Sign in to use this feature.

Years

Between: -

Subjects

remove_circle_outline
remove_circle_outline
remove_circle_outline
remove_circle_outline
remove_circle_outline
remove_circle_outline
remove_circle_outline
remove_circle_outline
remove_circle_outline

Journals

remove_circle_outline
remove_circle_outline
remove_circle_outline
remove_circle_outline
remove_circle_outline
remove_circle_outline
remove_circle_outline
remove_circle_outline
remove_circle_outline
remove_circle_outline
remove_circle_outline

Article Types

Countries / Regions

remove_circle_outline
remove_circle_outline
remove_circle_outline
remove_circle_outline
remove_circle_outline
remove_circle_outline

Search Results (879)

Search Parameters:
Keywords = optimal catalytic temperature

Order results
Result details
Results per page
Select all
Export citation of selected articles as:
25 pages, 5850 KB  
Article
Effect of Promoters on Co/Al2O3 Catalysts for Partial Oxidation of Methane: Structure–Activity Correlations
by Khaled M. Banabdwin, Abdulaziz A. M. Abahussain, Amal BaQais, Ahmed A. Bhran, Alaaddin M. M. Saeed, Nawaf N. Alotaibi, Mohammed Abdullh Al Sudairi, Ahmed A. Ibrahim, Sunit Kumar Singh and Ahmed S Al-Fatesh
Catalysts 2025, 15(12), 1176; https://doi.org/10.3390/catal15121176 - 18 Dec 2025
Abstract
The development of cost-effective non-noble metal catalysts for the partial oxidation of methane (POM) remains a key strategy for producing hydrogen-rich syngas while mitigating greenhouse gas emissions. In this study, cobalt-supported alumina (Co/Al2O3) catalysts were prepared using 5 wt.% [...] Read more.
The development of cost-effective non-noble metal catalysts for the partial oxidation of methane (POM) remains a key strategy for producing hydrogen-rich syngas while mitigating greenhouse gas emissions. In this study, cobalt-supported alumina (Co/Al2O3) catalysts were prepared using 5 wt.% of Co and calcined at 600, 700, and 800 °C. Subsequently, Co/Al2O3 catalysts were promoted with 10 wt.% Mg, Si, Ti, and Zr at the optimized calcination temperature. The catalysts were systematically characterized by FT-IR, XRD, N2 physisorption, H2-TPR, and XPS analyses. Catalytic activity tests for POM of CH4 were conducted at 600 °C (CH4/O2 = 2 and GHSV = 14,400 mL g−1 h−1). Catalysts calcined at 700 °C (5Co/Al_700) exhibited the highest activity among unpromoted samples, with CH4 conversion of 43.9% and H2 yield of 41.8%. The superior performance was attributed to its high surface area and the abundance of reducible Co3+ species, generating a greater number of Co0 active sites. XPS results confirmed the structural stability of γ-Al2O3 and preserved Co–Al interactions across calcination temperatures, while promoters mainly modulated Co dispersion and redox accessibility. Among the promoted catalysts, the activity order followed: 5Co/10ZrAl > 5Co/10MgAl> unpromoted-5Co/Al_700 > 5Co/10SiAl > 5Co/10TiAl. Si and Ti promoted catalysts acquired less concentration of active sites and less activity as well. The concentration of reducible species as well as initial activity towards POM are comparable over Zr and Mg-promoted catalysts. However, earlier one has a higher edge of reducibility and sustained constant activity over time in a stream study. The Zr-promoted catalyst exhibited superior reducibility and remarkable stability, achieving 47.3% CH4 conversion and 44.4% H2 yield sustained over 300 min time-on-stream. TEM analysis of spent 5Co/10ZrAl indicated that Zr promotion suppressed graphitic carbon formation. Full article
Show Figures

