Sign in to use this feature.

Years

Between: -

Subjects

remove_circle_outline
remove_circle_outline
remove_circle_outline
remove_circle_outline
remove_circle_outline
remove_circle_outline
remove_circle_outline
remove_circle_outline
remove_circle_outline

Journals

remove_circle_outline
remove_circle_outline
remove_circle_outline
remove_circle_outline
remove_circle_outline
remove_circle_outline
remove_circle_outline
remove_circle_outline
remove_circle_outline
remove_circle_outline

Article Types

Countries / Regions

remove_circle_outline
remove_circle_outline
remove_circle_outline
remove_circle_outline
remove_circle_outline
remove_circle_outline
remove_circle_outline

Search Results (1,212)

Search Parameters:
Keywords = orbital ordering

Order results
Result details
Results per page
Select all
Export citation of selected articles as:
25 pages, 3960 KB  
Article
Comparison of Second-Stage Recovery Methods for Reusable Launch Vehicles Across Vehicle Scales
by Geun-Jeong Lee, Min-Seon Jo and Jeong-Yeol Choi
Aerospace 2026, 13(1), 79; https://doi.org/10.3390/aerospace13010079 - 12 Jan 2026
Abstract
With the cost-saving benefits of reusable launch vehicles (RLVs), South Korea is pursuing the application of reusability technologies to KSLV-III. While SpaceX currently reuses only the first stage of Falcon 9, the Starship program aims for full-stage recovery, motivating further examination of second-stage [...] Read more.
With the cost-saving benefits of reusable launch vehicles (RLVs), South Korea is pursuing the application of reusability technologies to KSLV-III. While SpaceX currently reuses only the first stage of Falcon 9, the Starship program aims for full-stage recovery, motivating further examination of second-stage reuse. This study extends the scope of the analysis to medium-class launch vehicles and evaluates the feasibility of second-stage reuse for two vehicle scales. The performance losses associated with three recovery methods—vertical landing, parachute, and fly-back—are quantitatively assessed using conceptual-level recovery system design and simplified mass modeling. For KSLV-III, a conceptual expendable medium-class launch vehicle capable of delivering a 10-ton payload to a 200 km low Earth orbit (LEO) was designed using an algebraic modeling approach. Based on this reference design, the recovery methods were evaluated for both medium-class and super-heavy-class vehicles. Results of the present order-of-magnitude conceptual trade study show that, for medium-class vehicles, the parachute provides the highest performance, followed by fly-back, while vertical landing yields the lowest. For super-heavy vehicles, the parachute remains the most effective, but vertical landing becomes the second-best option, with fly-back exhibiting the lowest performance. As the vehicle scale increases, parachute effectiveness declines, fly-back performance improves, and vertical landing shows the greatest performance gains. However, parachute becomes impractical for super-heavy vehicles due to structural limitations, making vertical landing the most viable option. In contrast, medium-class vehicles do not necessarily require vertical landing, and the optimal recovery strategy should be chosen based on vehicle structural characteristics and mission objectives. This study provides insights that support the selection of efficient recovery strategies during the early design phase of RLVs. Full article
(This article belongs to the Section Astronautics & Space Science)
Show Figures

