Sign in to use this feature.

Years

Between: -

Subjects

remove_circle_outline
remove_circle_outline
remove_circle_outline
remove_circle_outline
remove_circle_outline
remove_circle_outline
remove_circle_outline
remove_circle_outline
remove_circle_outline

Journals

remove_circle_outline
remove_circle_outline
remove_circle_outline
remove_circle_outline
remove_circle_outline
remove_circle_outline
remove_circle_outline
remove_circle_outline
remove_circle_outline
remove_circle_outline
remove_circle_outline
remove_circle_outline
remove_circle_outline
remove_circle_outline

Article Types

Countries / Regions

remove_circle_outline
remove_circle_outline
remove_circle_outline
remove_circle_outline
remove_circle_outline

Search Results (2,034)

Search Parameters:
Keywords = pH-sensor

Order results
Result details
Results per page
Select all
Export citation of selected articles as:
34 pages, 5939 KB  
Article
Explainable Machine Learning for Volatile Fatty Acid Soft-Sensing in Anaerobic Digestion: A Pilot Feasibility Study
by Bibars Amangeldy, Assiya Boltaboyeva, Nurdaulet Tasmurzayev, Zhanel Baigarayeva, Baglan Imanbek, Aliya Jemal Getahun, Dinara Turmakhanbet, Moldir Kuatova and Waldemar Wojcik
Algorithms 2026, 19(3), 183; https://doi.org/10.3390/a19030183 - 1 Mar 2026
Viewed by 159
Abstract
Sustainable energy systems such as anaerobic digestion (AD) bioreactors exhibit complex nonlinear dynamics that complicate the monitoring of key stability indicators using conventional laboratory-based methods. As a preliminary investigation, this pilot study explores the feasibility of using machine learning-based soft sensing to estimate [...] Read more.
Sustainable energy systems such as anaerobic digestion (AD) bioreactors exhibit complex nonlinear dynamics that complicate the monitoring of key stability indicators using conventional laboratory-based methods. As a preliminary investigation, this pilot study explores the feasibility of using machine learning-based soft sensing to estimate Total Volatile Fatty Acids (TVFA(M)) from routinely measured physicochemical parameters. Using a short-term laboratory dataset obtained from controlled CO2 biomethanisation experiments, several regression models were benchmarked, including an attention-based deep learning architecture (TabNet), multi-architecture artificial neural networks (ANNs), gradient-boosting ensembles (CatBoost, XGBoost, LightGBM), and classical kernel-based approaches. Model performance was evaluated under a cross-validated framework to assess predictive capability and consistency across folds within the limited experimental scope. Among the tested models, TabNet achieved highly competitive performance, yielding an R2 of 0.8551, an RMSE of 0.0090, and an MAE of 0.0067. To support model transparency and interpretability, Explainable Artificial Intelligence (XAI) techniques based on SHapley Additive exPlanations (SHAP) were applied, identifying pCO2 as the dominant contributor to TVFA(M) predictions within the studied operational range. The results demonstrate the potential of explainable machine learning models as soft sensors for TVFA(M) estimation under controlled laboratory conditions. Although restricted to controlled laboratory conditions and a short observation period, this pilot study demonstrates the potential of explainable machine learning models for TVFA(M) estimation and provides a methodological benchmark for future validation using larger and more diverse datasets. Full article
Show Figures

Figure 1

20 pages, 5027 KB  
Article
Highly Sensitive Zinc Oxide Nanorods for Non-Enzyme Electrochemical Detection of Ascorbic and Uric Acids
by Lesya V. Gritsenko, Zhaniya U. Paltusheva, Dinara T. Tastaibek, Khabibulla A. Abdullin, Zhanar K. Kalkozova, Maratbek T. Gabdullin and Juqin Zeng
Biosensors 2026, 16(3), 143; https://doi.org/10.3390/bios16030143 - 1 Mar 2026
Viewed by 199
Abstract
In this study, an enzyme-free electrochemical sensor based on zinc oxide (ZnO) nanorods synthesized by the thermal decomposition of zinc acetate is presented. The suggested approach ensures simplicity, environmental friendliness, and scalability of the process without the use of an autoclave or high [...] Read more.
In this study, an enzyme-free electrochemical sensor based on zinc oxide (ZnO) nanorods synthesized by the thermal decomposition of zinc acetate is presented. The suggested approach ensures simplicity, environmental friendliness, and scalability of the process without the use of an autoclave or high pressure. The morphology and structure of the samples are studied using SEM, TEM, XRD, Raman, FTIR, XPS, PL, and UV-Vis spectroscopy. It is found that heat treatment at 450 °C increases the degree of crystallinity, increases the size of crystallites, and reduces the concentration of surface defects, which leads to improved optical and electrochemical characteristics of the material. Beyond conventional sensitivity metrics, our study demonstrates that the selective detection of ascorbic acid (AA) and uric acid (UA) can be achieved by controlling the applied potential on a single ZnO electrode, an approach that leverages differences in redox energetics and surface interaction dynamics rather than complex surface functionalization. It is shown in this work that the synthesized ZnO samples subjected to heat treatment in air at 450 °C exhibit high sensitivity to ascorbic acid (9951.87 μA·mM−1·cm−2; LoD = 1.11 μM) at a potential of 0.2 V and to uric acid (5762.48 μA·mM−1·cm−2; LoD = 1.71 μM) in a phosphate buffer solution (pH 7) at a potential of 0.4 V with a linear range of 3 mM, offering a way to create simplified multicomponent electrochemical biosensors based on potential-controlled selectivity. Full article
(This article belongs to the Section Biosensor Materials)
Show Figures

