Sign in to use this feature.

Years

Between: -

Subjects

remove_circle_outline
remove_circle_outline
remove_circle_outline
remove_circle_outline
remove_circle_outline
remove_circle_outline
remove_circle_outline
remove_circle_outline
remove_circle_outline

Journals

remove_circle_outline
remove_circle_outline
remove_circle_outline
remove_circle_outline
remove_circle_outline
remove_circle_outline
remove_circle_outline
remove_circle_outline
remove_circle_outline

Article Types

Countries / Regions

remove_circle_outline
remove_circle_outline
remove_circle_outline
remove_circle_outline
remove_circle_outline
remove_circle_outline

Search Results (620)

Search Parameters:
Keywords = particulate filter

Order results
Result details
Results per page
Select all
Export citation of selected articles as:
18 pages, 3788 KB  
Article
Species-Specific Particulate Matter Retention by Shade-Tolerant Plants in Modular Living Walls: SEM-Based Quantification and Trait-Guided Selection
by Caterina Dalsasso, Mattia Martin Azzella, Maria Rosaria Bruno, Antonella Campopiano, Annapaola Cannizzaro, Federica Angelosanto and Fabrizio Tucci
Appl. Sci. 2026, 16(8), 3811; https://doi.org/10.3390/app16083811 - 14 Apr 2026
Abstract
Airborne particulate matter (PM) poses a major health risk, yet species selection for vertical greening systems (VGS) is poorly quantified. We evaluated PM retention by seven commercially available shade-tolerant species grown in a modular living wall system (LWS) on a north-facing façade at [...] Read more.
Airborne particulate matter (PM) poses a major health risk, yet species selection for vertical greening systems (VGS) is poorly quantified. We evaluated PM retention by seven commercially available shade-tolerant species grown in a modular living wall system (LWS) on a north-facing façade at Sapienza University of Rome. After 3 months of in situ exposure, leaves were analyzed via SEM (1000×), collecting 210 images, 30 per species. An automated FIJI/ImageJ pipeline segmented particles, computed equivalent circular diameters, and classified them into (PM < 0.5, PM [0.5, 1), PM [1, 2.5), PM [2.5, 10), and PM ≥ 10 µm). Across species, ultrafine and fine fractions dominated deposits, with the <0.5 µm class typically comprising 60–70% of counts. Vinca minor cv. albomarginata exhibited the highest densities in ultrafine and fine classes, closely followed by Fatsia japonica; Hedera helix captured more coarse particles (2.5–10 µm and >10 µm). Heuchera sanguinea consistently displayed the lowest densities across all size classes. Performance patterns aligned with leaf surface traits: wax-coated, moderately rough or gently structured cuticles favored adhesion, whereas highly irregular microrelief did not consistently enhance retention. Methodological considerations include thresholding sensitivity, use of equivalent circular diameter for irregular particles, and an upper area filter that may undercount large aggregates. The findings identify Vinca minor cv. albomarginata and Fatsia japonica as priority species for PM mitigation in shaded VGS, with Hedera helix complementing coarse PM capture. The results provide trait-based, design-oriented guidance for living wall species selection in Mediterranean urban and indoor contexts. Full article
Show Figures

Figure 1

17 pages, 4020 KB  
Article
Indoor Air Filtration System Performance: Evidence from a Two-Week Office Study Within the EDIAQI Project
by Nikolina Račić, Valentino Petrić, Gordana Pehnec, Ivana Jakovljević, Marija Jelena Lovrić Štefiček, Goran Gajski, Francesco Mureddu and Mario Lovrić
Atmosphere 2026, 17(4), 393; https://doi.org/10.3390/atmos17040393 - 14 Apr 2026
Abstract
This two-week pilot study within the Horizon Europe EDIAQI project evaluated the real-life performance of portable air filtration units in two office environments (a small office and a shared kitchen) under continuous device operation and daily filter replacement. Indoor particle concentrations were monitored [...] Read more.
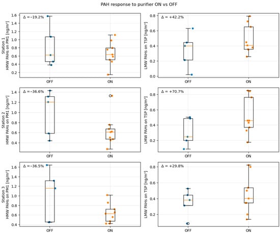
This two-week pilot study within the Horizon Europe EDIAQI project evaluated the real-life performance of portable air filtration units in two office environments (a small office and a shared kitchen) under continuous device operation and daily filter replacement. Indoor particle concentrations were monitored continuously using low-cost sensors (LCS) from three providers and supported by gravimetric measurements, while daily activity logs documented occupancy patterns, printing, cooking, and other source events together with purifier ON/OFF status. Particulate matter (PM) mass concentrations showed no systematic improvement during purifier ON periods; instead, temporal variability was dominated by indoor activities and episodic emissions, with occasional short-term peaks around filter replacement suggestive of minor resuspension. Chemical analysis provided a clearer picture: polycyclic aromatic hydrocarbons (PAHs) responded differently across fractions and compositions. Across monitored locations, high-molecular-weight PAHs in the PM1 fraction decreased during purifier ON periods (approximately 30% lower on average), whereas low-molecular-weight PAHs measured in total suspended particles (TSP) were higher during ON periods, indicating that semi-volatile fractions and activity/ventilation dynamics can outweigh simple filtration effects. Overall, the findings highlight a gap between laboratory-derived filtration performance metrics and outcomes in occupied, mixed-source indoor environments and emphasise the importance of device sizing, placement, airflow mixing, and complementary source control and ventilation strategies when deploying filtration-based IAQ interventions. Full article
(This article belongs to the Special Issue Emerging Technologies for Observation of Air Pollution (2nd Edition))
Show Figures

