Characterization of Pure Ozonides from Ozonolysis of Oleic Acid Methyl Ester; Use of a Protocol for the Analysis of the Corresponding Stable Ozonides from Triolein and Organic Extra Virgin Olive Oil (+OIL®)
Abstract
1. Introduction
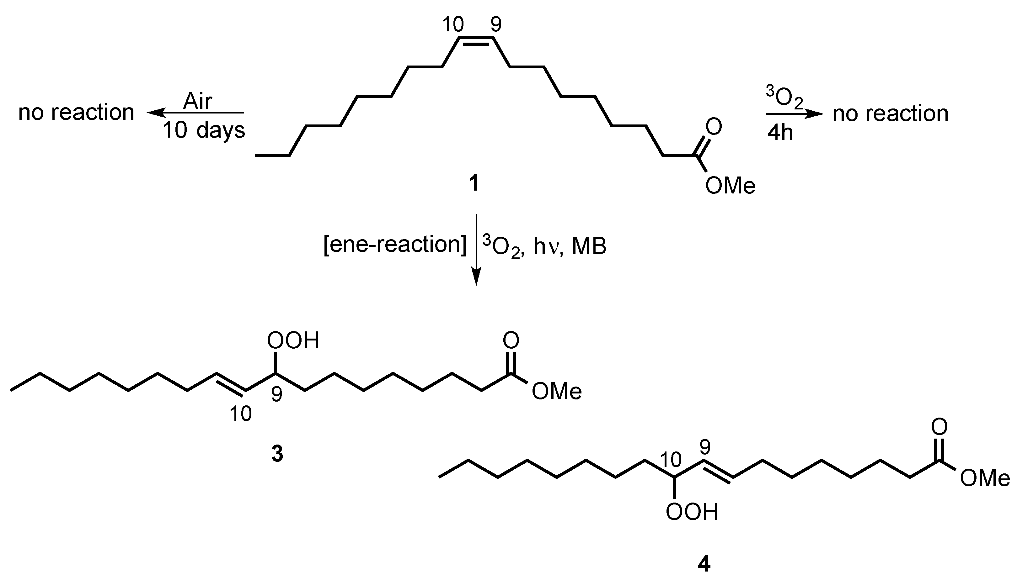
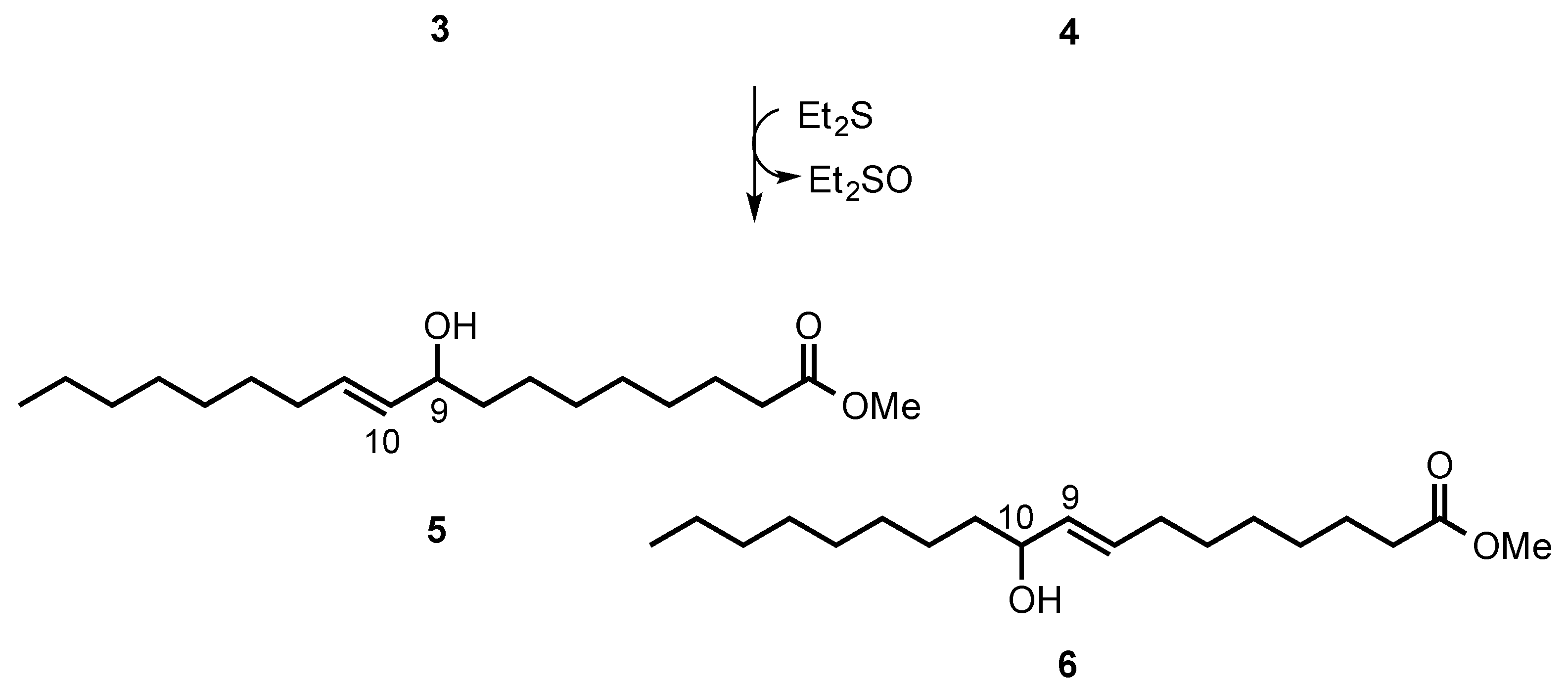
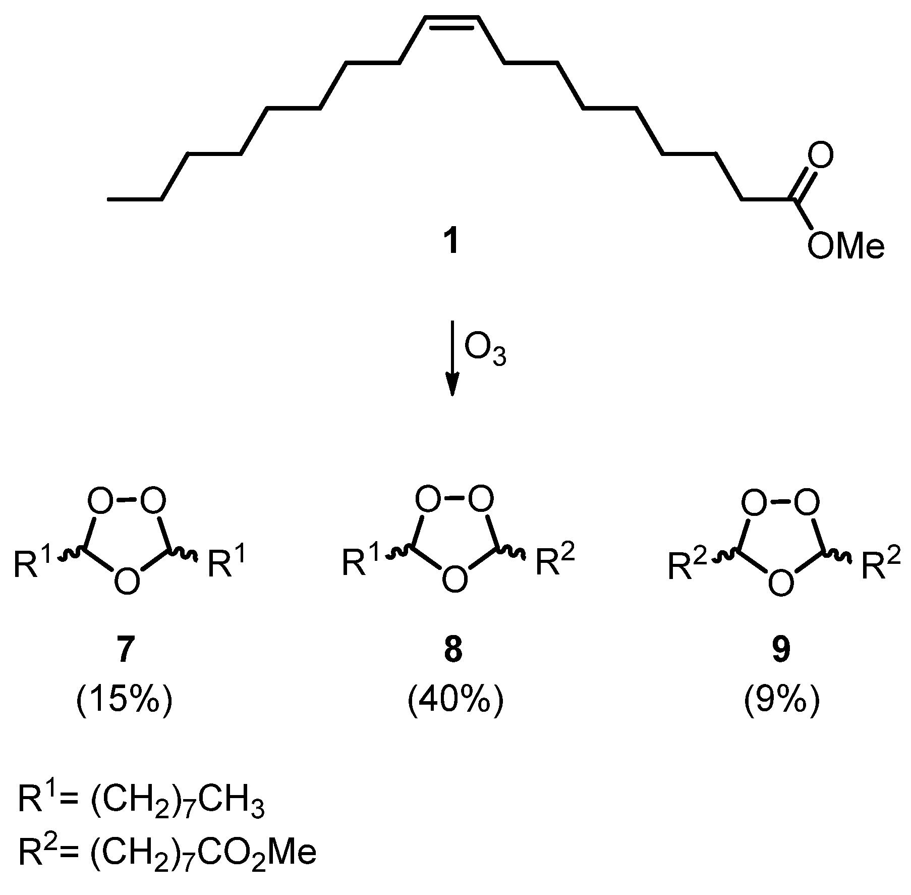
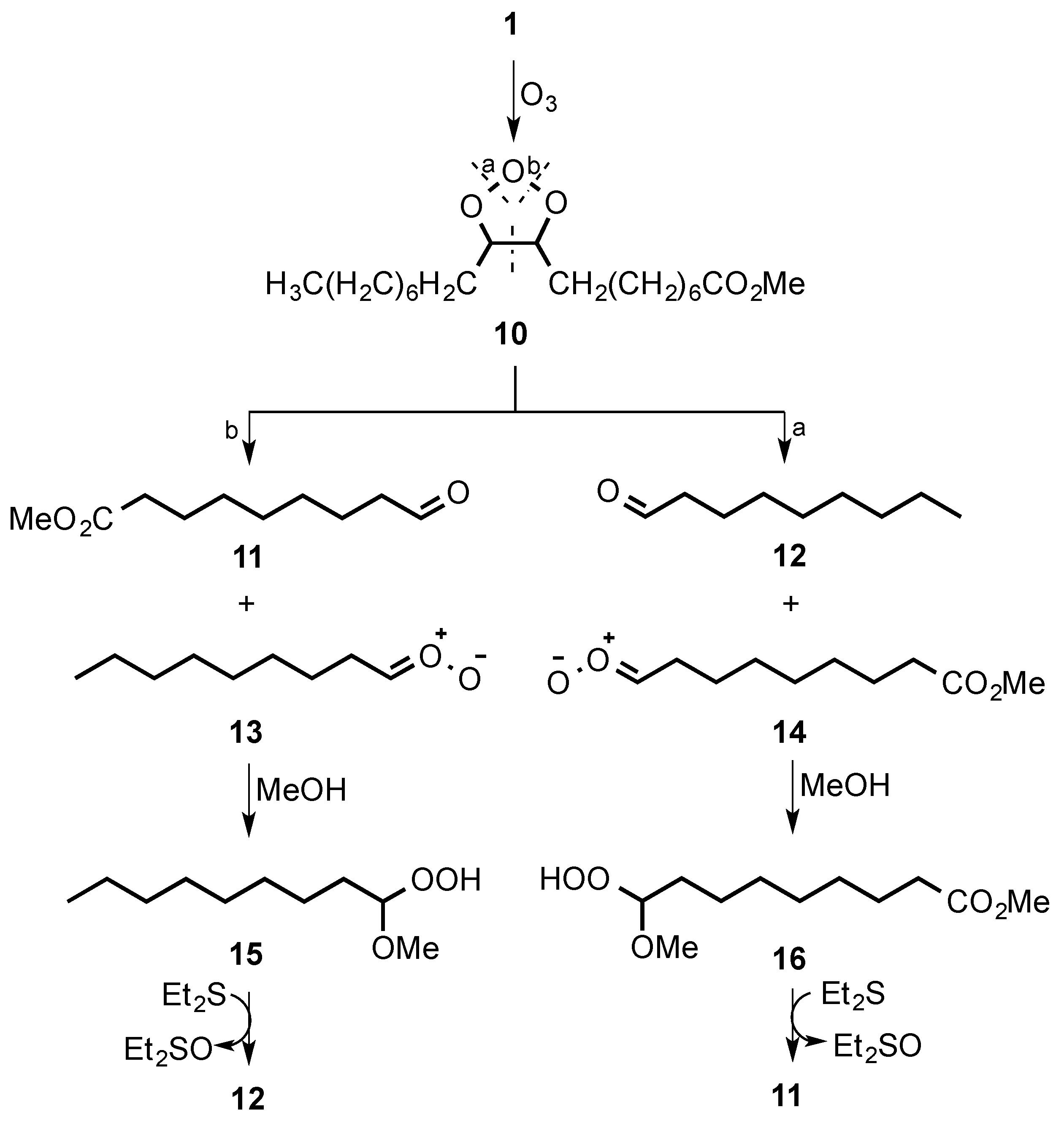
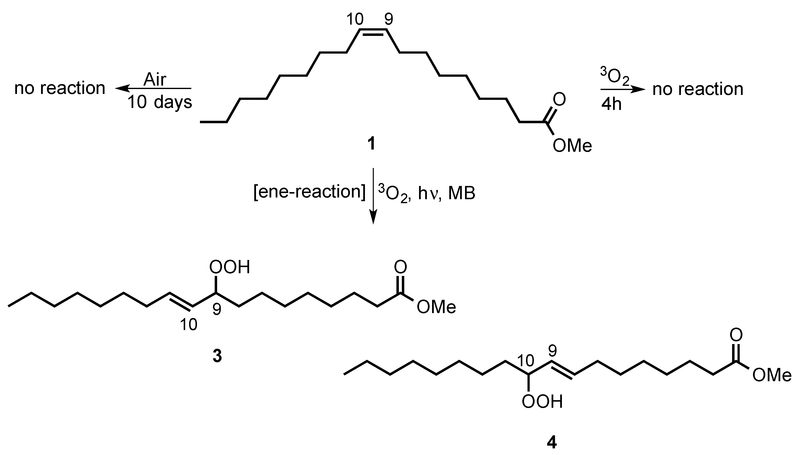
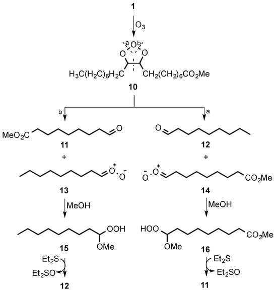
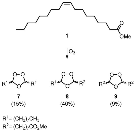
2. Results and Discussion
Single Crystal Structure Analysis
3. Materials and Methods
3.1. General Information
3.2. Treatment of 1 and +OIL with 3O2
3.3. Ene-Reaction of 1
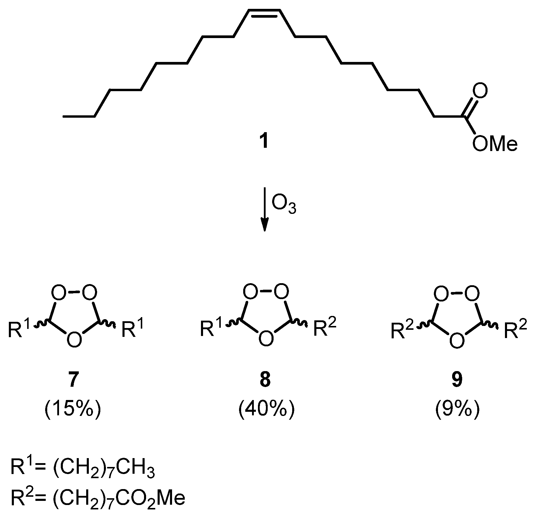
3.4. Ozonolysis of 1
3.5. Ozonolysis of 1 in MeOH
3.6. Ozonolysis of Triolein (2) Followed by Trans-Esterification
3.7. Ozonolysis of +OIL (Synthesis of Ozoile) Followed by Trans-Esterification
3.8. X-Ray Crystallography of trans-9
4. Conclusions
Supplementary Materials
Author Contributions
Funding
Institutional Review Board Statement
Informed Consent Statement
Data Availability Statement
Acknowledgments
Conflicts of Interest
References
- Georgiev, V.; Anachkov, M.; Batakliev, T.; Rakovsky, S. Study on the stoichiometry and reaction products of extra virgin olive oil ozonation. Bulg. Chem. Commun. 2013, 45, 203–207. [Google Scholar]
- Sega, A.; Zanardi, I.; Chiasserini, L.; Gabbrielli, A.; Bocci, V.; Travagli, V. Properties of sesame oil by detailed 1H and 13C NMR assignments before and after ozonation and their correlation with iodine value, peroxide value, and viscosity measurements. Chem. Phys. Lipids 2010, 163, 148–156. [Google Scholar] [CrossRef]