Figure 1

33 pages, 21139 KB  
Article
Composition of Chlorite as a Proxy for Fluid Evolution and Gold Precipitation Mechanisms in the Jinshan Gold Deposit, Dexing District, South China
by Danli Wang, Tao Zhang, Minjuan Zhou, Shaohao Zou, Xilian Chen, Deru Xu, Yongwen Zhang and Cui Yang
Minerals 2026, 16(3), 269; https://doi.org/10.3390/min16030269 - 28 Feb 2026
Viewed by 114
Abstract
The physicochemical controls on gold precipitation in orogenic gold deposits remain poorly constrained, with traditional fluid inclusion and isotopic studies often yielding ambiguous results due to overprinting or incomplete records. This study addresses this challenge using chlorite—a sensitive mineral proxy for fluid conditions—as [...] Read more.
The physicochemical controls on gold precipitation in orogenic gold deposits remain poorly constrained, with traditional fluid inclusion and isotopic studies often yielding ambiguous results due to overprinting or incomplete records. This study addresses this challenge using chlorite—a sensitive mineral proxy for fluid conditions—as a quantitative sensor in the Jinshan orogenic gold deposit (>200 t Au) of the Jiangnan orogenic belt, South China. Hosted in Neoproterozoic phyllite within NE–NNE-trending ductile–brittle shear zones, Jinshan features auriferous quartz–polymetallic sulfide veins with prominent chlorite alteration. Integrating high-resolution SEM-EPMA analyses of multi-generational chlorite with thermodynamic modeling, we reconstruct the temporal evolution of temperature, oxygen fugacity (fO2), pH and sulfur fugacity (fS2) during ore formation. Four paragenetic stages are identified: Stage 1 (ankerite–quartz), Stage 2 (pyrite–arsenopyrite–quartz), Stage 3 (quartz–gold–polymetallic sulfide), and Stage 4 (chlorite–carbonate–quartz). Electron microprobe analysis reveals that the chlorite composition changes from Fe-rich chamosite (Stage 2) to Mg-rich clinochlore (Stage 3) and then to Fe-rich chamosite (Stage 4). Chlorite from Stage 2 (Chl-1) formed metasomatically at low fluid/rock ratios, while Stage 3 and 4 chlorites (Chl-2 and Chl-3) precipitated directly from higher fluid/rock ratio fluids. Chlorite compositions record a critical Stage 2–3 transition involving cooling from ~320 °C to ~260 °C, reduction (log fO2 from −33.6 to −39.7), and alkalinization, and sulfur fugacity remained stable within a narrow range (log fS2 = −13.6 to −8.0), followed in Stage 4 by minor reheating to ~280 °C, re-acidification, and a slight rebound in oxygen fugacity. Thermodynamic simulations reveal that the destabilization of Au(HS)2 complexes, primarily driven by the synergistic effects of cooling, pH increase, and decreasing oxygen fugacity, triggered gold precipitation during the main ore stage. Results demonstrate that abrupt cooling coupled with fluid alkalinization and reduction exerted the dominant control on gold precipitation in Jinshan, resolving long-standing debates on ore-forming mechanisms and highlighting chlorite as a robust quantitative sensor for fluid evolution. Full article
(This article belongs to the Special Issue Gold Deposits: From Primary to Placers and Tailings After Mining)
Show Figures

