error_outline You can access the new MDPI.com website here. Explore and share your feedback with us.
 
 
Sign in to use this feature.

Years

Between: -

Subjects

remove_circle_outline
remove_circle_outline
remove_circle_outline
remove_circle_outline
remove_circle_outline
remove_circle_outline
remove_circle_outline
remove_circle_outline
remove_circle_outline

Journals

remove_circle_outline
remove_circle_outline
remove_circle_outline
remove_circle_outline
remove_circle_outline
remove_circle_outline
remove_circle_outline
remove_circle_outline
remove_circle_outline
remove_circle_outline
remove_circle_outline
remove_circle_outline
remove_circle_outline
remove_circle_outline
remove_circle_outline
remove_circle_outline
remove_circle_outline
remove_circle_outline

Article Types

Countries / Regions

remove_circle_outline
remove_circle_outline
remove_circle_outline
remove_circle_outline
remove_circle_outline
remove_circle_outline

Search Results (1,087)

Search Parameters:
Keywords = package resistance

Order results
Result details
Results per page
Select all
Export citation of selected articles as:
20 pages, 8763 KB  
Article
Development of Cellulose Nanocrystal (CNC)-Reinforced PLA/PMMA Nanocomposite Coatings for Sustainable Paper-Based Packaging
by Milad Parhizgar, Mohammad Azadfallah, Alireza Kaboorani, Akbar Mastouri and Mariaenrica Frigione
Polymers 2026, 18(2), 175; https://doi.org/10.3390/polym18020175 - 8 Jan 2026
Abstract
Driven by environmental concerns, the packaging industry is shifting toward high-performance and bio-based coating alternatives. In this research, poly(methylmethacrylate) (PMMA) and modified cellulose nanocrystal (m-CNC) were employed as reinforcing agents to develop sustainable poly (lactic acid)-based coatings for packaging applications. Various formulations, influenced [...] Read more.
Driven by environmental concerns, the packaging industry is shifting toward high-performance and bio-based coating alternatives. In this research, poly(methylmethacrylate) (PMMA) and modified cellulose nanocrystal (m-CNC) were employed as reinforcing agents to develop sustainable poly (lactic acid)-based coatings for packaging applications. Various formulations, influenced by polymer matrix blends and m-CNC loadings (1–5%), were prepared using solvent and applied as protective coating on cardboard paper substrates. The grammage of polymeric coatings (CG) on paper was also investigated using various wet film thicknesses (i.e., 150–250 μm). Accordingly, key parameters including water contact angle, thermal behavior, mechanical performances and barrier properties were systematically evaluated to assess the effectiveness of the developed nanocomposite coatings. As a result, nonylphenol ethoxylate surfactant-modified cellulose nanocrystals exhibited good dispersion and stable suspension in chloroform for one hour, improving compatibility and interaction of polymer–CNC fillers. The water vapor permeability (WVP) of PLA-coated papers was significantly reduced by blending PMMA and increasing the content of m-CNC nanofillers. Furthermore, CNC incorporation enhanced the oil resistance of PLA/PMMA-coated cardboard. Pronounced improvements in barrier properties were observed for paper substrates coated with dry coat weight or CG of ~20 g/m2 (corresponding to 250 μm wet film thickness). Coatings based on blended polymer—particularly those reinforced with nanofillers—markedly enhanced the hydrophobicity of the cardboard papers. SEM-microscopy confirmed the structural integrity and morphology of the nanocomposite coatings. Regarding mechanical properties, the upgraded nanocomposite copolymer (PLA-75%/PMMA-25%/m-CNC3%) exhibited the highest bending test and tensile strength, achieved on coated papers and free-standing polymeric films, respectively. Based on DSC analysis, the thermal characteristics of the PLA matrix were influenced to some extent by the presence of PMMA and m-CNC. Overall, PLA/PMMA blends with an optimal amount of CNC nanofillers offer promising sustainable coatings for the packaging applications. Full article
(This article belongs to the Special Issue Functional Polymeric Materials for Food Packaging Applications)
Show Figures