Figure 1

14 pages, 6937 KB  
Article
Existence of Heteroclinic Orbits in Fractional-Order and Integer-Order Coupled Lorenz Systems
by Guiyao Ke, Jun Pan, Feiyu Hu and Haijun Wang
Fractal Fract. 2026, 10(1), 36; https://doi.org/10.3390/fractalfract10010036 - 7 Jan 2026
Viewed by 138
Abstract
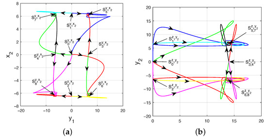
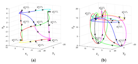
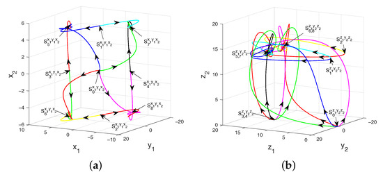
Applying two Lyapunov functions and the concepts of α-/ω-limit sets, this paper reexamines fractional-order and integer-order coupled Lorenz systems and simultaneously proves the existence of twelve heteroclinic orbits, i.e., four ones to S0 and [...] Read more.
Applying two Lyapunov functions and the concepts of α-/ω-limit sets, this paper reexamines fractional-order and integer-order coupled Lorenz systems and simultaneously proves the existence of twelve heteroclinic orbits, i.e., four ones to S0 and S5,6,7,8, four pairs of ones to S1 and S5,7, S3 and S5,6, S2 and S6,8, S4 and S7,8 when r1>0, b2σ>0 and ac<0. These orbits have not been reported in existing studies on coupled Lorenz-type systems and are verified via numerical simulations. The findings not only uncover new dynamics of the Lorenz system family and expand the application scope of Lyapunov-based methods but also provide insights into heteroclinic orbits of other fractional-order and integer-order Lorenz-like counterparts. Full article
Show Figures

Figure 1

31 pages, 30685 KB  
Article
Orbital-Scale Climate Control on Facies Architecture and Reservoir Heterogeneity: Evidence from the Eocene Fourth Member of the Shahejie Formation, Bonan Depression, China
by Shahab Aman e Room, Liqiang Zhang, Yiming Yan, Waqar Ahmad, Paulo Joaquim Nota and Aamir Khan
Minerals 2026, 16(1), 48; https://doi.org/10.3390/min16010048 - 31 Dec 2025
Viewed by 241
Abstract
The Eocene fourth member of the Shahejie formation (Es4x) in the Bonan Depression, Bohai Bay Basin, records syn-rift sedimentation under alternating arid and humid climates. It provides insight into how orbital-scale climatic fluctuations influenced tectonics, facies patterns, and reservoir distribution. This study integrates [...] Read more.
The Eocene fourth member of the Shahejie formation (Es4x) in the Bonan Depression, Bohai Bay Basin, records syn-rift sedimentation under alternating arid and humid climates. It provides insight into how orbital-scale climatic fluctuations influenced tectonics, facies patterns, and reservoir distribution. This study integrates 406 m of core data, 92 thin sections, 450 km2 of 3D seismic data, and multiple geochemical proxies, leading to the recognition of five facies associations (LFA): (1) alluvial fans, (2) braided rivers, (3) floodplain mudstones, (4) fan deltas, and (5) saline lacustrine evaporites. Three major depositional cycles are defined within the Es4x. Seismic reflections, well-log patterns, and thickness trends suggest that these cycles represent fourth-order lake-level fluctuations (0.8–1.1 Myr) rather than short 21-kyr precession rhythms. This implies long-term climate and tectonic modulation, likely linked to eccentricity-scale monsoon variability. Hyperarid phases are marked by Sr/Ba > 4, δ18O > +4‰, and thick evaporite accumulations. In contrast, Sr/Ba < 1 and δ18O < −8‰ reflect humid conditions with larger lakes and enhanced fluvial input. During wet periods, rivers produced sand bodies nearly 40 times thicker than in dry intervals. Reservoir quality is highest in braided-river sandstones (LFA 2) with 12%–19% porosity, preserved by chlorite coatings that limit quartz cement. Fan-delta sands (LFA 4) have <8% porosity due to calcite cementation, though fractures (10–50 mm) improve permeability. Floodplain mudstones (LFA 3) and evaporites (LFA 5) act as seals. This work presents a predictive depositional and reservoir model for arid–humid rift systems and highlights braided-river targets as promising exploration zones in climate-sensitive basins worldwide. Full article
(This article belongs to the Section Mineral Geochemistry and Geochronology)
Show Figures

