The Effects of the PLAYTOD Program on Children’s Physical Activity at Preschool Playgrounds in a Deprived Urban Area: A Randomized Controlled Trial
Abstract
1. Introduction
2. Materials and Methods
2.1. Study Design and Setting
2.2. Intervention
2.3. Observations
2.4. Statistical Analyses
3. Results
3.1. Study Sample
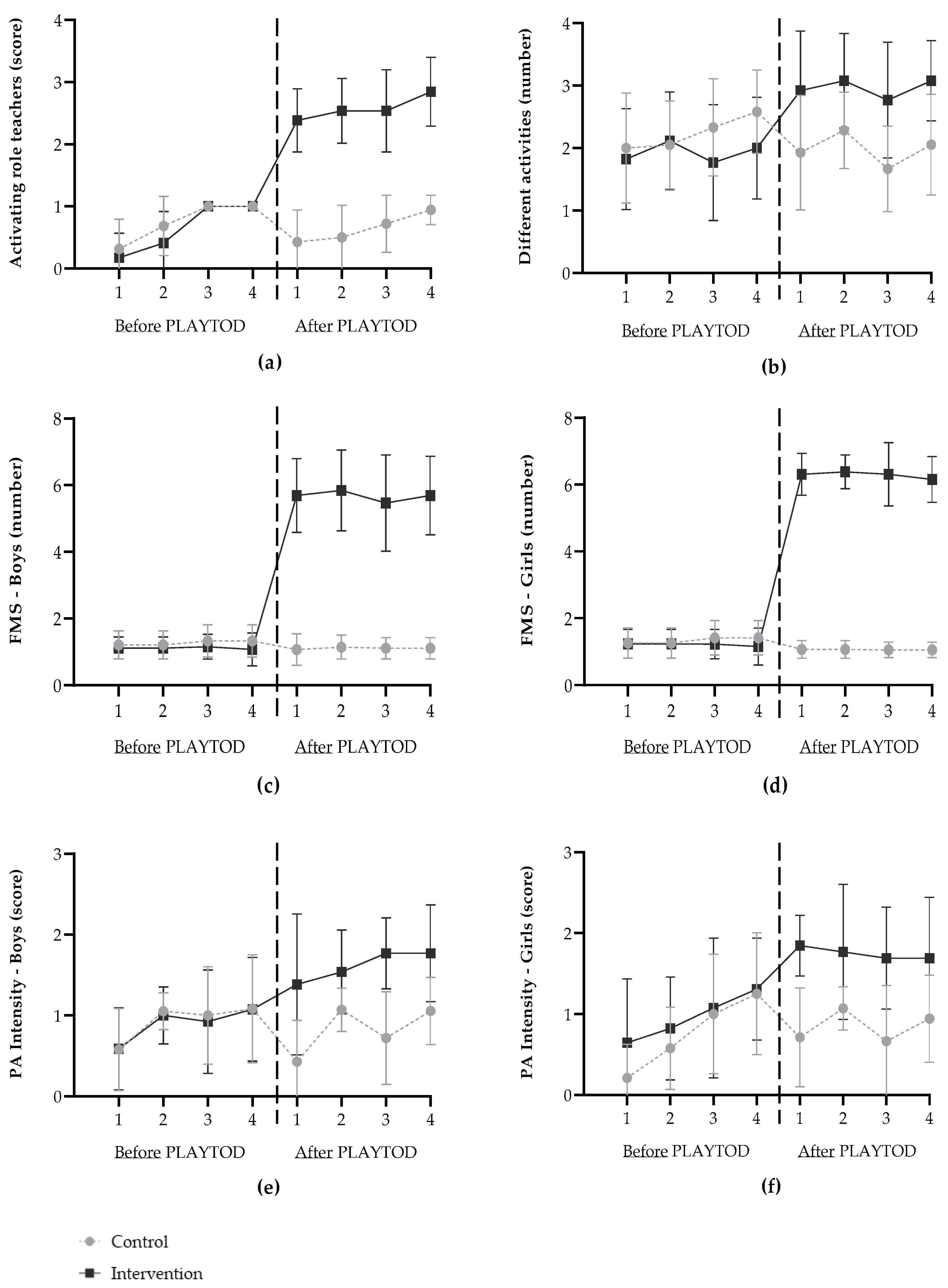
3.2. Intervention Effects
4. Discussion
5. Conclusions
Author Contributions
Funding
Acknowledgments
Conflicts of Interest
References
- World Health Organization. Obesity and Overweight. Available online: https://www.who.int/news-room/fact-sheets/detail/obesity-and-overweight (accessed on 17 November 2019).