Figure 1

37 pages, 12271 KB  
Article
Investigation on the Effect of Detonation Nanodiamonds on the Properties of Polymeric Active Food Packaging, Part I: Biological Activity, Surface Hydrophobicity, and Thermal Stability of Baseline Films
by Julia Mundziel, Leon Kukiełka, Totka Bakalova, Magdalena Mrózek, Martin Borůvka, Adam Hotař, Tomasz Rydzkowski and Katarzyna Mitura
Coatings 2026, 16(1), 72; https://doi.org/10.3390/coatings16010072 - 7 Jan 2026
Abstract
This article presents the results of the first stage of a four-phase research program aimed at the comprehensive evaluation and enhancement in the functional properties of polymeric packaging films intended for active food packaging systems through their modification with detonative nanodiamonds (DND). Stage [...] Read more.
This article presents the results of the first stage of a four-phase research program aimed at the comprehensive evaluation and enhancement in the functional properties of polymeric packaging films intended for active food packaging systems through their modification with detonative nanodiamonds (DND). Stage I involved the characterization of ten commercial single- and multi-layer films without the addition of DND, differing in structure, base material, thickness, and intended application. The scope of analyses included the assessment of biological and physicochemical properties relevant to food contact, such as surface wettability (contact angle), thermal stability (TGA, DSC), antimicrobial and antiviral activity (using E. coli and M. luteus models), as well as the quality of thermal seals examined by SEM. Biological activity was assessed in accordance with ISO 22196:2011. The results revealed significant differences among the tested samples in terms of microbiological resistance, surface properties, and thermal stability. Films with printed layers exhibited the highest antimicrobial activity, whereas some polypropylene samples showed no activity at all or even supported microbial survival. Cross-sectional analysis of welds indicated that the quality of thermal seals is strongly dependent on the surface properties of the base material. The obtained results provide a reference point for subsequent research stages, in which DND-modified films will be analyzed regarding their effects on mechanical, barrier, and biological properties. Preliminary trials with nanodiamonds confirmed their high application potential and the possibility of producing films with increased hydrophilicity or hydrophobicity and durability, which are crucial for the development of modern active food packaging systems. Full article
Show Figures

Figure 1

14 pages, 3427 KB  
Article
A SiC-MOSFET Bidirectional Switch Solution for Direct Matrix Converter Topologies
by Hernán Lezcano, Rodrigo Romero, Sergio Nuñez, Bruno Sanabria, Fabian Palacios-Pereira, Edgar Maqueda, Sergio Toledo, Julio Pacher, David Caballero, Raúl Gregor and Marco Rivera
Actuators 2026, 15(1), 40; https://doi.org/10.3390/act15010040 - 6 Jan 2026
Abstract
Bidirectional switches are highly required power electronics units for the design of power converters, especially for direct matrix converters. This article presents the design and implementation of a compact bidirectional switch based on SiC-MOSFET technology, aimed at high-efficiency, high-density power electronics applications. The [...] Read more.
Bidirectional switches are highly required power electronics units for the design of power converters, especially for direct matrix converters. This article presents the design and implementation of a compact bidirectional switch based on SiC-MOSFET technology, aimed at high-efficiency, high-density power electronics applications. The proposed architecture employs surface-mount components, optimizing both the occupied area and electrical performance. The selected switching device is the IMBG120R053M2H from Infineon, a SiC-MOSFET known for its low on-resistance, high reverse-voltage blocking capability, and excellent switching speed. To drive the power devices, the UCC21521 gate driver integrates two independent isolated outputs in a single package, enabling precise control and reduced electromagnetic interference (EMI). The developed design supports bidirectional current conduction and voltage blocking, offering a robust and scalable solution for next-generation power converters. Design criteria, simulation results, and experimental validations are discussed. Full article
(This article belongs to the Special Issue Power Electronics and Actuators—Second Edition)
Show Figures