- Sadowska, J.; Johansson, B.; Johannessen, E.; Friman, R.; Broniarz-Press, L.; Rosenholm, J.B. Characterization of ozonated vegetable oils by spectroscopic and chromatographic methods. Chem. Phys. Lipids 2008, 151, 85–91. [Google Scholar] [CrossRef]
- Radzimierska-Kazmierczak, M.; Smigielski, K.; Sikora, M.; Nowak, A.; Plucinska, A.; Kunicka-Styczynska, A.; Czarnecka-Chrebelska, K.H. Olive oil with ozone-modified properties and its application. Molecules 2021, 26, 3074. [Google Scholar] [CrossRef] [PubMed]
- Ugazio, E.; Tullio, V.; Binello, A.; Tagliapietra, S.; Dosio, F. Ozonated oils as antimicrobial systems in topical applications. Their characterization, current applications, and advances in improved delivery techniques. Molecules 2020, 25, 334. [Google Scholar] [CrossRef]
- Martínez-Sanchez, G. Scientific rational for the medical application of ozonized oils, an up-date. Off. J. Aepromo (Span. Assoc. Med. Prof. Ozone Ther.) 2021, 11, 239–272. [Google Scholar]
- Travagli, V.; Zanardi, I.; Valacchi, G.; Bocci, V. Ozone and ozonated oils in skin diseases: A review. Mediat. Inflamm. 2010, 2010, 610418. [Google Scholar] [CrossRef] [PubMed]
- Pfrang, C.; Sebastiani, F.; Lucas, C.O.M.; King, M.D.; Hoare, I.D.; Chang, D.; Campbell, R.A. Ozonolysis of methyl oleate monolayers at the air-water interface: Oxidation kinetics, reaction products and atmospheric implications. Phys. Chem. Chem. Phys. 2014, 16, 13220–13228. [Google Scholar] [CrossRef]