- NCD Risk Factor Collaboration (NCD-RisC). Worldwide trends in body-mass index, underweight, overweight, and obesity from 1975 to 2016: A pooled analysis of 2416 population-based measurement studies in 128.9 million children, adolescents, and adults. Lancet 2017, 390, 2627–2642. [Google Scholar] [CrossRef]
- Labree, L.J.; van de Mheen, H.; Rutten, F.F.; Foets, M. Differences in overweight and obesity among children from migrant and native origin: A systematic review of the European literature. Obes. Rev. Off. J. Int. Assoc. Study Obes. 2011, 12, e535–e547. [Google Scholar] [CrossRef]
- de Hoog, M.L.; van Eijsden, M.; Stronks, K.; Gemke, R.J.; Vrijkotte, T.G. Overweight at age two years in a multi-ethnic cohort (ABCD study): The role of prenatal factors, birth outcomes and postnatal factors. BMC Public Health 2011, 11, 611. [Google Scholar] [CrossRef] [PubMed]
- Bouthoorn, S.H.; Wijtzes, A.I.; Jaddoe, V.W.; Hofman, A.; Raat, H.; van Lenthe, F.J. Development of socioeconomic inequalities in obesity among Dutch pre-school and school-aged children. Obesity 2014, 22, 2230–2237. [Google Scholar] [CrossRef] [PubMed]
- De Kroon, M.L.; Renders, C.M.; Van Wouwe, J.P.; Van Buuren, S.; Hirasing, R.A. The Terneuzen birth cohort: BMI changes between 2 and 6 years correlate strongest with adult overweight. PLoS ONE 2010, 5, e9155. [Google Scholar] [CrossRef] [PubMed]
- Han, J.C.; Lawlor, D.A.; Kimm, S.Y. Childhood obesity. Lancet 2010, 375, 1737–1748. [Google Scholar] [CrossRef]
- Poitras, V.J.; Gray, C.E.; Janssen, X.; Aubert, S.; Carson, V.; Faulkner, G.; Goldfield, G.S.; Reilly, J.J.; Sampson, M.; Tremblay, M.S. Systematic review of the relationships between sedentary behaviour and health indicators in the early years (0–4 years). BMC Public Health 2017, 17, 868. [Google Scholar] [CrossRef]
- Timmons, B.W.; Leblanc, A.G.; Carson, V.; Connor Gorber, S.; Dillman, C.; Janssen, I.; Kho, M.E.; Spence, J.C.; Stearns, J.A.; Tremblay, M.S. Systematic review of physical activity and health in the early years (aged 0–4 years). Appl. Physiol. Nutr. Metab. Physiol. Appl. Nutr. Metab. 2012, 37, 773–792. [Google Scholar] [CrossRef]
- Figueroa, R.; An, R. Motor Skill Competence and Physical Activity in Preschoolers: A Review. Mater. Child Health J. 2017, 21, 136–146. [Google Scholar] [CrossRef]
- Robinson, L.E.; Stodden, D.F.; Barnett, L.M.; Lopes, V.P.; Logan, S.W.; Rodrigues, L.P.; D’Hondt, E. Motor Competence and its Effect on Positive Developmental Trajectories of Health. Sports Med. 2015, 45, 1273–1284. [Google Scholar] [CrossRef]
- Lubans, D.R.; Morgan, P.J.; Cliff, D.P.; Barnett, L.M.; Okely, A.D. Fundamental movement skills in children and adolescents: Review of associated health benefits. Sports Med. 2010, 40, 1019–1035. [Google Scholar] [CrossRef] [PubMed]
- Carson, V.; Lee, E.Y.; Hewitt, L.; Jennings, C.; Hunter, S.; Kuzik, N.; Stearns, J.A.; Unrau, S.P.; Poitras, V.J.; Gray, C.; et al. Systematic review of the relationships between physical activity and health indicators in the early years (0–4 years). BMC Public Health 2017, 17, 854. [Google Scholar] [CrossRef]
- Williams, H.G.; Pfeiffer, K.A.; O’Neill, J.R.; Dowda, M.; McIver, K.L.; Brown, W.H.; Pate, R.R. Motor skill performance and physical activity in preschool children. Obesity 2008, 16, 1421–1426. [Google Scholar] [CrossRef] [PubMed]
- Drenowatz, C. A Focus on Motor Competence as Alternative Strategy for Weight Management. J. Obes. Chronic Dis. 2017, 1, 31–38. [Google Scholar] [CrossRef]
- Stodden, D.F.; Goodway, J.D.; Langendorfer, S.J.; Roberton, M.; Rudisill, M.E.; Garcia, C.; Garcia, L. A developmental perspective on the role of motor skill competence in physical activity: An emergent relationship. Quest 2008, 60. [Google Scholar] [CrossRef]
- Sisson, S.B.; Krampe, M.; Anundson, K.; Castle, S. Obesity prevention and obesogenic behavior interventions in child care: A systematic review. Prev. Med. 2016, 87, 57–69. [Google Scholar] [CrossRef]
- Ansari, A.; Pettit, K.; Gershoff, E. Combating Obesity in Head Start: Outdoor Play and Change in Children’s Body Mass Index. J. Dev. Behav. Pediatr. JDBP 2015, 36, 605–612. [Google Scholar] [CrossRef]
- City of Amsterdam. Preschool and Early Childhood Education. Available online: https://www.amsterdam.nl/en/education/preschool-education/ (accessed on 17 November 2019).
