Sign in to use this feature.

Years

Between: -

Subjects

remove_circle_outline
remove_circle_outline
remove_circle_outline
remove_circle_outline
remove_circle_outline
remove_circle_outline

Journals

Article Types

Countries / Regions

Search Results (19)

Search Parameters:
Keywords = out-of-equilibrium temperatures

Order results
Result details
Results per page
Select all
Export citation of selected articles as:
38 pages, 18491 KB  
Review
Review of the Microstructural Impact on Creep Mechanisms and Performance for Laser Powder Bed Fusion Inconel 718
by Guillian Bryndza, Jérôme Tchoufang Tchuindjang, Fan Chen, Anne Marie Habraken, Héctor Sepúlveda, Víctor Tuninetti, Anne Mertens and Laurent Duchêne
Materials 2025, 18(2), 276; https://doi.org/10.3390/ma18020276 - 9 Jan 2025
Cited by 10 | Viewed by 4321
Abstract
Inconel 718 (IN718) is a polycrystalline nickel-based superalloy and one of the most widely used materials in the aerospace industry owing to its excellent mechanical performances at high temperatures, including creep resistance. Interest in additively manufactured components in aerospace is greatly increasing due [...] Read more.
Inconel 718 (IN718) is a polycrystalline nickel-based superalloy and one of the most widely used materials in the aerospace industry owing to its excellent mechanical performances at high temperatures, including creep resistance. Interest in additively manufactured components in aerospace is greatly increasing due to their ability to reduce material consumption, to manufacture complex parts, and to produce out-of-equilibrium microstructures, which can be beneficial for mechanical behavior. IN718’s properties are, however, very sensitive to microstructural features, which strongly depend on the manufacturing process and subsequent heat treatments. Additive manufacturing and, more specifically, Laser Powder Bed Fusion (LPBF) induces very high thermal gradients and anisotropic features due to its inherently directional nature, which largely defines the microstructure of the alloy. Hence, defining appropriate manufacturing parameters and heat treatments is critical to obtain appropriate mechanical behavior. This review aims to present the main microstructural features of IN718 produced by LPBF, the creep mechanisms taking place, the optimal microstructure for creep strength, and the most efficient heat treatments to yield such an optimized microstructure. Full article
Show Figures

Figure 1

23 pages, 3207 KB  
Article
Fluctuation Theorems for Heat Exchanges between Passive and Active Baths
by Massimiliano Semeraro, Antonio Suma and Giuseppe Negro
Entropy 2024, 26(6), 439; https://doi.org/10.3390/e26060439 - 23 May 2024
Cited by 3 | Viewed by 2372
Abstract
In addition to providing general constraints on probability distributions, fluctuation theorems allow us to infer essential information on the role played by temperature in heat exchange phenomena. In this numerical study, we measure the temperature of an out-of-equilibrium active bath using a fluctuation [...] Read more.
In addition to providing general constraints on probability distributions, fluctuation theorems allow us to infer essential information on the role played by temperature in heat exchange phenomena. In this numerical study, we measure the temperature of an out-of-equilibrium active bath using a fluctuation theorem that relates the fluctuations in the heat exchanged between two baths to their temperatures. Our setup consists of a single particle moving between two wells of a quartic potential accommodating two different baths. The heat exchanged between the two baths is monitored according to two definitions: as the kinetic energy carried by the particle whenever it jumps from one well to the other and as the work performed by the particle on one of the two baths when immersed in it. First, we consider two equilibrium baths at two different temperatures and verify that a fluctuation theorem featuring the baths temperatures holds for both heat definitions. Then, we introduce an additional Gaussian coloured noise in one of the baths, so as to make it effectively an active (out-of-equilibrium) bath. We find that a fluctuation theorem is still satisfied with both heat definitions. Interestingly, in this case the temperature obtained through the fluctuation theorem for the active bath corresponds to the kinetic temperature when considering the first heat definition, while it is larger with the second one. We interpret these results by looking at the particle jump phenomenology. Full article
(This article belongs to the Section Non-equilibrium Phenomena)
Show Figures