Figure 1

32 pages, 28958 KB  
Article
Laser-Based QR Code Marking on Double Film-Coated Tablets: Balancing Marking Efficiency and Tablet Integrity—A Step Toward Safer Medicines
by Hadi Shammout, Béla Hopp, Tamás Smausz, János Bohus, Orsolya Jójárt-Laczkovich, Martin Cseh, Judit Kopniczky, Balázs Tari, Ranim Saker, Katalin Kristó, Tamás Sovány and Krisztina Ludasi
Pharmaceutics 2026, 18(1), 73; https://doi.org/10.3390/pharmaceutics18010073 - 6 Jan 2026
Abstract
Background/Objectives: Laser has a prominent place in pharmaceutical industry, especially in the marking of solid dosage forms (SDFs). To combat falsified medicines, this study evaluates QR code marking on the surface of tablets as a supplement to serialization on packaging, using an [...] Read more.
Background/Objectives: Laser has a prominent place in pharmaceutical industry, especially in the marking of solid dosage forms (SDFs). To combat falsified medicines, this study evaluates QR code marking on the surface of tablets as a supplement to serialization on packaging, using an ultrafast laser to achieve industrially relevant marking speeds while preserving the functional integrity of double film-coated ibuprofen tablets. Methods: Tablets were directly compressed and coated with a double film: the inner layer was a gastro-resistant coating (Acryl-EZE® MP), while the outer one was a coloured, TiO2-containing (TC) or TiO2-free (TF) immediate-release coating (Opadry®). QR codes were ablated on the tablet surface using various laser parameters (e.g., pulse energy and scanning speed), and the effects were physically, chemically, and microscopically examined to evaluate their properties after this processing. Results: No significant differences were observed between TC and TF coatings. In addition, the readability of QR code is strongly influenced by laser settings and coating types. Furthermore, the used laser has achieved the expected fast marking speed and high-precision coding, which may be economically feasible for pharmaceutical companies. According to the profilometry findings, the ablation depth could be compensated for with an appropriate coating thickness to enable the desired release properties. This was confirmed by the results of SEM, Raman analysis, and in vitro dissolution test. Conclusions: Ultrafast Ti:Sa laser-based QR code marking directly onto the dosage form offers increasing benefits in the healthcare field. However, it may undesirably affect the behavior of the dosage form. This requires careful consideration of formulation and laser processing conditions before application, especially in the case of delayed-release (DR) systems. Full article
Show Figures

Figure 1

17 pages, 695 KB  
Article
Food Environment Assessment in Primary Schools Before the Implementation of Mexico’s 2025 School Food Guidelines: A Mixed Method Analysis
by María Fernanda Rodríguez-Hernández, Ana Cecilia Fernández-Gaxiola, Larissa Betanzos-Robledo, Paola Guadalupe Ligonio-Gamas, Daniel López-Camarillo, Daniela María Tanchez-Sandoval, Sandra Jocelyn Mejía-Becerril, Verónica Noemí Álvarez-Rojas, Alejandra Cantoral and Esther Nissan-Schoenfeld
Children 2026, 13(1), 88; https://doi.org/10.3390/children13010088 - 6 Jan 2026
Abstract
Background: Childhood obesity and being overweight represent a global public health challenge; the consumption of sugar-sweetened beverages (SSBs) and ultra-processed foods (UPFs) contributes to this problem. In Mexico, public health policies have been implemented to improve school food environments. Objective: To assess the [...] Read more.
Background: Childhood obesity and being overweight represent a global public health challenge; the consumption of sugar-sweetened beverages (SSBs) and ultra-processed foods (UPFs) contributes to this problem. In Mexico, public health policies have been implemented to improve school food environments. Objective: To assess the school food environment before the implementation of the guidelines for the preparation, distribution, and sale of food and beverages (SFGs) in three primary schools in Mexico City. Methods: A cross-sectional mixed method study was conducted, including structured non-participatory observation of selling points outside and inside of schools, and availability of drinking fountains and lunchboxes contents. A food waste audit assessment was performed to identify the most frequently consumed products, main ingredients, front-of-package labels, and colorants. Additionally, 23 semi-structured interviews were conducted with school authorities, teachers, and food vendors. Results: SSBs and UPFs selling points were observed outside and inside in public schools, while in private schools, only inside, with use of delivery food apps. Public schools lacked functional drinking fountains. A total of 345 food waste items were collected across the schools, of which 46.3% were SSBs and 53.7% were UPFs. The main ingredient was sugar (15.6%), the principal front-of-package was excess sugar (37.5%), and the most frequently used colorants were red 40 (25.1%). Interview participants reported awareness of the SFGs; however, they identified barriers such as resistance from parents and students and the economic dependence of school cooperatives on UPFs sales. Conclusions: These findings highlight structural and economic challenges for the effective implementation of public policies promoting healthier school food environments. Full article
(This article belongs to the Special Issue Child and Adolescent Health in Urban Environments)
Show Figures

