Composition of Chlorite as a Proxy for Fluid Evolution and Gold Precipitation Mechanisms in the Jinshan Gold Deposit, Dexing District, South China
Abstract
1. Introduction
2. Geological Setting
2.1. Regional Geology
2.2. Ore Deposit Geology
3. Sampling and Analytical Methods
3.1. Petrography and SEM-EDS
3.2. Electron Probe Microanalysis
3.3. Thermodynamic Modeling
4. Results
4.1. Mineralogy and Paragenesis
4.2. Petrography and Composition Characteristics of Chlorite
5. Discussion
5.1. Chlorite Formation Mechanisms and Compositional Trends
5.2. Fluid Physicochemical Conditions
5.2.1. Formation Temperature
5.2.2. Oxygen Fugacity
5.2.3. pH Evolution
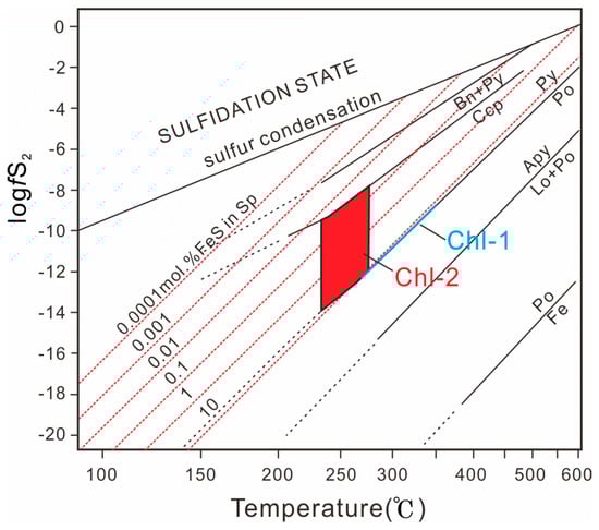
5.2.4. Sulfur Fugacity Evolution
5.3. Coupled Substitutions: Mineral-Scale Fluid Fingerprinting
5.4. Ore-Forming Fluid Evolution and Gold Precipitation Mechanism
6. Conclusions
- (1)
- The Jinshan gold deposit is a fault-controlled, multistage orogenic system with four consecutive paragenetic stages: Stage 1 (ankerite–quartz), Stage 2 (pyrite–arsenopyrite–quartz), Stage 3 (quartz–gold–polymetallic sulfide), and Stage 4 (chlorite–carbonate–quartz).
- (2)
- Chlorite occurs from Stage 2 onward and is formed by two mechanisms: metasomatic replacement in Stage 2 (Chl-1) under low fluid/rock ratios, and direct precipitation in Stages 3 (Chl-2) and 4 (Chl-3) under higher fluid/rock ratios.
- (3)
- Chlorite compositions record a key Stage 2–3 transition: cooling from ~320 °C to ~260 °C, pH increase (alkalinization), and reduction (mean log fO2 decreases from ~−33.6 to~−39.7). Sulfur fugacity remained stable within a narrow range (log fS2 = −13.6 to −8.0) throughout Stages 2–3. Stage 4 shows minor reheating (~280 °C), re-acidification, and a slight rebound in oxygen fugacity (log fO2 ≈ −37.7), yet still maintains a reducing environment.
- (4)
- Chlorite chemistry reflects coupled Tschermak and Fe–Mg substitutions driven mainly by cooling and rising pH during the Stage 2–3 shift.
- (5)
- Thermodynamic simulations show that gold precipitation in Stage 3 was the result of continuous fluid evolution, with its triggering mechanisms attributed to rapid cooling (a temperature drop of ~50–60 °C), an increase in pH, and an intensely reducing environment.
Author Contributions
Funding
Data Availability Statement
Conflicts of Interest
Appendix A
| Sample No. | Stage | Comment | K2O | TiO2 | CaO | SiO2 | Al2O3 | Na2O | FeO | MnO | MgO | Total |
|---|---|---|---|---|---|---|---|---|---|---|---|---|
| PD-112-05-1B-04-3 | 2 | Chl1 | bdl | bdl | 0.01 | 25.38 | 21.13 | 0.04 | 28.99 | 0.22 | 11.25 | 87.02 |
| PD-112-05-1B-01-2 | 2 | Chl1 | 0.04 | 0.03 | 0.03 | 25.72 | 21.50 | bdl | 28.78 | 0.22 | 11.21 | 87.53 |
| PD-112-05-1B-03-4 | 2 | Chl1 | 0.19 | bdl | bdl | 26.35 | 21.40 | 0.05 | 28.69 | 0.26 | 10.71 | 87.64 |
| PD-112-05-1B-04-5 | 2 | Chl1 | bdl | 0.07 | 0.01 | 26.26 | 21.76 | 0.01 | 28.59 | 0.17 | 10.97 | 87.82 |
| PD-112-05-1B-02-2 | 2 | Chl1 | 0.06 | bdl | bdl | 26.49 | 22.32 | bdl | 28.15 | 0.18 | 10.65 | 87.84 |
| PD-112-05-1B-02-4 | 2 | Chl1 | 0.01 | 0.03 | 0.03 | 26.87 | 21.68 | 0.01 | 27.07 | 0.24 | 12.12 | 88.05 |
| PD-112-05-1B-02-3 | 2 | Chl1 | 0.01 | bdl | 0.01 | 25.95 | 22.36 | bdl | 29.37 | 0.18 | 10.30 | 88.17 |
| PD-112-05-1B-04-1 | 2 | Chl1 | 0.03 | 0.01 | 0.03 | 26.38 | 21.72 | bdl | 28.50 | 0.24 | 11.26 | 88.17 |
| PD-112-05-1B-01-3 | 2 | Chl1 | 0.24 | bdl | bdl | 26.19 | 21.10 | 0.03 | 29.47 | 0.29 | 10.87 | 88.18 |
| PD-112-05-1B-01-5 | 2 | Chl1 | 0.01 | bdl | 0.03 | 26.55 | 23.10 | bdl | 27.83 | 0.21 | 10.64 | 88.36 |
| PD-112-05-1B-03-2 | 2 | Chl1 | 0.10 | bdl | bdl | 26.66 | 21.90 | bdl | 28.95 | 0.33 | 10.50 | 88.42 |
| PD-112-05-1B-02-1 | 2 | Chl1 | bdl | 0.02 | bdl | 26.07 | 22.66 | bdl | 29.48 | 0.15 | 10.19 | 88.57 |
| PD-112-05-1B-01-4 | 2 | Chl1 | bdl | 0.01 | bdl | 25.67 | 19.92 | 0.02 | 31.25 | 0.36 | 11.50 | 88.72 |
| PD-112-05-1B-03-3 | 2 | Chl1 | 0.11 | bdl | bdl | 26.69 | 21.14 | 0.02 | 30.77 | 0.31 | 9.76 | 88.81 |
| PD-112-05-1B-01-1 | 2 | Chl1 | bdl | bdl | 0.05 | 26.89 | 22.14 | 0.01 | 28.39 | 0.21 | 11.13 | 88.81 |
| PD-112-05-1B-03-5 | 2 | Chl1 | 0.20 | bdl | bdl | 26.70 | 21.23 | 0.02 | 30.29 | 0.35 | 10.19 | 88.98 |
| PD-112-05-1B-04-2 | 2 | Chl1 | bdl | bdl | bdl | 26.84 | 22.58 | bdl | 28.78 | 0.19 | 11.03 | 89.42 |
| PD-112-05-1B-04-4 | 2 | Chl1 | 0.02 | bdl | 0.01 | 27.34 | 22.48 | bdl | 28.71 | 0.21 | 10.96 | 89.72 |
| JS-180-01-2A-01-4 | 2 | Chl1 | 0.03 | bdl | 0.22 | 25.51 | 19.93 | 0.03 | 30.76 | 0.24 | 10.35 | 87.07 |
| JS-180-01-2B-02-2 | 2 | Chl1 | bdl | 0.24 | bdl | 25.61 | 23.03 | bdl | 31.15 | 0.08 | 7.36 | 87.47 |
| JS-180-01-2B-03-4 | 2 | Chl1 | bdl | bdl | 0.06 | 27.42 | 19.33 | 0.01 | 28.89 | 0.18 | 11.90 | 87.80 |
| JS-180-01-2A-01-2 | 2 | Chl1 | 0.02 | 0.01 | 0.05 | 25.91 | 20.51 | 0.02 | 29.97 | 0.19 | 11.18 | 87.86 |
| JS-180-01-2B-04-3 | 2 | Chl1 | 0.02 | 0.09 | bdl | 24.53 | 21.37 | 0.01 | 34.73 | 0.10 | 7.03 | 87.86 |
| JS-180-01-2B-03-1 | 2 | Chl1 | 0.03 | 0.03 | bdl | 24.50 | 21.34 | 0.02 | 35.39 | 0.02 | 6.57 | 87.91 |
| JS-180-01-2B-02-3 | 2 | Chl1 | bdl | 0.05 | bdl | 24.75 | 21.65 | 0.01 | 33.65 | 0.07 | 7.79 | 87.97 |
| JS-180-01-2B-04-1 | 2 | Chl1 | 0.02 | 0.03 | bdl | 24.73 | 21.31 | 0.02 | 33.42 | 0.22 | 8.27 | 88.02 |
| JS-180-01-2B-03-3 | 2 | Chl1 | bdl | 0.08 | bdl | 25.42 | 20.48 | 0.05 | 31.43 | 0.43 | 10.18 | 88.05 |
| JS-180-01-2A-01-3 | 2 | Chl1 | 0.02 | bdl | 0.03 | 27.29 | 18.43 | 0.02 | 28.90 | 0.31 | 13.08 | 88.07 |
| JS-180-01-2B-02-4 | 2 | Chl1 | 0.03 | 0.02 | bdl | 25.36 | 20.12 | bdl | 31.81 | 0.20 | 10.62 | 88.15 |
| JS-180-01-2B-01-5 | 2 | Chl1 | bdl | bdl | 0.04 | 27.13 | 17.50 | 0.01 | 29.87 | 0.31 | 13.49 | 88.36 |
| JS-180-01-2B-02-1 | 2 | Chl1 | 0.01 | 0.05 | bdl | 24.99 | 21.24 | 0.02 | 33.14 | 0.19 | 8.84 | 88.48 |
| JS-180-01-2B-01-1 | 2 | Chl1 | bdl | 0.07 | bdl | 28.38 | 17.63 | 0.01 | 28.14 | 0.28 | 14.09 | 88.60 |
| JS-180-01-2B-01-3 | 2 | Chl1 | 0.01 | 0.02 | 0.02 | 27.87 | 17.11 | 0.03 | 28.80 | 0.34 | 14.43 | 88.61 |
| JS-180-01-2B-01-6 | 2 | Chl1 | bdl | 0.02 | 0.02 | 27.99 | 17.41 | bdl | 28.80 | 0.33 | 14.12 | 88.68 |
| JS-180-01-2B-02-5 | 2 | Chl1 | 0.03 | 0.02 | bdl | 25.88 | 20.34 | 0.06 | 31.63 | 0.23 | 10.51 | 88.70 |
| JS-180-01-2B-03-2 | 2 | Chl1 | 0.01 | 0.02 | 0.02 | 25.84 | 19.55 | 0.03 | 31.56 | 0.66 | 11.09 | 88.78 |