Graphical abstract

33 pages, 1333 KB  
Review
From Biomass to Biofabrication: Advances in Substrate Treatment Technologies for Fungal Mycelium Composites
by Musiliu A. Liadi, Tawakalt O. Ayodele, Abodunrin Tijani, Ibrahim A. Bello, Niloy Chandra Sarker, C. Igathinathane and Hammed M. Ademola
Clean Technol. 2026, 8(2), 30; https://doi.org/10.3390/cleantechnol8020030 - 28 Feb 2026
Viewed by 109
Abstract
Mycelium-based composites (MBCs) have emerged as promising biofabricated materials that align with circular economy and clean technology goals by utilizing fungal networks to transform lignocellulosic residues into functional, biodegradable composites. Despite the MBC’s potentials, the intrinsic nature of the fungal strain, substrate physico-chemical [...] Read more.
Mycelium-based composites (MBCs) have emerged as promising biofabricated materials that align with circular economy and clean technology goals by utilizing fungal networks to transform lignocellulosic residues into functional, biodegradable composites. Despite the MBC’s potentials, the intrinsic nature of the fungal strain, substrate physico-chemical composition and engineering property variability remain significant hurdles that should be critically surmounted. Substrate treatment is central to determining growth kinetics, microstructural uniformity, and mechanical performance in MBC production. This review highlights recent advancements in physical, chemical, biological, and hybrid pretreatment methods, including comminution, pasteurization, alkali hydrolysis, enzymatic conditioning, microwave-assisted hydrolysis, ultrasound pretreatment, steam explosion, plasma activation, and irradiation. These technologies collectively enhance substrate digestibility, aeration, and permeability while reducing contamination. Optimization parameters—temperature, pH, C:N ratio, moisture content, particle size, porosity, and aeration—are examined as critical process levers influencing hyphal density, bonding efficiency, and composite uniformity. Evidence suggests that properly engineered substrate treatments accelerate colonization, strengthen hyphal networks, and significantly improve compressive, tensile, and flexural material properties. The review discusses emerging process control tools such as AI-assisted modeling, micro-CT porosity analysis, and sensor-integrated bioreactors that enable reproducible and energy-efficient fabrication. Collectively, the findings position substrate engineering as a foundational technology for scaling high-performance mycelium composites and advancing sustainable material innovation. Full article
(This article belongs to the Topic Advanced Composite Materials)
Show Figures

Figure 1

16 pages, 3952 KB  
Article
Gaussian-Fitting-Enabled High-Accuracy pH Detection for Light-Addressable Potentiometric Sensor
by Jie Tan, Zigeng Huang, Bin Sun, Xin Cao, Zijie Tang, Guomao Yan, Jiangze Ren, Shibin Liu, Yinghao Chen, Guifang Li, Xueliang Li and Dong Chen
Sensors 2026, 26(5), 1465; https://doi.org/10.3390/s26051465 - 26 Feb 2026
Viewed by 121
Abstract
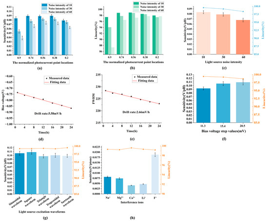
A light-addressable potentiometric sensor (LAPS) is a low-cost and versatile semiconductor field-effect pH sensor. In practical application, typical pH detection based on LAPS usually adopts the method of normalizing the voltage–photocurrent (V-I) characteristic to solve the working point. However, this method not only [...] Read more.
A light-addressable potentiometric sensor (LAPS) is a low-cost and versatile semiconductor field-effect pH sensor. In practical application, typical pH detection based on LAPS usually adopts the method of normalizing the voltage–photocurrent (V-I) characteristic to solve the working point. However, this method not only needs to obtain the data of the whole V-I characteristic, which leads to slow and time-consuming measurement, but the selection of the working point is also greatly influenced by the shape and noise of the V-I characteristic. In view of this, a new pH measurement method is proposed in this paper, which reduces the impact of noise fluctuations by fitting a Gaussian function to the local depletion region of the V-I characteristic and is almost unaffected by some measurement points distortions of the V-I characteristic, and the measurement results are directly obtained from robust morphological parameters of the fitted function. The experimental results show that the new measurement method can not only obtain pH detection with high sensitivity, high linearity and strong specificity but also further improve the detection speed by shortening the range of the bias voltage, reducing the number of measurement points, and increasing the step value of the bias voltage. At the same time, the measurement method has strong anti-interference ability when the light source fluctuates and is applicable to a variety of waveform excitation scenarios. In practical application, this measurement method has low errors in the pH detection of sewage samples. The measurement method expands the measurement mode of LAPS and provides a new idea for high-precision, rapid pH detection and other biochemical species detection marked by pH. Full article
(This article belongs to the Section Chemical Sensors)
Show Figures