Figure 1

20 pages, 5136 KB  
Article
Combined Effect of Plasma-Activated Water, Edible Coating, and Active Packaging on Cherry Tomato Shelf-Life: Kinetics and Microbiome Approach
by Syed Mudabbar Hussain Shah, Stefania Volpe, Francesca Colonna, Vincenzo Valentino, Francesca De Filippis, Elena Torrieri and Silvana Cavella
Foods 2026, 15(1), 182; https://doi.org/10.3390/foods15010182 - 5 Jan 2026
Viewed by 89
Abstract
Cherry tomatoes are highly appreciated for their nutritional value but remain highly perishable due to rapid respiration and senescence. This study evaluated a multi-hurdle strategy combining plasma-activated water (PAW), sodium caseinate-based edible coating, and antioxidant active packaging to preserve minimally processed (MP) cherry [...] Read more.
Cherry tomatoes are highly appreciated for their nutritional value but remain highly perishable due to rapid respiration and senescence. This study evaluated a multi-hurdle strategy combining plasma-activated water (PAW), sodium caseinate-based edible coating, and antioxidant active packaging to preserve minimally processed (MP) cherry tomatoes stored at 1 °C, 4 °C, and 8 °C for 15 days. Quality evolution was monitored through physical, chemical, nutritional, and microbiological parameters and described using pseudo-zero- and first-order kinetic models, with temperature dependence expressed by the Arrhenius equation. The combined treatment (prototype) slowed the degradation rates of pH, titratable acidity, total polyphenols, and antioxidant capacity, as reflected by consistently lower kinetic rate constants across all temperatures. Prototype samples showed better retention of polyphenols and antioxidant capacity, particularly at 1 °C and 4 °C, without detrimental effects on visual appearance. Metagenomic analysis revealed that the multi-hurdle treatment reshaped the microbial community, reducing the relative abundance of potentially problematic taxa such as Acinetobacter johnsonii and limiting the occurrence of antimicrobial resistance (AMR) genes at the end of storage. This study provides the first integrated assessment of PAW, edible coating, and antioxidant active packaging as a synergistic multi-hurdle strategy, demonstrating their combined ability to extend shelf life while modulating the microbiome and resistome of minimally processed cherry tomatoes. Full article
(This article belongs to the Special Issue Postharvest Technologies to Enhance Food Quality and Safety)
Show Figures