| JS-180-01-2B-01-4 | 2 | Chl1 | 0.01 | bdl | 0.01 | 27.59 | 18.80 | bdl | 28.56 | 0.23 | 13.79 | 88.99 |
| JS-180-01-2A-01-1 | 2 | Chl1 | 0.03 | bdl | 0.05 | 28.09 | 17.64 | 0.01 | 29.57 | 0.32 | 13.72 | 89.41 |
| JS-180-01-2A-02-4 | 2 | Chl1 | bdl | 0.03 | 0.06 | 25.81 | 20.43 | 0.03 | 32.49 | 0.30 | 9.79 | 88.94 |
| JS-180-01-2A-02-1 | 2 | Chl1 | bdl | bdl | 0.19 | 26.01 | 20.07 | bdl | 31.00 | 0.21 | 11.55 | 89.03 |
| JS-180-01-2A-02-2 | 2 | Chl1 | 0.01 | bdl | 0.26 | 26.47 | 19.86 | 0.02 | 30.26 | 0.22 | 10.82 | 87.92 |
| JS-155-03-2A-05-2 | 3 | Chl2 | 0.01 | bdl | 0.01 | 27.13 | 17.76 | 0.03 | 25.79 | 0.16 | 14.14 | 85.03 |
| JS-155-03-2A-05-5 | 3 | Chl2 | 0.01 | bdl | 0.19 | 25.96 | 15.78 | 0.02 | 30.64 | 0.31 | 12.26 | 85.16 |
| JS-155-03-2A-06-5 | 3 | Chl2 | 0.02 | bdl | 0.17 | 28.36 | 16.27 | 0.02 | 25.71 | 0.19 | 14.73 | 85.45 |
| JS-155-03-2A-02-4 | 3 | Chl2 | bdl | bdl | 0.07 | 28.85 | 15.97 | 0.05 | 24.41 | 0.18 | 15.95 | 85.49 |
| JS-155-03-2A-03-1-1 | 3 | Chl2 | 0.03 | 0.02 | 0.12 | 28.01 | 15.38 | 0.02 | 25.63 | 0.15 | 16.46 | 85.82 |
| JS-155-03-2A-02-1 | 3 | Chl2 | bdl | bdl | 0.03 | 28.54 | 16.85 | 0.05 | 24.93 | 0.16 | 15.47 | 86.04 |
| JS-155-03-2A-02LI-9 | 3 | Chl2 | bdl | bdl | 0.05 | 28.60 | 16.44 | 0.04 | 25.58 | 0.19 | 15.51 | 86.41 |
| JS-155-03-2A-07-1 | 3 | Chl2 | 0.01 | bdl | 0.08 | 27.56 | 17.44 | bdl | 26.74 | 0.18 | 14.66 | 86.67 |
| JS-155-03-2A-06-6 | 3 | Chl2 | 0.05 | bdl | 0.10 | 28.68 | 16.15 | bdl | 26.03 | 0.22 | 15.68 | 86.91 |
| JS-155-03-2A-05-4 | 3 | Chl2 | 0.14 | bdl | 0.03 | 28.86 | 18.33 | bdl | 24.84 | 0.16 | 14.68 | 87.04 |
| JS-155-03-2A-03-4 | 3 | Chl2 | 0.04 | bdl | 0.10 | 28.82 | 16.36 | 0.01 | 25.72 | 0.23 | 16.00 | 87.27 |
| JS-155-03-2A-06-4 | 3 | Chl2 | 0.04 | bdl | 0.12 | 27.73 | 17.54 | bdl | 27.68 | 0.14 | 14.14 | 87.38 |
| JS-155-03-2A-05-3 | 3 | Chl2 | 0.01 | bdl | bdl | 27.84 | 19.45 | 0.05 | 26.48 | 0.18 | 13.43 | 87.43 |
| JS-155-03-2A-02LI-7 | 3 | Chl2 | 0.03 | bdl | 0.09 | 29.00 | 14.32 | 0.08 | 29.30 | 0.27 | 14.50 | 87.59 |
| JS-155-03-2A-05-1 | 3 | Chl2 | 0.03 | 0.02 | 0.06 | 28.63 | 18.46 | bdl | 25.63 | 0.15 | 14.76 | 87.72 |
| JS-155-03-2A-06-8 | 3 | Chl2 | 0.02 | 0.02 | 0.11 | 27.34 | 18.58 | 0.05 | 29.90 | 0.25 | 11.96 | 88.23 |
| JS-155-03-2A-03-2 | 3 | Chl2 | 0.04 | 0.01 | 0.12 | 28.04 | 18.80 | 0.01 | 27.60 | 0.23 | 13.48 | 88.33 |
| JS-155-03-2A-02-2 | 3 | Chl2 | bdl | 0.06 | 0.06 | 29.63 | 17.45 | 0.06 | 25.09 | 0.22 | 15.94 | 88.49 |
| JS-155-03-2A-06-3 | 3 | Chl2 | 0.02 | bdl | 0.09 | 29.77 | 19.00 | bdl | 27.27 | 0.18 | 12.60 | 88.92 |
| JS-155-03-2A-02LI-8 | 3 | Chl2 | 0.04 | bdl | 0.01 | 28.21 | 18.39 | 0.01 | 31.99 | 0.22 | 10.16 | 89.04 |
| JS-180-01-1A-03-01 | 4 | Chl3 | 0.32 | bdl | 0.08 | 28.07 | 18.31 | bdl | 28.29 | 0.34 | 12.49 | 87.89 |
| JS-180-01-1A-03-02 | 4 | Chl3 | 0.03 | 0.03 | 0.05 | 26.42 | 17.74 | bdl | 31.61 | 0.40 | 11.72 | 88.01 |
| JS-180-01-1A-03-03 | 4 | Chl3 | 0.03 | bdl | 0.04 | 26.58 | 18.44 | 0.03 | 31.89 | 0.43 | 11.22 | 88.65 |
| JS-180-01-1A-03-04 | 4 | Chl3 | 0.01 | 0.04 | 0.02 | 28.19 | 16.57 | 0.04 | 27.83 | 0.37 | 15.38 | 88.46 |
| JS-180-01-1A-02-1 | 4 | Chl3 | 0.01 | 0.03 | 0.02 | 28.70 | 17.30 | 0.02 | 29.61 | 0.30 | 13.09 | 89.07 |
| JS-180-01-1A-02-2 | 4 | Chl3 | 0.04 | bdl | 0.05 | 27.78 | 18.49 | 0.06 | 29.12 | 0.36 | 11.92 | 87.81 |
| JS-180-01-1A-02-3 | 4 | Chl3 | bdl | 0.01 | 0.12 | 27.65 | 18.93 | 0.04 | 28.80 | 0.28 | 12.52 | 88.34 |
| JS-180-01-1A-02-4 | 4 | Chl3 | 0.04 | bdl | 0.05 | 27.08 | 16.48 | 0.03 | 28.31 | 0.27 | 13.35 | 85.61 |
| JS-180-01-1A-02-5 | 4 | Chl3 | 0.03 | 0.02 | 0.07 | 26.03 | 19.26 | bdl | 28.85 | 0.27 | 12.03 | 86.55 |
| JS-180-01-4-1 | 4 | Chl3 | bdl | 0.04 | 0.10 | 29.11 | 16.44 | 0.01 | 30.98 | 0.40 | 12.53 | 89.62 |
| JS-180-01-4-2 | 4 | Chl3 | bdl | bdl | 0.07 | 26.46 | 19.37 | 0.05 | 30.91 | 0.27 | 10.67 | 87.80 |
| JS-180-01-4-3 | 4 | Chl3 | 0.03 | 0.02 | 0.03 | 27.12 | 18.43 | 0.03 | 33.30 | 0.55 | 10.28 | 89.78 |
| JS180-01-4-01-A-7 | 4 | Chl3 | bdl | bdl | 0.04 | 27.59 | 17.72 | bdl | 29.78 | 0.22 | 12.97 | 88.32 |
| JS180-01-4-01-A-8 | 4 | Chl3 | bdl | 0.06 | bdl | 27.16 | 18.29 | 0.02 | 31.09 | 0.43 | 12.11 | 89.15 |
| JS180-01-4-01-A-9 | 4 | Chl3 | bdl | 0.06 | 0.04 | 27.98 | 18.68 | 0.01 | 28.76 | 0.21 | 12.89 | 88.61 |
| JS180-01-4-01-A-15 | 4 | Chl3 | bdl | 0.02 | 0.01 | 28.04 | 18.24 | bdl | 26.97 | 0.31 | 14.36 | 87.96 |
| Sample No. | Stage | Comment | Si | AlIV | AlVI | Fe2+ | Fe3+ | Mg | Ti | Mn | Ca | Na | K | Cations | Fe3+/Fe2+ | Fe2+/(Fe2+ + Mg) | Mg/(Fe2+ + Mg) | TC88-AlIV (°C) | TKML87-AlIV (°C) | Mean (°C) | logfO2 |
|---|---|---|---|---|---|---|---|---|---|---|---|---|---|---|---|---|---|---|---|---|---|
| PD-112-05-1B-04-3 | 2 | Chl1 | 2.74 | 1.26 | 1.43 | 2.52 | 0.09 | 1.81 | 0.00 | 0.02 | 0.00 | 0.02 | 0.00 | 9.89 | 0.04 | 0.58 | 0.42 | 345 | 329 | 337 | −32.0 |
| PD-112-05-1B-01-2 | 2 | Chl1 | 2.75 | 1.25 | 1.47 | 2.45 | 0.12 | 1.78 | 0.00 | 0.02 | 0.00 | 0.00 | 0.01 | 9.86 | 0.05 | 0.58 | 0.42 | 342 | 327 | 334 | −31.8 |
| PD-112-05-1B-03-4 | 2 | Chl1 | 2.80 | 1.20 | 1.50 | 2.40 | 0.15 | 1.70 | 0.00 | 0.02 | 0.00 | 0.02 | 0.05 | 9.84 | 0.06 | 0.59 | 0.41 | 325 | 316 | 320 | −32.8 |
| PD-112-05-1B-04-5 | 2 | Chl1 | 2.78 | 1.22 | 1.51 | 2.37 | 0.16 | 1.73 | 0.01 | 0.01 | 0.00 | 0.00 | 0.00 | 9.79 | 0.07 | 0.58 | 0.42 | 331 | 320 | 326 | −32.1 |
| PD-112-05-1B-02-2 | 2 | Chl1 | 2.79 | 1.21 | 1.58 | 2.28 | 0.20 | 1.67 | 0.00 | 0.02 | 0.00 | 0.00 | 0.02 | 9.76 | 0.09 | 0.58 | 0.42 | 328 | 318 | 323 | −31.9 |
| PD-112-05-1B-02-4 | 2 | Chl1 | 2.81 | 1.19 | 1.50 | 2.20 | 0.17 | 1.89 | 0.00 | 0.02 | 0.00 | 0.00 | 0.00 | 9.79 | 0.08 | 0.54 | 0.46 | 321 | 310 | 316 | −32.8 |
| PD-112-05-1B-02-3 | 2 | Chl1 | 2.75 | 1.25 | 1.55 | 2.44 | 0.16 | 1.63 | 0.00 | 0.02 | 0.00 | 0.00 | 0.00 | 9.79 | 0.07 | 0.60 | 0.40 | 342 | 328 | 335 | −31.2 |
| PD-112-05-1B-04-1 | 2 | Chl1 | 2.78 | 1.22 | 1.50 | 2.36 | 0.15 | 1.77 | 0.00 | 0.02 | 0.00 | 0.00 | 0.01 | 9.81 | 0.06 | 0.57 | 0.43 | 331 | 319 | 325 | −32.2 |
| PD-112-05-1B-01-3 | 2 | Chl1 | 2.78 | 1.22 | 1.44 | 2.51 | 0.11 | 1.72 | 0.00 | 0.03 | 0.00 | 0.01 | 0.07 | 9.89 | 0.04 | 0.59 | 0.41 | 329 | 320 | 325 | −32.9 |
| PD-112-05-1B-01-5 | 2 | Chl1 | 2.77 | 1.23 | 1.63 | 2.21 | 0.22 | 1.65 | 0.00 | 0.02 | 0.00 | 0.00 | 0.00 | 9.73 | 0.10 | 0.57 | 0.43 | 335 | 322 | 328 | −31.3 |