Figure 1

26 pages, 819 KB  
Article
From Hours to Milliseconds: Dual-Horizon Fault Prediction for Dynamic Wireless EV Charging via Digital Twin Integrated Deep Learning
by Mohammed Ahmed Mousa, Ali Sayghe, Salem Batiyah and Abdulrahman Husawi
Smart Cities 2026, 9(3), 43; https://doi.org/10.3390/smartcities9030043 - 26 Feb 2026
Viewed by 195
Abstract
Dynamic Wireless Power Transfer (DWPT) is emerging as critical smart city infrastructure for sustainable urban mobility, enabling electric vehicle charging while driving. However, DWPT introduces complex fault scenarios requiring intelligent monitoring. Existing fault diagnosis approaches for wireless power transfer systems face three key [...] Read more.
Dynamic Wireless Power Transfer (DWPT) is emerging as critical smart city infrastructure for sustainable urban mobility, enabling electric vehicle charging while driving. However, DWPT introduces complex fault scenarios requiring intelligent monitoring. Existing fault diagnosis approaches for wireless power transfer systems face three key complexities: (1) they are limited to static charging with only 2–4 fault categories, failing to address the time-varying coupling dynamics and segmented coil handover transients inherent in dynamic charging; (2) they lack integration with the host distribution grid, ignoring grid-side disturbances that propagate to charging stations; and (3) they offer only reactive detection without predictive capability for incipient fault management. This paper presents a deep neural network (DNN)-based fault diagnosis framework utilizing multi-station sensor fusion for DWPT systems integrated with the IEEE 13-bus distribution network to address these limitations. The system monitors 36 sensor features across three charging stations, employing feature-level concatenation with station-specific normalization for multi-station fusion, achieving 97.85% classification accuracy across eight fault types. Unlike static charging, the framework explicitly models time-varying coupling dynamics due to vehicle motion, including segmented coil handover effects. A digital twin provides dual-horizon prediction: long-term forecasting (24–72 h) for incipient faults and real-time detection under 50 ms for critical protection, with fault probability outputs and ranked fault lists enabling actionable maintenance decisions. The DNN outperforms SVM (92.45%), Random Forest (94.82%), and LSTM (96.54%) with statistical significance (p<0.001), while maintaining model inference latency of 4.2 ms, suitable for edge deployment. Circuit-based analysis provides analytical justification for fault signatures, and practical parameter acquisition methods enable real-world implementation. Five case studies validate robustness across highway, urban, and grid disturbance scenarios with detection accuracies exceeding 95%. Full article
Show Figures

Figure 1

14 pages, 2074 KB  
Article
Metal-Free Electrochemical Dopamine Sensing Using a g-C3N4/Polymethyl Thymol Blue Nanohybrid
by Sankar Sekar, Sejoon Lee, Sutha Sadhasivam, Kumar Sangeetha Selvan, Saravanan Sekar, Youngmin Lee, Pugazhendi Ilanchezhiyan, Seung-Cheol Chang and Ramalingam Manikandan
Biosensors 2026, 16(2), 124; https://doi.org/10.3390/bios16020124 - 17 Feb 2026
Viewed by 283
Abstract
We report a highly sensitive and interference-free electrochemical sensor for dopamine (DA) detection in the presence of uric acid (UA) and ascorbic acid (AA), based on an in situ deposited graphitic carbon nitride (g-C3N4) and polymethyl thymol blue (PMTB) [...] Read more.
We report a highly sensitive and interference-free electrochemical sensor for dopamine (DA) detection in the presence of uric acid (UA) and ascorbic acid (AA), based on an in situ deposited graphitic carbon nitride (g-C3N4) and polymethyl thymol blue (PMTB) nanohybrid modified screen-printed carbon electrode (SPCE). The as-fabricated g-C3N4/PMTB/SPCE was thoroughly characterized using various physicochemical techniques. The electrochemical behavior of the modified electrode was systematically investigated by cyclic voltammetry (CV) and differential pulse voltammetry (DPV). The g-C3N4/PMTB/SPCE exhibited excellent electrocatalytic activity toward the selective oxidation of DA under optimized experimental conditions, including pH and scan rate. Interference-free detection of DA in the presence of AA and UA was achieved using DPV and chronoamperometric methods, revealing a wide linear concentration range, an ultralow limit of detection, and high sensitivity. Furthermore, the practical applicability of the proposed sensor was validated by determining DA in artificial biofluid samples, including blood serum, and urine. The recovery results obtained good agreement with those obtained using high-performance liquid chromatography (HPLC), confirming the reliability and accuracy of the developed sensing platform. Full article
(This article belongs to the Special Issue Electrochemical Biosensors for Environmental and Food Safety)
Show Figures

