Sign in to use this feature.

Years

Between: -

Subjects

remove_circle_outline
remove_circle_outline
remove_circle_outline
remove_circle_outline
remove_circle_outline
remove_circle_outline
remove_circle_outline
remove_circle_outline
remove_circle_outline

Journals

Article Types

Countries / Regions

Search Results (16)

Search Parameters:
Keywords = outdoor movement education

Order results
Result details
Results per page
Select all
Export citation of selected articles as:
22 pages, 8968 KB  
Article
A Comparative Study of Authoring Performances Between In-Situ Mobile and Desktop Tools for Outdoor Location-Based Augmented Reality
by Komang Candra Brata, Nobuo Funabiki, Htoo Htoo Sandi Kyaw, Prismahardi Aji Riyantoko, Noprianto and Mustika Mentari
Information 2025, 16(10), 908; https://doi.org/10.3390/info16100908 - 16 Oct 2025
Viewed by 768
Abstract
In recent years, Location-Based Augmented Reality (LAR) systems have been increasingly implemented in various applications for tourism, navigation, education, and entertainment. Unfortunately, the LAR content creation using conventional desktop-based authoring tools has become a bottleneck, as it requires time-consuming and skilled work. Previously, [...] Read more.
In recent years, Location-Based Augmented Reality (LAR) systems have been increasingly implemented in various applications for tourism, navigation, education, and entertainment. Unfortunately, the LAR content creation using conventional desktop-based authoring tools has become a bottleneck, as it requires time-consuming and skilled work. Previously, we proposed an in-situ mobile authoring tool as an efficient solution to this problem by offering direct authoring interactions in real-world environments using a smartphone. Currently, the evaluation through the comparison between the proposal and conventional ones is not sufficient to show superiority, particularly in terms of interaction, authoring performance, and cognitive workload, where our tool uses 6DoF device movement for spatial input, while desktop ones rely on mouse-pointing. In this paper, we present a comparative study of authoring performances between the tools across three authoring phases: (1) Point of Interest (POI) location acquisition, (2) AR object creation, and (3) AR object registration. For the conventional tool, we adopt Unity and ARCore SDK. As a real-world application, we target the LAR content creation for pedestrian landmark annotation across campus environments at Okayama University, Japan, and Brawijaya University, Indonesia, and identify task-level bottlenecks in both tools. In our experiments, we asked 20 participants aged 22 to 35 with different LAR development experiences to complete equivalent authoring tasks in an outdoor campus environment, creating various LAR contents. We measured task completion time, phase-wise contribution, and cognitive workload using NASA-TLX. The results show that our tool made faster creations with 60% lower cognitive loads, where the desktop tool required higher mental efforts with manual data input and object verifications. Full article
(This article belongs to the Section Information Applications)
Show Figures