| PD-112-05-1B-03-2 | 2 | Chl1 | 2.80 | 1.20 | 1.54 | 2.37 | 0.18 | 1.65 | 0.00 | 0.03 | 0.00 | 0.00 | 0.03 | 9.78 | 0.08 | 0.59 | 0.41 | 324 | 316 | 320 | −32.5 |
| PD-112-05-1B-02-1 | 2 | Chl1 | 2.74 | 1.26 | 1.57 | 2.42 | 0.18 | 1.60 | 0.00 | 0.01 | 0.00 | 0.00 | 0.00 | 9.78 | 0.07 | 0.60 | 0.40 | 343 | 329 | 336 | −31.0 |
| PD-112-05-1B-01-4 | 2 | Chl1 | 2.76 | 1.24 | 1.28 | 2.79 | 0.02 | 1.84 | 0.00 | 0.03 | 0.00 | 0.01 | 0.00 | 9.97 | 0.01 | 0.60 | 0.40 | 338 | 326 | 332 | −34.9 |
| PD-112-05-1B-03-3 | 2 | Chl1 | 2.83 | 1.17 | 1.48 | 2.56 | 0.16 | 1.54 | 0.00 | 0.03 | 0.00 | 0.01 | 0.03 | 9.81 | 0.06 | 0.62 | 0.38 | 316 | 313 | 315 | −33.3 |
| PD-112-05-1B-01-1 | 2 | Chl1 | 2.80 | 1.20 | 1.54 | 2.29 | 0.19 | 1.73 | 0.00 | 0.02 | 0.01 | 0.00 | 0.00 | 9.77 | 0.08 | 0.57 | 0.43 | 324 | 314 | 319 | −32.4 |
| PD-112-05-1B-03-5 | 2 | Chl1 | 2.82 | 1.18 | 1.47 | 2.53 | 0.15 | 1.60 | 0.00 | 0.03 | 0.00 | 0.01 | 0.05 | 9.84 | 0.06 | 0.61 | 0.39 | 319 | 314 | 317 | −33.3 |
| PD-112-05-1B-04-2 | 2 | Chl1 | 2.78 | 1.22 | 1.56 | 2.31 | 0.18 | 1.70 | 0.00 | 0.02 | 0.00 | 0.00 | 0.00 | 9.77 | 0.08 | 0.58 | 0.42 | 331 | 319 | 325 | −31.9 |
| PD-112-05-1B-04-4 | 2 | Chl1 | 2.81 | 1.19 | 1.56 | 2.26 | 0.21 | 1.68 | 0.00 | 0.02 | 0.00 | 0.00 | 0.00 | 9.74 | 0.09 | 0.57 | 0.43 | 320 | 312 | 316 | −32.6 |
| JS-180-01-2A-01-4 | 2 | Chl1 | 2.78 | 1.22 | 1.36 | 2.73 | 0.07 | 1.68 | 0.00 | 0.02 | 0.03 | 0.01 | 0.01 | 9.91 | 0.03 | 0.62 | 0.38 | 329 | 322 | 326 | −33.5 |
| JS-180-01-2B-02-2 | 2 | Chl1 | 2.75 | 1.25 | 1.68 | 2.54 | 0.26 | 1.18 | 0.02 | 0.01 | 0.00 | 0.00 | 0.00 | 9.68 | 0.10 | 0.68 | 0.32 | 342 | 335 | 338 | −30.4 |
| JS-180-01-2B-03-4 | 2 | Chl1 | 2.91 | 1.09 | 1.34 | 2.42 | 0.14 | 1.88 | 0.00 | 0.02 | 0.01 | 0.00 | 0.00 | 9.82 | 0.06 | 0.56 | 0.44 | 288 | 290 | 289 | −35.9 |
| JS-180-01-2A-01-2 | 2 | Chl1 | 2.78 | 1.22 | 1.38 | 2.60 | 0.09 | 1.79 | 0.00 | 0.02 | 0.01 | 0.01 | 0.00 | 9.90 | 0.03 | 0.59 | 0.41 | 331 | 321 | 326 | −33.1 |
| JS-180-01-2B-04-3 | 2 | Chl1 | 2.70 | 1.30 | 1.49 | 3.09 | 0.11 | 1.15 | 0.01 | 0.01 | 0.00 | 0.00 | 0.01 | 9.87 | 0.04 | 0.73 | 0.27 | 356 | 347 | 352 | −30.7 |
| JS-180-01-2B-03-1 | 2 | Chl1 | 2.71 | 1.29 | 1.50 | 3.16 | 0.11 | 1.08 | 0.00 | 0.00 | 0.00 | 0.01 | 0.01 | 9.87 | 0.03 | 0.74 | 0.26 | 355 | 348 | 351 | −30.8 |
| JS-180-01-2B-02-3 | 2 | Chl1 | 2.70 | 1.30 | 1.50 | 2.96 | 0.11 | 1.27 | 0.00 | 0.01 | 0.00 | 0.00 | 0.00 | 9.86 | 0.04 | 0.70 | 0.30 | 356 | 345 | 351 | −30.7 |
| JS-180-01-2B-04-1 | 2 | Chl1 | 2.70 | 1.30 | 1.46 | 2.97 | 0.09 | 1.35 | 0.00 | 0.02 | 0.00 | 0.01 | 0.01 | 9.89 | 0.03 | 0.69 | 0.31 | 356 | 344 | 350 | −31.2 |
| JS-180-01-2B-03-3 | 2 | Chl1 | 2.75 | 1.25 | 1.37 | 2.77 | 0.07 | 1.64 | 0.01 | 0.04 | 0.00 | 0.02 | 0.00 | 9.92 | 0.02 | 0.63 | 0.37 | 340 | 330 | 335 | −32.8 |
| JS-180-01-2A-01-3 | 2 | Chl1 | 2.90 | 1.10 | 1.22 | 2.50 | 0.07 | 2.08 | 0.00 | 0.03 | 0.00 | 0.01 | 0.00 | 9.92 | 0.03 | 0.55 | 0.45 | 291 | 291 | 291 | −36.8 |
| JS-180-01-2B-02-4 | 2 | Chl1 | 2.75 | 1.25 | 1.32 | 2.84 | 0.04 | 1.72 | 0.00 | 0.02 | 0.00 | 0.00 | 0.01 | 9.95 | 0.01 | 0.62 | 0.38 | 341 | 330 | 335 | −33.7 |
| JS-180-01-2B-01-5 | 2 | Chl1 | 2.91 | 1.09 | 1.12 | 2.66 | 0.01 | 2.15 | 0.00 | 0.03 | 0.00 | 0.01 | 0.00 | 9.99 | 0.00 | 0.55 | 0.45 | 290 | 291 | 291 | −39.8 |
| JS-180-01-2B-02-1 | 2 | Chl1 | 2.71 | 1.29 | 1.43 | 2.92 | 0.08 | 1.43 | 0.00 | 0.02 | 0.00 | 0.01 | 0.00 | 9.90 | 0.03 | 0.67 | 0.33 | 353 | 341 | 347 | −31.5 |
| JS-180-01-2B-01-1 | 2 | Chl1 | 2.98 | 1.02 | 1.17 | 2.38 | 0.09 | 2.21 | 0.01 | 0.02 | 0.00 | 0.01 | 0.00 | 9.89 | 0.04 | 0.52 | 0.48 | 266 | 272 | 269 | −38.6 |
| JS-180-01-2B-01-3 | 2 | Chl1 | 2.95 | 1.05 | 1.09 | 2.53 | 0.02 | 2.28 | 0.00 | 0.03 | 0.00 | 0.01 | 0.00 | 9.97 | 0.01 | 0.53 | 0.47 | 275 | 279 | 277 | −39.9 |
| JS-180-01-2B-01-6 | 2 | Chl1 | 2.96 | 1.04 | 1.13 | 2.49 | 0.05 | 2.22 | 0.00 | 0.03 | 0.00 | 0.00 | 0.00 | 9.93 | 0.02 | 0.53 | 0.47 | 273 | 278 | 276 | −38.8 |
| JS-180-01-2B-02-5 | 2 | Chl1 | 2.78 | 1.22 | 1.36 | 2.77 | 0.07 | 1.68 | 0.00 | 0.02 | 0.00 | 0.02 | 0.01 | 9.93 | 0.02 | 0.62 | 0.38 | 332 | 324 | 328 | −33.5 |
| JS-180-01-2B-03-2 | 2 | Chl1 | 2.78 | 1.22 | 1.27 | 2.82 | 0.03 | 1.78 | 0.00 | 0.06 | 0.00 | 0.01 | 0.00 | 9.97 | 0.01 | 0.61 | 0.39 | 330 | 321 | 326 | −35.2 |
| JS-180-01-2B-01-4 | 2 | Chl1 | 2.90 | 1.10 | 1.23 | 2.44 | 0.07 | 2.16 | 0.00 | 0.02 | 0.00 | 0.00 | 0.00 | 9.91 | 0.03 | 0.53 | 0.47 | 294 | 292 | 293 | −36.6 |
| JS-180-01-2A-01-1 | 2 | Chl1 | 2.95 | 1.05 | 1.14 | 2.55 | 0.05 | 2.15 | 0.00 | 0.03 | 0.01 | 0.00 | 0.01 | 9.94 | 0.02 | 0.54 | 0.46 | 275 | 280 | 278 | −38.7 |
| JS-180-01-2A-02-4 | 2 | Chl1 | 2.77 | 1.23 | 1.37 | 2.84 | 0.08 | 1.57 | 0.00 | 0.03 | 0.01 | 0.01 | 0.00 | 9.91 | 0.03 | 0.64 | 0.36 | 333 | 326 | 330 | −33.1 |
| JS-180-01-2A-02-1 | 2 | Chl1 | 2.77 | 1.23 | 1.30 | 2.72 | 0.04 | 1.84 | 0.00 | 0.02 | 0.02 | 0.00 | 0.00 | 9.95 | 0.02 | 0.60 | 0.40 | 333 | 322 | 327 | −34.2 |
| JS-180-01-2A-02-2 | 2 | Chl1 | 2.84 | 1.16 | 1.36 | 2.61 | 0.11 | 1.73 | 0.00 | 0.02 | 0.03 | 0.01 | 0.00 | 9.87 | 0.04 | 0.60 | 0.40 | 312 | 309 | 310 | −34.2 |
| JS-155-03-2A-05-2 | 3 | Chl2 | 2.95 | 1.05 | 1.23 | 2.25 | 0.09 | 2.29 | 0.00 | 0.01 | 0.00 | 0.01 | 0.00 | 9.89 | 0.04 | 0.50 | 0.50 | 278 | 278 | 278 | −37.5 |
| JS-155-03-2A-05-5 | 3 | Chl2 | 2.92 | 1.08 | 1.02 | 2.91 | 0.00 | 2.05 | 0.00 | 0.03 | 0.02 | 0.01 | 0.00 | 10.04 | 0.00 | 0.59 | 0.41 | 286 | 291 | 288 | _ |
| JS-155-03-2A-06-5 | 3 | Chl2 | 3.06 | 0.94 | 1.13 | 2.21 | 0.11 | 2.37 | 0.00 | 0.02 | 0.02 | 0.01 | 0.01 | 9.87 | 0.05 | 0.48 | 0.52 | 241 | 253 | 247 | −40.7 |
| JS-155-03-2A-02-4 | 3 | Chl2 | 3.08 | 0.92 | 1.11 | 2.08 | 0.10 | 2.54 | 0.00 | 0.02 | 0.01 | 0.02 | 0.00 | 9.88 | 0.05 | 0.45 | 0.55 | 233 | 245 | 239 | −41.6 |
| JS-155-03-2A-03-1-1 | 3 | Chl2 | 3.03 | 0.97 | 0.99 | 2.31 | 0.01 | 2.65 | 0.00 | 0.01 | 0.01 | 0.01 | 0.01 | 10.00 | 0.00 | 0.47 | 0.53 | 251 | 259 | 255 | −44.6 |
| JS-155-03-2A-02-1 | 3 | Chl2 | 3.04 | 0.96 | 1.16 | 2.11 | 0.11 | 2.45 | 0.00 | 0.01 | 0.00 | 0.02 | 0.00 | 9.87 | 0.05 | 0.46 | 0.54 | 248 | 256 | 252 | −40.1 |
| JS-155-03-2A-02LI-9 | 3 | Chl2 | 3.05 | 0.95 | 1.12 | 2.19 | 0.09 | 2.46 | 0.00 | 0.02 | 0.01 | 0.02 | 0.00 | 9.90 | 0.04 | 0.47 | 0.53 | 246 | 255 | 250 | −40.7 |