Figure 1

34 pages, 15930 KB  
Article
Geometric Learning of Canonical Parameterizations of 2D-Curves
by Ioana Ciuclea, Giorgio Longari and Alice Barbora Tumpach
Entropy 2026, 28(1), 48; https://doi.org/10.3390/e28010048 - 30 Dec 2025
Viewed by 159
Abstract
Most datasets encountered in computer vision and medical applications present symmetries that should be taken into account in classification tasks. A typical example is the symmetry by rotation and/or scaling in object detection. A common way to build neural networks that learn the [...] Read more.
Most datasets encountered in computer vision and medical applications present symmetries that should be taken into account in classification tasks. A typical example is the symmetry by rotation and/or scaling in object detection. A common way to build neural networks that learn the symmetries is to use data augmentation. In order to avoid data augmentation and build more sustainable algorithms, we present an alternative method to mod out symmetries based on the notion of section of a principal fiber bundle. This framework allows to use simple metrics on the space of objects in order to measure dissimilarities between orbits of objects under the symmetry group. Moreover, the section used can be optimized to maximize separation of classes. We illustrate this methodology on a dataset of contours of objects for the groups of translations, rotations, scalings and reparameterizations. In particular, we present a 2-parameter family of canonical parameterizations of curves, containing the constant-speed parameterization as a special case, which we believe is interesting in its own right. We hope that this simple application will serve to convey the geometric concepts underlying this method, which have a wide range of possible applications. Full article
(This article belongs to the Special Issue Lie Group Machine Learning)
Show Figures

Figure 1

30 pages, 5279 KB  
Article
Operator Dynamics Approach to Short-Arc Orbital Prediction Based on the Wigner Distribution
by Zhiyuan Chen, Qin Dong, Jinghui Zheng, Juan Shi, Yindun Mao, Siyu Liu and Jingxi Liu
Aerospace 2026, 13(1), 38; https://doi.org/10.3390/aerospace13010038 - 30 Dec 2025
Viewed by 159
Abstract
We propose an uncertainty propagation framework based on phase space that treats the error distribution as the marginal of a Wigner quasi-probability distribution and defines an effective uncertainty constant quantifying the minimal resolvable phase-space cell. Recognizing that observational updates systematically reduce uncertainty, we [...] Read more.
We propose an uncertainty propagation framework based on phase space that treats the error distribution as the marginal of a Wigner quasi-probability distribution and defines an effective uncertainty constant quantifying the minimal resolvable phase-space cell. Recognizing that observational updates systematically reduce uncertainty, we adopt a generalized Koopman–von Neumann equation grounded in operator dynamical modeling to propagate the density operator corresponding to the error distribution. The scaling parameter κ quantifies the reduction in uncertainty following each filter update. Although the potential is presently retained only to second order—so that both propagation and update preserve Gaussian form and permit direct Kalman recursion—the framework itself lays the analytical foundation for a future treatment of non-Gaussian features. Validated on 1215 orbits (semi-major axis: 9600 km to 42,164 km), the method shows that within a 3 min fit/10 min forecast window, observational noise contributes 350 m while unmodeled dynamics adds only 0.6 m. Kruskal–Wallis rank-sum tests and the accompanying scatter-plot trend rank the semi-major axis as the dominant sensitive parameter. The proposed model outperforms Chebyshev and high-fidelity propagators in real time, offering a physically interpretable route for short-arc orbit prediction. Full article
(This article belongs to the Section Astronautics & Space Science)
Show Figures