Figure 1

18 pages, 1984 KB  
Article
Laboratory-Based Estimation of Ammonia-Derived Secondary PM2.5 for Air Quality Assessment of Concentrated Animal Feeding Operations
by El Jirie Baticados and Sergio Capareda
Air 2026, 4(2), 9; https://doi.org/10.3390/air4020009 - 12 Apr 2026
Viewed by 64
Abstract
Ammonia (NH3) emissions from concentrated animal feeding operations (CAFOs) are recognized contributors to secondary fine particulate matter (PM2.5) formation, yet empirically derived secondary PM2.5 emission factors applicable to livestock operations remain limited. This study investigated NH3-derived [...] Read more.
Ammonia (NH3) emissions from concentrated animal feeding operations (CAFOs) are recognized contributors to secondary fine particulate matter (PM2.5) formation, yet empirically derived secondary PM2.5 emission factors applicable to livestock operations remain limited. This study investigated NH3-derived secondary PM2.5 formation under controlled laboratory conditions using a PTFE flow reactor in which NH3 was reacted with sulfur dioxide (SO2) across ammonia-rich NH3:SO2 ratios, with and without zero air. The resulting aerosols were characterized using gravimetric analysis, elemental analysis, Fourier-transform infrared spectroscopy (FTIR), scanning electron microscopy with energy-dispersive X-ray spectroscopy (SEM/EDS), and particle size distribution (PSD) measurements. The recovered particles were dominated by inorganic ammonium–sulfur species, with FTIR and elemental trends indicating sulfite-related intermediates under no-zero-air conditions and more oxidized ammonium–sulfur products under oxygenated conditions. Accounting for both filter-collected and wall-deposited particles, unit particulate emission factors normalized to ammonia input were derived. Size-based apportionment using PSD data indicated that approximately 76.6% of the recovered particulate mass was within the PM2.5 size range. Scaling the experimentally derived unit emission factors using literature-based ammonia emission rates yielded an estimated secondary PM2.5 emission factor of 0.351 ± 0.084 g PM2.5 per animal head per day for cattle feedlots, corresponding to approximately 3–4% of reported total PM2.5 emissions. Because the experimental system isolates NH3–SO2 interactions under idealized conditions and does not represent full atmospheric chemistry, the derived values should be interpreted as screening-level estimates of NH3-derived secondary PM2.5 formation potential intended to support comparative air quality assessments of CAFOs rather than direct predictions of ambient PM2.5 concentrations. Full article
Show Figures

Figure 1

21 pages, 4939 KB  
Article
Land Use and Soil Properties Drive Earthworm Community Assembly in Recently Irrigated Semi-Arid Soils of Northern Patagonia, Argentina
by Marina Quiroga, Julia L. Bazzani, Roberto S. Martínez, Anahí Domínguez and José C. Bedano
Soil Syst. 2026, 10(4), 48; https://doi.org/10.3390/soilsystems10040048 - 10 Apr 2026
Viewed by 105
Abstract
Earthworms are ecosystem engineers that are sensitive to land-use intensification and edaphic conditions, yet their ecology remains poorly understood in transformed semi-arid landscapes. We hypothesized that, in recently colonized agroecosystems, land-use intensity and physicochemical soil conditions jointly filter the earthworm assembly. In the [...] Read more.
Earthworms are ecosystem engineers that are sensitive to land-use intensification and edaphic conditions, yet their ecology remains poorly understood in transformed semi-arid landscapes. We hypothesized that, in recently colonized agroecosystems, land-use intensity and physicochemical soil conditions jointly filter the earthworm assembly. In the recently irrigated Lower Valley of the Negro River, Patagonia, Argentina, we sampled earthworms and soils across five land uses—riparian reference sites, fruit orchards, pastures, cereal crops, and horticulture plots—in landscapes dominated by Natrargid Ustolls and Fluventic Haplocambids. We found five species, all of which were exotic Lumbricidae, including the first Argentine record for Murchieona minuscula, indicating a recent colonization following human-mediated niche construction that created an ecological island. The earthworm abundance and biomass were highest in permanent and semi-permanent uses and were driven primarily by soil moisture, pH, and particulate organic matter. Crucially, our results reveal that land-use intensity filters communities by restricting the initial colonization rather than through local extinctions. These findings confirm that soil properties mediate the impact of land use on earthworm assemblages. The inclusion of pastures and fruit orchards in the rotations favors the earthworm populations that, despite low diversity, enhance soil functioning and contribute to agricultural sustainability in semi-arid irrigated agroecosystems. Full article
(This article belongs to the Special Issue Effects of Earthworms on Soil Systems)
Show Figures

