Sign in to use this feature.

Years

Between: -

Subjects

remove_circle_outline
remove_circle_outline
remove_circle_outline
remove_circle_outline
remove_circle_outline
remove_circle_outline
remove_circle_outline
remove_circle_outline
remove_circle_outline

Journals

remove_circle_outline
remove_circle_outline
remove_circle_outline
remove_circle_outline
remove_circle_outline
remove_circle_outline
remove_circle_outline
remove_circle_outline
remove_circle_outline
remove_circle_outline
remove_circle_outline
remove_circle_outline
remove_circle_outline
remove_circle_outline

Article Types

Countries / Regions

remove_circle_outline
remove_circle_outline
remove_circle_outline
remove_circle_outline
remove_circle_outline

Search Results (1,590)

Search Parameters:
Keywords = orbit design

Order results
Result details
Results per page
Select all
Export citation of selected articles as:
34 pages, 15926 KB  
Article
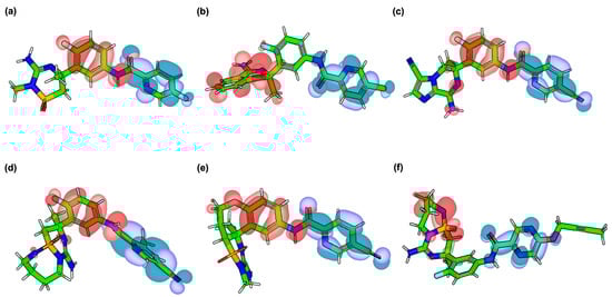
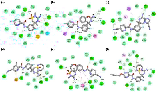
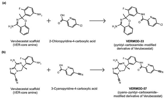
Rescuing Verubecestat: An Integrative Molecular Modeling and Simulation Approach for Designing Next-Generation BACE1 Inhibitors
by Doni Dermawan and Nasser Alotaiq
Int. J. Mol. Sci. 2025, 26(24), 12143; https://doi.org/10.3390/ijms262412143 - 17 Dec 2025
Abstract
β-site amyloid precursor protein cleaving enzyme 1 (BACE1) is a central therapeutic target in Alzheimer’s disease, as it catalyzes the rate-limiting step in amyloid-β production. Verubecestat (VER), a clinical BACE1 inhibitor, failed in late-stage trials due to limited efficacy and safety concerns. This [...] Read more.
β-site amyloid precursor protein cleaving enzyme 1 (BACE1) is a central therapeutic target in Alzheimer’s disease, as it catalyzes the rate-limiting step in amyloid-β production. Verubecestat (VER), a clinical BACE1 inhibitor, failed in late-stage trials due to limited efficacy and safety concerns. This study employed an integrative computational approach to design VER derivatives with improved binding affinity, stability, and pharmacokinetic profiles. Structural similarity analysis, Molecular docking, frontier molecular orbital (FMO) analysis, pharmacophore modeling, 200 ns molecular dynamics (MD) simulations, MM/PBSA free energy calculations, and per-residue decomposition were performed. In silico ADMET profiling assessed drug-likeness, absorption, and safety parameters. Docking and pharmacophore analyses identified derivatives with stronger complementarity in the BACE1 catalytic pocket. MD simulations revealed that VERMOD-33 and VERMOD-57 maintained low root mean square deviations (RMSDs) and stable binding orientations and induced characteristic flexibility in the flap and catalytic loops surrounding the catalytic dyad (Asp93 and Asp289), consistent with inhibitory activity. MM/PBSA confirmed the superior binding free energies of VERMOD-33 (−51.12 kcal/mol) and VERMOD-57 (−43.85 kcal/mol), both outperforming native VER (−35.33 kcal/mol). Per-residue decomposition highlighted Asp93, Asp289, and adjacent flap residues as major energetic contributors. ADMET predictions indicated improved oral absorption, BBB penetration, and no mutagenicity or toxicity alerts. Rationally designed VER derivatives, particularly VERMOD-33 and VERMOD-57, displayed enhanced binding energetics, stable inhibitory dynamics, and favorable pharmacokinetic properties compared with native VER. These findings provide a computational framework for rescuing VER and support further synthesis and experimental validation of next-generation BACE1 inhibitors for Alzheimer’s disease. Full article
Show Figures

