Operator Dynamics Approach to Short-Arc Orbital Prediction Based on the Wigner Distribution
Abstract
1. Introduction
2. Wigner-Based Filtering Framework: Theoretical Foundation
2.1. The Wigner Quasi-Probability Distribution
2.2. The Koopman–von Neumann Formalism
2.3. The Operator Dynamic Model and Generalized KvN Equation
2.4. Evolution for the Wigner Quasi-Probability Distribution
3. Physical Realization for Gravitational Orbit Dynamics
3.1. Wigner Distribution for Orbital States
3.2. Generalized KvN Evolution Under Gravitational Forces
3.3. Filtering Procedure
4. Experimental Results
4.1. Experimental Design and Data Generation
4.1.1. Orbit-Parameter Combinations and Simulation Setup
4.1.2. Perturbation Modeling and Error-Source Characterization
- Self-consistent run: only two-body plus J2 perturbation, identical to the force model used in the estimator.
- Biased run: additionally includes solar-radiation pressure and atmospheric drag to assess performance under small systematic errors.
4.1.3. Construction and Grouping Strategy of Observation Data
- Clean (no-bias set): contains only machine-precision truncation errors; serves as the theoretical lower bound for filter consistency checks.
- SysBias (small-bias set): adds un-modeled atmospheric drag and solar-radiation pressure (Table 2) to the true trajectory, yielding long-term drift at the level of ; used to test robustness under mild model mismatch.
- ObsNoise (random-error set): further superimposes zero-mean Gaussian white noise on the SysBias truth, with standard deviations taken from current optical and laser ranging accuracies (radial , along/cross ); dominant in short-term scatter and used to evaluate the benefit of improving observation precision versus refining dynamical models.In the current trajectory generator, only Earth oblateness, constant drag, and constant solar-radiation pressure are included; the fixed drag coefficient and fixed SRP area-to-mass ratio cannot capture the large, seasonally varying eclipse fraction and polar-density enhancement that dominate polar-orbit evolution.
4.2. Statistical Analysis of Prediction Errors
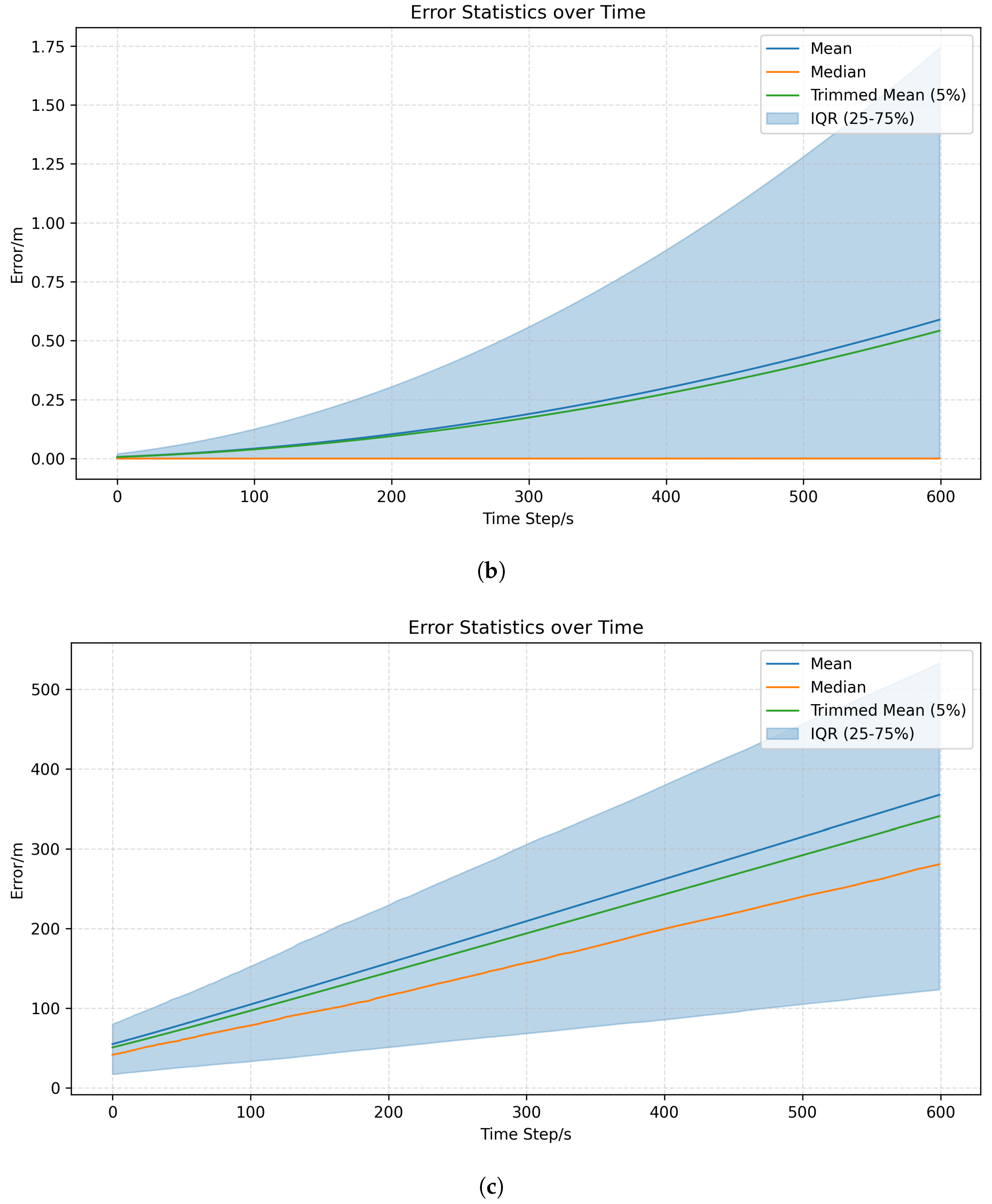
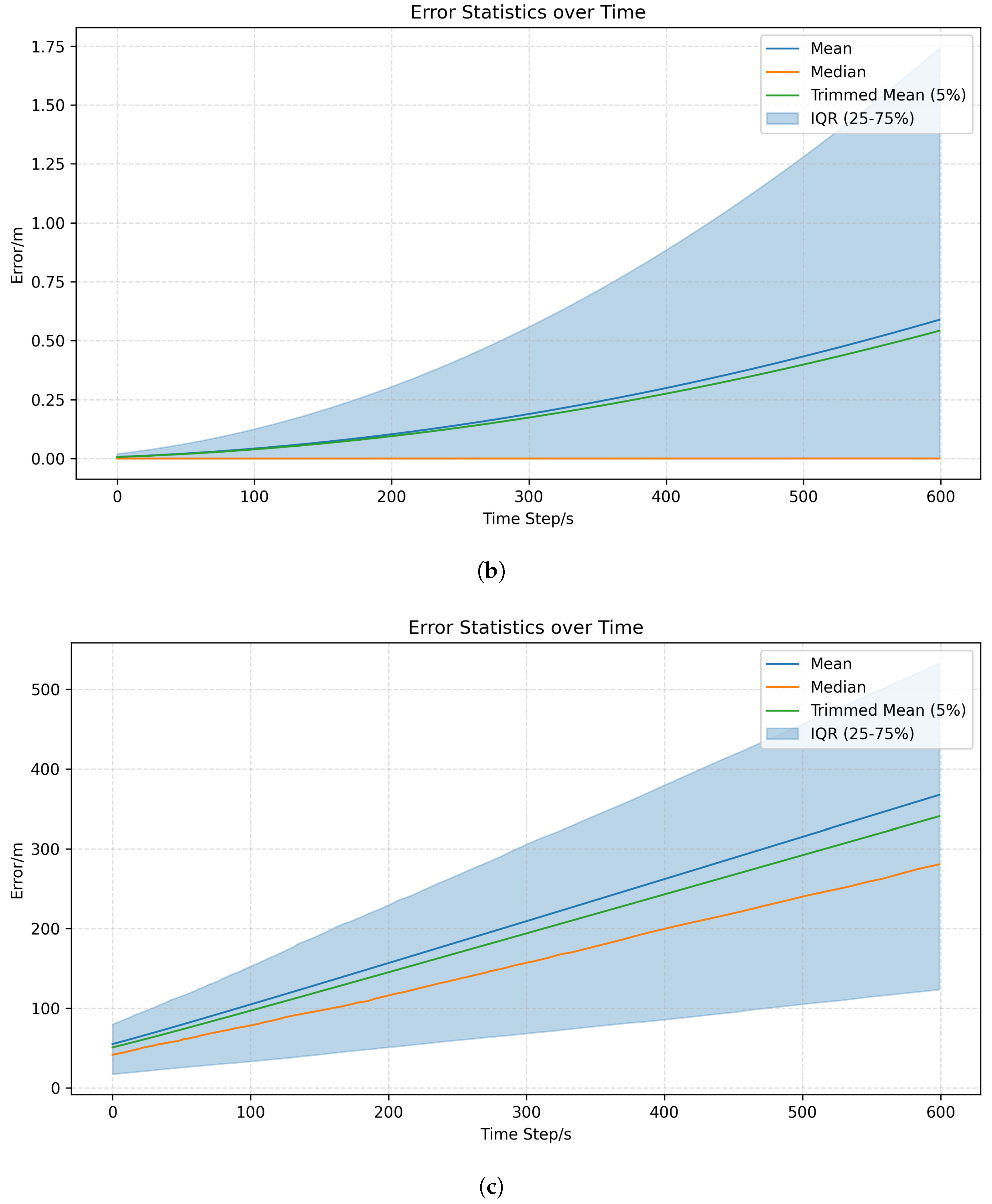
4.2.1. Ten-Minute Prediction-Error Distribution
4.2.2. Comparison Among Clean, SysBias, and ObsNoise Groups
- Clean: errors grow linearly and slowly with time, confirming model self-consistency.