Figure 1

33 pages, 1298 KB  
Review
Edible Coatings for Fresh Fruits: Functional Roles, Optimization Strategies, and Analytical Perspectives
by Siphumle Owen Jama, Robert Lufu, Umezuruike Linus Opara, Elke Crouch and Alemayehu Ambaw Tsige
Plants 2026, 15(1), 132; https://doi.org/10.3390/plants15010132 - 2 Jan 2026
Viewed by 155
Abstract
Fresh fruits are inherently prone to postharvest deterioration due to loss of moisture, respiration, mechanical damage, and microbial decay, making quality preservation a persistent challenge across fresh fruit supply chains. While conventional plastic packaging offers barrier protection and cost-efficiency, its environmental footprint, particularly [...] Read more.
Fresh fruits are inherently prone to postharvest deterioration due to loss of moisture, respiration, mechanical damage, and microbial decay, making quality preservation a persistent challenge across fresh fruit supply chains. While conventional plastic packaging offers barrier protection and cost-efficiency, its environmental footprint, particularly poor biodegradability and increasing incidence of plastic waste necessitates a transition toward more sustainable alternatives. Among these, the use of edible coatings, primarily based on natural biopolymers, have emerged as a versatile strategy capable of modulating transpiration, gas exchange, microbial activity, and sensory quality while addressing environmental concerns. Unlike biodegradable plastic films, edible coatings directly interface with the fruit surface and offer multifunctional roles extending beyond passive protection. This review synthesizes recent advances in edible coatings for fresh fruits, with emphasis on material classes, functional performance, optimization strategies, and analytical evaluation methods. Key findings indicate that polysaccharide-based coatings provide adequate gas permeability but limited moisture resistance, while nanocomposite and multi-component systems enhance water-vapor barrier performance without compromising respiration compatibility. Incorporation of bioactive agents such as essential oils, nanoparticles, and plant extracts further extends shelf life through antimicrobial and antioxidant mechanisms, though formulation trade-offs and sensory constraints persist. The review also highlights critical limitations, including variability in barrier and mechanical properties, challenges in industrial-scale application, insufficient long-term validation under commercial cold-chain conditions, and regulatory uncertainty for active formulations. Future research priorities are identified, including mechanistic transport–physiology integration, standardized performance metrics, scalable application technologies, and life-cycle-informed material design. Addressing these gaps is essential for transitioning edible coatings from experimental sustainability concepts to robust, function-driven solutions for fresh-fruit preservation. Full article
(This article belongs to the Special Issue Postharvest and Storage of Horticultural Plants)
Show Figures

Figure 1

15 pages, 3760 KB  
Article
Evaluation of Drying Times in Natural Fiber-Based Mycelium Composites from Empty Fruit Bunches and Kenaf
by Hazman Azhari Abdul Rasid, Hamid Yusoff, Koay Mei Hyie, Fatin Hazwani, Aiman Izmin, Boey Tze Zhou and Farrahnoor Ahmad
Fibers 2026, 14(1), 7; https://doi.org/10.3390/fib14010007 - 1 Jan 2026
Viewed by 269
Abstract
Empty fruit bunches (EFBs) and kenaf are two abundant sources of lignocellulosic resource agricultural waste with potential as substrates for mycelium-based composites (MBCs). These composites are lightweight, compostable, low-cost, and suitable for packaging applications. However, their performance is highly dependent on the type [...] Read more.
Empty fruit bunches (EFBs) and kenaf are two abundant sources of lignocellulosic resource agricultural waste with potential as substrates for mycelium-based composites (MBCs). These composites are lightweight, compostable, low-cost, and suitable for packaging applications. However, their performance is highly dependent on the type of lignocellulosic substrate and the processing conditions applied during production. Despite the promising availability of natural fibers, limited research has focused on the drying process that affects the quality of MBCs. This study investigates the effect of different drying times (12, 18, and 24 h) on the physical and mechanical properties of MBCS produced from EFB and kenaf substrates. Following a 20-day incubation period under controlled conditions, the composites were oven-dried and analyzed for mycelial colonization, density measurement, shrinkage, water loss, shore A hardness, impact resistance, and mold growth. The results demonstrated that a drying time of 24 h yielded the best overall performance. Moisture loss (67.00%) and shrinkage (50.70%) increased with longer drying times (24 h), particularly in kenaf-based composites. Extended drying minimized mold contamination and enhanced the structural integrity of the composites. Overall, EFB-based composites achieved the highest Shore A hardness (44.53 HA). These findings show that optimizing the drying time enhances the durability of MBCs, reinforcing their potential as sustainable, biodegradable alternatives to polystyrene and promoting the development of eco-friendly materials. Full article
Show Figures