- Wu, M.; Church, D.F.; Mahier, T.J.; Barker, S.A.; Pryor, A. Separation and Spectral Data of the Six Isomeric Ozonides from Methyl Oleate. Lipids 1992, 27, 129–135. [Google Scholar] [CrossRef]
- Pryor, W.A.; Wu, M. Ozonation of Methyl Oleate in Hexane, in a Thin Film, in SDS Micelles, and in Distearoylphosphatidylcholine Liposomes: Yields and Properties of the Criegee Ozonide. Chem. Res. Toxicol. 1992, 5, 505–511. [Google Scholar] [CrossRef]
- Currò, M.; Russo, T.; Ferlazzo, N.; Caccamo, D.; Antonuccio, P.; Arena, S.; Parisi, S.; Perrone, P.; Ientile, R.; Romeo, C.; et al. Anti-inflammatory and tissue regenerative effects of topical treatment with ozonated olive oil/Vitamin E acetate in balanitis xerotica obliterans. Molecules 2018, 23, 645. [Google Scholar] [CrossRef]
- Tasinato, R. Advantages of the Topical Application of Ozoile in the Healing of Venous Ulcers of the Lower Limbs. A Randomized Clinical Study. Biomed. J. Sci. Tech. Res. 2022, 47, 38603–38608. [Google Scholar] [CrossRef]
- Bertuccio, M.P.; Rizzo, V.; Arena, S.; Trainito, A.; Montalto, A.S.; Caccamo, D.; Currò, M.; Romeo, C.; Impellizzeri, P. Ozoile Reduces the LPS-Induced Inflammatory Response in Colonic Epithelial Cells and THP-1 Monocytes. Curr. Issues Mol. Biol. 2023, 45, 1333–1348. [Google Scholar] [CrossRef] [PubMed]
- Saija, C.; Curr, M.; Arena, S.; Bertuccio, M.P.; Cassaro, F.; Montalto, A.S.; Colonna, M.R.; Caccamo, D.; Romeo, C.; Impellizzeri, P. Possible Role of NRF2 in Cell Response to OZOILE (Stable Ozonides) in Children Affected by Lichen Sclerosus of Foreskin. Curr. Issues Mol. Biol. 2024, 46, 9401–9414. [Google Scholar] [CrossRef] [PubMed]