- O’Brien, K.T.; Vanderloo, L.M.; Bruijns, B.A.; Truelove, S.; Tucker, P. Physical activity and sedentary time among preschoolers in centre-based childcare: A systematic review. Int. J. Behav. Nutr. Phys. Act. 2018, 15, 117. [Google Scholar] [CrossRef]
- Truelove, S.; Bruijns, B.A.; Vanderloo, L.M.; O’Brien, K.T.; Johnson, A.M.; Tucker, P. Physical activity and sedentary time during childcare outdoor play sessions: A systematic review and meta-analysis. Prev. Med. 2018, 108, 74–85. [Google Scholar] [CrossRef]
- Hodges, E.A.; Smith, C.; Tidwell, S.; Berry, D. Promoting physical activity in preschoolers to prevent obesity: A review of the literature. J. Pediatr. Nurs. 2013, 28, 3–19. [Google Scholar] [CrossRef]
- Finch, M.; Jones, J.; Yoong, S.; Wiggers, J.; Wolfenden, L. Effectiveness of centre-based childcare interventions in increasing child physical activity: A systematic review and meta-analysis for policymakers and practitioners. Obes. Rev. Off. J. Int. Assoc. Study Obes. 2016, 17, 412–428. [Google Scholar] [CrossRef] [PubMed]
- Mehtala, M.A.; Saakslahti, A.K.; Inkinen, M.E.; Poskiparta, M.E. A socio-ecological approach to physical activity interventions in childcare: A systematic review. Int. J. Behav. Nutr. Phys. Act. 2014, 11, 22. [Google Scholar] [CrossRef]
- Wick, K.; Leeger-Aschmann, C.S.; Monn, N.D.; Radtke, T.; Ott, L.V.; Rebholz, C.E.; Cruz, S.; Gerber, N.; Schmutz, E.A.; Puder, J.J.; et al. Interventions to Promote Fundamental Movement Skills in Childcare and Kindergarten: A Systematic Review and Meta-Analysis. Sports Med. 2017, 47, 2045–2068. [Google Scholar] [CrossRef] [PubMed]
- Brian, A.; Pennell, A.; Taunton, S.; Starrett, A.; Howard-Shaughnessy, C.; Goodway, J.D.; Wadsworth, D.; Rudisill, M.; Stodden, D. Motor Competence Levels and Developmental Delay in Early Childhood: A Multicenter Cross-Sectional Study Conducted in the USA. Sports Med. 2019, 49, 1609–1618. [Google Scholar] [CrossRef]
- Maatta, S.; Konttinen, H.; Lehto, R.; Haukkala, A.; Erkkola, M.; Roos, E. Preschool Environmental Factors, Parental Socioeconomic Status, and Children’s Sedentary Time: An Examination of Cross-Level Interactions. Int. J. Environ. Res. Public Health 2018, 16, 46. [Google Scholar] [CrossRef] [PubMed]
- Tonge, K.L.; Jones, R.A.; Okely, A.D. Correlates of children’s objectively measured physical activity and sedentary behavior in early childhood education and care services: A systematic review. Prev. Med. 2016, 89, 129–139. [Google Scholar] [CrossRef]
- Gubbels, J.S.; Van Kann, D.H.H.; Cardon, G.; Kremers, S.P.J. Activating Childcare Environments for All Children: The Importance of Children’s Individual Needs. Int. J. Environ. Res. Public Health 2018, 15, 1400. [Google Scholar] [CrossRef]
- Copeland, K.A.; Kendeigh, C.A.; Saelens, B.E.; Kalkwarf, H.J.; Sherman, S.N. Physical activity in child-care centers: Do teachers hold the key to the playground? Health Educ. Res. 2012, 27, 81–100. [Google Scholar] [CrossRef]
- Toussaint, N.; Streppel, M.T.; Mul, S.; Schreurs, A.; Balledux, M.; van Drongelen, K.; Janssen, M.; Fukkink, R.G.; Weijs, P.J.M. A preschool-based intervention for Early Childhood Education and Care (ECEC) teachers in promoting healthy eating and physical activity in toddlers: Study protocol of the cluster randomized controlled trial PreSchool@HealthyWeight. BMC Public Health 2019, 19, 278. [Google Scholar] [CrossRef]
- Statistics Netherlands (CBS). CBS in uw Buurt. Available online: http://www.cbsinuwbuurt.nl (accessed on 17 November 2019).
