Hysteresis Heat Generation in Polyurethane O-Rings: Thermo-Mechanical Coupling Mechanism and Its Quantified Effect on Reciprocating Sealing Performance
Abstract
1. Introduction
2. Hysteresis Heat-Generation Model
3. Material Characterization and Parameter Identification
3.1. Material Testing Procedures
- (1)
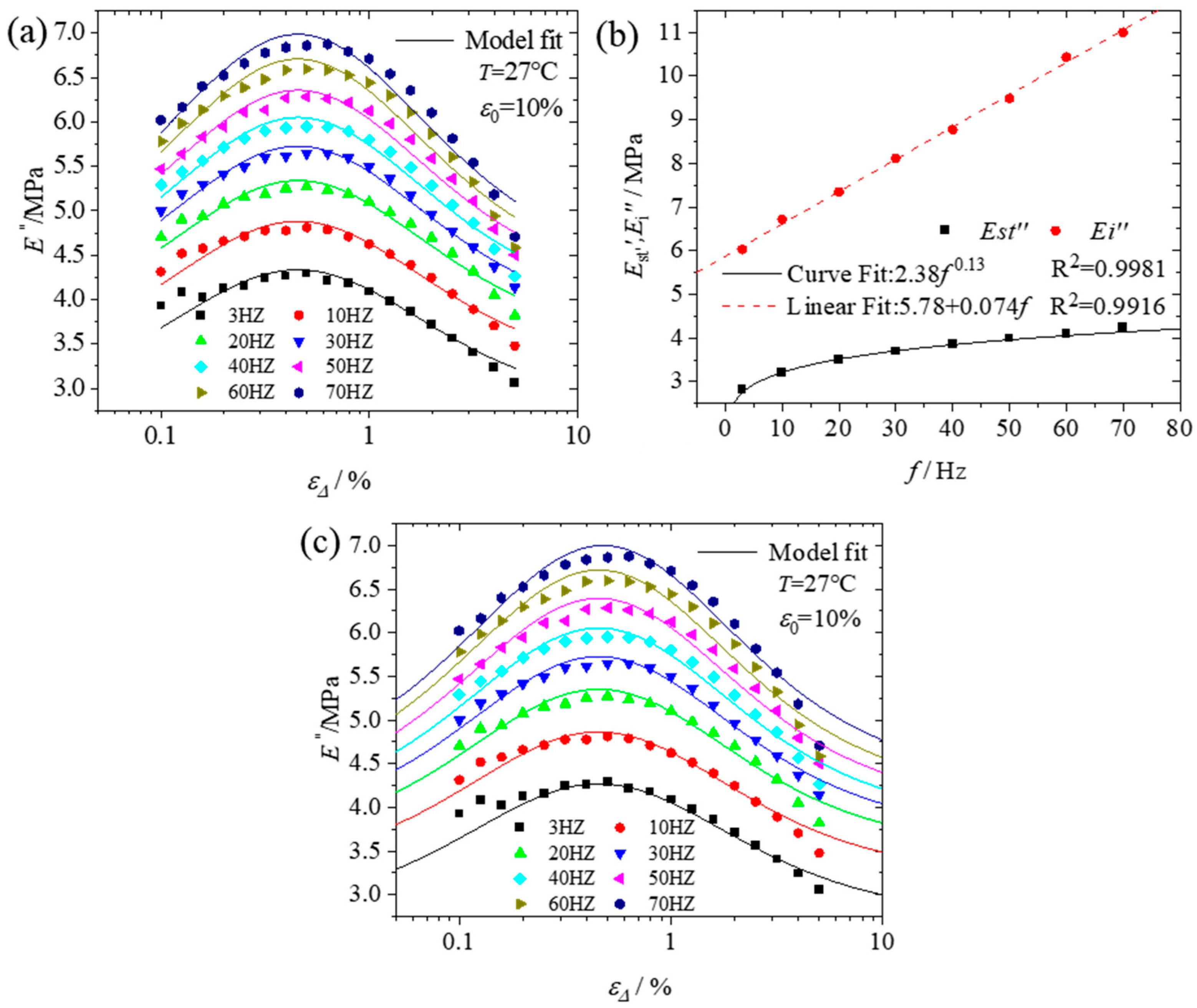
- Strain sweep tests: To investigate the combined influence of frequency and dynamic strain amplitude, strain sweep tests were conducted at a fixed environmental temperature of 27 °C. The dynamic strain amplitude was swept from 0.1% to 5% (with ten data points per decade) under a static pre-strain of 10%. The lower bound of 0.1% ensures a stable DMA response while remaining within the small-amplitude regime, whereas the upper bound of 5% is sufficient to capture the strain-amplitude dependence of the loss modulus and the associated Payne effect. This strain sweep procedure was repeated at discrete frequencies of 3, 10, 20, 30, 40, 50, 60, and 70 Hz, respectively.
