond-reinforced composites, this study proposes a laser cladding method utilizing Inconel 718 (IN718) nickel-based alloy as a transition layer which has a lower melting point than the substrate of 45# steel. And then, in order to analyze the detailed characteristics of the samples, scanning electron microscopy (SEM), EDS, Raman spectral analyzer, super-depth-of-field microscope, and friction tests were used. Experimental study and the test results demonstrate that the IN718 transition layer enhances coating performance through dual mechanisms: firstly, its relatively low melting point (1392 °C) reduces the molten pool’s peak temperature, effectively suppressing thermal-induced graphitization of the diamond; on the other hand, simultaneously it acts as a diffusion barrier to inhibit Fe migration from the substrate and weaken Fe–C interfacial catalytic reactions. Microstructural analysis reveals improved diamond encapsulation and reduced interfacial sintering defects in coatings with the transition layer. Tribological tests confirm that samples with the transition layer L exhibit lower friction coefficients and significantly enhanced wear resistance compared to those without. This study elucidates the synergistic mechanism of the transition layer in thermal management optimization and interfacial reaction suppression, providing an innovative solution to overcome the high-temperature damage bottleneck in laser-clad diamond tools. Full article
(This article belongs to the Section Manufacturing Processes and Systems)
Show Figures

Figure 1

17 pages, 8700 KB  
Article
Experimental Study on Pullout Behavior of Coir Geotextiles Based on Transparent Soil
by Liangyong Li, Houyang Li and Weiqiang Cao
Appl. Sci. 2025, 15(1), 488; https://doi.org/10.3390/app15010488 - 6 Jan 2025
Cited by 4 | Viewed by 4525
Abstract
As green and low-carbon materials, coir geotextiles have a broad application prospect in soil strengthening. In order to clarify the interface characteristics of coir geotextiles, the pullout test is performed on coir geotextiles by using transparent soil technology. The transparent soil is prepared [...] Read more.
As green and low-carbon materials, coir geotextiles have a broad application prospect in soil strengthening. In order to clarify the interface characteristics of coir geotextiles, the pullout test is performed on coir geotextiles by using transparent soil technology. The transparent soil is prepared by using fused quartz as the skeleton particle and the mixture of No. 15 industrial white oil and No. 3 industrial white oil as the pore fluid. The results show that the mechanical response of different pullout tests is basically similar, that is, with the increase in pullout displacement, the pullout force first increases rapidly, then slowly increases to the peak value, and then gradually decreases with the fluctuation. The adhesion of coir-geotextile–soil interface is 5.68 kPa and the internal friction angle is 3.43°. The interfacial friction coefficient of the coir geotextiles is unstable, ranging from 0.2 to 0.6. With the increase in normal stress, anchorage length, and pullout rate, the peak pullout force and the thickness of the shear band increase gradually. Full article
(This article belongs to the Section Civil Engineering)
Show Figures

Figure 1

29 pages, 12203 KB  
Article
Features of the Reinforcement–Soil Interfacial Effect in Fiber-Reinforced Soil Based on Pullout Tests
by Dingkan Xiao, Jun Zhang, Wei Xu, Jiang Wang, Nianyuan Qiu, Juan Wu, Huiyan Ling, Bo Qu and Zhihua Yao
Constr. Mater. 2024, 4(4), 810-838; https://doi.org/10.3390/constrmater4040044 - 16 Dec 2024
Cited by 2 | Viewed by 1231
Abstract
To investigate the reinforcement–soil interfacial effects in fiber-reinforced soil, this study developed a novel horizontal pullout tester and conducted pullout tests on coarse polypropylene fibers in plain soil, cemented soil, and fine fiber-reinforced cemented soil. Three soil types were analyzed: low liquid limit [...] Read more.
To investigate the reinforcement–soil interfacial effects in fiber-reinforced soil, this study developed a novel horizontal pullout tester and conducted pullout tests on coarse polypropylene fibers in plain soil, cemented soil, and fine fiber-reinforced cemented soil. Three soil types were analyzed: low liquid limit clay, high liquid limit clay, and clay sand. The pullout tester proved to be both scientifically robust and efficient. Depending on the soil properties, coarse polypropylene fibers were pulled out intact or fractured. The pullout curves displayed distinct multi-peak patterns, with wavelengths closely linked to the fiber’s intrinsic characteristics. The pullout curve wavelength for plain soil matched the fiber’s intrinsic wavelength, while it was slightly greater in cemented soils. The peak pullout force increased with extended curing periods, higher cement content, more excellent compaction, and the addition of fine polypropylene fibers. Among these factors, compaction had the most significant impact on enhancing the soil–fiber interfacial effect. Friction, cohesion, and fiber interweaving created interlocking effects, inhibiting fiber sliding. Cement hydration processes further deformed the fiber, increasing its friction coefficient and sliding resistance. Hydration products also fill soil voids, improving soil compactness, enlarging the fiber–soil contact area, and enhancing frictional and occlusal forces at the interface. Full article
Show Figures