Figure 1

23 pages, 603 KB  
Article
PeV-Scale SUSY and Cosmic Strings from F-Term Hybrid Inflation
by Constantinos Pallis
Universe 2024, 10(5), 211; https://doi.org/10.3390/universe10050211 - 8 May 2024
Cited by 17 | Viewed by 1514
Abstract
We consider F-term hybrid inflation (FHI) and SUSY breaking in the context of a BL extension of the MSSM that largely respects a global U(1)R symmetry. The hidden sector Kaehler manifold enjoys an enhanced [...] Read more.
We consider F-term hybrid inflation (FHI) and SUSY breaking in the context of a BL extension of the MSSM that largely respects a global U(1)R symmetry. The hidden sector Kaehler manifold enjoys an enhanced SU(1,1)/U(1) symmetry, with the scalar curvature determined by the achievement of a SUSY-breaking de Sitter vacuum without undesirable tuning. FHI turns out to be consistent with the data, provided that the magnitude of the emergent soft tadpole term is confined to the range (1.2100) TeV, and it is accompanied by the production of BL cosmic strings. If these are metastable, they are consistent with the present observations from PTA experiments on the stochastic background of gravitational waves with dimensionless tension Gμcs(19.2)·108. The μ parameter of the MSSM arises by appropriately adapting the Giudice–Masiero mechanism and facilitates the out-of-equilibrium decay of the R saxion at a reheat temperature lower than about 71 GeV. Due to the prolonged matter-dominated era, the gravitational wave signal is suppressed at high frequencies. The SUSY mass scale turns out to lie in the PeV region. Full article
(This article belongs to the Special Issue Probing the Early Universe)
Show Figures

Figure 1

11 pages, 1076 KB  
Article
Remarkable Magnetic Properties in a Mn73.6Ga26.4 Alloy Produced via Out-of-Equilibrium Method
by Ovidiu Crisan and Alina Daniela Crisan
Nanomaterials 2023, 13(23), 3014; https://doi.org/10.3390/nano13233014 - 24 Nov 2023
Cited by 1 | Viewed by 1431
Abstract
Rare-earth-free permanent magnets with the L10 phase are actively researched for their potential as a future class of magnetic materials, capable of operating at higher temperatures and in challenging corrosion environments such as renewable energy applications. Among these classes, MnGa shows potential, [...] Read more.
Rare-earth-free permanent magnets with the L10 phase are actively researched for their potential as a future class of magnetic materials, capable of operating at higher temperatures and in challenging corrosion environments such as renewable energy applications. Among these classes, MnGa shows potential, being cost effective and having interesting magnetic properties. A MnGa magnetic alloy, with composition Mn73.6Ga26.4 in atomic percent, was produced via the out-of-equilibrium method, and its structural and magnetic properties were assessed using X-ray diffraction (XRD), transmission electron microscopy (TEM), selected area electron diffraction (SAED) and extended magnetic characterization. We show that the MnGa alloy submitted to thermal annealing in optimal conditions exhibits a two-phase microstructure, where small nanocrystals of tetragonal L10/D022 magnetic phase are embedded within a D019 MnGa matrix of a non-collinear antiferromagnetic nature. These co-existing, magnetically different phases produce an optimal set of promising magnetic properties, larger than the values reported in the literature for single-phase MnGa alloys and thin films. Such large values are explained by the exchange coupling between competing non-collinear magnetic sublattices of the D019 MnGa with the net moment of the small magnetic nanocrystals of tetragonal symmetry. Full article
Show Figures