- City of Amsterdam. Gezondheid in Beeld. Available online: https://amsterdam.ggdgezondheidinbeeld.nl/ (accessed on 17 November 2019).
- The PLAYgrounds for Toddlers Program. Available online: https://www.playgrounds.nu (accessed on 17 November 2019).
- Sallis, J.F.; Owen, N. Physical Activity and Behavioural Medicine; Sage Publications: London, UK, 1999. [Google Scholar]
- Sallis, J.F.; Owen, N.; Fisher, E.B. Ecological models of Health Behaviour. In Health Behaviour and Health Education: Theory, Research, and Practice, 4th ed.; Glanz, K., Rimer, B.K., Viswanath, K., Eds.; Jossey-Bass: San Francisco, CA, USA, 2008. [Google Scholar]
- Dweck, C.S.; Yeager, D.S. Mindsets: A View from Two Eras. Perspect. Psychol. Sci. A J. Assoc. Psychol. Sci. 2019, 14, 481–496. [Google Scholar] [CrossRef]
- Janssen, M.; Toussaint, H.M.; Van Willem, M.; Verhagen, E.A. PLAYgrounds: Effect of a PE playground program in primary schools on PA levels during recess in 6 to 12 year old children. Design of a prospective controlled trial. BMC Public Health 2011, 11, 282. [Google Scholar] [CrossRef] [PubMed]
- Janssen, M.; Twisk, J.W.; Toussaint, H.M.; van Mechelen, W.; Verhagen, E.A. Effectiveness of the PLAYgrounds programme on PA levels during recess in 6-year-old to 12-year-old children. Br. J. Sports Med. 2015, 49, 259–264. [Google Scholar] [CrossRef]
- McKenzie, T.L.; Marshall, S.J.; Sallis, J.F.; Conway, T.L. Leisure-time physical activity in school environments: An observational study using SOPLAY. Prev. Med. 2000, 30, 70–77. [Google Scholar] [CrossRef] [PubMed]
- Broekhuizen, K.; Scholten, A.M.; de Vries, S.I. The value of (pre)school playgrounds for children’s physical activity level: A systematic review. Int. J. Behav. Nutr. Phys. Act. 2014, 11, 59. [Google Scholar] [CrossRef] [PubMed]
- Toussaint, H.M.; de Schipper, A.; van Kernebeek, T.; Kat, I. MAMBO Meten Amsterdamse Motoriek BasisOnderwijs Rapport 2017; Amsterdam University of Applied Sciences: Amsterdam, The Netherlands, 2017. [Google Scholar]
- Chaput, J.P.; Colley, R.C.; Aubert, S.; Carson, V.; Janssen, I.; Roberts, K.C.; Tremblay, M.S. Proportion of preschool-aged children meeting the Canadian 24-Hour Movement Guidelines and associations with adiposity: Results from the Canadian Health Measures Survey. BMC Public Health 2017, 17, 829. [Google Scholar] [CrossRef] [PubMed]
- Tremblay, M.S.; Chaput, J.P.; Adamo, K.B.; Aubert, S.; Barnes, J.D.; Choquette, L.; Duggan, M.; Faulkner, G.; Goldfield, G.S.; Gray, C.E.; et al. Canadian 24-Hour Movement Guidelines for the Early Years (0–4 years): An Integration of Physical Activity, Sedentary Behaviour, and Sleep. BMC Public Health 2017, 17, 874. [Google Scholar] [CrossRef]
- Pate, R.R.; Brown, W.H.; Pfeiffer, K.A.; Howie, E.K.; Saunders, R.P.; Addy, C.L.; Dowda, M. An Intervention to Increase Physical Activity in Children: A Randomized Controlled Trial with 4-Year-Olds in Preschools. Am. J. Prev. Med. 2016, 51, 12–22. [Google Scholar] [CrossRef]