Graphical abstract

19 pages, 17396 KB  
Review
Toward a Genomics-Driven Hepatology: Liver Biology, Precision Diagnosis, and the Rise in Genetic Therapies
by Sri Harsha Boppana, Naveena Luke, Sravani Karuchola, Jahnavi Udaikumar and Cyrus David Mintz
Pharmaceutics 2026, 18(4), 455; https://doi.org/10.3390/pharmaceutics18040455 - 8 Apr 2026
Viewed by 204
Abstract
The liver’s anatomic position and immune specialization make it both a major target and a major filter for systemically delivered therapeutics. Because portal venous inflow exposes the liver early to gut-derived molecules and exogenous compounds, many intravenously administered agents, including gene-based medicines and [...] Read more.
The liver’s anatomic position and immune specialization make it both a major target and a major filter for systemically delivered therapeutics. Because portal venous inflow exposes the liver early to gut-derived molecules and exogenous compounds, many intravenously administered agents, including gene-based medicines and their viral and non-viral delivery systems, preferentially enter and accumulate in hepatic tissue. This review synthesizes how core liver physiology and immunobiology influence the performance, safety, and clinical translation of genomic medicines in hepatology, and outlines near-term practice and research shifts likely to define a genomics-driven future in liver disease care. We review the hepatic microarchitecture relevant to therapeutic trafficking, including sinusoidal transit, the space of Disse, hepatocyte uptake, and hepatobiliary elimination, and highlight the gatekeeping roles of liver sinusoidal endothelial cells and Kupffer cells in clearing particulate material and shaping inflammatory signaling. We then discuss how these same features create both opportunities, such as efficient hepatic targeting, and constraints, including innate immune activation, vector clearance, and variable intrahepatic distribution, for DNA- and RNA-based platforms. Finally, we propose five actionable developments poised to move genomics from a niche tool to a routine component of hepatology practice: earlier genomic testing in unexplained liver disease, multidisciplinary hepatology genome rounds, a centralized liver-specific gene resource, genetics-aware clinical trial design, and expansion of genetic therapies. Integrating liver biology with genomic medicine is essential to improve diagnostic yield, personalize therapy, and accelerate translation of gene-based treatments while mitigating immunologic and delivery-related barriers. Full article
Show Figures

Graphical abstract

10 pages, 1411 KB  
Article
Inhibition of Biofilm Formation by Respiratory Bacterial Pathogens via Silver Nanoparticles and Functionalized HEPA Filters
by Mirella Llamosí, Bruno F. Gomes-Ribeiro, Mónica Echeverry-Rendón, Jose Yuste, Julio Sempere and Mirian Domenech
Antibiotics 2026, 15(4), 370; https://doi.org/10.3390/antibiotics15040370 - 3 Apr 2026
Viewed by 380
Abstract
Objective: The objective of this study is to evaluate the ability of silver oxide nanoparticle (Ag2ONP)-functionalized high-efficiency particulate air (HEPA) filters and colloidal Ag2ONP suspensions to inhibit biofilm formation by major respiratory pathogens causing infections at operating rooms. [...] Read more.
Objective: The objective of this study is to evaluate the ability of silver oxide nanoparticle (Ag2ONP)-functionalized high-efficiency particulate air (HEPA) filters and colloidal Ag2ONP suspensions to inhibit biofilm formation by major respiratory pathogens causing infections at operating rooms. Background: Respiratory infections caused by bacterial pathogens such as Streptococcus pneumoniae, Pseudomonas aeruginosa and Staphylococcus species are often associated with the formation of biofilms, which confer increased resistance to antibiotics and host immune responses. Effective strategies to prevent biofilm formation on biological surfaces and in air filtration systems are urgently needed in clinical settings. Methods: The biofilm-forming ability of each bacterial strain was assessed by crystal violet microplate assay, viable count or confocal microscopy after prior incubation of the culture medium with Ag2ONP-coated HEPA filter material or colloidal Ag2ONP suspension. Results: Both silver-functionalized filters and silver nanoparticle suspensions significantly inhibited biofilm formation by S. pneumoniae and P. aeruginosa, with near-complete suppression observed. In the case of S. aureus and S. epidermidis, the silver nanoparticle suspension showed partial inhibition of biofilm development. Conclusions: Ag2ONP-functionalized HEPA filters and colloidal Ag2ONP suspensions effectively prevent biofilm formation by major respiratory pathogens, for both Gram-negative and Gram-positive bacteria. These materials show promise for integration with air filtration and surface coating systems to reduce microbial load and transmission in healthcare environments such as operating room facilities. Full article
(This article belongs to the Topic Antimicrobial Agents and Nanomaterials—2nd Edition)
Show Figures