Figure 1

13 pages, 2661 KB  
Article
Novel Rare Earth (RE)-Free Nanocomposite Magnets Derived from L10-Phase Systems
by Alina Daniela Crisan and Ovidiu Crisan
Nanomaterials 2023, 13(5), 912; https://doi.org/10.3390/nano13050912 - 1 Mar 2023
Cited by 1 | Viewed by 2416
Abstract
In the quest for novel rare earth (RE)-free magnetic materials, which also exhibit other additional properties such as good corrosion resistance and potential to operate at higher temperatures, an alloy deriving from the binary FePt system, with Mo and B addition, has been [...] Read more.
In the quest for novel rare earth (RE)-free magnetic materials, which also exhibit other additional properties such as good corrosion resistance and potential to operate at higher temperatures, an alloy deriving from the binary FePt system, with Mo and B addition, has been synthesized for the first time, using the out-of-equilibrium method of rapid solidification form the melt. The alloy with the composition Fe49Pt26Mo2B23 has been subjected to thermal analysis through differential scanning calorimetry in order to detect the structural disorder – order phase transformation as well as to study the crystallization processes. For the stabilization of the formed hard magnetic phase, the sample has been annealed at 600 °C and further structurally and magnetically characterized by means of X-ray diffraction, transmission electron microscopy, 57Fe Mössbauer spectrometry as well as magnetometry experiments. It has been proven that after annealing at 600 °C the tetragonal hard magnetic L10 phase emerges via crystallization from a disordered cubic precursor and becomes the predominant phase in terms of relative abundance. Moreover, it has been revealed by quantitative analysis via Mössbauer spectroscopy that the annealed sample exhibits a complex phase structure, where the L10 hard magnetic phase is accompanied by few other soft magnetic phases, in minority abundance: the cubic A1, orthorhombic Fe2B and residual intergranular region. The magnetic parameters have been derived from 300 K hysteresis loops. It was shown that, contrary to the as-cast sample which behaves as a typical soft magnet, the annealed sample presents strong coercivity and high remanent magnetization, accompanied by a large saturation magnetization. These findings offers good insight into the potential developing of novel class of RE-free permanent magnets, based on Fe-Pt-Mo-B, where the magnetic performance emerges from the co-existence of hard and soft magnetic phases in controlled and tunable proportions, capable of finding good applicability in fields requiring good catalytic properties and strong corrosion resistance. Full article
(This article belongs to the Special Issue Novel RE-free Nanocomposite Magnets)
Show Figures

Figure 1

30 pages, 7002 KB  
Article
Patterning Behavior of Hybrid Buoyancy-Marangoni Convection in Inclined Layers Heated from Below
by Wasim Waris and Marcello Lappa
Fluids 2023, 8(1), 12; https://doi.org/10.3390/fluids8010012 - 29 Dec 2022
Cited by 3 | Viewed by 2982
Abstract
Alongside classical effects driven by gravity or surface tension in non-isothermal fluids, the present experimental study concentrates on other exotic (poorly known) modes of convection, which are enabled in a fluid layer delimited from below by a hot plate and unbounded from above [...] Read more.
Alongside classical effects driven by gravity or surface tension in non-isothermal fluids, the present experimental study concentrates on other exotic (poorly known) modes of convection, which are enabled in a fluid layer delimited from below by a hot plate and unbounded from above when its container is inclined to the horizontal direction. By means of a concerted approach based on the application of a thermographic visualization technique, multiple temperature measurements at different points and a posteriori computer-based reconstruction of the spatial distribution of wavelengths, it is shown that this fluid-dynamic system is prone to develop a rich set of patterns. These include (but are not limited to), spatially localized (compact) cells, longitudinal wavy rolls, various defects produced by other instabilities and finger-like structures resulting from an interesting roll pinching mechanism (by which a single longitudinal roll can be split into two neighboring rolls with smaller wavelength). Through parametric variation of the tilt angle, the imposed temperature difference and the volume of liquid employed, it is inferred that the observable dynamics are driven by the ability of gravity-induced shear flow to break the in-plane isotropy of the system, the relative importance of surface-tension-driven and buoyancy effects, and the spatially varying depth of the layer. Some effort is provided to identify universality classes and similarities with other out-of-equilibrium thermal systems, which have attracted significant attention in the literature. Full article
(This article belongs to the Special Issue Recent Advances in Fluid Mechanics: Feature Papers, 2022)
Show Figures