| JS-155-03-2A-07-1 | 3 | Chl2 | 2.95 | 1.05 | 1.16 | 2.33 | 0.06 | 2.34 | 0.00 | 0.02 | 0.01 | 0.00 | 0.00 | 9.92 | 0.03 | 0.50 | 0.50 | 276 | 277 | 276 | −38.4 |
| JS-155-03-2A-06-6 | 3 | Chl2 | 3.05 | 0.95 | 1.08 | 2.25 | 0.07 | 2.48 | 0.00 | 0.02 | 0.01 | 0.00 | 0.01 | 9.92 | 0.03 | 0.47 | 0.53 | 245 | 255 | 250 | −41.1 |
| JS-155-03-2A-05-4 | 3 | Chl2 | 3.02 | 0.98 | 1.29 | 2.01 | 0.16 | 2.29 | 0.00 | 0.01 | 0.00 | 0.00 | 0.04 | 9.81 | 0.08 | 0.47 | 0.53 | 255 | 261 | 258 | −38.8 |
| JS-155-03-2A-03-4 | 3 | Chl2 | 3.04 | 0.96 | 1.08 | 2.20 | 0.07 | 2.52 | 0.00 | 0.02 | 0.01 | 0.00 | 0.01 | 9.92 | 0.03 | 0.47 | 0.53 | 246 | 256 | 251 | −41.0 |
| JS-155-03-2A-06-4 | 3 | Chl2 | 2.96 | 1.04 | 1.17 | 2.40 | 0.07 | 2.25 | 0.00 | 0.01 | 0.01 | 0.00 | 0.01 | 9.92 | 0.03 | 0.52 | 0.48 | 274 | 278 | 276 | −38.4 |
| JS-155-03-2A-05-3 | 3 | Chl2 | 2.93 | 1.07 | 1.35 | 2.18 | 0.15 | 2.10 | 0.00 | 0.02 | 0.00 | 0.02 | 0.00 | 9.82 | 0.07 | 0.51 | 0.49 | 284 | 283 | 284 | −36.2 |
| JS-155-03-2A-02LI-7 | 3 | Chl2 | 3.12 | 0.88 | 0.94 | 2.61 | 0.03 | 2.33 | 0.00 | 0.02 | 0.01 | 0.03 | 0.01 | 9.98 | 0.01 | 0.53 | 0.47 | 221 | 243 | 232 | −45.0 |
| JS-155-03-2A-05-1 | 3 | Chl2 | 2.99 | 1.01 | 1.27 | 2.10 | 0.14 | 2.29 | 0.00 | 0.01 | 0.01 | 0.00 | 0.01 | 9.82 | 0.07 | 0.48 | 0.52 | 265 | 268 | 266 | −38.0 |
| JS-155-03-2A-06-8 | 3 | Chl2 | 2.92 | 1.08 | 1.26 | 2.57 | 0.09 | 1.90 | 0.00 | 0.02 | 0.01 | 0.02 | 0.01 | 9.89 | 0.04 | 0.58 | 0.42 | 287 | 291 | 289 | −36.6 |
| JS-155-03-2A-03-2 | 3 | Chl2 | 2.94 | 1.06 | 1.28 | 2.30 | 0.12 | 2.11 | 0.00 | 0.02 | 0.01 | 0.00 | 0.01 | 9.85 | 0.05 | 0.52 | 0.48 | 279 | 281 | 280 | −37.0 |
| JS-155-03-2A-02-2 | 3 | Chl2 | 3.05 | 0.95 | 1.18 | 2.03 | 0.13 | 2.45 | 0.00 | 0.02 | 0.01 | 0.02 | 0.00 | 9.84 | 0.06 | 0.45 | 0.55 | 243 | 253 | 248 | −40.2 |
| JS-155-03-2A-06-3 | 3 | Chl2 | 3.06 | 0.94 | 1.38 | 2.10 | 0.25 | 1.93 | 0.00 | 0.02 | 0.01 | 0.00 | 0.01 | 9.69 | 0.12 | 0.52 | 0.48 | 241 | 256 | 248 | −39.5 |
| JS-155-03-2A-02LI-8 | 3 | Chl2 | 2.99 | 1.01 | 1.31 | 2.67 | 0.17 | 1.61 | 0.00 | 0.02 | 0.00 | 0.01 | 0.01 | 9.79 | 0.06 | 0.62 | 0.38 | 262 | 277 | 270 | −37.9 |
| JS-180-01-1A-03-01 | 4 | Chl3 | 2.97 | 1.03 | 1.27 | 2.39 | 0.12 | 1.97 | 0.00 | 0.03 | 0.01 | 0.00 | 0.09 | 9.88 | 0.05 | 0.55 | 0.45 | 268 | 276 | 272 | −38.0 |
| JS-180-01-1A-03-02 | 4 | Chl3 | 2.87 | 1.13 | 1.15 | 2.86 | 0.02 | 1.90 | 0.00 | 0.04 | 0.01 | 0.00 | 0.01 | 9.98 | 0.01 | 0.60 | 0.40 | 300 | 301 | 301 | −38.5 |
| JS-180-01-1A-03-03 | 4 | Chl3 | 2.87 | 1.13 | 1.21 | 2.84 | 0.04 | 1.80 | 0.00 | 0.04 | 0.00 | 0.01 | 0.01 | 9.96 | 0.01 | 0.61 | 0.39 | 303 | 304 | 303 | −36.7 |
| JS-180-01-1A-03-04 | 4 | Chl3 | 2.98 | 1.02 | 1.05 | 2.45 | 0.01 | 2.42 | 0.00 | 0.03 | 0.00 | 0.02 | 0.00 | 9.99 | 0.01 | 0.50 | 0.50 | 267 | 272 | 269 | −41.7 |
| JS-180-01-1A-02-1 | 4 | Chl3 | 3.02 | 0.98 | 1.17 | 2.50 | 0.11 | 2.05 | 0.00 | 0.03 | 0.00 | 0.01 | 0.00 | 9.87 | 0.04 | 0.55 | 0.45 | 254 | 267 | 261 | −39.4 |
| JS-180-01-1A-02-2 | 4 | Chl3 | 2.96 | 1.04 | 1.29 | 2.46 | 0.13 | 1.89 | 0.00 | 0.03 | 0.01 | 0.03 | 0.01 | 9.85 | 0.05 | 0.57 | 0.43 | 274 | 281 | 277 | −37.2 |
| JS-180-01-1A-02-3 | 4 | Chl3 | 2.92 | 1.08 | 1.29 | 2.43 | 0.11 | 1.97 | 0.00 | 0.03 | 0.01 | 0.02 | 0.00 | 9.86 | 0.05 | 0.55 | 0.45 | 285 | 288 | 286 | −36.4 |
| JS-180-01-1A-02-4 | 4 | Chl3 | 2.97 | 1.03 | 1.11 | 2.56 | 0.04 | 2.19 | 0.00 | 0.03 | 0.01 | 0.01 | 0.01 | 9.95 | 0.02 | 0.54 | 0.46 | 268 | 275 | 272 | −39.6 |
| JS-180-01-1A-02-5 | 4 | Chl3 | 2.83 | 1.17 | 1.30 | 2.55 | 0.07 | 1.95 | 0.00 | 0.02 | 0.01 | 0.00 | 0.01 | 9.91 | 0.03 | 0.57 | 0.43 | 315 | 309 | 312 | −34.7 |
| JS-180-01-4-1 | 4 | Chl3 | 3.07 | 0.93 | 1.12 | 2.63 | 0.10 | 1.97 | 0.00 | 0.04 | 0.01 | 0.01 | 0.00 | 9.87 | 0.04 | 0.57 | 0.43 | 239 | 258 | 249 | −40.8 |
| JS-180-01-4-2 | 4 | Chl3 | 2.85 | 1.15 | 1.33 | 2.69 | 0.10 | 1.72 | 0.00 | 0.02 | 0.01 | 0.02 | 0.00 | 9.89 | 0.04 | 0.61 | 0.39 | 307 | 306 | 306 | −34.9 |
| JS-180-01-4-3 | 4 | Chl3 | 2.90 | 1.10 | 1.23 | 2.91 | 0.07 | 1.64 | 0.00 | 0.05 | 0.00 | 0.01 | 0.01 | 9.92 | 0.02 | 0.64 | 0.36 | 292 | 299 | 296 | −36.6 |
| JS180-01-4-01-A-7 | 4 | Chl3 | 2.94 | 1.06 | 1.17 | 2.59 | 0.06 | 2.06 | 0.00 | 0.02 | 0.00 | 0.00 | 0.00 | 9.92 | 0.02 | 0.56 | 0.44 | 279 | 284 | 281 | −38.0 |
| JS180-01-4-01-A-8 | 4 | Chl3 | 2.89 | 1.11 | 1.19 | 2.72 | 0.05 | 1.92 | 0.00 | 0.04 | 0.00 | 0.01 | 0.00 | 9.94 | 0.02 | 0.59 | 0.41 | 294 | 296 | 295 | −36.9 |
| JS180-01-4-01-A-9 | 4 | Chl3 | 2.94 | 1.06 | 1.27 | 2.41 | 0.12 | 2.02 | 0.00 | 0.02 | 0.00 | 0.00 | 0.00 | 9.85 | 0.05 | 0.54 | 0.46 | 279 | 283 | 281 | −37.0 |
| JS180-01-4-01-A-15 | 4 | Chl3 | 2.95 | 1.05 | 1.22 | 2.28 | 0.10 | 2.25 | 0.00 | 0.03 | 0.00 | 0.00 | 0.00 | 9.88 | 0.04 | 0.50 | 0.50 | 276 | 278 | 277 | −37.6 |
References
- Bourdelle, F. Low-Temperature Chlorite Geothermometry and Related Recent Analytical Advances: A Review. Minerals 2021, 11, 130. [Google Scholar] [CrossRef]
- Cathelineau, M.; Nieva, D. A chlorite solid solution geothermometer the Los Azufres (Mexico) geothermal system. Contrib. Mineral. Petrol. 1985, 91, 235–244. [Google Scholar] [CrossRef]
- Pacey, A.; Wilkinson, J.J.; Cooke, D.R. Chlorite and Epidote Mineral Chemistry in Porphyry Ore Systems: A Case Study of the Northparkes District, New South Wales, Australia. Econ. Geol. 2020, 115, 701–727. [Google Scholar] [CrossRef]
- De Caritat, P.; Hutcheon, I.; Walshe, J.L. Chlorite Geothermometry: A Review. Clays Clay Miner. 1993, 41, 219–239. [Google Scholar] [CrossRef]
- Li, B.; Xu, D.R.; Bai, D.Y.; Chen, X.; Zou, S.H.; Dai, J.F.; Ma, W.; Zeng, G.Q. Episodic mineralization at Yanshannian in the Woxi Au-Sb-W deposit, western Hunan, South China: Constraints from in-situ scheelite LA-ICP-MS U-Pb geochronology and element-isotope of pyrite. Acta Petrol. Sin. 2024, 40, 215–240, (In Chinese with English abstract). [Google Scholar] [CrossRef]
- Vidal, O. A thermodynamic model for Fe-Mg aluminous chlorite using data from phase equilibrium experiments and natural pelitic assemblages in the 100 to 600 C, 1 to 25 kb range. Am. J. Sci. 2001, 301, 557–592. [Google Scholar] [CrossRef]
- Yavuz, F.; Kumral, M.; Karakaya, N.; Karakaya, M.Ç.; Yıldırım, D.K. A Windows program for chlorite calculation and classification. Comput. Geosci. 2015, 81, 101–113. [Google Scholar] [CrossRef]