- (2)
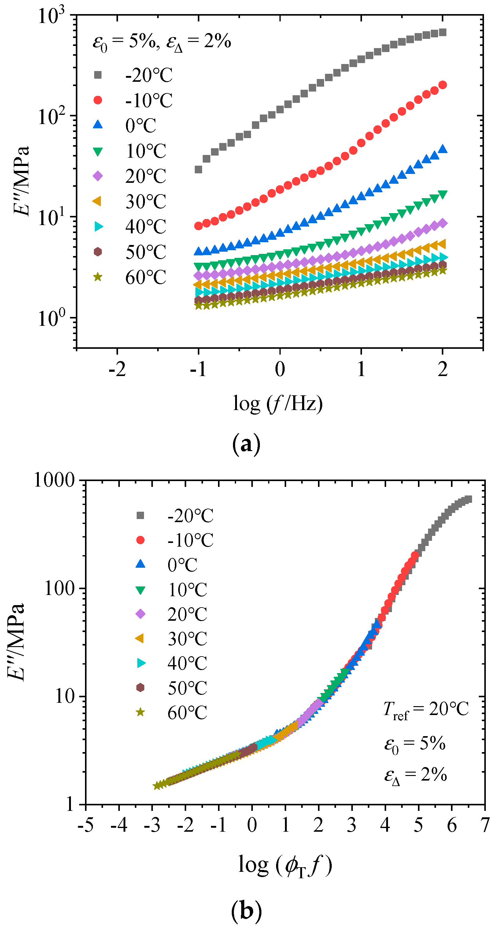
- Frequency sweep tests: To establish the TTS master curve for temperature dependence, frequency sweep tests were performed over a frequency range of 0.1 Hz to 100 Hz. These tests were conducted under isothermal conditions at −20 °C, −10 °C, 0 °C, 10 °C, 20 °C, 30 °C, 40 °C, 50 °C, and 60 °C, respectively. A static pre-strain of 5% and a dynamic strain amplitude of 2% were applied for all frequency sweep tests.
3.2. Results and Parameter Fitting
4. Finite Element Calculation Model of O-Ring Seal
4.1. Constitutive Model
4.2. Geometrical Model and Mesh Generation
- (1)
- The polyurethane material is considered an incompressible hyperelastic material with a Poisson’s ratio of 0.5.
- (2)
- The piston rod and hydraulic cylinder (including the seal groove) are made of metal with a much higher elastic modulus than polyurethane; thus, they were set as rigid bodies in the simulation to eliminate their deformation and reduce computational cost.
- (3)
- The O-ring, seal groove and piston rod exhibit perfect axisymmetric structural characteristics, and the applied loads, such as pre-compression and hydraulic pressure, are also axisymmetric; thus, the 3-D sealing system can be simplified to a 2-D axisymmetric model without losing simulation accuracy.
- (4)
- The heat exchange between the O-ring and the surrounding environment is only considered as convective heat transfer.
4.3. Thermo-Mechanical Coupling Analysis Step Setting
- (1)
- Deformation module: This module consists of four sequential steps for mechanical deformation analysis: interference assembly (pre-compression), hydraulic pressure loading, inward stroke, and outward stroke. The hyperelastic constitutive model, geometric structure, boundary conditions and mesh generation were applied in this module to calculate the strain distribution and strain history at each integration point in the O-ring.