Figure 1

15 pages, 1100 KB  
Article
Heat Transport on Ultrashort Time and Space Scales in Nanosized Systems: Diffusive or Wave-like?
by S. L. Sobolev and Weizhong Dai
Materials 2022, 15(12), 4287; https://doi.org/10.3390/ma15124287 - 17 Jun 2022
Cited by 24 | Viewed by 2338
Abstract
The non-Fourier effects, such as wave-like temperature propagation and boundary temperature jumps, arise in nanosized systems due to the multiple time and space scales nature of out-of-equilibrium heat transport. The relaxation to equilibrium occurs in successive time and space scales due to couplings [...] Read more.
The non-Fourier effects, such as wave-like temperature propagation and boundary temperature jumps, arise in nanosized systems due to the multiple time and space scales nature of out-of-equilibrium heat transport. The relaxation to equilibrium occurs in successive time and space scales due to couplings between different excitations, whose relaxation times have different physical meanings and may differ significantly in magnitude. The out-of-equilibrium temperature evolution is described by a hierarchy of partial differential equations of a higher order, which includes both the diffusive and wave modes of heat transport. The critical conditions of transition from wave to diffusive modes are identified. We demonstrate that the answer to the question concerning which of these modes would be detected by experimental measurements may also depend on the accuracy of the experimental setup. Comparisons between the proposed approach and other non-Fourier models, such as the Guyer–Krumhansl and Jeffreys type, are carried out. The results presented here are expected to be useful for the theoretical and experimental treatment of non-Fourier effects and particularly heat wave phenomena in complex nanosized systems and metamaterials. Full article
(This article belongs to the Special Issue Heat Transport and Thermophysical Properties in Nanomaterials)
Show Figures

Figure 1

21 pages, 51310 KB  
Article
Nanostructure of PMMA/MAM Blends Prepared by Out-of-Equilibrium (Extrusion) and Near-Equilibrium (Casting) Self-Assembly and Their Nanocellular or Microcellular Structure Obtained from CO2 Foaming
by Suset Barroso-Solares, Victoria Bernardo, Daniel Cuadra-Rodriguez and Javier Pinto
Nanomaterials 2021, 11(11), 2834; https://doi.org/10.3390/nano11112834 - 25 Oct 2021
Cited by 4 | Viewed by 2116
Abstract
Blends of poly(methyl methacrylate) (PMMA) and a triblock copolymer poly(methyl methacrylate)-b-poly(butyl acrylate)-b-poly(methyl methacrylate) (MAM) have been obtained following both out-of-equilibrium (extrusion) and near-equilibrium (solvent casting) production routes. The self-assembly capability and the achievable nanostructures of these blends are analyzed by transmission electron microscopy [...] Read more.
Blends of poly(methyl methacrylate) (PMMA) and a triblock copolymer poly(methyl methacrylate)-b-poly(butyl acrylate)-b-poly(methyl methacrylate) (MAM) have been obtained following both out-of-equilibrium (extrusion) and near-equilibrium (solvent casting) production routes. The self-assembly capability and the achievable nanostructures of these blends are analyzed by transmission electron microscopy (TEM) regarding their production route and potential for the achievement of nanocellular foams by CO2 gas dissolution foaming. The influence of the initial nanostructure of the solids on the obtained cellular structure of bulk and film samples is determined by high-resolution scanning electron microscopy (HRSEM) for diverse foaming conditions (saturation pressure, saturation temperature, and post-foaming stage), taking into account the required use of a foaming mold to achieve foams from films. Moreover, the influence of the nanostructuration on the presence of solid outer layers, typical of the selected foaming process, is addressed. Finally, consideration of a qualitative model and the obtained results in terms of nanostructuration, cellular structure, and foaming behavior, allow proposing a detailed cell nucleation, growth, and stabilization scheme for these materials, providing the first direct evidence of the cell nucleation happening inside the poly(butyl acrylate) phase in the PMMA/MAM blends. Full article
(This article belongs to the Special Issue Advanced Nano Cellular Foams)
Show Figures