- Inoue, A.; Inoué, S.; Utada, M. Application of chlorite thermometry to estimation of formation temperature and redox conditions. Clay Miner. 2018, 53, 143–158. [Google Scholar] [CrossRef]
- Lanari, P.; Wagner, T.; Vidal, O. A thermodynamic model for di-trioctahedral chlorite from experimental and natural data in the system MgO–FeO–Al2O3–SiO2–H2O: Applications to P–T sections and geothermometry. Contrib. Mineral. Petrol. 2014, 167, 968. [Google Scholar] [CrossRef]
- Bourdelle, F.; Parra, T.; Chopin, C.; Beyssac, O. A new chlorite geothermometer for diagenetic to low-grade metamorphic conditions. Contrib. Mineral. Petrol. 2013, 165, 723–735. [Google Scholar] [CrossRef]
- Grosch, E.G.; McLoughlin, N.; Whitehouse, M. Multiple sulphur isotope record of Paleoarchean sedimentary rocks across the Onverwacht Group, Barberton Greenstone Belt, South Africa. Geobiology 2023, 21, 153–167. [Google Scholar] [CrossRef]
- Gisbert, G.; Tornos, F.; Losantos, E.; McClenaghan, S.; Pons, J.M.; Videira, J.C.; Brodbeck, M. Vectors to ore in replacive volcanogenic massive sulphide deposits of the northern Iberian Pyrite Belt: Major and trace element mineral chemistry. Ore Geol. Rev. 2022, 147, 104963. [Google Scholar] [CrossRef]
- Piccoli, F.; Hutter, A.A.; Hermann, J. Carbon retention during subduction of ophicarbonate rocks from the Zermatt-Saas unit (Western Alps). Swiss J. Geosci. 2025, 118, 9. [Google Scholar] [CrossRef]
- Zhang, S.; Xiao, B.; Long, X.; Chu, G.; Cheng, J.; Zhang, Y.; Tian, J.; Xu, G. Chlorite as an exploration indicator for concealed skarn mineralization: Perspective from the Tonglushan Cu–Au–Fe skarn deposit, Eastern China. Ore Geol. Rev. 2020, 126, 103778. [Google Scholar] [CrossRef]
- Deng, T.; Xu, D.; Chi, G.; Wang, Z.; Chen, G.; Zhou, Y.; Li, Z.; Ye, T.; Yu, D. Caledonian (Early Paleozoic) veins overprinted by Yanshanian (Late Mesozoic) gold mineralization in the Jiangnan Orogen: A case study on gold deposits in northeastern Hunan, South China. Ore Geol. Rev. 2020, 124, 103586. [Google Scholar] [CrossRef]
- Xu, D.; Deng, T.; Chi, G.; Wang, Z.; Zou, F.; Zhang, J.; Zou, S. Gold mineralization in the Jiangnan Orogenic Belt of South China: Geological, geochemical and geochronological characteristics, ore deposit-type and geodynamic setting. Ore Geol. Rev. 2017, 88, 565–618. [Google Scholar] [CrossRef]
- Mao, G.Z.; Hua, R.M.; Long, G.M.; Lu, H.J. Rb-Sr Dating of Pyrite and Quartz Fluid Inclusions and Origin of Ore-forming Materials of the Jinshan Gold Deposit, Northeast Jiangxi Province, South China. Acta Geol. Sin.-Engl. Ed. 2013, 87, 1658–1667. [Google Scholar] [CrossRef]
- Wang, G.; Ni, P.; Zhao, C.; Yao, J.; Li, L.; Zhao, D.L.; Zhu, A.D.; Hu, J.S. The research advances and genetic model of the giant Dexing Cu-Au ore cluster. Acta Petrol. Sin. 2019, 35, 3644–3658, (In Chinese with English abstract). [Google Scholar] [CrossRef]
- Wang, Q.X.; Deng, T.; Xu, D.R.; Lin, Y.F.; Liu, G.F.; Tang, H.M.; Zhou, L.Y.; Zhang, J. Genetic association between carbonates and gold precipitation mechanisms in the Jinshan deposit, eastern Jiangnan orogen. Geol. Soc. Am. Bull. 2024, 136, 4195–4217. [Google Scholar] [CrossRef]
- Mao, G.; Hua, R.; Gao, J.; Zhao, K.; Long, G.; Lu, H.; Yao, J. Rare Earth element and trace element features of gold-bearing pyrite in the Jinshan gold deposit, Jiangxi Province. Acta Geol. Sin.-Engl. Ed. 2010, 84, 614–623. [Google Scholar] [CrossRef]
- Fan, H.R.; Li, Z.L. Geological characteristics, physico-chemical conditions and source materials for mineralization of the Jinshan gold deposit. Sci. Geol. Sin. 1992, 27, 147–160, (In Chinese with English abstract). [Google Scholar]
- Li, X.; Wang, C.; Hua, R.; Wei, X. Fluid origin and structural enhancement during mineralization of the Jinshan orogenic gold deposit, South China. Miner. Depos. 2010, 45, 583–597. [Google Scholar] [CrossRef]
- Zhao, C.; Ni, P.; Wang, G.G.; Ding, J.Y.; Chen, H.; Zhao, K.D.; Cai, Y.T.; Xu, Y.F. Geology, fluid inclusion, and isotope constraints on ore genesis of the Neoproterozoic Jinshan orogenic gold deposit, South China. Geofluids 2013, 13, 506–527. [Google Scholar] [CrossRef]
- Liu, Z.Y.; Jin, C.Z.; Wang, R.H.; Liang, J. Ore fluid geochemistry and the discussion on ore genesis of Jinshan gold deposit, Jiangxi Province. Contrib. Geol. Miner. Resour. Res. 2005, 20, 93–99+105, (In Chinese with English abstract). [Google Scholar] [CrossRef]
- Zeng, J.N.; Fan, Y.X.; Lin, W.B. The lead and sulfur isotopic tracing of the source of ore-forming material in Jinshan gold deposit in Jiangxi Province. Geoscience 2002, 16, 170–176, (In Chinese with English abstract). [Google Scholar] [CrossRef]
- Sahoo, P.R.; Venkatesh, A.S. ‘Indicator’ carbonaceous phyllite/graphitic schist in the Archean Kundarkocha gold deposit, Singhbhum orogenic belt, eastern India: Implications for gold mineralization vis-a-vis organic matter. J. Earth Syst. Sci. 2014, 123, 1693–1703. [Google Scholar] [CrossRef]
- Shu, L.; Yao, J.; Wang, B.; Faure, M.; Charvet, J.; Chen, Y. Neoproterozoic plate tectonic process and Phanerozoic geodynamic evolution of the South China Block. Earth-Sci. Rev. 2021, 216, 103596. [Google Scholar] [CrossRef]
- Wang, Y.; Fan, W.; Zhang, G.; Zhang, Y. Phanerozoic tectonics of the South China Block: Key observations and controversies. Gondwana Res. 2013, 23, 1273–1305. [Google Scholar] [CrossRef]
- Zhao, G. Jiangnan Orogen in South China: Developing from divergent double subduction. Gondwana Res. 2015, 27, 1173–1180. [Google Scholar] [CrossRef]
- Li, X.F.; Yi, X.K.; Zhu, H.P. Source of ore-forming fluids in Jinshan gold deposit of Dexing County: Constraints from microstructures and stable isotopes. Miner. Depos. 2009, 28, 42–52, (In Chinese with English abstract). [Google Scholar] [CrossRef]
- Wang, W.; Chen, F.; Hu, R.; Chu, Y.; Yang, Y.Z. Provenance and tectonic setting of Neoproterozoic sedimentary sequences in the South China Block: Evidence from detrital zircon ages and Hf–Nd isotopes. Int. J. Earth Sci. 2012, 101, 1723–1744. [Google Scholar] [CrossRef]
- Yao, J.; Shu, L.; Cawood, P.A.; Zhao, G. Differentiating continental and oceanic arc systems and retro-arc basins in the Jiangnan orogenic belt, South China. Geol. Mag. 2019, 156, 2001–2016. [Google Scholar] [CrossRef]