Figure 1

14 pages, 2494 KB  
Article
Multi-Scale Gradient Fiber Structure Hierarchical Flexible Ceramic Aerogel for High-Temperature Filtration
by Chuan-Hui Guo, Yuan Gao, Chao Zhang, Chu-Bing Li, Yue-Han Sun, Hong-Xiang Chu, Run-Ze Shao, Zhi-Wei Zhang, Yun-Ze Long and Jun Zhang
Nanomaterials 2026, 16(6), 382; https://doi.org/10.3390/nano16060382 - 23 Mar 2026
Viewed by 361
Abstract
High-temperature particulate matter (PM) filtration remains a fundamental challenge, because most fiber filters not only face the challenge of high temperatures but also suffer from an inherent trade-off between capture efficiency, pressure drop, and service life. This paper reports a hierarchical layered zirconia [...] Read more.
High-temperature particulate matter (PM) filtration remains a fundamental challenge, because most fiber filters not only face the challenge of high temperatures but also suffer from an inherent trade-off between capture efficiency, pressure drop, and service life. This paper reports a hierarchical layered zirconia (ZrO2) ceramic fiber aerogel featuring a continuous multiscale gradient. The aerogel was prepared by gradient air-blown spinning, and the resulting structure has directional order, with the fiber diameter gradually decreasing from upstream to downstream, thus forming a pore size gradient and achieving hierarchical particle interception across multiple scales. This rational design simultaneously suppresses surface clogging and reduces flow resistance, resolving the longstanding trade-off between efficiency and permeability. Consequently, this aerogel achieves an ultra-high filtration efficiency of 99.96%, a low pressure drop of 156 Pa, and a high dust-holding capacity of 101 g m−2. The material also exhibits outstanding mechanical toughness (80% compressive strain elasticity and 25.75% tensile fracture strain) and thermal stability up to 1000 °C. Moreover, it maintains over 99.95% filtration efficiency at high temperatures and can be fully regenerated through 800 °C heat treatment. This work establishes a structure-based design paradigm for high-temperature filtration media and provides a scalable pathway for next-generation industrial flue gas purification. Full article
Show Figures

Graphical abstract

22 pages, 3504 KB  
Article
Pinus sylvestris L. in Urban Forests of a Pollution Hotspot in Kazakhstan: Needle Phytochemistry, Bioactive Potential, and Implications for Phytoremediation
by Vladimir Kazantsev, Irina Losseva, Dmitriy Khrustalev, Artyom Savelyev, Azamat Yedrissov and Anastassiya Khrustaleva
Forests 2026, 17(3), 391; https://doi.org/10.3390/f17030391 - 22 Mar 2026
Viewed by 283
Abstract
(1) Research Highlights: This study provides the first integrated assessment of Scots pine (Pinus sylvestris L.) growing in the urban forests of Karaganda, Kazakhstan, a city consistently ranked among the most air-polluted cities globally. We examined the adaptive phyto-chemical response of needles [...] Read more.
(1) Research Highlights: This study provides the first integrated assessment of Scots pine (Pinus sylvestris L.) growing in the urban forests of Karaganda, Kazakhstan, a city consistently ranked among the most air-polluted cities globally. We examined the adaptive phyto-chemical response of needles to extreme technogenic stress and evaluated their dual potential as biological filters and renewable sources of bioactive compounds. (2) Background and Objectives: Urban forests are critical for mitigating air pollution; however, the biochemical responses of trees in heavily industrialized environments remain poorly understood. Karaganda faces severe atmospheric pollution from mining, metallurgy, and energy sectors, with particulate matter (PM) levels exceeding permissible limits by up to 20-fold. This study aimed to evaluate the state of Pinus sylvestris, a key component of local protective plantations, by studying heavy metal accumulation, anatomical localization of secondary metabolites, and the phytochemical profile and biological activity of needle extracts obtained using different extraction techniques. (3) Materials and Methods: Needles were collected from 15 trees across three sites in Karaganda’s industrial green zones. Heavy metal content (Pb, Cd, As, and Hg) was determined using atomic absorption spectroscopy and voltammetry. Anatomical–histochemical analysis localizes major metabolite classes. Liquid extracts were prepared using four methods, percolation (PER), vortex-assisted (VAE), microwave-assisted (MAE), and ultrasound-assisted (UAE) extraction, and analyzed by GC-MS. Antimicrobial activity was tested against S. aureus, B. subtilis, E. coli, and C. albicans using the disk diffusion method. The antioxidant capacity (water- and fat-soluble) was measured amperometrically. Statistical analysis was performed using one-way ANOVA with Tukey’s HSD test (p < 0.05). Results: Despite extreme ambient pollution, heavy metal concentrations remained below pharmacopoeial limits (Pb < 0.1, Cd < 0.05, As < 0.01, Hg < 0.001 mg/kg), indicating effective biofiltration without toxic accumulation. Histochemistry confirmed the active synthesis of protective phenolics, flavonoids, and essential oils in the mesophyll, epidermis, and schizogenic cavities. GC-MS identified 72 compounds in the PER extract, 70 (the VAE), 72 in (MAE), and 46 in (UAE). The PER extract exhibited the highest relative abundance of bioactive terpenoids: α-cadinol (5.24%), α-muurolene (4.32%), and caryo-phyllene (2.20%). UAE extracts exhibited elevated 5-hydroxymethylfurfural (6.90%), indicating degradation. Antimicrobial testing revealed that PER produced the largest inhibition zone against S. aureus (15.0 ± 1.0 mm), significantly exceeding that of the other methods (p < 0.001). PER extract also demonstrated the highest water-soluble antioxidant capacity (3600 ± 0.40 mg quercetin equiv./dm3) and substantial fat-soluble activity (1633 ± 0.23 mg gallic acid equiv./dm3). (4) Conclusions: Pinus sylvestris in Karaganda exhibits remarkable adaptive resilience, maintaining safe heavy metal levels while accumulating a rich repertoire of stress-induced secondary metabolites. Classical percolation optimally preserves this native phytocomplex, yielding extracts with superior antimicrobial and antioxidant properties. These findings support a dual-use model wherein urban pine plantations simultaneously serve as living biofilters and renewable sources of standardized bioactive extracts, a concept with direct implications for circular bioeconomy strategies in industrial regions worldwide. This supports the strategic importance of coniferous plantations for bioremediation and sustainable resource use in industrial regions. Full article
(This article belongs to the Section Forest Ecology and Management)
Show Figures