- Russo, T.; Currò, M.; Ferlazzo, N.; Caccamo, D.; Perrone, P.; Arena, S.; Antonelli, E.; Antonuccio, P.; Ientile, R.; Romeo, C.; et al. Stable Ozonides with Vitamin E Acetate versus Corticosteroid in the Treatment of Lichen Sclerosus in Foreskin: Evaluation of Effects on Inflammation. Urol. Int. 2019, 103, 459–465. [Google Scholar] [CrossRef]
- Cermola, F.; Vella, S.; DellaGreca, M.; Tuzi, A.; Iesce, M.R. A one-pot approach to novel pyridazine C-nucleosides. Molecules 2021, 26, 2341. [Google Scholar] [CrossRef]
- Bascetta, E.; Gunstone, F.D. Synthesis of Cyclic Peroxides from Methyl Oleate. J. Chem. Soc. Perkin Trans. I 1984, 2207–2216. [Google Scholar] [CrossRef]
- Iesce, M.R.; Cermola, F. Photooxygenation, [2+2] and [4+2]. In CRC Handbook of Organic Photochemistry and Photobiology; CRC: Boca Raton, FL, USA, 2012; pp. 727–764. [Google Scholar]
- Frankel, E.N.; Garwood, R.F.; Khambay, B.P.S.; Moss, G.P.; Weedon, B.C.L. Stereochemistry of olefin and fatty acid oxidation. Part 3. The allylic hydroperoxides from the autoxidation of methyl oleate. J. Chem. Soc. Perkin Trans. 1 1984, 3, 2233–2240. [Google Scholar] [CrossRef]
- Schwartz, C.; Raible, J.; Mott, K.; Dussault, P.H. Fragmentation of carbonyl oxides by N-oxides: An improved approach to alkene ozonolysis. Org. Lett. 2006, 8, 3199–3201. [Google Scholar] [CrossRef]
- Graziano, M.L.; Lesce, M.R.; Cermola, F.; Giordano, F.; Scarpati, R. Regio- and stereo-selectivity of the first [3 + 2] cycloaddition of carbonyl oxide to electron-poor alkenes. Bidirectionality of the 1,3-dipole. J. Chem. Soc. Chem Commun. 1989, 1608–1610. [Google Scholar] [CrossRef]