- Mao, J.W.; Cheng, Y.B.; Chen, M.H.; Franco, P. Major types and time–space distribution of Mesozoic ore deposits in South China and their geodynamic settings. Miner. Depos. 2013, 48, 267–294. [Google Scholar] [CrossRef]
- Chen, J.; Jahn, B. Crustal evolution of southeastern China: Nd and Sr isotopic evidence. Tectonophysics 1998, 284, 101–133. [Google Scholar] [CrossRef]
- Shu, L.; Shi, Y.; Guo, L. Plate-Terrane Tectonics and Collisional Orogeny; Nanjing University Press: Nanjing, China, 1995; pp. 94–120, (In Chinese with English abstract). [Google Scholar]
- Li, J.Y.; Wang, X.L.; Zhang, F.F.; Zhou, X.H.; Shu, X.J. A rhythmic source change of the Neoproterozoic basement meta-sedimentary sequences in the Jiangnan Orogen: Implications for tectonic evolution on the southeastern margin of the Yangtze Block. Precambrian Res. 2016, 280, 46–60. [Google Scholar] [CrossRef]
- Wang, Q.; Xu, J.F.; Jian, P.; Bao, Z.W.; Zhao, Z.H.; Li, C.F.; Xiong, X.L.; Ma, J.L. Petrogenesis of Adakitic Porphyries in an Extensional Tectonic Setting, Dexing, South China: Implications for the Genesis of Porphyry Copper Mineralization. J. Petrol. 2006, 47, 119–144. [Google Scholar] [CrossRef]
- He, J.F.; Wang, G.G.; Brzozowski, M.J.; Ni, P.; Luo, X.L.; Mu, J.; Li, W.Q. Hypogene sulfide precipitation during phyllic alteration: Insights from copper isotopic evolution of the Dexing porphyry Cu–Mo–Au deposit, South China. Miner. Depos. 2025, 60, 811–831. [Google Scholar] [CrossRef]
- Wang, G.G.; Ni, P.; Yao, J.; Wang, X.L.; Zhao, K.D.; Zhu, R.Z.; Xu, Y.F.; Pan, J.Y.; Li, L.; Zhang, Y.H. The link between subduction-modified lithosphere and the giant Dexing porphyry copper deposit, South China: Constraints from high-Mg adakitic rocks. Ore Geol. Rev. 2015, 67, 109–126. [Google Scholar] [CrossRef]
- Zhu, X.; Huang, C.K.; Rui, Z.Y.; Zhou, Y.H.; Zhu, X.J.; Hu, C.S.; Mei, Z.K. The Geology of Dexing Porphyry Copper Ore Field; Geological Publishing House: Beijing, China, 1983; pp. 1–336, (In Chinese with English abstract). [Google Scholar]
- Hou, Z.; Pan, X.; Li, Q.; Yang, Z.; Song, Y. The giant Dexing porphyry Cu–Mo–Au deposit in east China: Product of melting of juvenile lower crust in an intracontinental setting. Miner. Depos. 2013, 48, 1019–1045. [Google Scholar] [CrossRef]
- Yu, H.; Zahidi, I.; Liang, D. Spatiotemporal variation of vegetation cover in mining areas of Dexing City, China. Environ. Res. 2023, 225, 115634. [Google Scholar] [CrossRef]
- Ji, J.; Liu, Y.; Sun, C.; Qiu, D.; Zheng, Q. Geochemical characteristics of two types of ores from Jinshan shear zone-hosted gold deposit, Jiangxi, with a discussion on the mechanism of two-stage mineralization. Chin. J. Geochem. 1995, 14, 353–360. [Google Scholar] [CrossRef]
- Zhang, L.; Yang, L.Q.; Groves, D.I.; Sun, S.C.; Liu, Y.; Wang, J.Y.; Li, R.H.; Wu, S.G.; Gao, L.; Guo, J.L.; et al. An overview of timing and structural geometry of gold, gold-antimony and antimony mineralization in the Jiangnan Orogen, southern China. Ore Geol. Rev. 2019, 115, 103173. [Google Scholar] [CrossRef]
- Wei, X. The geological characteristics of Jinshan ductile shear zone–type gold deposit in Jiangxi. Jiangxi Geol. 1996, 1, 52–64, (In Chinese with English abstract). [Google Scholar]
- Mao, G.; Hua, R.; Gao, J.; Li, W.; Zhao, K.; Long, G.; Lu, H. Existing forms of REE in gold-bearing pyrite of the Jinshan gold deposit, Jiangxi Province, China. J. Rare Earths 2009, 27, 1079–1087. [Google Scholar] [CrossRef]
- Li, X.; Hua, R.; Mao, J.; Ji, J.; Wang, C. A Study of Illite Kiibler Indexes and Chlorite “Crystallinities” with Respect to Shear Deformation and Alterations, Jinshan Gold Deposit, East China. Resour. Geol. 2003, 53, 283–293, (In Chinese with English abstract). [Google Scholar] [CrossRef]
- Mao, J.; Zhang, J.; Pirajno, F.; Ishiyama, D.; Su, H.; Guo, C.; Chen, Y. Porphyry Cu–Au–Mo–epithermal Ag–Pb–Zn–distal hydrothermal Au deposits in the Dexing area, Jiangxi province, East China—A linked ore system. Ore Geol. Rev. 2011, 43, 203–216. [Google Scholar] [CrossRef]
- Li, X.F.; Wang, C.Z.; Yi, X.K.; Feng, Z.H.; Wang, Y.T. Deformation structures at various scales and their roles during gold mineralization at Jinshan gold deposit Jiangxi Province. Geol. Rev. 2007, 53, 774–782+868–870, (In Chinese with English abstract). [Google Scholar] [CrossRef]
- Liang, X.H. Metallogenic mechanism of the Jinshan gold deposit in the Dexing area, Jiangxi Province. Geol. Explor. Non-Ferr. Met. 1997, 1, 17–20, (In Chinese with English abstract). [Google Scholar]
- Li, X.; Hu, R.; Wei, X. Mineral deposit types, mineralization features and genesis relationship between Jinshan gold deposit and Dexing porphyry copper deposit, northeastern Jiangxi Province, South China. Geol. Rev. 2012, 58, 82–90, (In Chinese with English abstract). [Google Scholar] [CrossRef]
- Xu, H.; Su, C.; Wang, M. Geologic feature of gold deposit in Jiangxi, Jinshan, and ore prospecting direction. Des. Res. Non-Ferr. Metall. 2013, 34, 1–3, (In Chinese with English abstract). [Google Scholar] [CrossRef]
- Zeng, Q.; Pan, W.H.; Lu, Y. A brief analysis of the mineralization model of the Jinshan gold deposit. Resour. Inf. Eng. 2016, 31, 34+36, (In Chinese with English abstract). [Google Scholar] [CrossRef]
- Zhao, C. Study on Process of Mineralization and Estabilishment of Metallogenic Model of the Jinshan Gold Deposit, Jiangxi province. Doctoral Dissertation, Nanjing University, Nanjing, China, 2013. (In Chinese with English abstract). [Google Scholar]
- Lü, Y.S.; Xie, G.A.; Ni, P.; Liu, J.R.; Zhao, K.D.; Dong, W.M. Structural deformation in the Jinshan gold deposit and its implications to the tectonic evolution of the Northeastern Jiangxi Province. Geotecton. Metallog. 2012, 36, 504–517, (In Chinese with English abstract). [Google Scholar] [CrossRef]
- Zheng, Q.R. Calculation of the Fe3+ and Fe2+ contents in silicate and Ti-Fe oxide minerals from EPMA data. Acta Mineral. Sin. 1983, 1, 55–62, (In Chinese with English abstract). [Google Scholar] [CrossRef]
- Inoue, A.; Kurokawa, K.; Hatta, T. Application of Chlorite Geothermometry to Hydrothermal Alteration in Toyoha Geothermal System, Southwestern Hokkaido, Japan. Resour. Geol. 2010, 60, 52–70. [Google Scholar] [CrossRef]
- Foster, M.D. Interpretation of the Composition and a Classification of the Chlorites; US Government Printing Office: Washington, DC, USA, 1962; Volume 414.