Figure 1

28 pages, 4217 KB  
Review
Microfluidics-Assisted Three-Dimensional Confinement of Cholesteric Liquid Crystals for Sensing Applications
by Jiamei Chen, Xinyi Feng, Jiaying Huang, Xinyi Li, Shijian Huang, Zongbing Wu, Lvqin Qiu, Liping Cao, Qi Liang and Xiaoyan Li
Micromachines 2026, 17(2), 244; https://doi.org/10.3390/mi17020244 - 13 Feb 2026
Viewed by 253
Abstract
As a class of self-organized soft matter systems merging fluidic mobility with long-range molecular order, cholesteric liquid crystals (CLCs) possess immense potential for the development of high-sensitivity, visually tractable flexible sensors. Leveraging their unique helical superstructures and stimuli-responsive photonic bandgaps, CLCs can transduce [...] Read more.
As a class of self-organized soft matter systems merging fluidic mobility with long-range molecular order, cholesteric liquid crystals (CLCs) possess immense potential for the development of high-sensitivity, visually tractable flexible sensors. Leveraging their unique helical superstructures and stimuli-responsive photonic bandgaps, CLCs can transduce subtle physical or chemical perturbations into discernible optical signatures, such as Bragg reflection shifts or mesomorphic textural transitions. Nonetheless, the intrinsic fluidity of CLCs often compromises their structural integrity, while conventional one-dimensional (1D) or two-dimensional (2D) confinement geometries exhibit pronounced angular dependence, significantly constraining their detection precision in complex environments. Recently, microfluidic technology has emerged as a pivotal paradigm for achieving sophisticated three-dimensional (3D) spatial confinement of CLCs through the precise manipulation of microscale fluid volumes. This review systematically delineates recent advancements in microfluidics-enabled CLC sensors. Initially, the fundamental self-assembly principles and optical properties of CLCs are introduced, emphasizing the unique advantages of 3D spherical confinement in mitigating angular sensitivity and intensifying interfacial interactions. Subsequently, the primary sensing mechanisms are bifurcated into bulk-driven sensing via pitch modulation and interface-driven sensing via topological configuration transitions. We then detail the microfluidic-based fabrication strategies and engineering protocols for diverse 3D architectures, including monodisperse/multiphase droplets, microcapsules, shells, and Janus structures. Building upon these structural frameworks, current sensing applications in physical (temperature, strain/stress), chemical (volatile organic compounds, ions, pH), and biological (biomarkers, pathogens) detection are evaluated. Lastly, in light of persistent challenges, such as intricate signal interpretation and limited robustness in complex matrices, we propose future research trajectories, encompassing the co-optimization of geometric parameters (size and curvature), artificial intelligence-enhanced automated diagnostics, and multi-field-coupled intelligent integration. This work seeks to provide a comprehensive roadmap for the design of next-generation, high-performance, and portable liquid-state photonic sensing platforms. Full article
Show Figures

Figure 1

22 pages, 1354 KB  
Article
Quantifying Sheep Behaviour Using a 3D Accelerometer: A Proof-of-Concept for Objective Stress Assessment
by Stephanie Janet Schneidewind, Mohamed Rabih Al Merestani, Sven Schmidt, Wolfgang Waser, Tanja Schmidt, Mechthild Wiegard, Uwe Schmidt and Christa Thoene-Reineke
Sensors 2026, 26(4), 1169; https://doi.org/10.3390/s26041169 - 11 Feb 2026
Viewed by 258
Abstract
Continuous digital monitoring of sheep behaviour shows potential for early stress detection. In Part 1 of this study, a novel accelerometer-based behaviour-recognition system using a nRF52832 microcontroller with Bluetooth wireless data transfer was developed and validated. A dedicated algorithm was developed to focus [...] Read more.
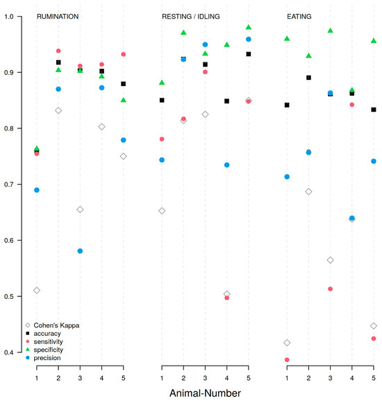
Continuous digital monitoring of sheep behaviour shows potential for early stress detection. In Part 1 of this study, a novel accelerometer-based behaviour-recognition system using a nRF52832 microcontroller with Bluetooth wireless data transfer was developed and validated. A dedicated algorithm was developed to focus on the automatic detection of rumination, which also enables the classification of resting/idling and eating. The system achieved accuracies of 0.87 (rumination), 0.90 (resting/idling), and 0.86 (eating). Specificities were 0.87, 0.95, and 0.94; sensitivities 0.89, 0.80, and 0.60; and precisions 0.79, 0.88, and 0.73, respectively. In Part 2, four sheep were continuously monitored for 24 h to establish baseline behavioural durations. Animals were then relocated in pairs to an unfamiliar enclosure for a further 24 h observation period. Relocation resulted in a significant reduction in rumination time (−45.6%, p < 0.05) and a significant increase in resting/idling (+47.9%, p < 0.05), while time spent eating decreased but did not reach statistical significance (−36.2%). These findings indicate that detecting deviations from baseline rumination and resting/idling durations may serve as suitable ethological parameters for automated, sensor-based stress alerts. With further technical refinement and validation, the developed system shows strong potential as a reliable, non-invasive tool for monitoring key sheep stress indicators. Full article
(This article belongs to the Special Issue Advances in Sensing-Based Animal Biomechanics)
Show Figures