Figure 1

16 pages, 3159 KB  
Article
Verification of Contact Models of the Discrete Element Method for Simulating the Drag Resistance of a Plow Body
by Salavat G. Mudarisov, Ildar M. Farkhutdinov, Airat M. Mukhametdinov and Ilnur R. Miftakhov
AgriEngineering 2026, 8(1), 5; https://doi.org/10.3390/agriengineering8010005 - 1 Jan 2026
Viewed by 175
Abstract
This article examines the pressing issue of verifying contact models in the discrete element method (DEM) for modeling soil tillage processes. Due to the lack of a generally accepted methodology for selecting contact models for various soil types, a comprehensive study was conducted [...] Read more.
This article examines the pressing issue of verifying contact models in the discrete element method (DEM) for modeling soil tillage processes. Due to the lack of a generally accepted methodology for selecting contact models for various soil types, a comprehensive study was conducted combining field experiments and numerical modeling. A verification method was developed and tested based on comparing experimental data on the draft resistance of a plow body with the results of calculations in the Rocky DEM 4.4 software package. The study yielded reliable experimental values for the draft resistance components and established the ranges of variation for their parameters. A comparative analysis of 10 promising combinations of contact models identified in previous studies was conducted. It was found that the improved Hertz-Mindlin model with the JKR adhesion model provides the best fit to the experimental results. Particular attention is paid to analyzing the influence of surface energy in the JKR model on changes in the rheological properties of the soil medium, which opens up the possibility of predicting soil behavior at different moisture levels. The results of the work are of practical value for the design and optimization of agricultural implements at the stage of their numerical modeling. The accuracy of predicting the draft resistance of the plow body during modeling for the studied soils at a moisture content of 18–25% ranged from 80 to 95%. Full article
Show Figures

Figure 1

11 pages, 704 KB  
Article
cellMCD Effectively Discovers Drug Resistance and Sensitivity Genes for Acute Myeloid Leukemia
by Dora Obodo, Nam H. K. Nguyen, Xueyuan Cao, Phani Krishna Parcha, Christopher D. Vulpe, Jatinder K. Lamba and Stanley B. Pounds
Genes 2026, 17(1), 49; https://doi.org/10.3390/genes17010049 - 1 Jan 2026
Viewed by 134
Abstract
Background: Rapid advances in biotechnology provide researchers with the opportunity to integrate omics profiles (genomics, epigenomics, transcriptomics, proteomics, etc.) with multiple phenotypes or experimental conditions. In cancers such as acute myeloid leukemia (AML), where combination therapies are standard of care, identifying genetic drivers [...] Read more.
Background: Rapid advances in biotechnology provide researchers with the opportunity to integrate omics profiles (genomics, epigenomics, transcriptomics, proteomics, etc.) with multiple phenotypes or experimental conditions. In cancers such as acute myeloid leukemia (AML), where combination therapies are standard of care, identifying genetic drivers of drug resistance requires evaluating how genes are associated with multiple drug response phenotypes. Statistical analyses associating omics profiles with multiple phenotypes yield multiple significance values and rankings for each of many genes. There is a great need to consolidate these multiple rankings into a consensus ranking to prioritize specific genes for detailed follow-up wet-lab or clinical studies. Methods/Results: Here, we evaluate the well-known Fisher’s method, the sum of squared z-statistics (SSz), and the recently published cellMCD method as tools for gene prioritization. In simulation studies, cellMCD showed very similar or highly superior performance to the widely used Fisher’s and SSz methods. These advantages were also observed in an example application involving a CRISPR drug screen of an acute myeloid leukemia cell line. Conclusions: In summary, our results indicate that cellMCD should be more widely used for prioritizing discoveries from multiple omic association studies. These methods are available as an R package on github. Full article
(This article belongs to the Section Human Genomics and Genetic Diseases)
Show Figures