Figure 1

20 pages, 3253 KB  
Article
A Path Integral Molecular Dynamics Simulation of a Harpoon-Type Redox Reaction in a Helium Nanodroplet
by Alvaro Castillo-García, Andreas W. Hauser, María Pilar de Lara-Castells and Pablo Villarreal
Molecules 2021, 26(19), 5783; https://doi.org/10.3390/molecules26195783 - 24 Sep 2021
Cited by 13 | Viewed by 5336
Abstract
We present path integral molecular dynamics (PIMD) calculations of an electron transfer from a heliophobic Cs2 dimer in its (3Σu) state, located on the surface of a He droplet, to a heliophilic, fully immersed C60 molecule. Supported [...] Read more.
We present path integral molecular dynamics (PIMD) calculations of an electron transfer from a heliophobic Cs2 dimer in its (3Σu) state, located on the surface of a He droplet, to a heliophilic, fully immersed C60 molecule. Supported by electron ionization mass spectroscopy measurements (Renzler et al., J. Chem. Phys.2016, 145, 181101), this spatially quenched reaction was characterized as a harpoon-type or long-range electron transfer in a previous high-level ab initio study (de Lara-Castells et al., J. Phys. Chem. Lett.2017, 8, 4284). To go beyond the static approach, classical and quantum PIMD simulations are performed at 2 K, slightly below the critical temperature for helium superfluidity (2.172 K). Calculations are executed in the NVT ensemble as well as the NVE ensemble to provide insights into real-time dynamics. A droplet size of 2090 atoms is assumed to study the impact of spatial hindrance on reactivity. By changing the number of beads in the PIMD simulations, the impact of quantization can be studied in greater detail and without an implicit assumption of superfluidity. We find that the reaction probability increases with higher levels of quantization. Our findings confirm earlier, static predictions of a rotational motion of the Cs2 dimer upon reacting with the fullerene, involving a substantial displacement of helium. However, it also raises the new question of whether the interacting species are driven out-of-equilibrium after impurity uptake, since reactivity is strongly quenched if a full thermal equilibration is assumed. More generally, our work points towards a novel mechanism for long-range electron transfer through an interplay between nuclear quantum delocalization within the confining medium and delocalized electronic dispersion forces acting on the two reactants. Full article
(This article belongs to the Special Issue Reactivity and Properties of Radicals and Radical Ions)
Show Figures

Figure 1

164 pages, 9428 KB  
Article
:THE COSMOLOGICAL OTOC: Formulating New Cosmological Micro-Canonical Correlation Functions for Random Chaotic Fluctuations in Out-Of-Equilibrium Quantum Statistical Field Theory
by Sayantan Choudhury
Symmetry 2020, 12(9), 1527; https://doi.org/10.3390/sym12091527 - 16 Sep 2020
Cited by 41 | Viewed by 4994
Abstract
The out-of-time-ordered correlation (OTOC) function is an important new probe in quantum field theory which is treated as a significant measure of random quantum correlations. In this paper, using for the first time the slogan “Cosmology meets Condensed Matter Physics”, we demonstrate a [...] Read more.
The out-of-time-ordered correlation (OTOC) function is an important new probe in quantum field theory which is treated as a significant measure of random quantum correlations. In this paper, using for the first time the slogan “Cosmology meets Condensed Matter Physics”, we demonstrate a formalism to compute the Cosmological OTOC during the stochastic particle production during inflation and reheating following the canonical quantization technique. In this computation, two dynamical time scales are involved—out of them, at one time scale, the cosmological perturbation variable, and for the other, the canonically conjugate momentum, is defined, which is the strict requirement to define the time scale-separated quantum operators for OTOC and is perfectly consistent with the general definition of OTOC. Most importantly, using the present formalism, not only one can study the quantum correlation during stochastic inflation and reheating, but can also study quantum correlation for any random events in Cosmology. Next, using the late time exponential decay of cosmological OTOC with respect to the dynamical time scale of our universe which is associated with the canonically conjugate momentum operator in this formalism, we study the phenomenon of quantum chaos by computing the expression for the Lyapunov spectrum. Furthermore, using the well known Maldacena Shenker Stanford (MSS) bound on the Lyapunov exponent, λ2π/β, we propose a lower bound on the equilibrium temperature, T=1/β, at the very late time scale of the universe. On the other hand, with respect to the other time scale with which the perturbation variable is associated, we find decreasing, but not exponentially decaying, behaviour, which quantifies the random quantum correlation function out-of-equilibrium. We have also studied the classical limit of the OTOC and checked the consistency with the large time limiting behaviour of the correlation. Finally, we prove that the normalized version of OTOC is completely independent of the choice of the preferred definition of the cosmological perturbation variable. Full article
(This article belongs to the Special Issue New Advances of Cosmology and Astrophysics)
Show Figures