Figure 1

13 pages, 6985 KB  
Article
UAV-Deployable Open-Source Sensor Nodes for Spatial and Temporal In Situ Water Quality Monitoring and Mapping
by Matthew Burnett, Mohamed Abdelwahab, Joud N. Satme, Austin R. J. Downey, Gabriel Barahona Smith, Antonio Fonce and Jasim Imran
Sensors 2026, 26(4), 1158; https://doi.org/10.3390/s26041158 - 11 Feb 2026
Viewed by 248
Abstract
Cost efficient, spatially resolved water quality monitoring is essential for managing pollution and protecting aquatic ecosystems. This study presents a low-cost (approximately USD 200), open-source, unmanned aerial vehicle (UAV)-deployable in situ sensor node for real-time assessment of surface-water conditions. The system integrates sensors [...] Read more.
Cost efficient, spatially resolved water quality monitoring is essential for managing pollution and protecting aquatic ecosystems. This study presents a low-cost (approximately USD 200), open-source, unmanned aerial vehicle (UAV)-deployable in situ sensor node for real-time assessment of surface-water conditions. The system integrates sensors for pH, turbidity, temperature, and total dissolved solids (TDSs), with onboard data logging and real-time clock (RTC) synchronization. Bench validation of the sensor package yielded mean absolute percentage errors of 1.34% for pH, 5.23% for TDS, and 0.81% for temperature, and the device operated continuously for 42 h. Field deployment demonstrated its ability to resolve spatial gradients, with observed ranges in the tested water body of pH 6.0–6.7, turbidity 11–18 NTU, TDS 44–51 ppm, and temperature 22.8–24.6 °C. Ordinary Kriging was used to interpolate measurements and generate continuous spatial maps. The open-source, UAV-deployable design provides an accessible platform for community-scale and research-oriented water quality mapping. Full article
Show Figures

Figure 1

9 pages, 2032 KB  
Communication
Evaluation of Precision and Accuracy of a Cattle Behavior Sensor for Monitoring Sheep in Indoor and Pasture Systems
by Kassy Gomes da Silva, Aline Maki Kadoguchi, Diógenes Adriano Duarte Santana, Melody Martins Cavalcante Pereira, Cristina Santos Sotomaior and Ruan Rolnei Daros
Sensors 2026, 26(4), 1150; https://doi.org/10.3390/s26041150 - 10 Feb 2026
Viewed by 262
Abstract
The use of sensors applied to precision livestock farming is widespread in many farm species, especially dairy cattle, but there is a dearth of sensors validated for sheep farming. This study aims to validate a dairy cattle sensor collar to assess sheep ingestion, [...] Read more.
The use of sensors applied to precision livestock farming is widespread in many farm species, especially dairy cattle, but there is a dearth of sensors validated for sheep farming. This study aims to validate a dairy cattle sensor collar to assess sheep ingestion, rumination, and other behaviors in two housing conditions: indoor housed and pasture. Twenty crossbred ewes were continuously monitored for 24 h per system, with video recordings analyzed by trained observers to quantify ingestion, rumination, and other behaviors. Precision (r, R2, Bland–Altman) and accuracy (CCC, regression slope) analyses were undertaken to assess sensor performance. The intra-rater reliability of behavior scoring was good (Kappa = 0.84, p < 0.01). In the indoor experiment, ingestion and rumination behaviors showed high precision (r = 0.92 and 0.79, respectively), while only ingestion time was considered accurate (CCC = 0.91). In the outdoor system, ingestion time showed moderate precision (r = 0.83) and accuracy (CCC = 0.80), whereas rumination and other behaviors presented low agreement with visual observations. The findings suggest that, while current sensors can be used to monitor sheep feeding behavior in confined environments, further refinement in algorithm and collar design is needed for effective application in grazing conditions. Full article
(This article belongs to the Special Issue AI, IoT and Smart Sensors for Precision Agriculture: 2nd Edition)
Show Figures