Figure 1

20 pages, 5622 KB  
Article
Kraft Lignin-Based Polyurethane with GVL: A Sustainable Coating Alternative for Recycled Linerboard
by Julia C. Figueiredo, Roberto C. C. Lelis, Rosane N. Castro, Fernando J. B. Gomes, Ericka F. A. Redmond and Biljana M. Bujanovic
Polymers 2026, 18(1), 118; https://doi.org/10.3390/polym18010118 - 31 Dec 2025
Viewed by 201
Abstract
Food packaging is the largest segment of the global plastics market, yet its low degradability and limited performance in preserving perishable goods highlight the need for more sustainable alternatives. This study investigates the use of industrial softwood kraft lignin, a renewable polyol, and [...] Read more.
Food packaging is the largest segment of the global plastics market, yet its low degradability and limited performance in preserving perishable goods highlight the need for more sustainable alternatives. This study investigates the use of industrial softwood kraft lignin, a renewable polyol, and γ-valerolactone (GVL), an excellent green lignin solvent, to synthesize bio-based polyurethane (PU) coatings for recycled linerboard. PU was synthesized with hexamethylene diisocyanate (HDI), GVL, and 1,4-diazabicyclo[2.2.2]octane (DABCO) as a catalyst and applied to recycled linerboard (166.6 g/m2) at three coating weights: 13.5, 16.5, and 23.5 g/m2. The coating enhanced water resistance, as shown by the reduced water vapor transmission rate (WVTR) and Cobb1800 values. Oil resistance was also significantly improved, reaching a Kit rating of 11 at the highest coating weight. Mechanical performance was maintained or enhanced, with increases in ring crush strength (RCT) and tensile index. These findings confirm the effectiveness of lignin-based PU in improving both the barrier and mechanical properties of packaging paper. Additionally, this approach presents an environmentally responsible alternative to petroleum-based coatings, adding value to lignin as a byproduct of the pulp and paper industry and supporting the transition toward more circular and sustainable packaging materials. Full article
(This article belongs to the Special Issue Lignin-Based Polymers)
Show Figures

Graphical abstract

24 pages, 4006 KB  
Article
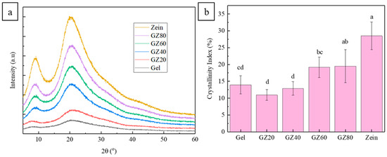
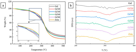
Phase Separation in Gelatin/Zein Films: Structure–Property Correlation and Multi-Criteria Decision Making Evaluation for Food Packaging
by Ainun Zulfikar, Peifu Kong and Toshiharu Enomae
Macromol 2026, 6(1), 2; https://doi.org/10.3390/macromol6010002 - 26 Dec 2025
Viewed by 192
Abstract
Protein-based films are attractive candidates for biodegradable packaging, yet their performance is often compromised by phase separation when combining components with contrasting hydrophilicity. In this study, gelatin/zein films were used as a model system to elucidate how phase separation governs multifunctional properties. FTIR, [...] Read more.
Protein-based films are attractive candidates for biodegradable packaging, yet their performance is often compromised by phase separation when combining components with contrasting hydrophilicity. In this study, gelatin/zein films were used as a model system to elucidate how phase separation governs multifunctional properties. FTIR, XRD, TGA, and SEM analyses confirmed heterogeneous domains arising from immiscibility, which strongly influenced mechanical, heat-sealing, barrier, and optical behaviors. Zein incorporation improved tensile strength, water resistance, and UV-blocking capacity, while it simultaneously compromised heat-sealing strength, transparency, and gas barrier uniformity. To rationalize these trade-offs, a Multi-Criteria Decision-Making (MCDM) framework integrating the Analytic Hierarchy Process (AHP) and Technique for Order of Preference by Similarity to the Ideal Solution (TOPSIS) was applied, revealing that gelatin/zein blends performed worse overall than pure films. These findings demonstrate that phase separation can improve individual attributes without generating synergistic effects, emphasizing the importance of compatibility control and holistic evaluation in the rational design of biodegradable packaging materials. Full article
Show Figures