- (2)
- Dissipation module: The strain history of the O-ring was extracted via the USDFLD user subroutine, and the dynamic strain amplitude at each integration point was determined by comparing the strain values of the inward and outward strokes. These strain amplitude values were then coupled with the temperature-dependent loss modulus in the HETVAL user subroutine to quantify the hysteretic heat generation rate density at each integration point according to Equation (17).
- (3)
- Thermal analysis module: The convective heat boundary conditions were set for the thermal analysis, and the transient temperature field of the O-ring was calculated based on the hysteresis heat generation rate density from the dissipation module. The calculated temperature data were then fed back into the dissipation module to update temperature-dependent loss modulus and heat generation rate density.
4.4. Contact and Boundary Conditions
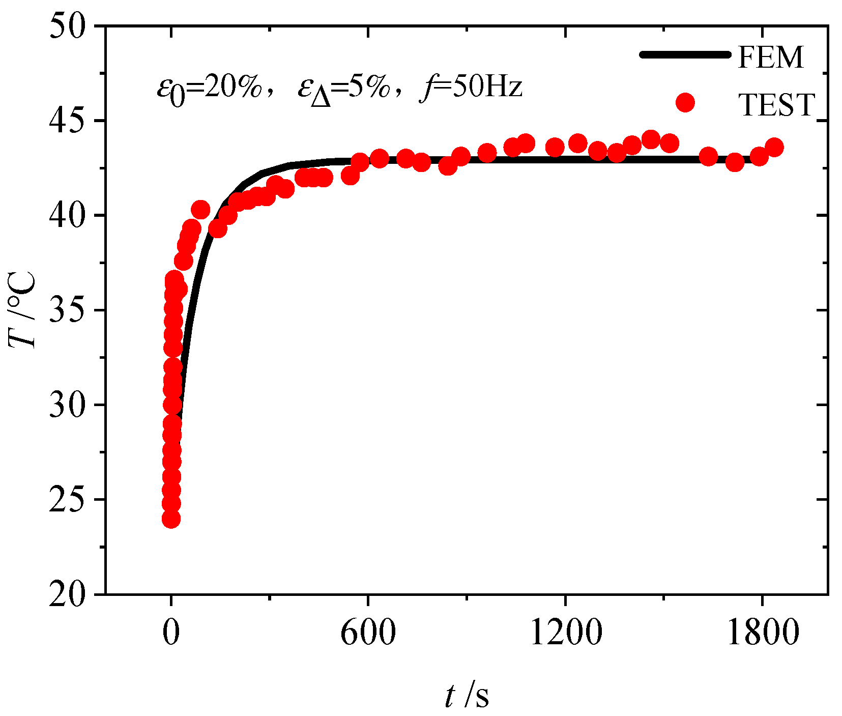
4.5. Model Validation
5. Results and Discussions
5.1. Deformation Analysis
5.2. Contact Pressure Distribution Analysis
5.3. Effect of Hysteresis Heat Generation on Sealing Performance
5.4. Parametric Study on Sealing Performance and Hysteresis Heat Generation
5.4.1. Effect of Pre-Compression Ratio
5.4.2. Effect of Hydraulic Pressure
5.4.3. Effect of Friction Coefficient
5.4.4. Effect of Reciprocating Frequency
6. Conclusions
- (1)
- Hysteresis-induced temperature rise leads to a modest but systematic redistribution of contact pressure in polyurethane O-rings under reciprocating motion. Under the baseline operating conditions (5 MPa hydraulic pressure, 10% pre-compression ratio, friction coefficient 0.1, and 50 Hz), the hysteresis heat generation causes a localized temperature rise in the O-ring, which reduces the peak contact pressure by approximately 0.4 MPa during the outward stroke. Although a positive sealing pressure margin is still maintained, this thermal-induced degradation highlights the necessity of thermo-mechanical coupling analysis for accurate assessment of the sealing safety margin, pure mechanical analysis will overestimate the sealing performance.
- (2)
- The contact pressure of the O-ring is significantly influenced by operating parameters, with distinct trends for different parameters. Contact pressure increases with pre-compression ratio and hydraulic pressure, but decreases with increasing friction coefficient. Crucially, the contact pressure remains above the hydraulic pressure across all studied parameter ranges, ensuring basic sealing integrity.