Figure 1

22 pages, 4891 KB  
Article
A Nomadic Infrastructure with Hierarchical Block Tracking and Surveillance Resolution in Satellite Networks
by Minsoo Kim, Jalel Ben-Othman, Lynda Mokdad, Paolo Bellavista and Hyunbum Kim
Sensors 2026, 26(1), 180; https://doi.org/10.3390/s26010180 - 26 Dec 2025
Viewed by 324
Abstract
In this paper, we propose a multi-layered hierarchical block tracking (HBT) system for continuous real-time sensing and efficient network management of highly mobile nomadic infrastructure. In order to solve the limitations of the existing high-resolution satellite direct connection method in the fast tracking [...] Read more.
In this paper, we propose a multi-layered hierarchical block tracking (HBT) system for continuous real-time sensing and efficient network management of highly mobile nomadic infrastructure. In order to solve the limitations of the existing high-resolution satellite direct connection method in the fast tracking and management of mobile infrastructure due to the high processing delay and large data processing burden, we introduce event-based data abstraction and Infra Map management in a multi-layered network consisting of a Low Earth Orbit satellite (LEO), high-altitude platform (HAP), and low-altitude platform (LAP). Through this, unnecessary data transmission is minimized and processing speed and Surveillance Resolution (SR) are improved. Experimental results show that the HBT structure achieves the improved SR at low-speed conditions, maintaining high tracking stability even under dynamic movement scenarios, while reducing processing delay when compared to the existing LEO–ground direct communication. As a result, we verify that the HBT structure shows lower processing delay and high tracking stability when compared to the existing LEO–ground direct communication. Full article
(This article belongs to the Special Issue Smart Infrastructure for Sensor-Driven Systems)
Show Figures

Figure 1

26 pages, 7980 KB  
Article
A Novel Data-Focusing Method for Highly Squinted MEO SAR Based on Spatially Variable Spectrum and NUFFT 2D Resampling
by Huguang Yao, Tao He, Pengbo Wang, Zhirong Men and Jie Chen
Remote Sens. 2026, 18(1), 49; https://doi.org/10.3390/rs18010049 - 24 Dec 2025
Viewed by 196
Abstract
Although the elevated orbit and highly squinted observation geometry bring advantages for medium-earth-orbit (MEO) synthetic aperture radar (SAR) in applications, they also complicate signal processing. The severe spatial variability of Doppler parameters and large extended range distribution of echo make it challenging for [...] Read more.
Although the elevated orbit and highly squinted observation geometry bring advantages for medium-earth-orbit (MEO) synthetic aperture radar (SAR) in applications, they also complicate signal processing. The severe spatial variability of Doppler parameters and large extended range distribution of echo make it challenging for the traditional imaging algorithms to get the expected results. To quantify the variation, a spatially variable two-dimensional (SV2D) spectrum is established in this paper. The sufficient order and spatially variable terms allow it to preserve the features of targets both in the scene center and at the edge. In addition, the huge data volume and incomplete azimuth signals of edge targets, caused by the large range walk when MEO SAR operates in squinted mode, are alleviated by the variable pulse repetition interval (VPRI) technique. Based on this, a novel data-focusing method for highly squinted MEO SAR is proposed. The azimuth resampling, achieved through the non-uniform fast Fourier transform (NUFFT), eliminates the impact of most Doppler parameter space variation. Then, a novel imaging kernel is applied to accomplish target focusing. The spatially variable range cell migration (RCM) is corrected by a similar idea, with Doppler parameter equalization, and an accurate high-order phase filter derived from the SV2D spectrum guarantees that the targets located in the center range gate and the center Doppler time are well focused. For other targets, inspired by the non-linear chirp scaling algorithm (NCSA), the residual spatially variable mismatch is eliminated by a cubic phase filter during the scaling process to achieve sufficient focusing depth. The simulation results are given at the end of this paper and these validate the effectiveness of the method. Full article
Show Figures