- SysBias: mean deviates from median, indicating systematic outliers.
- ObsNoise: envelope width increases markedly, yet without skewness; random errors dominate.
4.3. Parameter-Sensitivity Analysis
4.3.1. Effect of Inclination (Verification of Irrelevance)
4.3.2. Coupled Effect of Semi-Major Axis and Perturbations
4.3.3. Modulation of Error Distribution by Eccentricity
4.3.4. Rank-Sum Sensitivity Test
- Semi-major axis is highly significant for the abs error in all scenes (, H 350–840), confirming orbital altitude as the most sensitive parameter. The R component is also significant under SysBias (), while T is significant only in SysBias and N is never significant, indicating that altitude amplifies errors mainly within the orbital plane.
- Inclination shows only marginal significance for the R component in the Clean scene (); all other components and scenes yield with , verifying that inclination has no statistically significant influence on 10 min forecast error.
- Eccentricity gives and H values 0.05–2.9 (far below ) in every scene and component, demonstrating that within the commonly used eccentricity range the short-term error is not significantly affected by this parameter.
4.4. Visualization of Combined Bias and Error Effects
4.4.1. Scatter Plots of Radial/Along-Track/Cross-Track Errors
4.4.2. Dominant-Factor Discrimination Between Bias and Noise
4.4.3. Summary of Experimental Findings
5. Discussion
5.1. Comparison with Current Practice Under SysBias
5.2. Future Improvements and Extensions
Author Contributions
Funding
Institutional Review Board Statement
Informed Consent Statement
Data Availability Statement
Acknowledgments
Conflicts of Interest
References
- Peng, H.; Bai, X. Improving orbit prediction accuracy through supervised machine learning. Adv. Space Res. 2018, 61, 2628–2646. [Google Scholar] [CrossRef]
- Zhai, M.; Huang, Z.; Hu, Y.; Jiang, Y.; Li, H. Improvement of orbit prediction accuracy using extreme gradient boosting and principal component analysis. Open Astron. 2022, 31, 229–243. [Google Scholar] [CrossRef]
- König, W. Orthogonal polynomial ensembles in probability theory. Probab. Surv. 2005, 2, 385–447. [Google Scholar] [CrossRef]
- Badinelli, R.D. Approximating probability density functions and their convolutions using orthogonal polynomials. Eur. J. Oper. Res. 1996, 95, 211–230. [Google Scholar] [CrossRef]
- Sivasankar, P.; Lewis, B.G., Jr.; Probe, A.B.; Elgohary, T.A. Validation of Orthogonal Probability Approximation for Space Situational Awareness Using Real Satellite Data. In Proceedings of the 3rd IAA Conference on Space Situational Awareness (ICSSA), Madrid, Spain, 4–6 April 2022. [Google Scholar]
- Sivasankar, P.; Probe, A.B.; Elgohary, T.A. Orthogonal Probability Approximation for Highly Accurate and Efficient Orbit Uncertainty Propagation. Digit. Eng. Digit. Twin 2024, 2, 169–205. [Google Scholar]
- Leonard, A.; Rogers, J.; Gerlach, A. Probabilistic release point optimization for airdrop with variable transition altitude. J. Guid. Control. Dyn. 2020, 43, 1487–1497. [Google Scholar] [CrossRef]
- Gerlach, A.R.; Leonard, A.; Rogers, J.; Rackauckas, C. The Koopman expectation: An operator theoretic method for efficient analysis and optimization of uncertain hybrid dynamical systems. arXiv 2020, arXiv:2008.08737. [Google Scholar] [CrossRef]