Figure 1

37 pages, 1857 KB  
Review
Advances in Electrochemical Aptasensors for Targeted Detection in Biomedicine, Food Safety, and Environmental Monitoring
by Wenting Shang, Peipei Zhou, Mengxue Liu, Guangxia Lv, Mengqi Sun, Yanxia Li and Xiangying Meng
Chemosensors 2026, 14(2), 46; https://doi.org/10.3390/chemosensors14020046 - 8 Feb 2026
Viewed by 528
Abstract
Electrochemical biosensors have emerged as indispensable detection tools with rapid advancements in recent years, offering high sensitivity, specificity, and cost-effectiveness for quantifying diverse analytes, including amino acids, proteins, pathogens, cells, antigens, and organic/inorganic compounds, thereby advancing analytical detection technologies across multiple fields. Aptamers, [...] Read more.
Electrochemical biosensors have emerged as indispensable detection tools with rapid advancements in recent years, offering high sensitivity, specificity, and cost-effectiveness for quantifying diverse analytes, including amino acids, proteins, pathogens, cells, antigens, and organic/inorganic compounds, thereby advancing analytical detection technologies across multiple fields. Aptamers, synthetic in vitro-evolved ligands with exceptional binding affinity and stability, serve as superior biorecognition elements for electrochemical sensing interfaces. Compared with other bioreceptors such as antibodies, they are generally easier and faster to produce, more uniform between batches, and easier to modify chemically; they also maintain greater stability than protein antibodies or enzymes across varying pH, temperature, and ionic conditions, enabling targeted recognition and measurable signal transduction. This review systematically summarizes recent advances in electrochemical aptasensors across three core domains: biomedical diagnostics (covering tumor markers, infectious disease pathogens, cardiovascular and metabolic biomarkers), food safety monitoring (targeting antibiotics, mycotoxins, foodborne pathogens, and pesticide residues), and environmental hazard detection (including heavy metals, toxic compounds, and biotoxins). Key technological innovations such as nanomaterial modification, signal amplification strategies, and novel sensor architectures are highlighted. Additionally, it critically discusses prominent challenges, including complex matrix interference, limited aptamer repertoires, poor reproducibility, and lack of standardization, along with future prospects. This work aims to provide a comprehensive reference for the rational design, optimization, and clinical/field application of next-generation electrochemical aptasensing technologies. Full article
Show Figures

Graphical abstract

17 pages, 1768 KB  
Article
Effects of Storage Temperature on the Microbial Flora, Odor, and Quality of Shucked Pacific Oysters Under Mimicked Commercial Shipping Conditions
by Nao Watakabe, Kazuho Sakaguchi, Mikiko Tomatsu, Akane Matsumoto, Ayumi Furuta, Takashi Okazaki and Shota Tanimoto
Foods 2026, 15(4), 603; https://doi.org/10.3390/foods15040603 - 7 Feb 2026
Viewed by 364
Abstract
The occurrence of unpleasant odors during the storage of shucked oysters shipped in brine is considered a critical issue in the improvement of oyster quality. This study focused on the storage temperature as a strategy to control odor development and assessed storage conditions [...] Read more.
The occurrence of unpleasant odors during the storage of shucked oysters shipped in brine is considered a critical issue in the improvement of oyster quality. This study focused on the storage temperature as a strategy to control odor development and assessed storage conditions at different temperatures. Analyses focused on the bacteria (total viable count and bacterial flora), biochemical induces (pH and total volatile basic nitrogen), and odor (sensory evaluation and volatile organic compounds) of oyster meat and brine. In sensory evaluation and odor sensor measurements, odor intensity remained unchanged at 0 °C but increased significantly at 3 °C. Odor generation was confirmed to be decreased at low temperatures. In addition, compared to 3 °C storage, 0 °C storage effectively suppressed the increase in viable bacterial count, the production of volatile organic compounds, the production of trimethylamine, and the decrease in pH. In particular, the proliferation of Psychrilyobacter and Psychromonas and the production of 1-propanol and short-chain fatty acids were significantly inhibited. In oyster meat, aldehyde production was significantly suppressed at 0 °C. Furthermore, total volatile basic nitrogen levels were also lower than those at 3 °C. Therefore, even a slight temperature difference contributes to improved quality, suggesting that temperature management during storage plays a crucial role in quality changes. Full article
Show Figures