Figure 1

14 pages, 248 KB  
Article
Thinking, Feeling, and Moving in Kindergarten Children: How Motor Competence Shapes Executive Function Skills and Emotion Comprehension in Girls
by Elena A. Chichinina, Aleksander N. Veraksa, Olga V. Almazova and Linda S. Pagani
Children 2025, 12(10), 1381; https://doi.org/10.3390/children12101381 - 13 Oct 2025
Viewed by 814
Abstract
Background/Objectives: Increased screen time partially replaces social interaction, physical activity, and outdoor play in kindergarten children, leading to a risk of decreased cognitive, emotional, and motor skills. Children with high motor skills are more likely to have access to challenging joint activities [...] Read more.
Background/Objectives: Increased screen time partially replaces social interaction, physical activity, and outdoor play in kindergarten children, leading to a risk of decreased cognitive, emotional, and motor skills. Children with high motor skills are more likely to have access to challenging joint activities that promote their cognitive and emotional development. This study examines the moderating role of motor competence in the relationship between executive function skills and emotion comprehension. Methods: A sample of 220 kindergarten children (101 girls, 119 boys) completed the NEPSY-II subtests and the ‘Dimensional Change Card Sort’ tool for executive function skills assessment, the Movement Assessment Battery for Children—Second Edition (MABC-2) for motor competence, and the Test of Emotion Comprehension (TEC) for emotion comprehension. Executive function skills and motor competence were assessed when children were in their penultimate year of kindergarten (children were aged on average 5 years 10 months), and emotion comprehension was assessed one year later, when children were in their final year of kindergarten. When children were in their penultimate year of kindergarten, caregivers also reported on children’s passive and active screen time, maternal education, and family income, which were used as control variables. Results: For girls, motor competence moderated the relationship between cognitive flexibility and later emotion comprehension. High motor competence amplified this relationship (B = 0.171; SE = 0.066; 95% CI [0.041, 0.302]; p = 0.011). For boys, there were no significant moderation effects. Conclusions: High motor competence can improve emotion comprehension in kindergarten girls. Emotional development may benefit from effective shared motor interventions for children. Full article
(This article belongs to the Special Issue Physical and Motor Development in Children)
31 pages, 20980 KB  
Article
A Novel Method for Virtual Real-Time Cumuliform Fluid Dynamics Simulation Using Deep Recurrent Neural Networks
by Carlos Jiménez de Parga, Sergio Calo, José Manuel Cuadra, Ángel M. García-Vico and Rafael Pastor Vargas
Mathematics 2025, 13(17), 2746; https://doi.org/10.3390/math13172746 - 26 Aug 2025
Viewed by 1646
Abstract
The real-time simulation of atmospheric clouds for the visualisation of outdoor scenarios has been a computer graphics research challenge since the emergence of the natural phenomena rendering field in the 1980s. In this work, we present an innovative method for real-time cumuli movement [...] Read more.
The real-time simulation of atmospheric clouds for the visualisation of outdoor scenarios has been a computer graphics research challenge since the emergence of the natural phenomena rendering field in the 1980s. In this work, we present an innovative method for real-time cumuli movement and transition based on a Recurrent Neural Network (RNN). Specifically, an LSTM, a GRU and an Elman RNN network are trained on time-series data generated by a parallel Navier–Stokes fluid solver. The training process optimizes the network to predict the velocity of cloud particles for the subsequent time step, allowing the model to act as a computationally efficient surrogate for the full physics simulation. In the experiments, we obtained natural-looking behaviour for cumuli evolution and dissipation with excellent performance by the RNN fluid algorithm compared with that of classical finite-element computational solvers. These experiments prove the suitability of our ontogenetic computational model in terms of achieving an optimum balance between natural-looking realism and performance in opposition to computationally expensive hyper-realistic fluid dynamics simulations which are usually in non-real time. Therefore, the core contributions of our research to the state of the art in cloud dynamics are the following: a progressively improved real-time step of the RNN-LSTM fluid algorithm compared to the previous literature to date by outperforming the inference times during the runtime cumuli animation in the analysed hardware, the absence of spatial grid bounds and the replacement of fluid dynamics equation solving with the RNN. As a consequence, this method is applicable in flight simulation systems, climate awareness educational tools, atmospheric simulations, nature-based video games and architectural software. Full article
(This article belongs to the Special Issue Mathematical Applications in Computer Graphics)
Show Figures

Figure 1

22 pages, 658 KB  
Article
Unveiling Key Factors in Child Development: From Breastfeeding to Teachers’ Care in Brazilian Early Childcare Centers
by Alessandra Bombarda Müller, Helena Cristina V. S. Vieira, Carolina Panceri, Glauber Carvalho Nobre and Nadia Cristina Valentini
Int. J. Environ. Res. Public Health 2025, 22(7), 1158; https://doi.org/10.3390/ijerph22071158 - 21 Jul 2025
Viewed by 1341
Abstract
This study aimed to compare cognitive, language, and motor development outcomes among children attending public and private Early Childcare Centers (ECCs), considering birth factors and family and daycare environments. Additionally, it examined the proximal and distal factors influencing children’s development. Cognitive, language, and [...] Read more.
This study aimed to compare cognitive, language, and motor development outcomes among children attending public and private Early Childcare Centers (ECCs), considering birth factors and family and daycare environments. Additionally, it examined the proximal and distal factors influencing children’s development. Cognitive, language, and motor skills were assessed in the children, along with evaluations of ECC quality, teacher practices, and knowledge of child development. Results indicated that children enrolled in public ECCs achieved higher scores in cognitive and language development, despite coming from families with lower socioeconomic status and having lower birth weights. They also benefited from longer periods of breastfeeding. Teachers in public ECCs demonstrated greater daily practices, providing enhanced movement opportunities for children. Private ECCs offered more suitable outdoor spaces, whereas public ECCs had better indoor spaces. Regression analysis revealed that daily practice, teachers’ experience, and the availability of gross motor toys explained 41% of the variance in motor development. The duration of breastfeeding explained 24% of the variance in cognitive development. Teachers’ knowledge about children’s development and attendance at public ECCs explained 31% of the variance in language development. These findings underscore the importance of prioritizing teacher education in both public and private ECCs to optimize children’s overall development. Full article
Show Figures