Figure 1

21 pages, 6226 KB  
Article
Design and Analysis of Optical–Mechanical–Thermal Systems for a High-Resolution Space Camera
by Xiaohan Liu, Jian Jiao, Kaihui Gu, Hong Li, Wenying Zhang, Siqi Zhang, Wei Zhao, Zhaohui Pei, Bo Zhang, Zhifeng Cheng and Feng Yang
Sensors 2025, 25(24), 7617; https://doi.org/10.3390/s25247617 - 16 Dec 2025
Abstract
To meet the requirements of high resolution, compact size, and ultra-lightweight for micro–nano satellite optoelectronic payloads while ensuring high structural stability during launch and in-orbit operation, mirrors were designed with high surface accuracy. The opto-thermo-mechanical system of the space camera was designed and [...] Read more.
To meet the requirements of high resolution, compact size, and ultra-lightweight for micro–nano satellite optoelectronic payloads while ensuring high structural stability during launch and in-orbit operation, mirrors were designed with high surface accuracy. The opto-thermo-mechanical system of the space camera was designed and analyzed accordingly. First, an optical system was designed to achieve high resolution and a compact form factor. A coaxial triple-reflector configuration with multiple refractive paths was adopted, which significantly shortened the optical path and laid the foundation for a lightweight, compact structure. This design also defined the accuracy and tolerance requirements for the primary and secondary mirrors. Subsequently, mathematical models for topology optimization and dimensional optimization were established to optimize the design of the main support structure, primary mirror, and secondary mirror. Two design schemes for the main support structure and primary mirror were compared. Steady-state thermal analysis and thermal control design were carried out for both mirrors. Simulations were then performed on the main system (including the primary/secondary mirror assemblies and the main support structure). Under the combined effects of gravity, a 4 °C temperature increase, and an assembly flatness deviation of 0.01 mm, the surface accuracy of both mirrors, the displacement of the secondary mirror relative to the primary mirror reference, and the tilt angle all met the overall specification requirements. The system’s first-order natural frequency was 156.731 Hz. After precision machining, fabrication, and assembly, wavefront aberration testing was conducted on the main system with the optical axis horizontal. Under gravity, the root mean square (RMS) wavefront error at the center of the field of view was 0.073λ, satisfying the specification of ≤1/14λ. The fundamental frequency measured during vibration testing was 153.09 Hz, which aligned closely with the simulated value and well exceeded the requirement of 100 Hz. Additionally, in-orbit imaging verification was conducted. All results satisfied the technical specifications of the satellite’s overall requirements. Full article
(This article belongs to the Section Sensing and Imaging)
Show Figures

Figure 1

15 pages, 3818 KB  
Article
Application of Physical and Quantum-Chemical Characteristics of Epoxy-Containing Diluents for Wear-Resistant Epoxy Compositions
by Andrii Kulikov, Kostyantyn Sukhyy, Oleksandr Yeromin, Marcel Fedak, Olena Prokopenko, Iryna Sukha, Oleksii Poloz, Oleh Mikats, Tomas Hrebik, Olha Kulikova and Martin Lopusniak
Materials 2025, 18(24), 5643; https://doi.org/10.3390/ma18245643 - 16 Dec 2025
Abstract
Low-viscosity epoxy-containing diluents are used to reduce the initial viscosity of highly filled, wear-resistant epoxy systems and to improve filler wetting and dispersion. This study determined physical parameters by an atomic-increment approach and electronic descriptors using the Parametric Method 3 (PM3) semi-empirical method. [...] Read more.
Low-viscosity epoxy-containing diluents are used to reduce the initial viscosity of highly filled, wear-resistant epoxy systems and to improve filler wetting and dispersion. This study determined physical parameters by an atomic-increment approach and electronic descriptors using the Parametric Method 3 (PM3) semi-empirical method. Clear relationships were established between the effective molar cohesion energy and the solubility parameter with van der Waals volume. Linear dependencies were also obtained between the diluent surface tension and spreading coefficients on model high-hardness fillers, including silicon carbide, boron carbide, and normal corundum. The activity of epoxy diluents depends on the lowest unoccupied molecular orbital energy. These diluents influence processing and the final physical and mechanical properties of composites, making their selection critical for strength, hardness, and wear resistance. Computational analysis enables prediction of diluent behavior, reducing experimental time and cost. Integrating physical and quantum-chemical data into epoxy diluent design accelerates the search for optimal components and improves production of durable, high-performance epoxy composites. Full article
Show Figures