- Leonard, A. Probabilistic Methods for Decision Making in Precision Airdrop. Ph.D. Thesis, Georgia Institute of Technology, Atlanta, Georgia, 2019. [Google Scholar]
- Rackauckas, C.; Dixit, V.; Gerlach, A.R.; Ivaturi, V. Efficient Precision Dosing Under Estimated Uncertainties via Koopman Expectations of Bayesian Posteriors with Pumas. bioRxiv 2021. [Google Scholar] [CrossRef]
- Meyers, J. Koopman Operator Approach to Uncertainty Quantification and Decision-Making. Ph.D. Thesis, Georgia Institute of Technology, Atlanta, Georgia, 2022. [Google Scholar]
- Bondar, D.I.; Cabrera, R.; Zhdanov, D.V.; Rabitz, H.A. Wigner phase-space distribution as a wave function. Phys. Rev. A 2013, 88, 052108. [Google Scholar] [CrossRef]
- Kuz’menko, L.S.; Maksimov, S.G. Distribution functions in quantum mechanics and Wigner functions. Theor. Math. Phys. 2002, 131, 641–650. [Google Scholar] [CrossRef]
- Polkovnikov, A. Phase space representation of quantum dynamics. Ann. Phys. 2010, 325, 1790–1852. [Google Scholar] [CrossRef]
- Dragoman, D. Applications of the Wigner distribution function in signal processing. EURASIP J. Adv. Signal Process. 2005, 2005, 264967. [Google Scholar] [CrossRef]
- Najmi, A.H. The Wigner distribution: A time-frequency analysis tool. Johns Hopkins APL Tech. Dig. 1994, 15, 298. [Google Scholar]
- Hush, M.R.; Carvalho, A.R.R.; Hope, J.J. Number-phase Wigner representation for scalable stochastic simulations of controlled quantum systems. Phys. Rev. A 2012, 85, 023607. [Google Scholar] [CrossRef]
- Ralph, J.F.; Maskell, S.; Ransom, M.; Ulbricht, H. Classical tracking for quantum trajectories. arXiv 2022, arXiv:2202.00276. [Google Scholar] [CrossRef]
- Vladimirov, I.G.; Petersen, I.R.; James, M.R. A phase-space formulation and Gaussian approximation of the filtering problem for nonlinear quantum stochastic systems. J. Syst. Sci. Complex. 2017, 30, 279–298. [Google Scholar]
- Bondar, D.I.; Cabrera, R.; Lompay, R.R.; Ivanov, M.Y.; Rabitz, H.A. Operational dynamic modeling transcending quantum and classical mechanics. Phys. Rev. Lett. 2012, 109, 190403. [Google Scholar] [CrossRef]
- Bevanda, P.; Sosnowski, S.; Hirche, S. Koopman operator dynamical models: Learning, analysis and control. Annu. Rev. Control 2021, 52, 197–212. [Google Scholar] [CrossRef]
- Joseph, I. Koopman–von Neumann approach to quantum simulation of nonlinear classical dynamics. Phys. Rev. Res. 2020, 2, 043102. [Google Scholar] [CrossRef]
- Bondar, D.I.; Gay-Balmaz, F.; Tronci, C. Koopman wavefunctions and classical–quantum correlation dynamics. Proc. R. Soc. A 2019, 475, 20180879. [Google Scholar] [CrossRef]
- Chruściński, D.; Jamiolkowski, A. Koopman’s approach to dissipation. Rep. Math. Phys. 2006, 57, 319–331. [Google Scholar] [CrossRef]
- Wigner, E. On the quantum correction for thermodynamic equilibrium. Phys. Rev. 1932, 40, 749–759. [Google Scholar] [CrossRef]
- Curtright, T.L.; Zachos, C.K. Quantum mechanics in phase space. Asia Pac. Phys. Newsl. 2012, 1, 37. [Google Scholar] [CrossRef]
- Zurek, W.H. Decoherence, einselection, and the quantum origins of the classical. Nature 2003, 412, 712–719. [Google Scholar] [CrossRef]
- Dragoman, D.; Dragoman, M. Quantum-Classical Analogues; Springer: Berlin/Heidelberg, Germany; New York, NY, USA, 2004; Chapter 8. [Google Scholar]