Figure 1

13 pages, 839 KB  
Perspective
Inclusion in Motion: Promoting Equitable Physical Activity and Health in Childhood and Adolescence
by Vidar Sandsaunet Ulset, Luca Oppici, Karin Hamre, James Robert Rudd, Annett Victoria Stornæs, Heidi Marian Haraldsen and Reidar Säfvenbom
Children 2025, 12(7), 942; https://doi.org/10.3390/children12070942 - 17 Jul 2025
Cited by 1 | Viewed by 1684
Abstract
Inclusion in play, physical education, outdoor life, organized sports, and other movement-based activities can promote resilience and support physical, emotional, and social well-being. These arenas are particularly important for reducing health disparities and preventing social marginalization across the lifespan. Yet, children and adolescents [...] Read more.
Inclusion in play, physical education, outdoor life, organized sports, and other movement-based activities can promote resilience and support physical, emotional, and social well-being. These arenas are particularly important for reducing health disparities and preventing social marginalization across the lifespan. Yet, children and adolescents from vulnerable or disadvantaged backgrounds encounter persistent barriers to participation, rooted in broader inequalities related to their socioeconomic position, disability, gender, ethnicity, and access to supportive environments. This perspective outlines how inclusive movement contexts, when informed by developmental systems theory and resilience frameworks, can interrupt trajectories of marginalization and promote long-term equity in health, education, and work inclusion. We emphasize the need for interdisciplinary approaches, combining longitudinal and qualitative methods, to uncover how vulnerability and participation interact dynamically over time. By integrating insights from developmental science, education, public health, and spatial ecology, we identify strategic pathways for research and action. Addressing these challenges requires coordinated efforts across sectors and stakeholders to co-create inclusive, context-sensitive interventions. Full article
(This article belongs to the Special Issue Promoting Healthy Lifestyles in Children and Adolescents)
Show Figures

Figure 1

33 pages, 129733 KB  
Article
Mindful Architecture from Text-to-Image AI Perspectives: A Case Study of DALL-E, Midjourney, and Stable Diffusion
by Chaniporn Thampanichwat, Tarid Wongvorachan, Limpasilp Sirisakdi, Pornteera Chunhajinda, Suphat Bunyarittikit and Rungroj Wongmahasiri
Buildings 2025, 15(6), 972; https://doi.org/10.3390/buildings15060972 - 19 Mar 2025
Cited by 17 | Viewed by 10956
Abstract
Mindful architecture is poised to foster sustainable behavior and simultaneously mitigate the physical and mental health challenges arising from the impacts of global warming. Previous studies demonstrate that a substantial educational gap persists between architecture and mindfulness. However, recent advancements in text-to-image AI [...] Read more.
Mindful architecture is poised to foster sustainable behavior and simultaneously mitigate the physical and mental health challenges arising from the impacts of global warming. Previous studies demonstrate that a substantial educational gap persists between architecture and mindfulness. However, recent advancements in text-to-image AI have begun to play a significant role in generating conceptual architectural imagery, enabling architects to articulate their ideas better. This study employs DALL-E, Midjourney, and Stable Diffusion—popular tools in the field—to generate imagery of mindful architecture. Subsequently, the architects decoded the architectural characteristics in the images into words. These words were then analyzed using natural language processing techniques, including Word Cloud Generation, Word Frequency Analysis, and Topic Modeling Analysis. Research findings conclude that mindful architecture from text-to-image AI perspectives consistently features structured lines with sharp edges, prioritizes openness with indoor–outdoor spaces, employs both horizontal and vertical movement, utilizes natural lighting and earth-tone colors, incorporates wood, stone, and glass elements, and emphasizes views of serene green spaces—creating environments characterized by gentle natural sounds and calm atmospheric qualities. DALL-E is the text-to-image AI that provides the most detailed representation of mindful architecture. Full article
(This article belongs to the Section Architectural Design, Urban Science, and Real Estate)
Show Figures