Figure 1

20 pages, 2077 KB  
Article
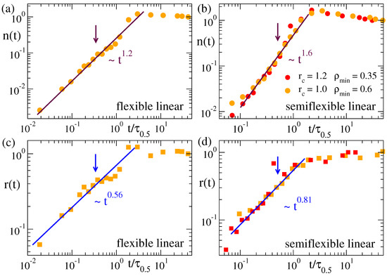
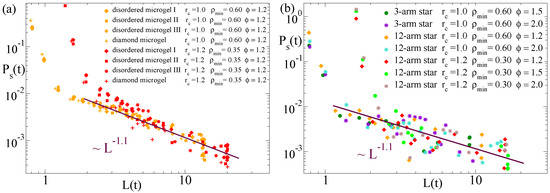
Coarsening Kinetics of Complex Macromolecular Architectures in Bad Solvent
by Mariarita Paciolla, Daniel J. Arismendi-Arrieta and Angel J. Moreno
Polymers 2020, 12(3), 531; https://doi.org/10.3390/polym12030531 - 2 Mar 2020
Cited by 5 | Viewed by 3699
Abstract
This study reports a general scenario for the out-of-equilibrium features of collapsing polymeric architectures. We use molecular dynamics simulations to characterize the coarsening kinetics, in bad solvent, for several macromolecular systems with an increasing degree of structural complexity. In particular, we focus on: [...] Read more.
This study reports a general scenario for the out-of-equilibrium features of collapsing polymeric architectures. We use molecular dynamics simulations to characterize the coarsening kinetics, in bad solvent, for several macromolecular systems with an increasing degree of structural complexity. In particular, we focus on: flexible and semiflexible polymer chains, star polymers with 3 and 12 arms, and microgels with both ordered and disordered networks. Starting from a powerful analogy with critical phenomena, we construct a density field representation that removes fast fluctuations and provides a consistent characterization of the domain growth. Our results indicate that the coarsening kinetics presents a scaling behaviour that is independent of the solvent quality parameter, in analogy to the time–temperature superposition principle. Interestingly, the domain growth in time follows a power-law behaviour that is approximately independent of the architecture for all the flexible systems; while it is steeper for the semiflexible chains. Nevertheless, the fractal nature of the dense regions emerging during the collapse exhibits the same scaling behaviour for all the macromolecules. This suggests that the faster growing length scale in the semiflexible chains originates just from a faster mass diffusion along the chain contour, induced by the local stiffness. The decay of the dynamic correlations displays scaling behavior with the growing length scale of the system, which is a characteristic signature in coarsening phenomena. Full article
(This article belongs to the Section Polymer Physics and Theory)
Show Figures