Figure 1

23 pages, 3582 KB  
Article
Compact Onboard Telemetry System for Real-Time Re-Entry Capsule Monitoring
by Nesrine Gaaliche, Christina Georgantopoulou, Ahmed M. Abdelrhman and Raouf Fathallah
Aerospace 2025, 12(12), 1105; https://doi.org/10.3390/aerospace12121105 - 14 Dec 2025
Viewed by 165
Abstract
This paper describes a compact low-cost telemetry system featuring ready-made sensors and an acquisition unit based on the ESP32, which makes use of the LoRa/Wi-Fi wireless standard for communication, and autonomous fallback logging to guarantee data recovery during communication loss. Ensuring safe atmospheric [...] Read more.
This paper describes a compact low-cost telemetry system featuring ready-made sensors and an acquisition unit based on the ESP32, which makes use of the LoRa/Wi-Fi wireless standard for communication, and autonomous fallback logging to guarantee data recovery during communication loss. Ensuring safe atmospheric re-entry requires reliable onboard monitoring of capsule conditions during descent. The system is intended for sub-orbital, low-cost educational capsules and experimental atmospheric descent missions rather than full orbital re-entry at hypersonic speeds, where the environmental loads and communication constraints differ significantly. The novelty of this work is the development of a fully self-contained telemetry system that ensures continuous monitoring and fallback logging without external infrastructure, bridging the gap in compact solutions for CubeSat-scale capsules. In contrast to existing approaches built around UAVs or radar, the proposed design is entirely self-contained, lightweight, and tailored to CubeSat-class and academic missions, where costs and infrastructure are limited. Ground test validation consisted of vertical drop tests, wind tunnel runs, and hardware-in-the-loop simulations. In addition, high-temperature thermal cycling tests were performed to assess system reliability under rapid temperature transitions between −20 °C and +110 °C, confirming stable operation and data integrity under thermal stress. Results showed over 95% real-time packet success with full data recovery in blackout events, while acceleration profiling confirmed resilience to peak decelerations of ~9 g. To complement telemetry, the TeleCapsNet dataset was introduced, facilitating a CNN recognition of descent states via 87% mean Average Precision, and an F1-score of 0.82, which attests to feasibility under constrained computational power. The novelty of this work is twofold: having reliable dual-path telemetry in real-time with full post-mission recovery and producing a scalable platform that explicitly addresses the lack of compact, infrastructure-independent proposals found in the existing literature. Results show an independent and cost-effective system for small re-entry capsule experimenters with reliable data integrity (without external infrastructure). Future work will explore AI systems deployment as a means to prolong the onboard autonomy, as well as to broaden the applicability of the presented approach into academic and low-resource re- entry investigations. Full article
Show Figures