Figure 1

21 pages, 19127 KB  
Article
Enhancing Social Qualities in University Campus Outdoor Spaces through Islamic Spatial Configurations: The Case of the American University in Cairo
by Kamel I. Abu Elkhair, Alaa ElDin Nagy Sarhan and Amr A. Bayoumi
Buildings 2023, 13(5), 1179; https://doi.org/10.3390/buildings13051179 - 29 Apr 2023
Cited by 7 | Viewed by 9234
Abstract
Universities are under more pressure than ever before to attract more students and move up in rankings. Due to bounded space and rising plot values in city areas, a spatial configuration that meets user needs has become a very important topic for well-prepared [...] Read more.
Universities are under more pressure than ever before to attract more students and move up in rankings. Due to bounded space and rising plot values in city areas, a spatial configuration that meets user needs has become a very important topic for well-prepared and spatially suitable educational settings. However, today there is a rapid pace in the establishment of universities in Egypt. Insufficient use of university campus outdoor spaces (UCOS) is considered one of the main negative impacts on social quality in these universities in Egypt. This study aims to evaluate the social qualities according to the Islamic spatial configurations of UCOS in The American University in Cairo (AUC). The research is based on using integrated observational and computational methods in different UCOS. Observational methods are applied through behavioral mapping and movement tracing. Computational methods are applied through space syntax software. The AUC campus is selected as a case study because its design is based on different types of UCOS. The methodology follows three successive steps. Firstly, a field observation of the most used UCOS was undertaken. Secondly, a spatial analysis examining the potential effect of the campus spatial configuration was conducted. Finally, a comparative analytical approach that illustrates the relationship between Islamic spatial configurations of UCOS and activity categories according to user behaviors was taken. The research shows the considered types of UCOS and their ranking according to the observational and computational methods that achieve the highest values for social qualities. Full article
(This article belongs to the Section Architectural Design, Urban Science, and Real Estate)
Show Figures

Figure 1

24 pages, 743 KB  
Systematic Review
Indoor Air Pollution and the Health of Vulnerable Groups: A Systematic Review Focused on Particulate Matter (PM), Volatile Organic Compounds (VOCs) and Their Effects on Children and People with Pre-Existing Lung Disease
by Tun Z. Maung, Jack E. Bishop, Eleanor Holt, Alice M. Turner and Christian Pfrang
Int. J. Environ. Res. Public Health 2022, 19(14), 8752; https://doi.org/10.3390/ijerph19148752 - 19 Jul 2022
Cited by 236 | Viewed by 24311
Abstract
Air pollution affects health, but much of the focus to this point has been on outdoor air. Higher indoor pollution is anticipated due to increasingly energy-efficient and less leaky buildings together with more indoor activities. Studies of indoor air pollution focusing on children [...] Read more.
Air pollution affects health, but much of the focus to this point has been on outdoor air. Higher indoor pollution is anticipated due to increasingly energy-efficient and less leaky buildings together with more indoor activities. Studies of indoor air pollution focusing on children and people with respiratory disease from the database Web of Science (1991–2021) were systemically reviewed according to the PRISMA guidelines, with 69 studies included in the final selection. Emissions from building materials affected indoor air quality, and ventilation also had an influence. The main indoor air pollutants are Volatile Organic Compounds (VOCs) and Particulate Matter (PM). PM sources included smoking, cooking, heating, candles, and insecticides, whereas sources of coarse particles were pets, housework and human movements. VOC sources included household products, cleaning agents, glue, personal care products, building materials and vehicle emissions. Formaldehyde levels were particularly high in new houses. Personal exposure related to both indoor and outdoor pollutant levels, highlighting home characteristics and air exchange rates as important factors. Temperature, humidity, educational level, air purifiers and time near sources were also related to personal exposure. There was an association between PM and Fractional exhaled Nitric Oxide (FeNO), lung function, oxygen saturation, childhood asthma and symptoms of chronic obstructive pulmonary disease (COPD) patients. High VOCs were associated with upper airways and asthma symptoms and cancer. Effective interventional studies for PM in the future might focus on human behavior together with air purifiers and increased ventilation, whereas VOC interventions might center more on building materials and household products, alongside purification and ventilation. Full article
Show Figures