Graphical abstract

26 pages, 7065 KB  
Article
Wide-Area Spectrum Sensing for Space Targets Based on Low-Earth Orbit Satellite Constellations: A SRFlow Model for Electromagnetic Spectrum Map Reconstruction
by You Fu, Youchen Fan, Liu Yi, Shunhu Hou, Yufei Niu and Shengliang Fang
Remote Sens. 2026, 18(1), 11; https://doi.org/10.3390/rs18010011 - 19 Dec 2025
Viewed by 304
Abstract
To address the need for wide-area electromagnetic spectrum sensing of space targets from sparse Low-Earth Orbit constellation observations, this paper proposes SRFlow, a flow-matching generative model. We first construct a high-fidelity dataset covering diverse scenarios via STK-MATLAB co-simulation. By integrating multi-source priors and [...] Read more.
To address the need for wide-area electromagnetic spectrum sensing of space targets from sparse Low-Earth Orbit constellation observations, this paper proposes SRFlow, a flow-matching generative model. We first construct a high-fidelity dataset covering diverse scenarios via STK-MATLAB co-simulation. By integrating multi-source priors and an iterative measurement injection strategy, SRFlow achieves high-quality reconstruction of full spectrum maps from sparse measurements. Experiments demonstrate that SRFlow significantly outperforms state-of-the-art baselines, including the physics-informed diffusion model RMDM, in both reconstruction accuracy (NMSE/SSIM) and computational efficiency (parameters/inference time), under both known and unknown target-position conditions. Moreover, it trains nearly an order of magnitude faster than diffusion models. This work contributes the first dedicated dataset for space-based spectrum sensing, introduces the accurate and efficient SRFlow model, and establishes a rigorous benchmark for future research. Full article
Show Figures

Figure 1

21 pages, 6226 KB  
Article
Design and Analysis of Optical–Mechanical–Thermal Systems for a High-Resolution Space Camera
by Xiaohan Liu, Jian Jiao, Kaihui Gu, Hong Li, Wenying Zhang, Siqi Zhang, Wei Zhao, Zhaohui Pei, Bo Zhang, Zhifeng Cheng and Feng Yang
Sensors 2025, 25(24), 7617; https://doi.org/10.3390/s25247617 - 16 Dec 2025
Viewed by 445
Abstract
To meet the requirements of high resolution, compact size, and ultra-lightweight for micro–nano satellite optoelectronic payloads while ensuring high structural stability during launch and in-orbit operation, mirrors were designed with high surface accuracy. The opto-thermo-mechanical system of the space camera was designed and [...] Read more.
To meet the requirements of high resolution, compact size, and ultra-lightweight for micro–nano satellite optoelectronic payloads while ensuring high structural stability during launch and in-orbit operation, mirrors were designed with high surface accuracy. The opto-thermo-mechanical system of the space camera was designed and analyzed accordingly. First, an optical system was designed to achieve high resolution and a compact form factor. A coaxial triple-reflector configuration with multiple refractive paths was adopted, which significantly shortened the optical path and laid the foundation for a lightweight, compact structure. This design also defined the accuracy and tolerance requirements for the primary and secondary mirrors. Subsequently, mathematical models for topology optimization and dimensional optimization were established to optimize the design of the main support structure, primary mirror, and secondary mirror. Two design schemes for the main support structure and primary mirror were compared. Steady-state thermal analysis and thermal control design were carried out for both mirrors. Simulations were then performed on the main system (including the primary/secondary mirror assemblies and the main support structure). Under the combined effects of gravity, a 4 °C temperature increase, and an assembly flatness deviation of 0.01 mm, the surface accuracy of both mirrors, the displacement of the secondary mirror relative to the primary mirror reference, and the tilt angle all met the overall specification requirements. The system’s first-order natural frequency was 156.731 Hz. After precision machining, fabrication, and assembly, wavefront aberration testing was conducted on the main system with the optical axis horizontal. Under gravity, the root mean square (RMS) wavefront error at the center of the field of view was 0.073λ, satisfying the specification of ≤1/14λ. The fundamental frequency measured during vibration testing was 153.09 Hz, which aligned closely with the simulated value and well exceeded the requirement of 100 Hz. Additionally, in-orbit imaging verification was conducted. All results satisfied the technical specifications of the satellite’s overall requirements. Full article
(This article belongs to the Section Sensing and Imaging)
Show Figures