Figure 1

17 pages, 3550 KB  
Article
Metal-Assisted Deprotonation as a Key Step in Selective Copper Extraction: A Theoretical and Experimental Study
by Rene Maurelia, Pedro Pablo Zamora, Felipe M. Galleguillos Madrid and Víctor M. Jiménez-Arévalo
Int. J. Mol. Sci. 2025, 26(24), 11955; https://doi.org/10.3390/ijms262411955 - 11 Dec 2025
Viewed by 112
Abstract
The growing demand for copper, together with the environmental limitations of conventional recovery methods, has intensified the search for extractants capable of operating directly in acidic mining solutions. In this work, a combined experimental–theoretical approach is presented to understand the coordination and extraction [...] Read more.
The growing demand for copper, together with the environmental limitations of conventional recovery methods, has intensified the search for extractants capable of operating directly in acidic mining solutions. In this work, a combined experimental–theoretical approach is presented to understand the coordination and extraction behaviour of Cu2+, Ni2+, Co2+ and Cd2+ ions with the ligand HDDMP (4-hexyl-dithiocarboxylate-5-hydroxy-3-methyl-1-phenylpyrazole). Experimental solvent-extraction tests show that copper forms stable coordination complexes even under highly acidic conditions (pH ≈ 0), unlike Ni2+, Co2+ and Cd2+, which require higher pH values for efficient extraction. DFT calculations reveal that Cu2+ promotes a spontaneous, low-barrier deprotonation–coordination process that is exergonic and electronically stabilised through strong Cu–S orbital interactions. This mechanism explains the exceptional selectivity of HDDMP towards copper, in which the copper ion acts simultaneously as both a coordinating centre and a deprotonating agent. These findings provide a molecular basis for designing new extractants suited to hydrometallurgical environments, offering direct industrial relevance for acidic copper-recovery circuits, minimising reagent consumption and improving selectivity in solvent-extraction processes widely used in mining operations. Full article
(This article belongs to the Section Physical Chemistry and Chemical Physics)
Show Figures

Figure 1

15 pages, 8915 KB  
Review
An Extremely Low Mass Ratio Binary at the Key Stage of Evolution
by Fen Liu, Difu Guo, Xu Chen, Kai Li, Changming Zhang and Jiaming Ai
Galaxies 2025, 13(6), 135; https://doi.org/10.3390/galaxies13060135 - 11 Dec 2025
Viewed by 171
Abstract
This study presents multi-band photometric observations and detailed period analysis of a totally eclipsing binary system exhibiting low photometric amplitude. The system exhibits characteristic W Ursae Majoris (EW)-type light curves with complete eclipses. In our light curve modeling, we tested two setups: one [...] Read more.
This study presents multi-band photometric observations and detailed period analysis of a totally eclipsing binary system exhibiting low photometric amplitude. The system exhibits characteristic W Ursae Majoris (EW)-type light curves with complete eclipses. In our light curve modeling, we tested two setups: one excluding third light and the other including it as a free parameter (accounting for a potential tertiary component). Photometric analysis reveals that ASASSN-V J171815.10+450432.9 (hereafter J171815) represents a marginal contact binary system with an extreme mass ratio (the more massive component is designated as the primary star), approaching the theoretical lower limit for stable contact configurations. Furthermore, our investigation of orbital period variations uncovers a long-term period increase at a rate of dPdt=(1.08±0.05)×106dayyr1, which is likely attributable to ongoing mass transfer between components. This interpretation aligns with the system’s geometric configuration and observed light curve asymmetries. The unique characteristics presented by this binary system serve as a rare opportunity for in-depth research on the mass ratio theory, and also provide an important opportunity for testing the Thermal Relaxation Oscillation (TRO) theory. Full article
Show Figures

Figure 1

19 pages, 4097 KB  
Article
Conceptual Design of a Small, Low-Orbit Earth Observation Spacecraft with Electric Propulsion Thrusters
by Vadim Salmin, Vladimir Volotsuev, Sergey Safronov, Myo Htet Aung, Valery Abrashkin and Maksim Korovin
Aerospace 2025, 12(12), 1100; https://doi.org/10.3390/aerospace12121100 - 11 Dec 2025
Viewed by 164
Abstract
The article presents an approach to designing a low-orbit remote Earth sensing spacecraft. The low operational orbit of the satellite is maintained using a corrective electric propulsion system. The comprises an optical imaging system based on the Richey-Cretien telescope design augmented with an [...] Read more.
The article presents an approach to designing a low-orbit remote Earth sensing spacecraft. The low operational orbit of the satellite is maintained using a corrective electric propulsion system. The comprises an optical imaging system based on the Richey-Cretien telescope design augmented with an additional swivel reflection mirror. The optical system’s layout was optimized to minimize the spacecraft’s midsection area. This reduction in the frontal cross-sectional area decreases the aerodynamic drag forces exerted by the upper atmosphere, thereby reducing the propellant mass required for orbit maintenance. The article presents a model of constraints imposed by the satellite’s power supply system on the operating modes of the electric propulsion system and the orbit correction modes. Finally, a preliminary design of a low-orbit satellite, derived from the proposed approach, is presented. Full article
(This article belongs to the Section Astronautics & Space Science)
Show Figures