Figure 1

26 pages, 6160 KB  
Review
Plasma Cleaning of Metal Surfaces: From Contaminant Removal to Surface Functionalization
by Ran Yang, Jing Kang, Zhiqiang Tian, Longfei Qie and Ruixue Wang
Surfaces 2026, 9(1), 4; https://doi.org/10.3390/surfaces9010004 - 26 Dec 2025
Viewed by 201
Abstract
The cleanliness and functionalization of metal surfaces are critical factors to determining their performance in high-performance microelectronic packaging, reliable biomedical implants, advanced composite bonding, and other fields. Compared to traditional wet cleaning methods, plasma cleaning technology has emerged as a research hotspot in [...] Read more.
The cleanliness and functionalization of metal surfaces are critical factors to determining their performance in high-performance microelectronic packaging, reliable biomedical implants, advanced composite bonding, and other fields. Compared to traditional wet cleaning methods, plasma cleaning technology has emerged as a research hotspot in surface engineering due to its unique advantages, such as high efficiency and environmental friendliness. It operates under versatile conditions (e.g., power: tens of watts to several kilowatts; pressure: atmospheric to low vacuum; treatment time: seconds to minutes), enabling not only efficient contaminant removal but also targeted surface functionalization, including dramatically enhanced hydrophilicity (e.g., contact angles from >80° to <10°), significantly improved adhesion (e.g., up to 40% increase in bond strength), and modifications in surface roughness, corrosion resistance, and biocompatibility. This review systematically elaborates on the physical, chemical, and synergistic mechanisms of plasma cleaning technology as it acts on metal surfaces. It focuses on plasma cleaning applied to copper, aluminum, titanium and their respective alloys, as well as alloy steels, providing a detailed analysis of contaminant types, plasma cleaning methodologies, common challenges, surface functionalization responses, and subsequent functional applications. Furthermore, this review discusses the current challenges faced by plasma cleaning technology and offers perspectives on its future development directions. It aims to systematize the research progress in plasma cleaning of metal surfaces, thereby facilitating the transition of this technology towards large-scale industrial applications for metal surface functionalization. Full article
(This article belongs to the Special Issue Plasmonics Technology in Surface Science)
Show Figures

Figure 1

18 pages, 5728 KB  
Article
Purification of Isosorbide via Ion Exchange Resin for High-Performance Bio-Based Polycarbonate
by Fei Han and Yan Zhang
Materials 2026, 19(1), 30; https://doi.org/10.3390/ma19010030 - 21 Dec 2025
Viewed by 300
Abstract
Isosorbide-based polycarbonate (PIC) shows promising applications in medical devices and food packaging, owing to its excellent thermal stability, biosafety, optical properties, and scratch resistance. However, trace impurities, especially formic acid in isosorbide (ISB), can significantly influence the performance of PIC. Crude ISB was [...] Read more.
Isosorbide-based polycarbonate (PIC) shows promising applications in medical devices and food packaging, owing to its excellent thermal stability, biosafety, optical properties, and scratch resistance. However, trace impurities, especially formic acid in isosorbide (ISB), can significantly influence the performance of PIC. Crude ISB was purified via ion exchange resin. Furthermore, the chromatographic parameters and the adsorption kinetics of formic acid were investigated. The results show that adsorption of formic acid follows the pseudo-second-order kinetic model, suggesting that it is chemisorption. The performance of PIC synthesized from purified ISB has been improved significantly, exhibiting number-average molecular weight (Mn) of 53.9 kg/mol, elongation at break of 10.2%, and Young’s modulus of 1.84 GPa, along with notably enhanced thermal and optical properties. Full article
Show Figures

Graphical abstract

24 pages, 2289 KB  
Article
Residual Value: Predictive Lifetime Monitoring of Power Converter Components for Sustainable Reuse and Reliability
by Boubakr Rahmani, Maud Rio, Yves Lembeye and Jean-Christophe Crébier
Eng 2026, 7(1), 2; https://doi.org/10.3390/eng7010002 - 19 Dec 2025
Viewed by 270
Abstract
The increasing demand for reliable and efficient power electronic systems in critical applications—such as renewable energy, electric vehicles, and aerospace—has intensified the need to understand and predict failure mechanisms in power devices. This work focuses on the reliability assessment and lifetime modeling of [...] Read more.
The increasing demand for reliable and efficient power electronic systems in critical applications—such as renewable energy, electric vehicles, and aerospace—has intensified the need to understand and predict failure mechanisms in power devices. This work focuses on the reliability assessment and lifetime modeling of medium-voltage power electronic components under realistic mission profiles. By combining accelerated aging tests, failure analysis, and physics-of-failure modeling, we identify dominant degradation mechanisms such as thermal cycling, partial discharge, and dielectric break-down. A hybrid methodology is proposed, integrating experimental data and simulation to predict the evolution of key parameters (e.g., on-state resistance, threshold voltage) over time. The study also explores the impact of packaging, thermal management, and environmental stresses on device robustness. The results provide valuable insights into the design of more durable power electronic converters and for the implementation of condition monitoring strategies in real-time applications. Full article
Show Figures

Figure 1

Back to TopTop