Graphical abstract

19 pages, 2479 KB  
Article
Remote Sensor System for Assessing the Toxicity of Car Exhaust Gases
by Krzysztof Więcławski, Jędrzej Mączak and Krzysztof Szczurowski
Sensors 2026, 26(6), 1928; https://doi.org/10.3390/s26061928 - 19 Mar 2026
Viewed by 355
Abstract
This paper presents the design of a sensor system for remote measurements of exhaust emissions from automotive combustion engines. The system’s purpose is to determine the likelihood of a given vehicle’s potential harmfulness to the environment. This system, if implemented, could detect vehicles [...] Read more.
This paper presents the design of a sensor system for remote measurements of exhaust emissions from automotive combustion engines. The system’s purpose is to determine the likelihood of a given vehicle’s potential harmfulness to the environment. This system, if implemented, could detect vehicles posing a threat to the environment in road traffic. A remote measurement system can be installed in the front of a measuring vehicle driving behind the vehicle being diagnosed. This approach allows for rapid road testing of multiple vehicles while they are operating in real-world conditions where engines can emit the highest levels of undesirable pollutants. Exceeding emission standards may be related to modifications made to the vehicle’s exhaust gas aftertreatment systems, engine wear, or malfunctions of engine-related systems such as the diesel particulate filter (DPF) or catalytic converter. Toxic and undesirable substances include carbon monoxide (CO), hydrocarbons (HC), nitrogen oxides (NOx), carbon dioxide (CO2), and particulate matter (PM) particles. The main goal of the measurements is to identify vehicles that potentially pose a threat to the environment during normal operation. The sensor system consists of several types of sensors utilizing various physical and chemical phenomena, with particular emphasis on their low cost and easy availability. The measurement unit utilizes MEMS technology, photoacoustic spectroscopy, electrochemical methods, light absorption and scattering, spectrophotometry, and electro-optical detection. Full article
(This article belongs to the Special Issue Smart Traffic Control Based on Sensor Technology)
Show Figures