Figure 1

21 pages, 11037 KB  
Article
Positioning of Quadruped Robot Based on Tightly Coupled LiDAR Vision Inertial Odometer
by Fangzheng Gao, Wenjun Tang, Jiacai Huang and Haiyang Chen
Remote Sens. 2022, 14(12), 2945; https://doi.org/10.3390/rs14122945 - 20 Jun 2022
Cited by 12 | Viewed by 5066
Abstract
Quadruped robots, an important class of unmanned aerial vehicles, have broad potential for applications in education, service, industry, military, and other fields. Their independent positioning plays a key role for completing assigned tasks in a complex environment. However, positioning based on global navigation [...] Read more.
Quadruped robots, an important class of unmanned aerial vehicles, have broad potential for applications in education, service, industry, military, and other fields. Their independent positioning plays a key role for completing assigned tasks in a complex environment. However, positioning based on global navigation satellite systems (GNSS) may result in GNSS jamming and quadruped robots not operating properly in environments sheltered by buildings. In this paper, a tightly coupled LiDAR vision inertial odometer (LVIO) is proposed to address the positioning inaccuracy of quadruped robots, which have poor mileage information obtained though legs and feet structures only. With this optimization method, the point cloud data obtained by 3D LiDAR, the image feature information obtained by binocular vision, and the IMU inertial data are combined to improve the precise indoor and outdoor positioning of a quadruped robot. This method reduces the errors caused by the uniform motion model in laser odometer as well as the image blur caused by rapid movements of the robot, which can lead to error-matching in a dynamic scene; at the same time, it alleviates the impact of drift on inertial measurements. Finally, the quadruped robot in the laboratory is used to build a physical platform for verification. The experimental results show that the designed LVIO effectively realizes the positioning of four groups of robots with high precision and strong robustness, both indoors or outdoors, which verify the feasibility and effectiveness of the proposed method. Full article
(This article belongs to the Special Issue UAV Positioning: From Ground to Sky)
Show Figures

Figure 1

17 pages, 987 KB  
Article
Sustainable Development Perspectives in Physical Education Teacher Education Course Syllabi: An Analysis of Learning Outcomes
by Andreas Fröberg and Suzanne Lundvall
Sustainability 2022, 14(10), 5955; https://doi.org/10.3390/su14105955 - 13 May 2022
Cited by 32 | Viewed by 5949
Abstract
Although school education, including the subject of physical education (PE), has the potential to contribute to the visions set out by the 2030 Agenda and its sustainable development goals (SDGs), little attention has been directed towards sustainable development perspectives in PE teacher education [...] Read more.
Although school education, including the subject of physical education (PE), has the potential to contribute to the visions set out by the 2030 Agenda and its sustainable development goals (SDGs), little attention has been directed towards sustainable development perspectives in PE teacher education (PETE). In this explorative paper, we aimed to investigate how sustainable development perspectives are reflected in Swedish PETE course syllabi, focusing on learning outcomes. The source of data was 496 learning outcomes retrieved from PETE course syllabi at the eight Swedish PETE institutions that examine PE teachers for compulsory school grades 7−9 and upper secondary school. A qualitative thematical analysis was performed, and two educational resources developed to support how to use education in achieving SDGs were used as a guiding framework. The findings show eight learning outcomes (<2%) explicitly related to sustainable development perspectives. We found these learning outcomes in courses dealing with outdoor education, movement and health didactics, and work environment and ergonomics. Our further analysis suggests that 37 learning objectives (19% as cognitive, 43% as socio-emotional, and 38% as behavioural) and 31 competencies (35% within knowledge and understanding, 32% within skills and applications, and 32% within values and attributes) could be linked to our themes of learning outcomes. These learning objectives and competencies of the SDGs were for good health and well-being, quality education, gender equality, reduced inequalities, peace, justice, and strong institutions. The main findings signal a possibility to work with the conceptualisation of sustainable development perspectives and SDGs in PETE. PETE educators should be encouraged to critically reflect on what it can mean to include sustainable development perspectives in PETE course syllabi. Full article
(This article belongs to the Special Issue Physical Education for Sustainability: Policy and Practice)
Show Figures