Figure 1

15 pages, 10327 KB  
Article
Particle Swarm Optimization for Orbital Configuration of Satellite Constellations in Geostationary Orbit
by Peilin Li, Chengyuan Liu, Guodong Xu and Xinzhu Sun
Aerospace 2025, 12(12), 1095; https://doi.org/10.3390/aerospace12121095 - 9 Dec 2025
Viewed by 103
Abstract
The geostationary orbit (GEO), a finite one-dimensional longitudinal resource, has emerged as a critical research focus driven by the rapid development of global communication systems. This scarcity motivates current research efforts toward multi-satellite collocation within single longitudinal slots. This article investigates the optimization [...] Read more.
The geostationary orbit (GEO), a finite one-dimensional longitudinal resource, has emerged as a critical research focus driven by the rapid development of global communication systems. This scarcity motivates current research efforts toward multi-satellite collocation within single longitudinal slots. This article investigates the optimization design problem of configurations at fixed longitudes in GEO. First, a kinematic model describing the relative fixed-point motion of geostationary satellites was established. Subsequently, the long-term stability conditions of these fixed-point configurations under J2 perturbations were analyzed, with collocation flight stability and passive flight safety formulated as design constraints. The particle swarm optimization (PSO) algorithm was employed to design circular and straight-line spatial configurations, and their corresponding Kepler orbital elements were numerically simulated. Comparative analysis confirmed that circular configurations demonstrate superior stability compared to straight-line configurations. Full article
(This article belongs to the Section Astronautics & Space Science)
Show Figures

Figure 1

14 pages, 10435 KB  
Article
Normal Spiral Grand-Design Morphologies in Self-Consistent N-Body Models
by P. A. Patsis and P. Okalidis
Galaxies 2025, 13(6), 132; https://doi.org/10.3390/galaxies13060132 - 8 Dec 2025
Viewed by 131
Abstract
Grand-design spiral structures typically emerge in N-body simulations of disk galaxies as barred-spiral configurations forming during the early evolutionary stages of the system. In this study, we explore the dynamical conditions that allow for the formation and sustained presence of a non-barred, [...] Read more.
Grand-design spiral structures typically emerge in N-body simulations of disk galaxies as barred-spiral configurations forming during the early evolutionary stages of the system. In this study, we explore the dynamical conditions that allow for the formation and sustained presence of a non-barred, bisymmetric grand-design spiral pattern in fully self-consistent N-body models over considerable time periods. We present a model in which such non-barred morphologies persist for approximately 2.5 Gyr. The simulation is carried out using a standard implementation of the GADGET-3 code, incorporating both stellar and gaseous components in the disk and embedding them within a live dark matter halo. A characteristic feature of the simulation is that during its normal spiral grand-design phase the disk remains submaximal. Star formation is active throughout the model’s evolution. Analysis of the resulting morphology indicates that dominant inner, symmetric spiral arms extend between the inner Lindblad resonance (ILR) and the radial inner 4:1 resonance. This structure is evident in both the stellar and gaseous components, exhibiting extensions and bifurcations consistent with predictions from orbital theory. Full article
Show Figures