Figure 1

29 pages, 4009 KB  
Article
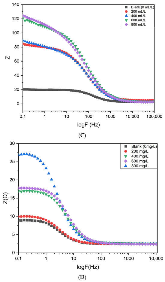
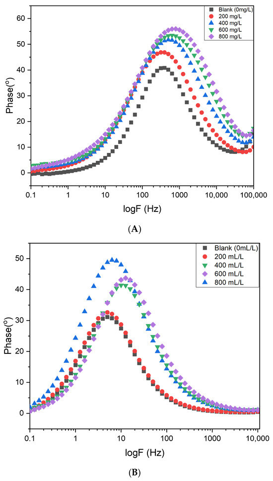
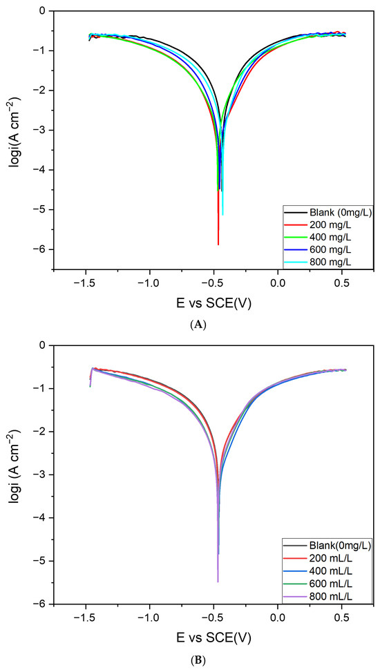
Plant-Mediated Synthesis of Electrocatalytically Active Cd–Cs Mixed Oxide Nanocomposites and Their Multifunctional Antioxidant and Anticorrosive Performance
by Shivani Naik, Ruchi Bharti, Renu Sharma, Sónia A. C. Carabineiro and Manas Sutradhar
Surfaces 2025, 8(4), 91; https://doi.org/10.3390/surfaces8040091 - 17 Dec 2025
Abstract
Mild steel readily corrodes in acidic environments, and most industrial corrosion inhibitors are synthetic, often toxic, and environmentally harmful. In this study, electrocatalytically active Cd–Cs mixed oxide nanocomposites were synthesized via a green route using an aqueous extract of Trachyspermum ammi (ajwain) seeds [...] Read more.
Mild steel readily corrodes in acidic environments, and most industrial corrosion inhibitors are synthetic, often toxic, and environmentally harmful. In this study, electrocatalytically active Cd–Cs mixed oxide nanocomposites were synthesized via a green route using an aqueous extract of Trachyspermum ammi (ajwain) seeds as a natural reducing, stabilizing, and capping agent. This eco-friendly method eliminates harsh chemicals while producing nanomaterials with active surfaces capable of facilitating electron transfer and scavenging free radicals. Incorporation of cesium introduces basic, electron-rich sites on the Cd–Cs oxide surface, serving as inhibition promoters that enhance charge transfer at the metal/electrolyte interface and assist in the formation of an adsorbed protective film on steel. The nanocomposites were optimized by adjusting precursor ratios, pH, temperature, and reaction time, and were characterized by UV–Vis, FTIR, XRD, SEM–EDS, HR-TEM EDS, BET, DLS, XPS, and zeta potential analyses. Strong antioxidant activity in ABTS and DPPH assays confirmed efficient catalytic quenching of reactive radicals. Corrosion inhibition potential, evaluated by using potentiodynamic polarization, electrochemical impedance spectroscopy, and gravimetric analysis in 0.5 M HCl, shows an inhibition efficiency of 90–91%. This performance is associated with an electrocatalytically active, adsorbed barrier layer that suppresses both anodic dissolution and cathodic hydrogen evolution, which depicts mixed-type inhibition. Overall, the biosynthesized Cd–Cs mixed oxide nanocomposites function as promising green synthesized nanomaterial with dual antioxidant and corrosion-inhibiting functions, underscoring their potential for advanced surface engineering and corrosion protection. Full article
(This article belongs to the Special Issue Recent Advances in Catalytic Surfaces and Interfaces, 2nd Edition)
Show Figures

Graphical abstract

26 pages, 8555 KB  
Article
Investigation on Multi-Load Reaction Characteristics and Field Synergy of a Diesel Engine SCR System Based on an Eley-Rideal and Langmuir-Hinshelwood Dual-Mechanism Coupled Model
by Muxin Nian, Jingyang Liao, Weihuang Zhong, Linfeng Zheng, Shengfeng Luo and Haichuan Zhang
Energies 2025, 18(24), 6571; https://doi.org/10.3390/en18246571 - 16 Dec 2025
Viewed by 155
Abstract
The selective catalytic reduction (SCR) system is a key component for addressing NOx emissions from internal combustion engines. To resolve the issues of modeling distortion in SCR systems and the difficulty in characterizing the local reaction mechanism, a multi-dimensional SCR reaction model based [...] Read more.
The selective catalytic reduction (SCR) system is a key component for addressing NOx emissions from internal combustion engines. To resolve the issues of modeling distortion in SCR systems and the difficulty in characterizing the local reaction mechanism, a multi-dimensional SCR reaction model based on the coupling of Eley-Rideal (E-R) and Langmuir-Hinshelwood (L-H) dual mechanisms was established and conducted by experiment. The SCR catalytic characteristics and the dual-mechanism reaction process were systematically investigated. Additionally, based on the combined analysis of species concentration distribution coupled with temperature characteristics, a calculation method for the synergy of concentration-temperature fields was developed, and the synergistic characteristics of the concentration-temperature fields were explored. The results showed that high load accelerated the light-off speed, but this effect was counteracted by the negative impact of high flow rate. A strong negative correlation was maintained between temperature and NOx concentration across the full load range, and the axial consistency increased with load increasing. The results provide important theoretical support for the mechanism analysis of diesel engine SCR reactions and the optimization of thermal management. Full article
Show Figures