Figure 1

13 pages, 362 KB  
Article
Early Care and Education Center Environmental Factors Associated with Product- and Process-Based Locomotor Outcomes in Preschool-Age Children
by Jacob Szeszulski, Elizabeth Lorenzo, Michael Todd, Teresia M. O’Connor, Jennie Hill, Gabriel Q. Shaibi, Sonia Vega-López, Matthew P. Buman, Steven P. Hooker and Rebecca E. Lee
Int. J. Environ. Res. Public Health 2022, 19(4), 2208; https://doi.org/10.3390/ijerph19042208 - 15 Feb 2022
Cited by 7 | Viewed by 2970
Abstract
Environmental characteristics of early care and education centers (ECECs) are an important context for preschool-aged children’s development, but few studies have examined their relationship with children’s locomotor skills. We examined the association between characteristics of the ECEC environment with quantitatively (i.e., product-based) and [...] Read more.
Environmental characteristics of early care and education centers (ECECs) are an important context for preschool-aged children’s development, but few studies have examined their relationship with children’s locomotor skills. We examined the association between characteristics of the ECEC environment with quantitatively (i.e., product-based) and qualitatively (i.e., process-based) measured locomotor skills, using the Progressive Aerobic Cardiovascular Endurance Run (PACER) and the locomotor portion of the Children’s Activity and Movement in Preschool Study (CHAMPS) motor skills protocol (CMSP), respectively. ECEC characteristics included outdoor and indoor play environment quality, outdoor and indoor play equipment, screen-time environment quality, and policy environment quality. Mean (SD) scores for the PACER (n = 142) and CSMP (n = 91) were 3.7 ± 2.3 laps and 19.0 ± 5.5 criteria, respectively, which were moderately correlated with each other (Pearson r = 0.5; p < 0.001). Linear regression models revelated that a better policy environment score was associated with fewer PACER laps. Better outdoor play and screen-time environment quality scores and more outdoor play equipment were positively associated with higher CMSP scores. ECEC environments that reflect best practice guidelines may be opportunities for locomotor skills development in preschool-aged children. ClinicalTrials.gov Identifier: NCT03261492 (8/25/17). Full article
11 pages, 821 KB  
Review
Methodological Considerations for Movement Education Interventions in Natural Environments for Primary School Children: A Scoping Review
by Luca Petrigna, Ewan Thomas, Antonino Scardina, Federica Rizzo, Jessica Brusa, Giovanni Camarazza, Claudia Galassi, Antonio Palma and Marianna Bellafiore
Int. J. Environ. Res. Public Health 2022, 19(3), 1505; https://doi.org/10.3390/ijerph19031505 - 28 Jan 2022
Cited by 6 | Viewed by 3817
Abstract
Background: Education is the ideal setting for carrying out projects to improve primary students’ capacities. In recent years, interventions in natural environments have been more frequently proposed, but there is still a lack of standardization, making deeper study of the topic necessary. This [...] Read more.
Background: Education is the ideal setting for carrying out projects to improve primary students’ capacities. In recent years, interventions in natural environments have been more frequently proposed, but there is still a lack of standardization, making deeper study of the topic necessary. This review aims to report on what previous scientific research has been carried out, and eventually, to propose standard operating procedures for future interventions. Methods: This is a scoping review that adopted the PRISMA guidelines. Primary school children have been included, and the interventions had to be proposed adopting nature as the primary element of the learning process. Results: A total of 19 studies have been included, and a wide range of methodological differences has been detected regarding the included intervention protocols. Conclusions: Learning in nature is a feasible intervention that, despite the high heterogeneity of interventions, demonstrates positive outcomes in the learning sphere of children. Full article
(This article belongs to the Special Issue Promoting Physical Activity in and through Schools)
Show Figures

Figure 1

19 pages, 956 KB  
Article
Outdoor Playground Design Criteria Development for Early Childhood Development: A Delphi Study from the Perspective of Fundamental Movement Skills and Perceptual-Motor Skills
by Heejun Jeon and Sunhye Jun
Int. J. Environ. Res. Public Health 2021, 18(8), 4159; https://doi.org/10.3390/ijerph18084159 - 14 Apr 2021
Cited by 13 | Viewed by 6799
Abstract
The purpose of this research is to discover adequate and environmental outdoor playground design criteria based on the collected opinions of experts. Taking the case of South Korea into account, this research focuses on the development of a new outdoor playground design criteria [...] Read more.
The purpose of this research is to discover adequate and environmental outdoor playground design criteria based on the collected opinions of experts. Taking the case of South Korea into account, this research focuses on the development of a new outdoor playground design criteria that could offset the limited motor activities and environmental use which has been restricted by the current regulations. In particular, this research approaches the issue from the perspective of children’s fundamental movement skills and the development of their perceptual-motor abilities. The research conducted three rounds of a Delphi survey and held a consensus of experts in child development, child physical education, and playground designs. The research achieved results defining 9 categories and 23 items within the categories of design criteria for outdoor playgrounds. Significantly, the discussions were not limited to children’s holistic development—from motor and physical development to attaining mental, social, and cognitive skills—but also included discussions of children’s dynamic interaction with the surrounding nature and environment, especially in challenge making and risk taking. Full article
Show Figures