Figure 1

18 pages, 3903 KB  
Article
Tolerance Analysis of Test Mass Alignment Errors for Space-Based Gravitational Wave Detection
by Jun Ke, Ruihong Gao, Jinghan Liu, Mengyang Zhao, Ziren Luo, Jia Shen and Peng Dong
Sensors 2025, 25(23), 7393; https://doi.org/10.3390/s25237393 - 4 Dec 2025
Viewed by 218
Abstract
Space-based gravitational wave detection imposes extremely high requirements on displacement measurement accuracy, with its core measurement components being laser interferometers and inertial sensors. The laser interferometers detect gravitational wave signals by measuring the distance between two test masses (TMs) housed within the inertial [...] Read more.
Space-based gravitational wave detection imposes extremely high requirements on displacement measurement accuracy, with its core measurement components being laser interferometers and inertial sensors. The laser interferometers detect gravitational wave signals by measuring the distance between two test masses (TMs) housed within the inertial sensors. Spatial alignment errors of the TMs relative to the laser interferometers can severely degrade the interferometric performance, primarily by significantly amplifying tilt-to-length (TTL) coupling noise and reducing interferometric efficiency. This paper presents a systematic analysis of the coupling mechanisms between TM alignment errors and TTL coupling noise. We first establish a comprehensive TTL noise model that accounts for alignment errors, then verify and analyze it through optical simulations. This research ultimately clarifies the coupling mechanisms of TM alignment errors in the context of space-borne gravitational wave missions and determines the allowable alignment tolerance specifications required to meet the gravitational wave detection sensitivity requirements. This work provides critical theoretical foundations and design guidance for the ground alignment procedures and on-orbit performance prediction of future space-based gravitational wave detection missions. Full article
(This article belongs to the Section Optical Sensors)
Show Figures

Figure 1

13 pages, 2872 KB  
Article
Single TM−N4 Anchored on Topological Defective Graphene for Electrocatalytic Nitrogen Reduction: A DFT Study
by Shuxin Kuai, Haozhe Dong, Xuemei Duan, Meiyan Wang and Jingyao Liu
Catalysts 2025, 15(12), 1135; https://doi.org/10.3390/catal15121135 - 3 Dec 2025
Viewed by 363
Abstract
Defect engineering can effectively regulate the catalytic activity of single-atom catalysts anchored on the graphene substrate. Based on graphene with topological defects consisting of 5,7-membered carbon rings, we designed and investigated twenty transition metal single-atom catalysts TM-N4-C57 (TM = Sc~Cu, Zr~Mo, [...] Read more.
Defect engineering can effectively regulate the catalytic activity of single-atom catalysts anchored on the graphene substrate. Based on graphene with topological defects consisting of 5,7-membered carbon rings, we designed and investigated twenty transition metal single-atom catalysts TM-N4-C57 (TM = Sc~Cu, Zr~Mo, Ru, Rh, Hf~Ir) for electrocatalytic nitrogen reduction reaction (NRR) using density functional theory (DFT) calculations. Employing a screening strategy that considers binding energy, N2 adsorption, catalytic activity, selectivity, and thermal stability, we ultimately screened out two electrocatalysts (Mo-N4-C57 and W-N4-C57) with excellent catalytic activity and selectivity. The NRR pathways on these two catalysts proceed through distal and consecutive pathways, with limiting potentials of −0.19 and −0.53 V for Mo-N4-C57 and W-N4-C57, respectively. The activity origin was elucidated through the analysis of partial density of states (PDOS) and crystal orbital Hamilton populations (COHP), suggesting that the interaction between Mo and NH2 in the *NH2 intermediate is relatively weak. An excellent linear relationship between UL and ICOHP has been identified, suggesting it as a descriptor. This work provides a theoretical basis for designing efficient NRR catalysts with modified second coordination spheres. Full article
(This article belongs to the Special Issue Single-Atom Catalysts: Current Trends, Challenges, and Prospects)
Show Figures

Graphical abstract

10 pages, 1733 KB  
Article
Cyclo[48]carbon—Evaluation of Its Inherent Magnetic Behavior and Anisotropy from DFT Calculations
by Peter L. Rodríguez-Kessler and Alvaro Muñoz-Castro
Chemistry 2025, 7(6), 192; https://doi.org/10.3390/chemistry7060192 - 1 Dec 2025
Viewed by 358
Abstract
Cyclo[48]carbon (C48) exhibits an aesthetically pleasant structure featuring a cyclic polyyne, and it serves as a prototypical medium-sized ring that moves us towards an understanding of its overall magnetic behavior in a challenging molecular shape through analysis of its induced magnetic field. The [...] Read more.
Cyclo[48]carbon (C48) exhibits an aesthetically pleasant structure featuring a cyclic polyyne, and it serves as a prototypical medium-sized ring that moves us towards an understanding of its overall magnetic behavior in a challenging molecular shape through analysis of its induced magnetic field. The isotropic induced magnetic field (NICS) profile shows a strong deshielding region at the ring center and a shielding region near the carbon rim, indicating antiaromatic behavior. Under a perpendicular magnetic field, a pronounced deshielding cone extends from the ring center, whereas a parallel external field induces a localized shielding near the carbon backbone. This results in significant magnetic anisotropy above and below the ring plane, characteristic of its medium-sized cyclic structure. Decomposition of the magnetic shielding highlights that paramagnetic effects predominantly govern the magnetic response and anisotropy of C48, with diamagnetic contributions playing a minor role. These insights suggest that chemical modifications targeting frontier orbitals could effectively tune the magnetic properties of cyclo[48]carbon, providing a foundation for the design of substituted derivatives with tailored diamagnetic anisotropy for advanced material applications. Full article
Show Figures