- Haroche, S.; Raimond, J.M. Exploring the Quantum: Atoms, Cavities and Photons; Oxford University Press: Oxford, UK, 2006. [Google Scholar]
- Liu, T.; Ma, B.-Q. Quark Wigner distributions in a light-cone spectator model. Phys. Rev. D 2015, 91, 034019. [Google Scholar] [CrossRef]
- Cohen, L. Time-frequency distributions—A review. Proc. IEEE 1989, 77, 941–981. [Google Scholar] [CrossRef]
- Ferrie, C.; Emerson, J. Frame representations of quantum mechanics and the necessity of negativity in quasi-probability representations. New J. Phys. 2009, 11, 063040. [Google Scholar] [CrossRef]
- Veitch, V.; Ferrie, C.; Gross, D.; Emerson, J. Negative quasi-probability as a resource for quantum computation. New J. Phys. 2012, 14, 113011. [Google Scholar] [CrossRef]
- Mari, A.; Eisert, J. Positive Wigner functions render classical simulation of quantum computation efficient. Phys. Rev. Lett. 2012, 109, 230503. [Google Scholar] [CrossRef] [PubMed]
- Zurek, W.H. Sub-Planck structure in phase space and its relevance for quantum decoherence. Nature 2001, 412, 712–717. [Google Scholar] [CrossRef]
- Koopman, B.O. Hamiltonian systems and transformation in Hilbert space. Proc. Natl. Acad. Sci. USA 1931, 17, 315–318. [Google Scholar] [CrossRef] [PubMed]
- von Neumann, J. Zur Operatorenmethode in der klassischen Mechanik. Ann. Math. 1932, 33, 587–642. [Google Scholar] [CrossRef]
- von Neumann, J. Zusätze zur Arbeit “Zur Operatorenmethode…”. Ann. Math. 1932, 33, 789–791. [Google Scholar] [CrossRef]
- Gozzi, E.; Pagani, C. Universal local symmetries and nonsuperposition in classical mechanics. Phys. Rev. Lett. 2010, 105, 150604. [Google Scholar] [CrossRef]
- Brumer, P.; Gong, J. Born rule in quantum and classical mechanics. Phys. Rev. A 2006, 73, 052109. [Google Scholar] [CrossRef]
- Carta, P.; Gozzi, E.; Mauro, D. Koopman–von Neumann formulation of classical Yang–Mills theories: I. Ann. Phys. 2006, 518, 177–215. [Google Scholar] [CrossRef]
- Blasone, M.; Jizba, P.; Kleinert, H. Path-integral approach to’t Hooft’s derivation of quantum physics from classical physics. Phys. Rev. A 2005, 71, 052507. [Google Scholar] [CrossRef]










| Parameter | Symbol | Values | Unit |
|---|---|---|---|
| Semi-major axis | a | 9600, 24,382, 42,164 | km |
| Eccentricity | e | 0.001, 0.01, 0.1 | – |
| Inclination | i | 5, 15, 25, 35, 45 | |
| Right ascension of node | 0, 120, 240 | ||
| Argument of perigee | 0, 120, 240 |
| Perturbation | Symbol | |
|---|---|---|
| Earth oblateness | ||
| Atmospheric drag | ||
| Solar radiation pressure |
| Scene | Factor | Error | H | p |
|---|---|---|---|---|
| Clean | Inclination | abs | 0.929 | 0.9203 |
| Clean | Inclination | R | 9.511 | 0.0495 |
| Clean | Inclination | T | 8.021 | 0.0908 |
| Clean | Inclination | N | 5.047 | 0.2825 |
| Clean | Semi-Major Axis | abs | 370.698 | 0.0000 |
| Clean | Semi-Major Axis | R | 0.569 | 0.7523 |
| Clean | Semi-Major Axis | T | 26.254 | 0.0000 |
| Clean | Semi-Major Axis | N | 0.543 | 0.7624 |
| Clean | Eccentricity | abs | 0.493 | 0.7814 |
| Clean | Eccentricity | R | 1.799 | 0.4067 |
| Clean | Eccentricity | T | 0.344 | 0.8418 |
| Clean | Eccentricity | N | 0.088 | 0.9568 |
| SysBias | Inclination | abs | 0.323 | 0.9883 |