Figure 1

65 pages, 3342 KB  
Article
ContEvol Formalism: Numerical Methods Based on Hermite Spline Optimization
by Kaili Cao
Mathematics 2025, 13(24), 3981; https://doi.org/10.3390/math13243981 - 13 Dec 2025
Viewed by 214
Abstract
We present the ContEvol (continuous evolution) formalism, a family of implicit numerical methods which only need to solve linear equations and are almost symplectic. Combining values and derivatives of functions, ContEvol outputs allow users to recover full history and render full distributions. Using [...] Read more.
We present the ContEvol (continuous evolution) formalism, a family of implicit numerical methods which only need to solve linear equations and are almost symplectic. Combining values and derivatives of functions, ContEvol outputs allow users to recover full history and render full distributions. Using the classic harmonic oscillator as a prototype case, we show that ContEvol methods lead to lower-order errors than two commonly used Runge–Kutta methods. Applying first-order ContEvol to simple celestial mechanics problems, we demonstrate that deviation from equation(s) of motion of ContEvol tracks is still 𝒪(h5) (h is the step length) by our definition. Numerical experiments with an eccentric elliptical orbit indicate that first-order ContEvol is a viable alternative to classic Runge–Kutta or the symplectic leapfrog integrator. Solving the stationary Schrödinger equation in quantum mechanics, we manifest ability of ContEvol to handle boundary value or eigenvalue problems. Important directions for future work, including mathematical foundations, higher dimensions, and technical improvements, are discussed at the end of this article. Full article
(This article belongs to the Special Issue Advanced Mathematical Methods in Theoretical Physics)
Show Figures

Figure 1

12 pages, 1908 KB  
Article
Mapping Cyclic Changes in Laguerre–Gaussian Astigmatic Beams Free from Orbital Angular Momentum onto the Poincaré Sphere and Geometric Phases
by Alexander Volyar, Mikhail Bretsko and Yana Akimova
Physics 2025, 7(4), 65; https://doi.org/10.3390/physics7040065 - 9 Dec 2025
Viewed by 345
Abstract
Over the past thirty years, the focus in singular optics has been on structured beams carrying orbital angular momentum (OAM) for diverse applications in science and technology. However, as practice has shown, the OAM-free structured Gaussian beams with several degrees of freedom are [...] Read more.
Over the past thirty years, the focus in singular optics has been on structured beams carrying orbital angular momentum (OAM) for diverse applications in science and technology. However, as practice has shown, the OAM-free structured Gaussian beams with several degrees of freedom are no worse than the OAM beams, especially when propagating through turbulent flows. In this paper, we partially fillthis gap by theoretically and experimentally mapping cyclic changes in vortex-free states (including OAM) as a phase portrait of the beam evolution in an astigmatic optical system. We show that those cyclic variations in the beam parameters are accompanied by the accumulation of the geometric Berry phase, which is an additional degree of freedom. We find also that the geometric phase of cyclic changes in the intensity ellipse shape does not depend on the radial numbers of the Laguerre–Gaussian mode with zero topological charge and is always set by changing the shape of the Gaussian beam. The Stokes parameter formalism was developed to map the beam states’ evolution onto a Poincaré sphere based on physically measurable second-order intensity moments. Theory and experiment are found to be in a good enough agreement. Full article
(This article belongs to the Section Classical Physics)
Show Figures