Graphical abstract

18 pages, 8884 KB  
Article
Effect of the Position and Size of the Guiding Holes on Planetary Gear Tooth Root Stress in Simple Planetary Gears
by Zoltán Forgó, Ferenc Tolvaly-Roșca and Adolfo Senatore
Eng 2025, 6(12), 342; https://doi.org/10.3390/eng6120342 - 1 Dec 2025
Viewed by 238
Abstract
Planetary gears consisting of simple external gear wheels and an internal ring gear are widely used in industry in various fields. This type of drive is most commonly found in robots, and it is also frequently used in the automotive industry, such as [...] Read more.
Planetary gears consisting of simple external gear wheels and an internal ring gear are widely used in industry in various fields. This type of drive is most commonly found in robots, and it is also frequently used in the automotive industry, such as in wheel hub drives, in addition to general engineering. This study investigates the design of simple planetary gears manufactured with involute gearing. In simple internal gear planetary gears, the orbiting motion of the planetary gear is transferred to the output shaft by a radial balancing clutch and converted into rotary motion through the planetary gear’s guiding holes and the output element’s pins. The guiding holes reduce the planetary gear teeth strength, and the rim thickness “h” has a fundamental influence on the resulting tooth root stress. The main objective of this research is to design external gears with relief for simple planetary gears with a rim thickness “h” that does not decrease the load-carrying capacity. The dimensioning of involute gearing is well known, but the tooth root weakening effect of the clearance holes in such planetary gears is not known. Therefore, this paper focuses on analyzing how the size and position of the guiding holes influence tooth root stress, using finite element method (FEM) calculations performed in SolidWorks 2023. This study aimed to determine the rim thickness “h” required for the design of such a gear in order not to weaken the load-carrying capacity of the gear teeth. As a result of the research, the design of the guiding holes and the wheel relief holes can be performed with an accurate knowledge of their influence on tooth stress. The research results also make it possible to design this type of planetary gear using simple analytical calculation algorithms. Our goal was to define a simple design limit that could be used specifically in the preliminary design phase. This allows designers to determine the positions and dimensions of the guiding holes in the preliminary design phase without affecting the tooth stress. Full article
(This article belongs to the Special Issue Interdisciplinary Insights in Engineering Research)
Show Figures