Figure 1

14 pages, 2425 KB  
Article
Monitoring Antioxidant Preservation in Microwave-Dried Tea Using H2O2-Responsive Electrochemical Sensor
by Jiaoling Wang, Hao Li, Xinxin Wu, Xindong Wang and Xinai Zhang
Foods 2026, 15(3), 595; https://doi.org/10.3390/foods15030595 - 6 Feb 2026
Viewed by 281
Abstract
Considering the demand for nutritional assessment and product quality control in the tea industry, this work develops an effective electrochemical sensor based on gold nanoparticles electrodeposited onto a zeolitic imidazolate framework (Au/MOF(Zn)) for evaluating the antioxidant activity of tea subjected to microwave-assisted drying [...] Read more.
Considering the demand for nutritional assessment and product quality control in the tea industry, this work develops an effective electrochemical sensor based on gold nanoparticles electrodeposited onto a zeolitic imidazolate framework (Au/MOF(Zn)) for evaluating the antioxidant activity of tea subjected to microwave-assisted drying (MAD) through hydrogen peroxide (H2O2) scavenging. The MOF(Zn) enables uniform deposition of AuNPs, which significantly enhances the electrocatalytic oxidation of H2O2. The fabricated sensor exhibits a wide linear detection range from 400 μM to 1.8 mM for H2O2 with a correlation coefficient of 0.9983. The experimental results demonstrate acceptable selectivity, with signal interference <5% from common tea compounds like inorganic ions, sugars, and organic acids. Electrochemical methods, including cyclic voltammetry (CV) and differential pulse voltammetry (DPV) analysis, were employed to quantify H2O2 by measuring oxidation currents in phosphate-buffered saline (PBS, pH 7.0). The relative standard deviation (RSD) for repeatability and reproducibility was 5.1% and 6.8%, respectively, confirming high reliability. This sensor was successfully applied to assess antioxidant capacity in tea extracts obtained from fresh leaves subjected to microwave-assisted drying under varying power and duration. Results indicate that increasing microwave power enhances antioxidant activity, while prolonged drying at low power initially increases activity (peaking at 120 s) but reduces it upon extended exposure. Optimal antioxidant preservation was achieved at 120 s. This real-time, reliable sensing strategy offers theoretical foundations for optimizing tea processing parameters to preserve bioactive compounds, particularly polyphenols like catechins, thereby improving tea quality and health benefits. Full article
Show Figures

Figure 1

22 pages, 5575 KB  
Article
Eco-Friendly Nanocellulose Optical Chemosensor Immobilized with ADOL for Mercury Detection in Industrial Wastewater
by Mohamed Abd-El Baset, Nuha Y. Elamin, Mohamed R. Elamin, Soad S. Alzahrani, Rasha M. Kamel, Reda F. M. Elshaarawy and Ahmed Shahat
Chemosensors 2026, 14(2), 45; https://doi.org/10.3390/chemosensors14020045 - 5 Feb 2026
Viewed by 350
Abstract
A novel chemosensor has been developed for the accurate and sensitive detection of Hg2+ ions in industrial wastewater. This sensor uses a stick-like nanocellulose architecture synthesized via a green method. The unique morphology and surface area of nanocellulose make it an ideal [...] Read more.
A novel chemosensor has been developed for the accurate and sensitive detection of Hg2+ ions in industrial wastewater. This sensor uses a stick-like nanocellulose architecture synthesized via a green method. The unique morphology and surface area of nanocellulose make it an ideal mesoporous substrate for immobilizing the chromophore 1-(benzothiophenyl)-3-(benzooxazolyl)-2-((4-bromophenyl)diazenyl)propane-1,3-dione (azo-dione ligand, ADOL). Comprehensive characterization of the fabricated chemosensor and its nanocellulose base was carried out using FTIR, SEM, TEM, BET surface area, and XRD to evaluate their structural and morphological properties. Spectrophotometric parameters, including pH, response time, selectivity, and sensitivity, were extensively optimized to ensure optimal sensing performance, enabling detection of Hg2+ at very low concentrations. Method validation was performed in accordance with ICH (International Council for Harmonisation) guidelines, confirming the reliability of the sensor in terms of limit of detection (LOD), limit of quantification (LOQ), linearity, and precision. The spectrophotometric method achieved a highly sensitive LOD of 9.07 µg L−1. Moreover, the ADOL chemosensor demonstrated excellent reusability, maintaining performance over five cycles following regeneration with 0.1 M thiourea, underscoring its sustainability. Finally, the sensor exhibited outstanding performance in detecting Hg2+ across various industrial wastewater samples, highlighting its practical applicability, exceptional selectivity, and high sensitivity for real-world environmental monitoring. Full article
(This article belongs to the Section Optical Chemical Sensors)
Show Figures

Figure 1

Back to TopTop