Figure 1

17 pages, 599 KB  
Article
Equity, Responsibility, and Strategy in Planetary Defense: A Game-Theoretic Approach to International Space Law
by Francesco Ventura, David Barillà, JR James and Daniela Barba
Sustainability 2025, 17(24), 11004; https://doi.org/10.3390/su172411004 - 9 Dec 2025
Viewed by 247
Abstract
This paper explores the economic, environmental, and security issues created by the launch of satellite megaconstellations, which are networks of LEO (Low Earth Orbit) satellites planned to provide worldwide communications, data services, and research capabilities. Although such programs bring the potential to offer [...] Read more.
This paper explores the economic, environmental, and security issues created by the launch of satellite megaconstellations, which are networks of LEO (Low Earth Orbit) satellites planned to provide worldwide communications, data services, and research capabilities. Although such programs bring the potential to offer global coverage and substantial technology enhancements, they also pose significant challenges to fund and sustain. In order to address these issues, the approach assumes a Life Cycle Costing (LCC) scope that includes development, launch, operational, end-of-life, and environmental impacts. Based on this, we introduce an original model, which includes a Cooperative Game Theory component—more precisely the Shapley value—to devise fair and efficient cost-sharing mechanisms between multiple players. The model includes the effects of cooperation, free-rider phenomena, and the consideration of capacity limitations, providing a formalized approach to distribute costs fairly and ensure coalition stability. A three-operators case study demonstrates the real benefits achieved by collaboration: significant cost savings of up to 27% compared with independent approaches. However, the analysis also demonstrates the destabilizing effects of free riders, which undermine cooperation in the short run and may lead to a net increase in costs for contributing parties. The results indicate that resilient allocation mechanisms and policy protection are necessary to secure the sustainability of megaconstellations over the long time period, possibly also applicable to other critical infrastructures beyond space systems. Full article
Show Figures

Figure 1

16 pages, 2606 KB  
Article
The Effect of Applied Hydrostatic Pressures in Ferromagnetic Ordered HoM2 [M = (Al, Ni)] Laves Phases: A DFT Study
by Tomás López-Solenzal, David Ríos-Jara, Manuel Ramos and César Fidel Sánchez-Valdés
Materials 2025, 18(24), 5510; https://doi.org/10.3390/ma18245510 - 8 Dec 2025
Viewed by 367
Abstract
In this study, density functional theory (DFT) with Hubbard U correction calculations (DFT+U) was used to examine the ferromagnetic properties of HoM2 Laves phases (M = {Al, Ni}) under external hydrostatic pressure from 0 GPa to 1.0 GPa. The resulting net magnetic [...] Read more.
In this study, density functional theory (DFT) with Hubbard U correction calculations (DFT+U) was used to examine the ferromagnetic properties of HoM2 Laves phases (M = {Al, Ni}) under external hydrostatic pressure from 0 GPa to 1.0 GPa. The resulting net magnetic moments of 8.61 µB/f.u. (HoAl2) and 8.12 µB/f.u. (HoNi2) align with values reported in experiments. Additionally, for both alloys, the ferromagnetic behavior remains unchanged under applied pressures from 0 GPa to 1.0 GPa. The study also confirms that the magnetic properties of the alloys are mainly influenced by the 4f electrons, with 3d electrons playing a slightly more significant role in HoNi2 Laves phases compared to HoAl2. The contribution of electrons in d and f orbitals to the net magnetic moment of each Laves phase alloy within the specified pressure range was examined. Furthermore, the crystal geometry optimization and electronic specific heat coefficient were calculated as functions of applied pressures up to 1.0 GPa for both ferromagnetically ordered Laves phases. Full article
(This article belongs to the Section Materials Simulation and Design)
Show Figures