Figure 1

11 pages, 2308 KB  
Article
Relationship between Surface Hardness and Peak Interfacial Frictional Coefficient in a Laboratory Scale Setting
by Xianqiang Zhao, Zhaoran Xiao and Qingshan Wang
Appl. Sci. 2022, 12(20), 10607; https://doi.org/10.3390/app122010607 - 20 Oct 2022
Cited by 4 | Viewed by 2269
Abstract
This study aims to clarify the relationship between surface hardness and the peak interfacial frictional coefficient under different particle sizes. The relationship between particle size and the peak interfacial frictional coefficient with different surface hardness values has not been addressed in previous literature. [...] Read more.
This study aims to clarify the relationship between surface hardness and the peak interfacial frictional coefficient under different particle sizes. The relationship between particle size and the peak interfacial frictional coefficient with different surface hardness values has not been addressed in previous literature. A pile-soil interfacial shear test was conducted using a multifunctional interfacial shear instrument was developed in the laboratory. The influences of surface hardness and particle size on the shear characteristics of pile-soil interfaces and the peak interface friction coefficient were studied. The test results revealed that the interfacial shear stress-shear displacement curves showed typical softening behavior when the surface of the model pile was smooth. The difference in curve characteristics for different particle sizes gradually cleared as the surface hardness decreased. The initial shear stiffness of the interface increased with increasing surface hardness and decreased with increasing particle size. The peak interfacial friction coefficient decreased with increasing surface hardness for different particle sizes. Furthermore, the peak interface friction coefficient increased with increasing particle size when the surface was hard. However, when the surface was soft, the peak interfacial friction coefficient decreased with increasing particle size. The linear relationship between the peak interfacial friction coefficient and particle size for different surface hardness values was established. Full article
(This article belongs to the Section Civil Engineering)
Show Figures

Figure 1

21 pages, 10409 KB  
Article
Study on Behavior of Steel Hoop Connections for Raw Bamboo Members
by Chao Hu, Rui Cheng, Qilin Cheng and Jichun Liu
Materials 2021, 14(23), 7253; https://doi.org/10.3390/ma14237253 - 27 Nov 2021
Cited by 11 | Viewed by 3704
Abstract
Bamboo structures have various types of connections, such as bolting and lashing. One crucial issue in bamboo structures is that the connection with bolts and nails has a lower load-carrying capacity associated with the bamboo failure resulting from the bolt or nail invading [...] Read more.
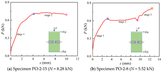
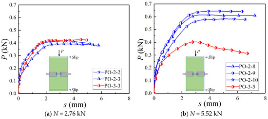
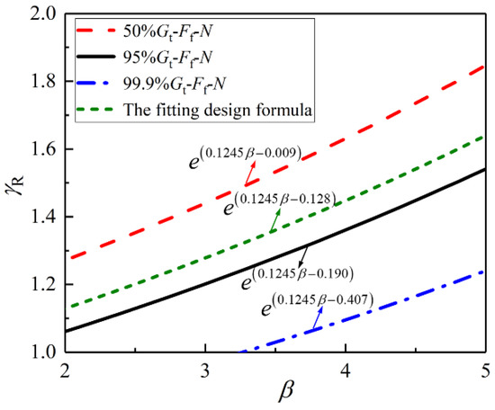
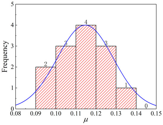
Bamboo structures have various types of connections, such as bolting and lashing. One crucial issue in bamboo structures is that the connection with bolts and nails has a lower load-carrying capacity associated with the bamboo failure resulting from the bolt or nail invading them. This paper focuses on the connection for raw bamboo members with steel hoops (BHC), of which the two semi-circular steel hoops are fastened to the raw bamboo with high-strength bolts. The sliding friction is controlled by the interfacial pressure, which can be increased by tightening the bolts. A push-out experiment on thirty-six specimens was conducted considering the following two parameters: the different surface conditions of raw bamboo (with or without the epidermis) and the different interfacial pressure. The test results mainly showed the two failure modes of specimens under certain conditions: continuous longitudinal slip after the vertical load reached the peak; and the steel hoop stuck in the bamboo skin after a period of slip. It is found that the sliding friction was controlled by the interfacial pressure, and the difference in the anti-sliding capacity between the epidermal bamboo specimen and the non-epidermal bamboo specimen was magnified with the increase of interfacial pressure. The contact stress on the surface of bamboo is approximately uniformly distributed based on the finite element analyses. The interfacial pressure can be predicted by the torque value of the digital electronic torque wrench and the equations established by mechanical analysis, respectively. Moreover, the design formulae of bearing capacity for BHC under three guaranteed rates (50%, 95%, and 99.9%) were developed based on probability theory, while the fourth design formula was derived by regression analysis. The reliability indices of the four design formulae were up to 0.07, 1.44, 3.09, and 0.97, respectively, and the resistance partial coefficients were suggested accordingly. Full article
(This article belongs to the Section Manufacturing Processes and Systems)
Show Figures