Figure 1

25 pages, 2748 KB  
Article
Development and Modeling of an Advanced Power Supply System for Electrostatic Precipitators to Improve Environmental Efficiency
by Askar Abdykadyrov, Amandyk Tuleshov, Nurzhigit Smailov, Zhandos Dosbayev, Sunggat Marxuly, Yerlan Sarsenbayev, Beket Muratbekuly and Nurlan Kystaubayev
Designs 2026, 10(2), 34; https://doi.org/10.3390/designs10020034 - 17 Mar 2026
Viewed by 293
Abstract
This study presents the engineering design and system-level modeling of a high-frequency power supply architecture for electrostatic precipitators intended to improve particulate removal efficiency and operational stability. Atmospheric air pollution by fine particulate matter (PM2.5) remains one of the most critical challenges in [...] Read more.
This study presents the engineering design and system-level modeling of a high-frequency power supply architecture for electrostatic precipitators intended to improve particulate removal efficiency and operational stability. Atmospheric air pollution by fine particulate matter (PM2.5) remains one of the most critical challenges in environmental protection and public health. Although electrostatic precipitators (ESPs) are widely used for industrial gas cleaning, the efficiency and stability of conventional 50 Hz power supplies are limited under conditions of strongly nonlinear corona discharge and high-resistivity dust. This paper presents the development and investigation of an advanced high-frequency power supply system for electrostatic precipitators based on a coupled electrical–electrophysical mathematical model. The work follows an engineering design methodology that integrates converter topology selection, electrophysical modeling of corona discharge, and control-oriented system optimization. The proposed model provides a unified description of electric field formation, space charge accumulation, ion transport, and particle motion in the corona discharge region. The simulation results show that in the operating voltage range of 10–100 kV, the electric field strength reaches (2–5)·106 V/m, the ion concentration stabilizes in the range of 1013–1015 m−3, and the particle drift velocity increases from approximately 0.05 to 0.3 m/s, leading to an increase in collection efficiency from about 55% to 93%. It is demonstrated that the proposed system ensures stable output voltage regulation within ±2.5–5% even under strongly nonlinear load conditions. The use of an LC output filter (C = 1–10 nF, L = 10–100 mH) reduces the voltage ripple from about 14% to 1.4–4.8% and significantly improves the transient response. In addition, adaptive adjustment of the pulse repetition frequency in the range of 10–200 kHz makes it possible to reduce energy consumption by 12–18% while simultaneously increasing the collection efficiency by 8–15%. The obtained results confirm that the proposed high-frequency power supply architecture provides a physically well-founded and energy-efficient solution for improving the environmental performance and operational stability of electrostatic precipitators. Full article
(This article belongs to the Section Energy System Design)
Show Figures

Figure 1

15 pages, 1052 KB  
Article
Field-Scale Phytoremediation of Coffee Wastewater Using Vetiver Grass: Performance Evaluation and Maturity-Dependent Efficiency in Huánuco, Peru
by Rosny Jean and Patricia Tello Reátegui
Water 2026, 18(6), 670; https://doi.org/10.3390/w18060670 - 13 Mar 2026
Viewed by 486
Abstract
The wastewater generated during coffee processing contains high levels of acidity and organic matter, posing substantial environmental hazards, particularly in rural areas where traditional treatment methods are financially infeasible. This research assesses the field-scale effectiveness of Chrysopogon zizanioides (vetiver grass) in phytoremediation of [...] Read more.
The wastewater generated during coffee processing contains high levels of acidity and organic matter, posing substantial environmental hazards, particularly in rural areas where traditional treatment methods are financially infeasible. This research assesses the field-scale effectiveness of Chrysopogon zizanioides (vetiver grass) in phytoremediation of coffee wastewater in Huánuco, Peru, with particular attention to how plant maturity affects treatment outcomes. A comparative analysis was performed on untreated and vetiver-filtered effluent from infiltration ponds at four growth stages (6, 8, 19, and 21 months), with measurements of pH, chemical oxygen demand (COD), biochemical oxygen demand (BOD5), and suspended solids (TSS, SS) conducted according to standardized methods. The findings indicate notable improvements in water quality, as the pH rose from 4.07 ± 0.32 to 5.82 ± 0.40 (p < 0.001) and organic loads decreased by 39–41% (COD: 38,600 ± 12,100 to 23,000 ± 8500 mg L−1 O2; BOD5: 27,700 ± 9400 to 16,500 ± 5600 mg L−1 O2). Total Suspended Solids (TSS) were reduced by 26%, while the settleable suspended solids fraction (SS) decreased by 69%, indicating strong particulate removal through combined filtration and sedimentation mechanisms. Mature vetiver stands (21 months old) showed better results, underscoring the importance of root development for effective phytoremediation. Strong correlations were observed between COD and BOD5 (r = 0.92), while pH negatively correlated with organic and particulate parameters. The study presents empirical evidence supporting vetiver-based systems as an economical and sustainable approach to decentralized wastewater treatment in coffee-growing areas. Furthermore, it provides actionable insights for improving phytoremediation by focusing on plant maturity, which can be readily adapted for large-scale implementation in resource-constrained settings. The findings underscore the potential of nature-based technologies to address environmental challenges while supporting local economies dependent on coffee production. Full article
(This article belongs to the Section Water, Agriculture and Aquaculture)
Show Figures