Figure 1

15 pages, 11792 KB  
Article
A Nanosatellite-Sized Detector for Sub-MeV Charged Cosmic Ray Fluxes in Low Earth Orbit: The Low-Energy Module (LEM) Onboard the NUSES Space Mission
by Riccardo Nicolaidis, Andrea Abba, Domenico Borrelli, Adriano Di Giovanni, Luigi Ferrentino, Giovanni Franchi, Francesco Nozzoli, Giancarlo Pepponi, Lorenzo Perillo, David Schledewitz and Enrico Verroi
Particles 2025, 8(4), 97; https://doi.org/10.3390/particles8040097 - 4 Dec 2025
Viewed by 324
Abstract
NUSES is a planned space mission aiming to test new observational and technological approaches related to the study of low-energy cosmic rays, gamma rays, and high-energy astrophysical neutrinos. Two scientific payloads will be hosted onboard the NUSES space mission: Terzina and Zirè. Terzina [...] Read more.
NUSES is a planned space mission aiming to test new observational and technological approaches related to the study of low-energy cosmic rays, gamma rays, and high-energy astrophysical neutrinos. Two scientific payloads will be hosted onboard the NUSES space mission: Terzina and Zirè. Terzina will be an optical telescope readout by SiPM arrays for the detection and study of Cerenkov light emitted by Extensive Air Showers (EASs) generated by high-energy cosmic rays and neutrinos in the atmosphere. Zirè will focus on the detection of protons and electrons up to a few hundred MeV and 0.1–30 MeV photons and will include the Low-Energy Module (LEM). The LEM will be a particle spectrometer devoted to the observation of fluxes of low-energy electrons in the 0.1–7-MeV range and protons in the 3–50 MeV range in low Earth orbit (LEO) followed by the hosting platform. The detection of Particle Bursts (PBs) in this physics channel of interest could provide insights into understanding complex phenomena such as possible correlations between seismic events or volcanic activity with the collective motion of particles in the plasma populating Van Allen belts. With its compact size and limited acceptance, the LEM will allow the exploration of hostile environments such as the South Atlantic Anomaly (SAA) and the inner Van Allen belt, in which the anticipated electron fluxes are on the order of 106 to 107 electrons per square centimeter per steradian per second. Concerning the vast literature on space-based particle spectrometers, the innovative aspect of the LEM resides in its compactness, within 10×10×10 cm3, and in its “active collimation” approach to dealing with the problem of multiple scattering at these low energies. In this work, the geometry of the detector, its detection concept, its operation modes, and the hardware adopted will be presented. Some preliminary results from a Monte Carlo simulation (Geant4) will be shown. Full article
Show Figures

Figure 1

15 pages, 2990 KB  
Article
Infrared Photodissociation Spectroscopic and Theoretical Study of Mass-Selected Heteronuclear Iron–Rhodium and Iron–Iridium Carbonyl Cluster Cations
by Jin Hu and Xuefeng Wang
Molecules 2025, 30(23), 4619; https://doi.org/10.3390/molecules30234619 - 1 Dec 2025
Viewed by 365
Abstract
Heterobimetallic iron–group 9 carbonyl cations, FeM(CO)n+ (M = Rh, Ir; n = 9–11), were generated in the gas phase via pulsed laser vaporization within a supersonic expansion and characterized by infrared photodissociation spectroscopy in the carbonyl stretching region. By combining experimental [...] Read more.
Heterobimetallic iron–group 9 carbonyl cations, FeM(CO)n+ (M = Rh, Ir; n = 9–11), were generated in the gas phase via pulsed laser vaporization within a supersonic expansion and characterized by infrared photodissociation spectroscopy in the carbonyl stretching region. By combining experimental spectra with density functional theory simulations, the geometric and electronic structures of these clusters were unambiguously assigned. Mass spectrometry and photodissociation results identified FeM(CO)9+ as the saturated species for M = Rh and Ir, in contrast to the lighter cobalt analog FeCo(CO)8+. The FeM(CO)9+ cations adopt a C4v-symmetric singlet ground-state structure with all carbonyl ligands terminally bound, corresponding to a (OC)5Fe–M(CO)4 configuration. These complexes can be formally described as combination products of the stable neutral Fe(CO)5 and cationic M(CO)4+ fragments. Analyses based on canonical molecular orbitals, Mayer bond orders, and fragment-based correlation diagrams reveal the presence of a dative Fe→M interaction in FeM(CO)9+, which formally enables the heavier Rh/Ir metal center to attain an 18-electron configuration. However, this bond is weaker than a typical covalent single bond, as the key molecular orbitals involved possess antibonding character. This study provides important insights into the structure and bonding of heteronuclear transition metal carbonyl clusters, highlighting distinctive coordination behavior between late 3d and heavier 4d/5d congeners. Full article
(This article belongs to the Section Physical Chemistry)
Show Figures

Figure 1

Back to TopTop