| SysBias | Inclination | R | 7.676 | 0.1042 |
| SysBias | Inclination | T | 2.105 | 0.7165 |
| SysBias | Inclination | N | 0.239 | 0.9934 |
| SysBias | Semi-Major Axis | abs | 809.385 | 0.0000 |
| SysBias | Semi-Major Axis | R | 832.716 | 0.0000 |
| SysBias | Semi-Major Axis | T | 843.947 | 0.0000 |
| SysBias | Semi-Major Axis | N | 0.006 | 0.9972 |
| SysBias | Eccentricity | abs | 0.467 | 0.7916 |
| SysBias | Eccentricity | R | 0.317 | 0.1042 |
| SysBias | Eccentricity | T | 0.158 | 0.7165 |
| SysBias | Eccentricity | N | 0.101 | 0.9934 |
| ObsNoise | Inclination | abs | 2.352 | 0.6713 |
| ObsNoise | Inclination | R | 3.728 | 0.4441 |
| ObsNoise | Inclination | T | 2.426 | 0.6580 |
| ObsNoise | Inclination | N | 1.934 | 0.7478 |
| ObsNoise | Semi-Major Axis | abs | 713.261 | 0.0000 |
| ObsNoise | Semi-Major Axis | R | 1.254 | 0.5343 |
| ObsNoise | Semi-Major Axis | T | 0.227 | 0.8928 |
| ObsNoise | Semi-Major Axis | N | 1.675 | 0.4329 |
| ObsNoise | Eccentricity | abs | 0.431 | 0.8059 |
| ObsNoise | Eccentricity | R | 2.518 | 0.2840 |
| ObsNoise | Eccentricity | T | 0.048 | 0.9761 |
| ObsNoise | Eccentricity | N | 2.892 | 0.2355 |
| Time/s | 4 | 8 | 12 | 16 | 20 |
|---|---|---|---|---|---|
| error for Chebyshev [8,10]/m | 14.61 | 48.11 | 113.53 | 228.20 | 419.18 |
| error for Chebyshev [10,18]/m | 2.45 | 8.32 | 21.29 | 48.87 | 99.81 |
| error for Chebyshev [14,30]/m | 4.67 | 24.41 | 80.77 | 215.76 | 510.60 |
| Time/min | 0 | 1 | 2 | 3 | 4 | 5 | 6 | 7 | 8 | 9 | 10 |
|---|---|---|---|---|---|---|---|---|---|---|---|
| error (m) at semi-major axis: 9600 km | 5.9 | 9.8 | 17.9 | 29.0 | 42.2 | 56.4 | / | / | / | / | / |
| error (m) at semi-major axis: 42,164 km | 56.5 | 56.6 | 56.4 | 56.2 | 56.6 | 56.3 | 56.3 | 56.5 | 56.3 | 56.3 | 56.5 |
Disclaimer/Publisher’s Note: The statements, opinions and data contained in all publications are solely those of the individual author(s) and contributor(s) and not of MDPI and/or the editor(s). MDPI and/or the editor(s) disclaim responsibility for any injury to people or property resulting from any ideas, methods, instructions or products referred to in the content. |
© 2025 by the authors. Licensee MDPI, Basel, Switzerland. This article is an open access article distributed under the terms and conditions of the Creative Commons Attribution (CC BY) license.
Share and Cite
Chen, Z.; Dong, Q.; Zheng, J.; Shi, J.; Mao, Y.; Liu, S.; Liu, J. Operator Dynamics Approach to Short-Arc Orbital Prediction Based on the Wigner Distribution. Aerospace 2026, 13, 38. https://doi.org/10.3390/aerospace13010038
Chen Z, Dong Q, Zheng J, Shi J, Mao Y, Liu S, Liu J. Operator Dynamics Approach to Short-Arc Orbital Prediction Based on the Wigner Distribution. Aerospace. 2026; 13(1):38. https://doi.org/10.3390/aerospace13010038
Chicago/Turabian StyleChen, Zhiyuan, Qin Dong, Jinghui Zheng, Juan Shi, Yindun Mao, Siyu Liu, and Jingxi Liu. 2026. "Operator Dynamics Approach to Short-Arc Orbital Prediction Based on the Wigner Distribution" Aerospace 13, no. 1: 38. https://doi.org/10.3390/aerospace13010038
APA StyleChen, Z., Dong, Q., Zheng, J., Shi, J., Mao, Y., Liu, S., & Liu, J. (2026). Operator Dynamics Approach to Short-Arc Orbital Prediction Based on the Wigner Distribution. Aerospace, 13(1), 38. https://doi.org/10.3390/aerospace13010038