- (3)
- Hydraulic pressure, friction coefficient, and reciprocating frequency are the predominant drivers of the steady-state temperature rise in the O-ring, while the pre-compression ratio exerts a negligible influence. The pre-compression ratio only affects the initial static strain and does not alter the dynamic strain amplitude.
- (4)
- Thermal management strategies for reciprocating hydraulic sealing systems should prioritize controlling the dynamic operational limits (e.g., hydraulic pressure, friction coefficient, and reciprocating frequency) rather than the initial assembly parameters (i.e., pre-compression ratio). Reducing the friction coefficient and limiting the maximum operating frequency and hydraulic pressure are effective measures to mitigate hysteresis heat generation, reduce thermal softening, and improve the sealing reliability and service life of polyurethane O-rings.
Author Contributions
Funding
Data Availability Statement
Conflicts of Interest
References
- Nikas, G.K. Research on the tribology of hydraulic reciprocating seals. In Tribology Research Trends; Hasegawa, T., Ed.; Nova Science Publishers: New York, NY, USA, 2008; pp. 11–56. [Google Scholar]
- Patel, H.; Salehi, S.; Ahmed, R.; Teodoriu, C. Review of elastomer seal assemblies in oil and gas wells: Performance evaluation, failure mechanisms, and gaps in industry standards. J. Petrol. Sci. Eng. 2019, 179, 1046–1062. [Google Scholar] [CrossRef]
- Luo, W.; Yin, B.; Hu, X.; Zhou, Z.; Deng, Y.; Song, K. Modeling of the heat build-up of carbon black filled rubber. Polym. Test. 2018, 69, 116–124. [Google Scholar] [CrossRef]
- Chen, Y.; Liu, X.; Li, C. Development of rubber packing element for 105 MPa/215 °C deep-well test packer. Materials 2022, 15, 2024. [Google Scholar] [CrossRef]
- Cheng, D.; Gu, L.; Sun, Y.; Shi, Y. Numerical calculation method of multi-lip seal wear under mixed thermal elastohydrodynamic lubrication. Lubricants 2023, 11, 248. [Google Scholar] [CrossRef]
- Chung, K.; Hong, J.; Kim, Y.-W.; Han, J.S.; Jeong, B.H.; Kwon, Y.I. A study on the lifetime estimation and leakage test of rubber O-ring in contact with fuel at accelerated thermal aging conditions. Tribol. Lubr. 2019, 35, 222–228. [Google Scholar] [CrossRef]
- Mars, W.V.; Ebbott, T.G. A review of thermal effects on elastomer durability. Adv. Polym. Sci. 2024, 294, 251–324. [Google Scholar] [CrossRef]
- Yuan, X.; Wang, J.; Lian, Z.; Wang, G. Partial lubrication modeling of reciprocating rod seals based on a developed EHL method. Tribol. Int. 2021, 153, 106585. [Google Scholar] [CrossRef]
- Zhang, J.; Xie, J. Investigation of static and dynamic seal performances of a rubber O-ring. J. Tribol. 2018, 140, 042202. [Google Scholar] [CrossRef]
- Cheng, H.; Chen, X.; Chen, X.; Liu, H. Research on key factors of sealing performance of combined sealing ring. Appl. Sci. 2022, 12, 714. [Google Scholar] [CrossRef]
- Mao, J.; Wang, W.; Liu, Y. Experimental and theoretical investigation on the sealing performance of the combined seals for reciprocating rod. J. Mech. Sci. Technol. 2012, 26, 1765–1772. [Google Scholar] [CrossRef]
- Wu, J.B.; Li, L. Influence of ambient pressure on sealing performance of O-ring in deep-sea hydraulic system. Ocean Eng. 2022, 245, 110440. [Google Scholar] [CrossRef]
- Li, Z. Study on the sealing performance of O-ring under high-pressure environment. J. Phys. Conf. Ser. 2023, 2419, 012005. [Google Scholar] [CrossRef]