Graphical abstract

17 pages, 1783 KB  
Article
Typical Fiber Masks for General Population with Rhinitis During Pollen Seasons with Concurrent Influenza Circulation: Differential Analysis of Atmosphere Pollutant Filtration Efficiency
by Xin Zhang, Benfang Gong, Changyan Huang, Yong Jin, Lihua Mi, Haizhuan Lin, Yilang Liu and Rui Tao
Atmosphere 2026, 17(3), 256; https://doi.org/10.3390/atmos17030256 - 28 Feb 2026
Viewed by 449
Abstract
There is an urgent need to find methods to reduce the discomfort caused by suspended pollutants in the atmosphere during pollen seasons with concurrent influenza circulation, which refers to a temporal overlap period (typically late spring in the temperate continental monsoon climate zone [...] Read more.
There is an urgent need to find methods to reduce the discomfort caused by suspended pollutants in the atmosphere during pollen seasons with concurrent influenza circulation, which refers to a temporal overlap period (typically late spring in the temperate continental monsoon climate zone of northern China, such as Xi’an). During this type of season, the atmospheric environment undergoes specific changes in temperature, humidity, and air movement, which not only affect the survival, proliferation, and diffusion of planktonic microorganisms but also lead to the widespread suspension of pollen in the atmosphere. These factors collectively increase the complexity and harmfulness of atmospheric pollutants, posing a severe threat to human health, especially for vulnerable groups such as rhinitis patients. This study tested three types of commonly used fiber material masks to determine their filtration characteristics when filtering atmospheric particulate matter (PM10, PM2.5, and PM1.0) and planktonic microorganisms, as well as their comfort. The results showed that N95 masks were the most effective, followed by surgical and sponge masks. Under different work intensities, the filtration efficiency of N95 masks were 16.32~23.38% and 35.93~37.91% higher than those of surgical and sponge masks for PM10; 12.32~16.81% and 26.84~33.16% for PM2.5; and 17.41~21.85% and 40.57~45.36% for PM1.0, respectively. The largest difference in filtration efficiency was observed for 0–0.615 μm particles, which is mainly related to the mask’s material and protective effect, and is also closely associated with the physical and chemical properties of atmospheric particulate matter in this particle size range. N95 masks were able to filter planktonic microorganisms in the atmosphere, while sponge masks could not. Regarding the comfort level, the ranking was sponge masks > surgical masks > N95 masks. Therefore, based on comprehensive performance, it is recommended that patients with rhinitis and other conditions use N95 masks during pollen seasons with concurrent influenza circulation to effectively block harmful atmospheric pollutants. Individuals without rhinitis can choose surgical masks or sponge masks according to their comfort needs. This study provides data support for the rational use of fiber material masks in the context of atmospheric pollution during pollen seasons with concurrent influenza circulation and offers a reference for improving the performance of mask products in atmospheric pollutant filtration. Full article
(This article belongs to the Section Air Pollution Control)
Show Figures

Figure 1

15 pages, 760 KB  
Article
Numerical Study on the Deposition Characteristics of a Polydisperse Particle Group with Real-World Size Distribution in a Wall-Flow Diesel Particulate Filter
by Zhen Wang, Zunmin Li, Lili Ma, Wenli Ma, Xiaolong Wang, Zhiqiang Zhao, Xusheng Zhang and Guohe Jiang
Fuels 2026, 7(1), 14; https://doi.org/10.3390/fuels7010014 - 28 Feb 2026
Viewed by 375
Abstract
The global effort to mitigate hazardous particulate matter (PM) emissions from diesel engines relies significantly on advances in separations technologies. The diesel particulate filter (DPF) is a critical component designed to trap soot and ash from diesel engine exhaust, ensuring cleaner emissions and [...] Read more.
The global effort to mitigate hazardous particulate matter (PM) emissions from diesel engines relies significantly on advances in separations technologies. The diesel particulate filter (DPF) is a critical component designed to trap soot and ash from diesel engine exhaust, ensuring cleaner emissions and compliance with environmental regulations. In the current paper, a gas-particle two-phase flow model in the microchannels of a DPF is developed. A novel statistical approach based on probability sampling is proposed aimed at generating a particle ensemble that adheres to the real-world soot particle size distribution (PSD). The Eulerian-Lagrangian approach is employed to model the soot-laden gas flow, where the gas phase flow field is solved in the Eulerian framework, while the particle phase motion is tracked in the Lagrangian framework. The results demonstrate that the through-wall velocity plays a predominant role in the overall deposition behavior of the mixed-sized particle group. Increasing upstream velocity shifts initial particle deposition positions further from the channel inlet and enhances mass accumulation at the channel’s terminal section. Reduced filtration wall permeability promotes the uniformity of soot deposition along the channel. A permeability of 5 × 10−13 m2 is identified as the critical threshold, below which the soot deposition distribution approaches near-complete uniformity. Full article
Show Figures