- Griesbaum, K.; Mccullough, K.J.; Perner, I.; Quinkert, R.O.; Rosair, G.M. (E)-3,5-dichloro-3,5-bis(chloromethyl)-1,2,4-trioxolane. Acta Crystallogr. Sect. C Cryst. Struct. Commun. 1997, 53, 911–913. [Google Scholar] [CrossRef]
- Bruker Nonius BV. SADABS User Manual; Bruker Nonius BV: Delft, The Netherlands, 2000; pp. 1–8. [Google Scholar]
- Altomare, A.; Burla, M.C.; Camalli, M.; Cascarano, G.L.; Giacovazzo, C.; Guagliardi, A.; Moliterni, A.G.G.; Polidori, G.; Spagna, R. SIR97: A new tool for crystal structure determination and refinement. J. Appl. Crystallogr. 1999, 32, 115–119. [Google Scholar] [CrossRef]
- Sheldrick, G.M. Crystal structure refinement with SHELXL. Acta Crystallogr. Sect. C Struct. Chem. 2015, 71, 3–8. [Google Scholar] [CrossRef]
- Farrugia, L.J. WinGX and ORTEP for Windows: An update. J. Appl. Crystallogr. 2012, 45, 849–854. [Google Scholar] [CrossRef]
- MacRae, C.F.; Sovago, I.; Cottrell, S.J.; Galek, P.T.A.; McCabe, P.; Pidcock, E.; Platings, M.; Shields, G.P.; Stevens, J.S.; Towler, M.; et al. Mercury 4.0: From visualization to analysis, design and prediction. J. Appl. Crystallogr. 2020, 53, 226–235. [Google Scholar] [CrossRef] [PubMed]








Disclaimer/Publisher’s Note: The statements, opinions and data contained in all publications are solely those of the individual author(s) and contributor(s) and not of MDPI and/or the editor(s). MDPI and/or the editor(s) disclaim responsibility for any injury to people or property resulting from any ideas, methods, instructions or products referred to in the content. |