Figure 1

13 pages, 1838 KB  
Article
A Static Friction Model for Unlubricated Contact of Random Rough Surfaces at Micro/Nano Scale
by Shengguang Zhu and Liyong Ni
Micromachines 2021, 12(4), 368; https://doi.org/10.3390/mi12040368 - 29 Mar 2021
Cited by 7 | Viewed by 3455
Abstract
A novel static friction model for the unlubricated contact of random rough surfaces at micro/nano scale is presented. This model is based on the energy dissipation mechanism that states that changes in the potential of the surfaces in contact lead to friction. Furthermore, [...] Read more.
A novel static friction model for the unlubricated contact of random rough surfaces at micro/nano scale is presented. This model is based on the energy dissipation mechanism that states that changes in the potential of the surfaces in contact lead to friction. Furthermore, it employs the statistical theory of two nominally flat rough surfaces in contact, which assumes that the contact between the equivalent rough peaks and the rigid flat plane satisfies the condition of interfacial friction. Additionally, it proposes a statistical coefficient of positional correlation that represents the contact situation between the equivalent rough surface and the rigid plane. Finally, this model is compared with the static friction model established by Kogut and Etsion (KE model). The results of the proposed model agree well with those of the KE model in the fully elastic contact zone. For the calculation of dry static friction of rough surfaces in contact, previous models have mainly been based on classical contact mechanics; however, this model introduces the potential barrier theory and statistics to address this and provides a new way to calculate unlubricated friction for rough surfaces in contact. Full article
Show Figures

Figure 1

25 pages, 3078 KB  
Article
A Research on the Macroscopic and Mesoscopic Parameters of Concrete Based on an Experimental Design Method
by Hui Su, Hongliang Li, Baowen Hu and Jiaqi Yang
Materials 2021, 14(7), 1627; https://doi.org/10.3390/ma14071627 - 26 Mar 2021
Cited by 22 | Viewed by 2888
Abstract
Concrete is a composite material that has complex mechanical properties. The mechanical properties of each of its components are different at the mesoscopic scale. Studying the relationship between the macroscopic and mesoscopic parameters of concrete can help better understand its mechanical properties at [...] Read more.
Concrete is a composite material that has complex mechanical properties. The mechanical properties of each of its components are different at the mesoscopic scale. Studying the relationship between the macroscopic and mesoscopic parameters of concrete can help better understand its mechanical properties at these levels. When using the discrete element method to model the macro-mesoscopic parameters of concrete, their calibration is the first challenge. This paper proposes a numerical model of concrete using the particle discrete element software particle flow code (PFC). The mesoscopic parameters required by the model need to be set within a certain range for an orthogonal experimental design. We used the proposed model to perform numerical simulations as well as response surface design and analysis. This involved fitting a set of mapping relationships between the macro–micro parameters of concrete. An optimization model was established in the MATLAB environment. The program used to calibrate the mesoscopic parameters of concrete was written using the genetic algorithm, and its macro-micro parameters were inverted. The following three conclusions can be drawn from the orthogonal test: First, the tensile strength and shear strength of the parallel bond between the particles of mortar had a significant influence on the peak compressive strength of concrete, whereas the influence of the other parameters was not significant. Second, the elastic modulus of the parallel bonding between particles of mortar, their stiffness ratio and friction coefficient, and the elastic modulus and stiffness ratio of contact bonding in the interfacial transition zone had a significant influence on the elastic modulus, whereas the influence of the other parameters was not significant. Third, the elastic modulus, stiffness ratio, and friction coefficient of the particles of mortar as well as the ratio of the contact adhesive stiffness in their interfacial transition zone had a significant influence on Poisson’s ratio, whereas the influence of the other parameters was not significant. The fitting effect of the response surface design was good. Full article
(This article belongs to the Special Issue Deformation Analysis and Modeling of Engineering Materials)
Show Figures

Figure 1

Back to TopTop