- Zhang, H.; Zhang, J. Static and dynamic sealing performance analysis of rubber D-ring based on FEM. J. Fail. Anal. Prev. 2016, 16, 165–172. [Google Scholar] [CrossRef]
- Pinedo, B.; Hadfield, M.; Tzanakis, I.; Conte, M.; Anand, M. Thermal analysis and tribological investigation on TPU and NBR elastomers applied to sealing applications. Tribol. Int. 2018, 127, 24–36. [Google Scholar] [CrossRef]
- Xiang, C.; Guo, F.; Jia, X.; Wang, Y.; Huang, X. Thermo-elastohydrodynamic mixed-lubrication model for reciprocating rod seals. Tribol. Int. 2019, 140, 105894. [Google Scholar] [CrossRef]
- Nikas, G.K. Parametric and optimization study of rectangular-rounded hydraulic elastomeric reciprocating seals at temperatures between −54 and +135 °C. Lubricants 2018, 6, 77. [Google Scholar] [CrossRef]
- Zhao, Y.; Feng, Z.; Li, Y.; Feng, L.; Li, Q.; Cui, W. Analysis of contact surface wear performance of O-ring dynamic seal based on Archard model. Teh. Vjesn. 2022, 29, 1441–1453. [Google Scholar] [CrossRef]
- Xiang, C.; Guo, F.; Liu, X.; Fang, H.; Wang, Y. Thermo-elastohydrodynamic lubrication simulation of reciprocating rod seals under transient condition. Tribol. Int. 2021, 153, 106603. [Google Scholar] [CrossRef]
- Li, M.; Zhang, T.; Fang, X.; Zhou, D.; Xu, G.; Huang, X. Long-term sealing performance evaluation and service life prediction of O-rings under thermal–mechanical coupling conditions. Model. Simul. Mater. Sci. Eng. 2024, 32, 035016. [Google Scholar] [CrossRef]
- Yin, T.; Wei, D.; Wang, T.; Fu, J.; Xie, Z. Mixed-lubrication mechanism considering thermal effect on high-pressure reciprocating water seal. Tribol. Int. 2022, 175, 107856. [Google Scholar] [CrossRef]
- Zhang, Y.; Lou, Z.; Wei, F.; Lin, S.; Hu, L.; He, W. Hybrid lubrication model study of slip ring combination seal under the influence of frictional heat. Proc. Inst. Mech. Eng. Part J J. Eng. Tribol. 2024, 238, 426–449. [Google Scholar] [CrossRef]
- Shaw, M.T.; MacKnight, W.J. Introduction to Polymer Viscoelasticity; John Wiley & Sons: Hoboken, NJ, USA, 2005; pp. 7–105. [Google Scholar] [CrossRef]
- Li, F.; Liu, J.; Yang, H. Numerical simulation and experimental verification of heat build-up for rubber compounds. Polymer 2016, 101, 199–207. [Google Scholar] [CrossRef]
- Rittel, D. An investigation of the heat generated during cyclic loading of two glassy polymers. Part I: Experimental. Mech. Mater. 2000, 32, 131–147. [Google Scholar] [CrossRef]
- Maier, P.G.; Göritz, D. Molecular interpretation of the Payne effect. Kautsch. Gummi Kunstst. 1996, 49, 18–21. [Google Scholar]
- Shangguan, Y.; Chen, F.; Jia, E.; Lin, Y.; Hu, J.; Zheng, Q. New insight into time-temperature correlation for polymer relaxations ranging from secondary relaxation to terminal flow: Application of a universal and developed WLF equation. Polymers 2017, 9, 567. [Google Scholar] [CrossRef]
- Mandlekar, N.; Rana, B.; Maurya, P.; Butola, B.S.; Joshi, M. Long-term prediction of creep and stress-relaxation behaviour in synthetic fabrics using the time–temperature superposition principle. Fibers Polym. 2023, 24, 2195–2208. [Google Scholar] [CrossRef]
- Gent, A.N.; Yeoh, O.H. Small indentations of rubber blocks: Effect of size and shape of block and of lateral compression. Rubber Chem. Technol. 2006, 79, 674–693. [Google Scholar] [CrossRef]
- Zhao, B.; Zhao, Y.J.; Wu, X.Y.; Xiong, H.C. Sealing performance analysis of P-shape seal with fluid pressure penetration loading method. IOP Conf. Ser. Mater. Sci. Eng. 2018, 397, 012126. [Google Scholar] [CrossRef]