Figure 1

24 pages, 4286 KB  
Article
Concept of 3D Antenna Array for Sub-GHz Rotator-Less Small Satellite Ground Stations and Advanced IoT Gateways
by Maryam Jahanbakhshi and Ivo Vertat
Telecom 2025, 6(4), 92; https://doi.org/10.3390/telecom6040092 - 1 Dec 2025
Viewed by 249
Abstract
Phased antenna arrays have revolutionized modern wireless systems by enabling dynamic beamforming, multibeam synthesis, and user tracking to enhance data rates and reduce interferences, yet their reliance on expensive active components (e.g., phase shifters, amplifiers) embedded in antenna array elements limits adoption in [...] Read more.
Phased antenna arrays have revolutionized modern wireless systems by enabling dynamic beamforming, multibeam synthesis, and user tracking to enhance data rates and reduce interferences, yet their reliance on expensive active components (e.g., phase shifters, amplifiers) embedded in antenna array elements limits adoption in cost-sensitive sub-GHz applications. Therefore, the active phased antenna arrays are still considered as high-end technology and primarily designed only for high-frequency bands and demanding applications such as radars and mobile base stations in microwave bands. In contrast, various important radio communication services still operate in sub-GHz bands with no adequate solution for modern antenna systems with beamforming capability. This paper introduces a 3D antenna array with switched-beam or multibeam capability, designed to eliminate mechanical rotators and active circuitry while maintaining all-sky coverage. By integrating collinear radiating elements with a Butler matrix feed network, the proposed 3D array achieves transmit/receive multibeam operation in the 435 MHz amateur satellite band and adjacent 433 MHz ISM band. Simulations demonstrate a design that provides selectable eight beams, enabling horizontal 360° coverage with only one radio connected to the Butler matrix. If eight noncoherent radios are used simultaneously, the proposed antenna array acts as a multibeam all-sky coverage antenna. Innovations in our design include a 3D circular collinear topology combining the broad and adjustable elevation coverage of collinear antennas with azimuthal beam steering, a passive Butler matrix enabling bidirectional transmit/receive multibeam operation, and scalability across sub-GHz bands where collinear antennas dominate (e.g., Lora WAN, trunked radio). Results show sufficient gain, confirming feasibility for low-earth-orbit satellite tracking or long-range IoT backhaul, and maintenance-free beamforming solutions in sub-GHz bands. Given the absence of practical beamforming or multibeam-capable solutions in this frequency band, our novel concept—featuring non-coherent cooperation across multiple ground stations and/or beams—has the potential to fundamentally transform how the growing number of CubeSats in low Earth orbit can be efficiently supported from the ground segment perspective. Full article
Show Figures

Figure 1

23 pages, 3344 KB  
Article
Simulation and Design of a CubeSat-Compatible X-Ray Photovoltaic Payload Using Timepix3 Sensors
by Ashraf Farahat, Juan Carlos Martinez Oliveros and Stuart D. Bale
Aerospace 2025, 12(12), 1072; https://doi.org/10.3390/aerospace12121072 - 30 Nov 2025
Viewed by 188
Abstract
This study investigates the use of Si and CdTe-based Timepix3 detectors for photovoltaic energy conversion using solar X-rays and other high-energy electromagnetic radiation in space. As space missions increasingly rely on miniaturized platforms like CubeSats, power generation in compact and radiation-prone environments remains [...] Read more.
This study investigates the use of Si and CdTe-based Timepix3 detectors for photovoltaic energy conversion using solar X-rays and other high-energy electromagnetic radiation in space. As space missions increasingly rely on miniaturized platforms like CubeSats, power generation in compact and radiation-prone environments remains a critical challenge. Conventional solar panels are limited by size and spectral sensitivity, prompting the need for alternative energy harvesting solutions—particularly in the high-energy X-ray domain. A novel CubeSat-compatible payload design incorporates a UV-visible filter to isolate incoming X-rays, which are then absorbed by semiconductor detectors to generate electric current through ionization. Laboratory calibration was performed using Fe-55, Ba-133, and Am-241 sources to compare spectral response and clustering behaviour. CdTe consistently outperformed Si in detection efficiency, spectral resolution, and cluster density due to its higher atomic number and material density. Equalization techniques further improved pixel threshold uniformity, enhancing spectroscopic reliability. In addition to experimental validation, simulations were conducted to quantify the expected energy conversion performance under orbital conditions. Under quiet-Sun conditions at 500 km LEO, CdTe absorbed up to 1.59 µW/cm2 compared to 0.69 µW/cm2 for Si, with spectral power density peaking between 10 and 20 keV. The photon absorption efficiency curves confirmed CdTe’s superior stopping power across the 1–100 keV range. Under solar flare conditions, absorbed power increased dramatically, up to 159 µW/cm2 for X-class and 15.9 µW/cm2 for C-class flares with CdTe sensors. A time-based energy model showed that a 10 min X-class flare could yield nearly 1 mJ/cm2 of harvested energy. These results validate the concept of a compact photovoltaic payload capable of converting high-energy solar radiation into electrical power, with dual-use potential for both energy harvesting and radiation monitoring aboard small satellite platforms. Full article
(This article belongs to the Special Issue Small Satellite Missions (2nd Edition))
Show Figures

Figure 1

Back to TopTop