- Hillier, S.; Velde, B. Octahedral occupancy and the chemical composition of diagenetic (low-temperature) chlorites. Clay Miner. 1991, 26, 149–168. [Google Scholar] [CrossRef]
- Zang, W.; Fyfe, W.S. Chloritization of the hydrothermally altered bedrock at the Igarap6 Bahia gold deposit, Carajas, Brazil. Miner. Depos. 1995, 30, 30–38. [Google Scholar] [CrossRef]
- Bethke, C.M. Geochemical and Biogeochemical Reaction Modeling; Cambridge University Press: Cambridge, UK, 2007; pp. 1–842. [Google Scholar]
- Johnson, C.A.; Day, W.C.; Rye, R.O. Oxygen, hydrogen, sulfur, and carbon isotopes in the Pea Ridge magnetite-apatite deposit, southeast Missouri, and sulfur isotope comparisons to other iron deposits in the region. Econ. Geol. 2016, 111, 2017–2032. [Google Scholar] [CrossRef]
- Zimmer, K.; Zhang, Y.; Lu, P.; Chen, Y.; Zhang, G.; Dalkilic, M.; Zhu, C. UPCRTBL: A revised and extended thermodynamic dataset and software package of SUPCRT92. Comput. Geosci. 2016, 90, 97–111. [Google Scholar] [CrossRef]
- Wiewióra, A.; Weiss, Z. Crystallochemical classifications of phyllosilicates based on the unified system of projection of chemical composition: II. The chlorite group. Clay Miner. 1990, 25, 83–92. [Google Scholar] [CrossRef]
- Zane, A.; Weiss, Z. A procedure for classifying rock-forming chlorites based on microprobe data. Rend. Lincei 1998, 9, 51–56. [Google Scholar] [CrossRef]
- Beaufort, D.; Rigault, C.; Billon, S.; Billault, V.; Inoue, A.; Inoue, S.; Patrier, P. Chlorite and chloritization processes through mixed-layer mineral series in low-temperature geological systems—A review. Clay Miner. 2015, 50, 497–523. [Google Scholar] [CrossRef]
- Jiang, W.T.; Peacor, D.R.; Buseck, P.R. Chlorite Geothermometry?—Contamination and Apparent Octahedral Vacancies. Clay Miner. 1994, 42, 593–605. [Google Scholar] [CrossRef]
- Por, V.; Idrus, A.; Setiawan, N.I.; Takahashi, R.; Takahashi, R.; Abrar, M. Mineralogy and chlorite chemistry constraints on the formation condition of propylitic alteration in the Tujuh Bukit porphyry deposit, East Java, Indonesia. INTAN J. Penelit. Tambang 2025, 8, 52–62. [Google Scholar] [CrossRef]
- Wang, Z.; Chen, B.; Yan, X.; Li, S. Characteristics of hydrothermal chlorite from the Niujuan Ag-Au-Pb-Zn deposit in the north margin of NCC and implications for exploration tools for ore deposits. Ore Geol. Rev. 2018, 101, 398–412. [Google Scholar] [CrossRef]
- Petrella, L.; Thébaud, N.; Evans, K.; LaFlamme, C.; Occhipinti, S. The role of competitive fluid-rock interaction processes in the formation of high-grade gold deposits. Geochim. Cosmochim. Acta 2021, 313, 38–54. [Google Scholar] [CrossRef]
- Zhang, J.; Deng, T.; Xu, D.; Dai, J.; Li, Z.; Li, B.; Zhou, Y. Role of Hematite-Rich Host Rocks in the Gold Mineralization of the Woxi Au (-Sb-W) Ore Deposit in Western Jiangnan Orogen of South China. J. Earth Sci. 2023, 34, 1527–1542. [Google Scholar] [CrossRef]
- Cui, T.; Yu, H.C.; Jowitt, S.M.; Li, Z.S.; Wei, X.L.; Zou, S.H.; Bo, J.W.; Pei, L.; Li, S.S.; Nassif, M.T.; et al. Chlorite composition records the formation of increased oxygen fugacity-induced disseminated gold mineralization within the Guocheng gold deposit, China. Geol. Soc. Am. Bull. 2025, 137, 4786–4800. [Google Scholar] [CrossRef]
- Liu, S.Y.; Zhang, D.; Yang, M.J.; Zhang, X.M.; Wei, G.D.; Nie, S.Q.; Wang, X.; Feng, Y.P.; Li, W.J.; Cheng, G.L. Characteristics of chlorites from the Haopinggou Ag–Au polymetallic deposit in the Xiong’ershan ore concentration area and its exploration implications. J. Geomech. 2024, 30, 129–146, (In Chinese with English abstract). [Google Scholar] [CrossRef]
- Cathelineau, M. Cation site occupancy in chlorites and illites as a function of temperature. Clay Miner. 1988, 23, 471–485. [Google Scholar] [CrossRef]
- Walshe, J.L. A six-component chlorite solid solution model and the conditions of chlorite formation in hydrothermal and geothermal systems. Econ. Geol. 1986, 81, 681–703. [Google Scholar] [CrossRef]
- Mikucki, E.J. Hydrothermal transport and depositional processes in Archean lode-gold systems: A review. Ore Geol. Rev. 1998, 13, 307–321. [Google Scholar] [CrossRef]
- Tomkins, A.G. On the source of orogenic gold. Geology 2013, 41, 1255–1256. [Google Scholar] [CrossRef]
- Bourdelle, F.; Cathelineau, M. Low-temperature chlorite geothermometry: A graphical representation based on a T–R2+–Si diagram. Eur. J. Mineral. 2015, 27, 617–626. [Google Scholar] [CrossRef]
- Kranidiotis, P.; MacLean, W.H. Systematics of chlorite alteration at the Phelps Dodge massive sulfide deposit, Matagami, Quebec. Econ. Geol. 1987, 82, 1898–1911. [Google Scholar] [CrossRef]
- Yang, W.M.; Li, C.C.; Han, X.L. Study on fluid inclusion of Jinshan Gold Deposit in Jiangxi. Gold 2000, 6, 9–11, (In Chinese with English abstract). [Google Scholar]
- Li, Y.H.; Li, A.Q.; Tian, L.; Xu, G.; Xu, F. Deep geological characteristics of Shanggong gold deposit in Henan Province and its implications for prospecting practice. World Nonferrous Met. 2023, 2, 72–74, (In Chinese with English abstract). [Google Scholar] [CrossRef]
- Zhang, L.; Chen, H.; Chen, Y.; Qin, Y.; Liu, C.; Zheng, Y.; Jansen, N.H. Geology and fluid evolution of the Wangfeng orogenic-type gold deposit, Western Tian Shan, China. Ore Geol. Rev. 2012, 49, 85–95. [Google Scholar] [CrossRef]
- Dubacq, B.; Forshaw, J.B. The composition of metapelitic biotite, white mica, and chlorite: A review with implications for solid-solution models. Eur. J. Miner. 2024, 36, 657–685. [Google Scholar] [CrossRef]
- Padhi, A.K.; Mukherjee, M.K.; Bisht, B.S.; Tripathi, B.K.; Pande, D.; Baskaran, S. Mineral Chemistry of Chlorites and Feldspars and Their Genetic Linkage to Uranium Mineralization: An Example from Polymetallic Uranium Deposit in Rohil, Rajasthan, Western India. Minerals 2024, 15, 41. [Google Scholar] [CrossRef]
- Tepsell, J.; Lahaye, Y.; Molnár, F.; Rämö, O.T.; Cook, N. Multistage mineralisation in the Raja orogenic Au-Co prospect, Peräpohja belt, Finland: Constraints from S isotopes and trace elements in pyrite, pyrrhotite and chalcopyrite. Miner. Depos. 2025, 61, 577–597. [Google Scholar] [CrossRef]
- Qaim Raza, M.; Absar, N.; Pandalai, H.S.; Patel, S.C. Chlorite thermometry and fluid inclusion studies on vein-type Tintini copper deposit, Eastern Dharwar Craton, India: Ore genetic implications. Ore Geol. Rev. 2021, 131, 104058. [Google Scholar] [CrossRef]
- Zhang, W.; Zhang, S.T.; Cao, H.W.; Wu, J.D.; Xiao, C.X.; Chen, H.J.; Tang, L. Characteristics of chlorite minerals from Xiaolonghe tin deposit in West Yunan, China and their geological omplication. J. Chengdu Univ. Technol. 2014, 41, 318–328, (In Chinese with English Abstract). [Google Scholar]