Graphical abstract

13 pages, 2650 KB  
Review
Evolution of Complexity in Out-of-Equilibrium Systems by Time-Resolved or Space-Resolved Synchrotron Radiation Techniques
by Gaetano Campi and Antonio Bianconi
Condens. Matter 2019, 4(1), 32; https://doi.org/10.3390/condmat4010032 - 14 Mar 2019
Cited by 15 | Viewed by 3720
Abstract
Out-of-equilibrium phenomena are attracting high interest in physics, materials science, chemistry and life sciences. In this state, the study of structural fluctuations at different length scales in time and space are necessary to achieve significant advances in the understanding of the structure-functionality relationship. [...] Read more.
Out-of-equilibrium phenomena are attracting high interest in physics, materials science, chemistry and life sciences. In this state, the study of structural fluctuations at different length scales in time and space are necessary to achieve significant advances in the understanding of the structure-functionality relationship. The visualization of patterns arising from spatiotemporal fluctuations is nowadays possible thanks to new advances in X-ray instrumentation development that combine high-resolution both in space and in time. We present novel experimental approaches using high brilliance synchrotron radiation sources, fast detectors and focusing optics, joint with advanced data analysis based on automated statistical, mathematical and imaging processing tools. This approach has been used to investigate structural fluctuations in out-of-equilibrium systems in the novel field of inhomogeneous quantum complex matter at the crossing point of technology, physics and biology. In particular, we discuss how nanoscale complexity controls the emergence of high-temperature superconductivity (HTS), myelin functionality and formation of hybrid organic-inorganic supramolecular assembly. The emergent complex geometries, opening novel venues to quantum technology and to the development of quantum physics of living systems, are discussed. Full article
Show Figures

Figure 1

47 pages, 4584 KB  
Review
A Rationale for Mesoscopic Domain Formation in Biomembranes
by Nicolas Destainville, Manoel Manghi and Julie Cornet
Biomolecules 2018, 8(4), 104; https://doi.org/10.3390/biom8040104 - 29 Sep 2018
Cited by 15 | Viewed by 6539
Abstract
Cell plasma membranes display a dramatically rich structural complexity characterized by functional sub-wavelength domains with specific lipid and protein composition. Under favorable experimental conditions, patterned morphologies can also be observed in vitro on model systems such as supported membranes or lipid vesicles. Lipid [...] Read more.
Cell plasma membranes display a dramatically rich structural complexity characterized by functional sub-wavelength domains with specific lipid and protein composition. Under favorable experimental conditions, patterned morphologies can also be observed in vitro on model systems such as supported membranes or lipid vesicles. Lipid mixtures separating in liquid-ordered and liquid-disordered phases below a demixing temperature play a pivotal role in this context. Protein-protein and protein-lipid interactions also contribute to membrane shaping by promoting small domains or clusters. Such phase separations displaying characteristic length-scales falling in-between the nanoscopic, molecular scale on the one hand and the macroscopic scale on the other hand, are named mesophases in soft condensed matter physics. In this review, we propose a classification of the diverse mechanisms leading to mesophase separation in biomembranes. We distinguish between mechanisms relying upon equilibrium thermodynamics and those involving out-of-equilibrium mechanisms, notably active membrane recycling. In equilibrium, we especially focus on the many mechanisms that dwell on an up-down symmetry breaking between the upper and lower bilayer leaflets. Symmetry breaking is an ubiquitous mechanism in condensed matter physics at the heart of several important phenomena. In the present case, it can be either spontaneous (domain buckling) or explicit, i.e., due to an external cause (global or local vesicle bending properties). Whenever possible, theoretical predictions and simulation results are confronted to experiments on model systems or living cells, which enables us to identify the most realistic mechanisms from a biological perspective. Full article
(This article belongs to the Special Issue Cellular Membrane Domains and Organization)
Show Figures