Figure 1

19 pages, 3727 KB  
Article
Impact of Continuous-Regeneration Particulate Filters on Gaseous Pollutant Emissions of Diesel Engines
by Mingshen Ma, Kai Li, Jia Ke, Sheng Su, Jinsong Mu, Yitu Lai, Yongshuai Qu, Yanjun Wang and Han Jiang
Sustainability 2026, 18(5), 2250; https://doi.org/10.3390/su18052250 - 26 Feb 2026
Viewed by 261
Abstract
With increasingly stringent international limits on diesel particulate matter emissions, Continuous-Regeneration Particulate Filters (CRPFs) have been widely applied in heavy-duty vehicle (HDV) exhaust systems. However, their impacts on the complete gaseous pollutant profile remain insufficiently characterized. This study investigated the effects of three [...] Read more.
With increasingly stringent international limits on diesel particulate matter emissions, Continuous-Regeneration Particulate Filters (CRPFs) have been widely applied in heavy-duty vehicle (HDV) exhaust systems. However, their impacts on the complete gaseous pollutant profile remain insufficiently characterized. This study investigated the effects of three CRPF configurations on gaseous emissions from a China III diesel engine under the World Harmonized Transient Cycle (WHTC). Regulated pollutants (CO, total hydrocarbons (THC), NOx, and CO2) and unregulated pollutants (benzene series compounds and aldehydes) were measured before and after CRPF installation. The results demonstrated that CRPFs achieved high reduction efficiencies for CO (98.5–99.9%) and THC (77.4–99.9%) through catalytic oxidation, while showing negligible effects on NOx (0.2–3.0% reduction) and slight increases in CO2 (0.07–0.55%). For unregulated pollutants, aldehydes were effectively reduced (formaldehyde: 84.1–100.0%; acetaldehyde: 47.4–100.0%), whereas benzene series compounds exhibited variable responses, with some species showing increased emissions. These findings reveal complex pollutant transformation mechanisms within CRPF systems and provide references for optimizing aftertreatment configurations to meet China VI and subsequent emission standards, thereby contributing to the mitigation of air pollution, the protection of public health, and the promotion of sustainable societal development. Full article
(This article belongs to the Special Issue Control of Traffic-Related Emissions to Improve Air Quality)
Show Figures

Figure 1

26 pages, 10570 KB  
Article
Mechanistic Links Between Suspended Sediment Dynamics and Metal Partitioning Under Tidal Forcing: A Case Study of Quanzhou Bay
by Yanbin Fan, Yunhai Li, Yunpeng Lin, Shangshang Yang, Zhijie Chen, Xiang Cao, Chenyang Wang, Shanshan Zhang, Jinzeng Jiang, Mingyang Jiang and Kaichao Wan
J. Mar. Sci. Eng. 2026, 14(4), 395; https://doi.org/10.3390/jmse14040395 - 21 Feb 2026
Viewed by 398
Abstract
The coupling of physical transport and phase-transfer processes represents a fundamental mechanism governing metal cycling in estuarine systems under tidal oscillations. Taking Quanzhou Bay as a model system, we conducted continuous observations and sample collection at the river channel (Q1), the turbidity maximum [...] Read more.
The coupling of physical transport and phase-transfer processes represents a fundamental mechanism governing metal cycling in estuarine systems under tidal oscillations. Taking Quanzhou Bay as a model system, we conducted continuous observations and sample collection at the river channel (Q1), the turbidity maximum zone (Q2), and the outer bay channel (Q3). The metals (Al, Ti, Ba, Cu, Mn, and Zn) were measured by ICP-MS to systematically investigate the distribution, transport, and inter-media transfer across multiple water layers under varying estuarine processes. Our findings demonstrate that particulate metal concentrations in Quanzhou Bay exhibit strong synchrony with suspended sediment concentrations (SSC) over tidal cycles, displaying a distinct sediment-following pattern controlled by alternating end members. Particulate metal fluxes during flood and ebb-tides generally followed the hierarchy Q1 > Q2 >> Q3. Notably, stations Q1 and Q2 were dominated by flood-tide fluxes with net transport directed landward, whereas Q3 was characterized by ebb tide dominance with net flux directed seaward—revealing a spatial division of labor between “inner bay retention/reallocation” and “outer bay channel export”. In contrast, dissolved metals exhibited marked element-specific responses to tidal forcing: Al and Ti increased during flood tides at stations Q1 and Q2, while Ba and Cu showed opposite trends, and Mn and Zn displayed more conservative behavior. Concurrently, solid/liquid partition coefficient (logKd) values for Al, Ti and Ba, Cu exhibited inverse patterns over tidal cycles, suggesting divergent adsorption–desorption regulation under identical hydrodynamic conditions that drives differential phase-transfer dynamics. These disparities likely reflect intrinsic chemical properties and source variations among the elements. This study elucidates, at the tidal timescale, the coupled processes of “alternating end-member control—estuarine filter modulation—concurrent channelized export and inner bay retention” in Quanzhou Bay, providing critical process-level insights for metal flux quantification and bay pollution remediation initiatives in an ecological restoration project. Full article
(This article belongs to the Section Coastal Engineering)
Show Figures

Figure 1

Back to TopTop