- Peng, C.; Ouyang, X.; Wei, W.; Schmitz, K.; Yang, H. Investigation into the reciprocating sealing performance based on an optical test method. Tribol. Trans. 2022, 65, 210–224. [Google Scholar] [CrossRef]
- Zhou, Y.; Huang, Z.; Bu, Y.; Qiu, C.; Yuan, Y. Simulation studies on drilling mud pump plunger seal failure under ultrahigh pressure and ultradeep conditions. Eng. Fail. Anal. 2014, 45, 142–150. [Google Scholar] [CrossRef]
- Yokoyama, K.; Okazaki, M.; Komito, T. Effect of contact pressure and thermal degradation on the sealability of O-ring. JSAE Rev. 1998, 19, 123–128. [Google Scholar] [CrossRef]
- Zhang, X.; Wang, G.; Xia, P.; Li, H.P.; He, M. Finite element analysis and experimental study on contact pressure of hydraulic support bud-shaped composite sealing ring. Adv. Mech. Eng. 2016, 8, 1–9. [Google Scholar] [CrossRef]
- Sahli, R.; Pallares, G.; Ducottet, C.; Ben Ali, I.E.; Al Akhrass, S.; Guibert, M.; Scheibert, J. Evolution of real contact area under shear and the value of static friction of soft materials. Proc. Natl. Acad. Sci. USA 2018, 115, 471–476. [Google Scholar] [CrossRef] [PubMed]





















| Property | Symbol | Unit | Value |
|---|---|---|---|
| O-ring cross-section diameter | a | mm | 5.33 |
| Groove width | b | mm | 7.3 |
| Groove depth | h | mm | 4.24 |
| Groove bottom radius | r1 | mm | 0.4 |
| Groove edge radius | r2 | mm | 0.2 |
| Density | ρ | kg·m−3 | 1200 |
| Specific heat capacity | c | J·kg−1·K−1 | 2800 |
| Coefficient of heat conduction | λ | W·m−1·K−1 | 0.25 |
| Convective heat transfer coefficient from specimen to air | hc | W·m−2·K−1 | 15 |
| coefficient of thermal expansion | α | K−1 | 1.48 × 10−4 |
Disclaimer/Publisher’s Note: The statements, opinions and data contained in all publications are solely those of the individual author(s) and contributor(s) and not of MDPI and/or the editor(s). MDPI and/or the editor(s) disclaim responsibility for any injury to people or property resulting from any ideas, methods, instructions or products referred to in the content. |
© 2026 by the authors. Licensee MDPI, Basel, Switzerland. This article is an open access article distributed under the terms and conditions of the Creative Commons Attribution (CC BY) license.
Share and Cite
Yang, C.; Luo, W.; Liu, J.; Liu, J.; Tang, Y.; Wang, Z. Hysteresis Heat Generation in Polyurethane O-Rings: Thermo-Mechanical Coupling Mechanism and Its Quantified Effect on Reciprocating Sealing Performance. Coatings 2026, 16, 436. https://doi.org/10.3390/coatings16040436
Yang C, Luo W, Liu J, Liu J, Tang Y, Wang Z. Hysteresis Heat Generation in Polyurethane O-Rings: Thermo-Mechanical Coupling Mechanism and Its Quantified Effect on Reciprocating Sealing Performance. Coatings. 2026; 16(4):436. https://doi.org/10.3390/coatings16040436
Chicago/Turabian StyleYang, Chang, Wenbo Luo, Jing Liu, Jiawei Liu, Yu Tang, and Zhichao Wang. 2026. "Hysteresis Heat Generation in Polyurethane O-Rings: Thermo-Mechanical Coupling Mechanism and Its Quantified Effect on Reciprocating Sealing Performance" Coatings 16, no. 4: 436. https://doi.org/10.3390/coatings16040436
APA StyleYang, C., Luo, W., Liu, J., Liu, J., Tang, Y., & Wang, Z. (2026). Hysteresis Heat Generation in Polyurethane O-Rings: Thermo-Mechanical Coupling Mechanism and Its Quantified Effect on Reciprocating Sealing Performance. Coatings, 16(4), 436. https://doi.org/10.3390/coatings16040436