Figure 1

25 pages, 3596 KB  
Review
Enhancing Metastability by Dissipation and Driving in an Asymmetric Bistable Quantum System
by Bernardo Spagnolo, Angelo Carollo and Davide Valenti
Entropy 2018, 20(4), 226; https://doi.org/10.3390/e20040226 - 26 Mar 2018
Cited by 16 | Viewed by 4744
Abstract
The stabilizing effect of quantum fluctuations on the escape process and the relaxation dynamics from a quantum metastable state are investigated. Specifically, the quantum dynamics of a multilevel bistable system coupled to a bosonic Ohmic thermal bath in strong dissipation regime is analyzed. [...] Read more.
The stabilizing effect of quantum fluctuations on the escape process and the relaxation dynamics from a quantum metastable state are investigated. Specifically, the quantum dynamics of a multilevel bistable system coupled to a bosonic Ohmic thermal bath in strong dissipation regime is analyzed. The study is performed by a non-perturbative method based on the real-time path integral approach of the Feynman-Vernon influence functional. We consider a strongly asymmetric double well potential with and without a monochromatic external driving, and with an out-of-equilibrium initial condition. In the absence of driving we observe a nonmonotonic behavior of the escape time from the metastable region, as a function both of the system-bath coupling coefficient and the temperature. This indicates a stabilizing effect of the quantum fluctuations. In the presence of driving our findings indicate that, as the coupling coefficient γ increases, the escape time, initially controlled by the external driving, shows resonant peaks and dips, becoming frequency-independent for higher γ values. Moreover, the escape time from the metastable state displays a nonmonotonic behavior as a function of the temperature, the frequency of the driving, and the thermal-bath coupling, which indicates the presence of a quantum noise enhanced stability phenomenon. Finally, we investigate the role of different spectral densities, both in sub-Ohmic and super-Ohmic dissipation regime and for different cutoff frequencies, on the relaxation dynamics from the quantum metastable state. The results obtained indicate that, in the crossover dynamical regime characterized by damped intrawell oscillations and incoherent tunneling, the spectral properties of the thermal bath influence non-trivially the short time behavior and the time scales of the relaxation dynamics from the metastable state. Full article
(This article belongs to the Special Issue Entropy and Information in the Foundation of Quantum Physics)
Show Figures

Figure 1

17 pages, 468 KB  
Article
Equilibration in the Nosé–Hoover Isokinetic Ensemble: Effect of Inter-Particle Interactions
by Shamik Gupta and Stefano Ruffo
Entropy 2017, 19(10), 544; https://doi.org/10.3390/e19100544 - 14 Oct 2017
Cited by 1 | Viewed by 5038
Abstract
We investigate the stationary and dynamic properties of the celebrated Nosé–Hoover dynamics of many-body interacting Hamiltonian systems, with an emphasis on the effect of inter-particle interactions. To this end, we consider a model system with both short- and long-range interactions. The Nosé–Hoover dynamics [...] Read more.
We investigate the stationary and dynamic properties of the celebrated Nosé–Hoover dynamics of many-body interacting Hamiltonian systems, with an emphasis on the effect of inter-particle interactions. To this end, we consider a model system with both short- and long-range interactions. The Nosé–Hoover dynamics aim to generate the canonical equilibrium distribution of a system at a desired temperature by employing a set of time-reversible, deterministic equations of motion. A signature of canonical equilibrium is a single-particle momentum distribution that is Gaussian. We find that the equilibrium properties of the system within the Nosé–Hoover dynamics coincides with that within the canonical ensemble. Moreover, starting from out-of-equilibrium initial conditions, the average kinetic energy of the system relaxes to its target value over a size-independent timescale. However, quite surprisingly, our results indicate that under the same conditions and with only long-range interactions present in the system, the momentum distribution relaxes to its Gaussian form in equilibrium over a scale that diverges with the system size. On adding short-range interactions, the relaxation is found to occur over a timescale that has a much weaker dependence on system size. This system-size dependence of the timescale vanishes when only short-range interactions are present in the system. An implication of such an ultra-slow relaxation when only long-range interactions are present in the system is that macroscopic observables other than the average kinetic energy when estimated in the Nosé–Hoover dynamics may take an unusually long time to relax to its canonical equilibrium value. Our work underlines the crucial role that interactions play in deciding the equivalence between Nosé–Hoover and canonical equilibrium. Full article
(This article belongs to the Special Issue Thermodynamics and Statistical Mechanics of Small Systems)
Show Figures

Figure 1

Back to TopTop