Figure 1

32 pages, 6389 KB  
Article
Assessment of Citizens’ Actions against Light Pollution with Guidelines for Future Initiatives
by Karolina M. Zielińska-Dabkowska, Kyra Xavia and Katarzyna Bobkowska
Sustainability 2020, 12(12), 4997; https://doi.org/10.3390/su12124997 - 18 Jun 2020
Cited by 56 | Viewed by 16509
Abstract
Due to the wide reach of media reports about scientific research and technological tools such as the world wide web (WWW), the Internet, and web browsers, citizens today have access to factual information about the negative impact of artificial light at night (ALAN) [...] Read more.
Due to the wide reach of media reports about scientific research and technological tools such as the world wide web (WWW), the Internet, and web browsers, citizens today have access to factual information about the negative impact of artificial light at night (ALAN) on their dark skies, and their health and well-being. This means they can now make educated decisions and take the necessary steps to help protect themselves and their communities from disruptive light pollution. Whilst this action is positive and welcomed, unfortunately, according to collected data, not all such initiatives have been successful. Although our understanding of this groundswell movement is deepening, further studies are required to complete a worldwide picture of the current situation. This paper therefore investigates the various actions taken by citizens, as well as the challenges, methods, and tools involved, regarding good practices initiated by grass roots activism on how to reduce existing and potential light pollution. The results of a comparative analysis of 262 international case studies (lawsuits and online petitions) reveal that, since the 1990s, there has been an increase in the number of legal cases related to light pollution due to the rise in public awareness, the availability of scientific knowledge via the Internet, and the ability to take accurate lighting measurements and perform lighting simulations. Also, in the last decade a new tool for digital participation in the form of online petitions has established a new movement of citizen action to mitigate the effects of light pollution. Based on this information, a seven-step framework involving recommendations for citizen action has been developed. It is expected that this new knowledge will benefit those citizens planning future efforts involving the development, implementation, and monitoring processes of outdoor lighting. Additionally, it might support the evolution of planning and policy approaches that are sustainable and necessary to improve the application and installation of ecologically/biologically responsible illumination for towns, cities, and natural habitats. Full article
Show Figures

Figure 1

13 pages, 1011 KB  
Article
The Effects of the PLAYTOD Program on Children’s Physical Activity at Preschool Playgrounds in a Deprived Urban Area: A Randomized Controlled Trial
by Nicole Toussaint, Martinette T. Streppel, Sandra Mul, Ruben G. Fukkink, Peter J.M. Weijs and Mirka Janssen
Int. J. Environ. Res. Public Health 2020, 17(1), 329; https://doi.org/10.3390/ijerph17010329 - 3 Jan 2020
Cited by 8 | Viewed by 5650
Abstract
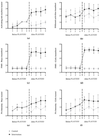
Interventions to improve children’s physical activity in Early Childhood Education and Care (ECEC) settings are needed. This randomized controlled trial examines the effects of a preschool-based playground program for ECEC teachers in a deprived urban area. On intervention preschools, the PLAYgrounds for TODdlers [...] Read more.
Interventions to improve children’s physical activity in Early Childhood Education and Care (ECEC) settings are needed. This randomized controlled trial examines the effects of a preschool-based playground program for ECEC teachers in a deprived urban area. On intervention preschools, the PLAYgrounds for TODdlers program (PLAYTOD) was performed. It focused on teacher’s knowledge and skills in order to create a challenging outdoor environment in which young children (2.5 to 4 years old) are able to practice their motor skills. Observations were performed before and after the program with a modified version of the SOPLAY protocol. The activating role of teachers (score from 0 = inactive to 4 = participating), the number of different physical activities, and the quality of children’s physical activity on playgrounds were observed. The latter included the number of performed fundamental movement skills and the estimated physical activity intensity (score from 0 = sedentary to 3 = vigorous). Descriptive statistics and linear regression analyses were used to evaluate the effects of PLAYTOD. After the program, the activating role of teachers on intervention playgrounds improved. Moreover, the program and consecutively the changes made by teachers had a positive effect on the number of different activities and the quality of children’s physical activity. The results emphasize an important role for ECEC teachers in improving physical activity in young children. Full article
Show Figures

Figure 1

Back to TopTop