- Li, H.D.; Pan, J.Y.; Liu, W.Q.; Jiang, W.B.; Li, J.; Liang, Y.Y.; Xie, Q.; Lu, Y. Mineral characteristics and geological significance of chlorite from the Julong’an uranium deposit in Le’an, Jiangxi Province. Acta Petrol. Mineral. 2017, 36, 535–548, (In Chinese with English Abstract). [Google Scholar]
- Wafik, A.; Zoheir, B.; Benchekroun, F.; Benaouda, R.; Massoude, M.B.; Atif, Y.; Pour, A.B.; Niroomand, S.; El Arbaoui, A.; Karfal, A.; et al. Multistage Gold-Polymetallic Mineralization in the Bou Azzer District, Anti-Atlas, Morocco: Insights from Ore Microscopic, Geochemical, and Fluid Inclusion Studies. Geofluids 2024, 2024, 5579902. [Google Scholar] [CrossRef]
- Zhang, J.; Liu, X.X.; Wang, Y.T.; Chen, S.C.; Hu, Q.Q.; Liu, X.L. Characteristics of chlorite from the Baguamiao gold deposit in Shaanxi Province and its geological implication. Geol. Bull. China 2021, 40, 586–603, (In Chinese with English abstract). [Google Scholar]
- Feng, K.; Fan, H.R.; Ulrich, T.; Yang, K.F.; Hu, F.F.; Liu, X. Contribution of Precambrian basements to the Mesozoic ore-fluid system: An illustration using the Majiayao gold deposit, Jiaodong, China. Ore Geol. Rev. 2021, 139, 104447. [Google Scholar] [CrossRef]
- Li, F.; Tang, J.; Song, Y.; Li, S.; Tang, P.; Li, H.; Yang, H.; Wang, Q.; Wang, Y.; Danzeng, Z.; et al. Major elements geochemistry of chlorite in different ore deposits and its genesis and exploration significance: A case study from Naruo porphyry Cu deposit in Duolong ore district, Tibet. Front. Earth Sci. 2024, 12, 1378820. [Google Scholar] [CrossRef]
- Chen, M.; Shao, Y.; Li, Y.; Liu, Z.; Chen, K.; He, M.; Chen, Z. Ore-forming process and ore genesis of the Wangu gold deposit in the Jiangnan orogenic Belt, South China: Constraints from pyrite textures, trace elements and in-situ sulfur isotopes composition. Ore Geol. Rev. 2025, 178, 106485. [Google Scholar] [CrossRef]
- Wu, Y.; Zheng, Y.; Yu, P.; Huang, Y.; Yu, J.; Zhao, T.; Cheng, Q.; Chen, X. Thermodynamic simulation on indium enrichment condition in the Huangshaping skarn Zn-Pb system (South China). J. Asian Earth Sci. 2025, 291, 106681. [Google Scholar] [CrossRef]
- Einaudi, M.T.; Burt, D.M. Introduction-terminology, classification, and composition of skarn deposits. Econ. Geol. 1982, 77, 745–754. [Google Scholar] [CrossRef]
- Vidal, O.; Lanari, P.; Munoz, M.; Bourdelle, F.; De Andrade, V. Deciphering temperature, pressure and oxygen-activity conditions of chlorite formation. Clay Miner. 2016, 51, 615–633. [Google Scholar] [CrossRef]
- Royer, J.-J.; Camara, N. Mineralogical, Petrological, 3D Modeling Study and Geostatistical Mineral Resources Estimation of the Zone C Gold Prospect, Kofi (Mali). Minerals 2025, 15, 843. [Google Scholar] [CrossRef]
- Xie, X.; Byerly, G.R.; Ferrell, R.E., Jr. IIb trioctahedral chlorite from the Barberton greenstone belt: Crystal structure and rock composition constraints with implications to geothermometry. Contrib. Mineral. Petrol. 1997, 126, 275–291. [Google Scholar] [CrossRef]
- Charpentier, D.; Milesi, G.; Labaume, P.; Abd Elmola, A.; Buatier, M.; Lanari, P.; Muñoz, M. Evolution of fluid redox in a fault zone of the Pic de Port Vieux thrust in the Pyrenees Axial Zone (Spain). Solid Earth 2024, 15, 1065–1086. [Google Scholar] [CrossRef]
- Dai, J.; Xu, D.; Chi, G.; Li, Z.; Deng, T.; Zhang, J.; Li, B. Origin of the Woxi orogenic Au-Sb-W deposit in the west Jiangnan Orogen of South China: Constraints from apatite and wolframite U-Pb dating and pyrite in-situ S-Pb isotopic signatures. Ore Geol. Rev. 2022, 150, 105134. [Google Scholar] [CrossRef]
- Wang, C.; Shao, Y.J.; Goldfarb, R.; Tan, S.M.; Sun, J.; Zhou, C.; Zheng, H.; Liu, Q.Q.; Xiong, Y.Q. Superimposed Gold Mineralization Events in the Tuanshanbei Orogenic Gold Deposit, Central Jiangnan Orogen, South China. Econ. Geol. 2024, 119, 113–137. [Google Scholar] [CrossRef]
- Pokrovski, G.S.; Akinfiev, N.N.; Borisova, A.Y.; Zotov, A.V.; Kouzmanov, K. Gold speciation and transport in geological fluids: Insights from experiments and physical-chemical modelling. Geol. Soc. Lond. Spec. Publ. 2014, 402, 9–70. [Google Scholar] [CrossRef]
- Williams-Jones, A.E.; Bowell, R.J.; Migdisov, A.A. Gold in Solution. Elements 2009, 5, 281–287. [Google Scholar] [CrossRef]











| Chl-1 | Chl-2 | Chl-3 | |||||||
|---|---|---|---|---|---|---|---|---|---|
| Max | Min | Average | Max | Min | Average | Max | Min | Average | |
| SiO2 | 28.38 | 24.50 | 26.29 | 29.77 | 25.96 | 28.28 | 29.11 | 26.03 | 27.50 |
| TiO2 | 0.24 | 0.00 | 0.02 | 0.06 | 0.00 | 0.01 | 0.06 | 0.00 | 0.02 |
| Al2O3 | 23.10 | 17.11 | 20.66 | 19.45 | 14.32 | 17.24 | 19.37 | 16.44 | 18.04 |
| FeO | 35.39 | 27.07 | 30.14 | 31.99 | 24.41 | 26.85 | 33.30 | 26.97 | 29.76 |
| MnO | 0.66 | 0.02 | 0.24 | 0.31 | 0.14 | 0.20 | 0.55 | 0.21 | 0.34 |
| MgO | 14.43 | 6.57 | 10.87 | 16.46 | 10.16 | 14.32 | 15.38 | 10.28 | 12.47 |
| CaO | 0.26 | 0.00 | 0.03 | 0.19 | 0.00 | 0.08 | 0.12 | 0.00 | 0.05 |
| Na2O | 0.06 | 0.00 | 0.01 | 0.08 | 0.00 | 0.02 | 0.06 | 0.00 | 0.02 |
| K2O | 0.24 | 0.00 | 0.03 | 0.14 | 0.00 | 0.03 | 0.32 | 0.00 | 0.03 |
| Total | 89.72 | 87.02 | 88.32 | 89.04 | 85.03 | 87.02 | 89.78 | 85.61 | 88.23 |
Disclaimer/Publisher’s Note: The statements, opinions and data contained in all publications are solely those of the individual author(s) and contributor(s) and not of MDPI and/or the editor(s). MDPI and/or the editor(s) disclaim responsibility for any injury to people or property resulting from any ideas, methods, instructions or products referred to in the content. |
© 2026 by the authors. Licensee MDPI, Basel, Switzerland. This article is an open access article distributed under the terms and conditions of the Creative Commons Attribution (CC BY) license.
Share and Cite
Wang, D.; Zhang, T.; Zhou, M.; Zou, S.; Chen, X.; Xu, D.; Zhang, Y.; Yang, C. Composition of Chlorite as a Proxy for Fluid Evolution and Gold Precipitation Mechanisms in the Jinshan Gold Deposit, Dexing District, South China. Minerals 2026, 16, 269. https://doi.org/10.3390/min16030269
Wang D, Zhang T, Zhou M, Zou S, Chen X, Xu D, Zhang Y, Yang C. Composition of Chlorite as a Proxy for Fluid Evolution and Gold Precipitation Mechanisms in the Jinshan Gold Deposit, Dexing District, South China. Minerals. 2026; 16(3):269. https://doi.org/10.3390/min16030269
Chicago/Turabian StyleWang, Danli, Tao Zhang, Minjuan Zhou, Shaohao Zou, Xilian Chen, Deru Xu, Yongwen Zhang, and Cui Yang. 2026. "Composition of Chlorite as a Proxy for Fluid Evolution and Gold Precipitation Mechanisms in the Jinshan Gold Deposit, Dexing District, South China" Minerals 16, no. 3: 269. https://doi.org/10.3390/min16030269
APA StyleWang, D., Zhang, T., Zhou, M., Zou, S., Chen, X., Xu, D., Zhang, Y., & Yang, C. (2026). Composition of Chlorite as a Proxy for Fluid Evolution and Gold Precipitation Mechanisms in the Jinshan Gold Deposit, Dexing District, South China. Minerals, 16(3), 269. https://doi.org/10.3390/min16030269