- Byun, W.; Lau, E.Y.; Brusseau, T.A. Feasibility and Effectiveness of a Wearable Technology-Based Physical Activity Intervention in Preschoolers: A Pilot Study. Int. J. Environ. Res. Public Health 2018, 15, 1821. [Google Scholar] [CrossRef]



| Observations before PLAYTOD | PLAYTOD Sessions | Observations after PLAYTOD | |
|---|---|---|---|
| Training group 1 | March | April–June | July |
| Training group 2 | May | June–September | October |
| Training group 3 | September | September–November | November |
| Training group 4 | September | September–November | November |
| Averaged Observed Values (Mean ± SD) | Results Linear Regression Analyses 1 | |||||||
|---|---|---|---|---|---|---|---|---|
| Intervention (n = 17) | Control (n = 19) | β | p | 95% CI | ||||
| Before | After | Before | After | LCL | UCL | |||
| Activating role 2 | 0.59 ± 0.20 | 2.59 ± 0.32 | 0.66 ± 0.24 | 0.66 ± 0.24 | 2.02 | <0.001 | 1.85 | 2.20 |
| No. Activities 3 | 1.91 ± 0.75 | 3.06 ± 0.72 | 2.05 ± 0.76 | 1.89 ± 0.70 | 1.29 | <0.001 | 0.78 | 1.80 |
| No. FMS 4 | ||||||||
| Boys | 1.10 ± 0.34 | 5.59 ± 1.15 | 1.21 ± 0.42 | 1.08 ± 0.34 | 4.74 | <0.001 | 4.19 | 5.29 |
| Girls | 1.22 ± 0.45 | 6.28 ± 0.46 | 1.26 ± 0.45 | 1.05 ± 0.23 | 5.29 | <0.001 | 5.04 | 5.53 |
| PA intensity 5 | ||||||||
| Boys | 0.85 ± 0.34 | 1.57 ± 0.54 | 0.88 ± 0.28 | 0.84 ± 0.27 | 0.71 | <0.001 | 0.40 | 1.02 |
| Girls | 0.91 ± 0.50 | 1.75 ± 0.59 | 0.67 ± 0.28 | 0.87 ± 0.41 | 0.87 | <0.001 | 0.47 | 1.27 |
© 2020 by the authors. Licensee MDPI, Basel, Switzerland. This article is an open access article distributed under the terms and conditions of the Creative Commons Attribution (CC BY) license (http://creativecommons.org/licenses/by/4.0/).
Share and Cite
Toussaint, N.; Streppel, M.T.; Mul, S.; Fukkink, R.G.; Weijs, P.J.M.; Janssen, M. The Effects of the PLAYTOD Program on Children’s Physical Activity at Preschool Playgrounds in a Deprived Urban Area: A Randomized Controlled Trial. Int. J. Environ. Res. Public Health 2020, 17, 329. https://doi.org/10.3390/ijerph17010329
Toussaint N, Streppel MT, Mul S, Fukkink RG, Weijs PJM, Janssen M. The Effects of the PLAYTOD Program on Children’s Physical Activity at Preschool Playgrounds in a Deprived Urban Area: A Randomized Controlled Trial. International Journal of Environmental Research and Public Health. 2020; 17(1):329. https://doi.org/10.3390/ijerph17010329
Chicago/Turabian StyleToussaint, Nicole, Martinette T. Streppel, Sandra Mul, Ruben G. Fukkink, Peter J.M. Weijs, and Mirka Janssen. 2020. "The Effects of the PLAYTOD Program on Children’s Physical Activity at Preschool Playgrounds in a Deprived Urban Area: A Randomized Controlled Trial" International Journal of Environmental Research and Public Health 17, no. 1: 329. https://doi.org/10.3390/ijerph17010329
APA StyleToussaint, N., Streppel, M. T., Mul, S., Fukkink, R. G., Weijs, P. J. M., & Janssen, M. (2020). The Effects of the PLAYTOD Program on Children’s Physical Activity at Preschool Playgrounds in a Deprived Urban Area: A Randomized Controlled Trial. International Journal of Environmental Research and Public Health, 17(1), 329. https://doi.org/10.3390/ijerph17010329