© 2025 by the authors. Licensee MDPI, Basel, Switzerland. This article is an open access article distributed under the terms and conditions of the Creative Commons Attribution (CC BY) license (https://creativecommons.org/licenses/by/4.0/).
Share and Cite
Vella, S.; DellaGreca, M.; Tuzi, A.; Cermola, F. Characterization of Pure Ozonides from Ozonolysis of Oleic Acid Methyl Ester; Use of a Protocol for the Analysis of the Corresponding Stable Ozonides from Triolein and Organic Extra Virgin Olive Oil (+OIL®). Molecules 2025, 30, 507. https://doi.org/10.3390/molecules30030507
Vella S, DellaGreca M, Tuzi A, Cermola F. Characterization of Pure Ozonides from Ozonolysis of Oleic Acid Methyl Ester; Use of a Protocol for the Analysis of the Corresponding Stable Ozonides from Triolein and Organic Extra Virgin Olive Oil (+OIL®). Molecules. 2025; 30(3):507. https://doi.org/10.3390/molecules30030507
Chicago/Turabian StyleVella, Serena, Marina DellaGreca, Angela Tuzi, and Flavio Cermola. 2025. "Characterization of Pure Ozonides from Ozonolysis of Oleic Acid Methyl Ester; Use of a Protocol for the Analysis of the Corresponding Stable Ozonides from Triolein and Organic Extra Virgin Olive Oil (+OIL®)" Molecules 30, no. 3: 507. https://doi.org/10.3390/molecules30030507
APA StyleVella, S., DellaGreca, M., Tuzi, A., & Cermola, F. (2025). Characterization of Pure Ozonides from Ozonolysis of Oleic Acid Methyl Ester; Use of a Protocol for the Analysis of the Corresponding Stable Ozonides from Triolein and Organic Extra Virgin Olive Oil (+OIL®). Molecules, 30(3), 507. https://doi.org/10.3390/molecules30030507