Figure 1

19 pages, 2702 KB  
Article
Sustainable Activation of Persulfate Using Corn Cob Biochar for Pesticide Degradation in Wastewater Treatment
by Tijana Marjanović Srebro, Nina Đukanović, Tajana Simetić, Tamara Apostolović, Jasmina Anojčić, Sanja Mutić and Jelena Beljin
Molecules 2025, 30(24), 4764; https://doi.org/10.3390/molecules30244764 - 13 Dec 2025
Viewed by 166
Abstract
This study investigates the potential of corn cob-derived biochars produced at 400 °C (BC400) and 700 °C (BC700) as heterogeneous catalysts for the degradation of organochlorine pesticides, lindane and β-endosulfan, through persulfate-based advanced oxidation processes (AOPs). BC700 exhibited enhanced degradation performance compared to [...] Read more.
This study investigates the potential of corn cob-derived biochars produced at 400 °C (BC400) and 700 °C (BC700) as heterogeneous catalysts for the degradation of organochlorine pesticides, lindane and β-endosulfan, through persulfate-based advanced oxidation processes (AOPs). BC700 exhibited enhanced degradation performance compared to BC400, likely due to its greater surface area, higher aromaticity, and lower surface polarity. Under optimized conditions (3.0 mM persulfate, pH 7.02, 0.2 g/L biochar), BC700 enabled the removal of up to 94% of β-endosulfan and 82% of lindane within four hours. Quenching experiments suggested different dominant degradation pathways: singlet oxygen (1O2) appeared to play a key role in lindane degradation, while β-endosulfan degradation likely involved both radical (SO4•−, HO) and non-radical mechanisms. Reusability tests indicated that BC700 retained catalytic activity for β-endosulfan across multiple cycles, whereas lindane degradation efficiency decreased, possibly due to surface fouling or catalyst deactivation. Experiments conducted in real surface water highlighted the influence of matrix components, with partial inhibition observed for β-endosulfan and an unexpected improvement in lindane removal. These results point to the promise of high-temperature corn cob biochar as a selective and potentially reusable catalyst for AOPs in water treatment, warranting further investigation into regeneration strategies and matrix-specific effects. Full article
Show Figures

Figure 1

16 pages, 1035 KB  
Article
Construction of Modified Silica Gel Catalysts and Their Enhancement of Fructose Dehydration for 5-HMF Production
by Liya Zheng, Yongshui Qu, Yibing Li, Yuanxin Cao, Quanyuan Wei and Ming Fang
Catalysts 2025, 15(12), 1160; https://doi.org/10.3390/catal15121160 - 10 Dec 2025
Viewed by 247
Abstract
To address the challenges of difficult recovery, significant environmental hazards associated with homogeneous catalysts, and insufficient catalytic activity of heterogeneous supports in the catalytic dehydration of fructose to produce 5-hydroxymethylfurfural (5-HMF), this study employs a straightforward nitric acid modification method to prepare an [...] Read more.
To address the challenges of difficult recovery, significant environmental hazards associated with homogeneous catalysts, and insufficient catalytic activity of heterogeneous supports in the catalytic dehydration of fructose to produce 5-hydroxymethylfurfural (5-HMF), this study employs a straightforward nitric acid modification method to prepare an acid-activated silica gel catalyst for application in this reaction system. Through systematic investigation of the influence of modification conditions on catalyst performance and economic benefits, optimal reaction conditions were determined: DMSO as the solvent, nitric acid-modified silica gel as the catalyst, a reaction temperature of 120 °C, a solid–liquid ratio of 1:30 (g∙mL−1), and a fructose-to-catalyst mass ratio of 1:1. Under these conditions, the maximum 5-HMF yield reached 91.6%. Characterization via specific surface area, pore size analysis, and acid/base site characterization (NH3-TPD) revealed that nitric acid modification preserved the silica gel’s pore structure. Through oxidative cleaning, etching to expose silanol groups, and inducing surface defects, this process significantly increased the number of acid sites on the silica gel surface, thereby enhancing catalytic activity. This study presents a low-cost, easily recoverable, and environmentally friendly heterogeneous catalytic strategy for the efficient conversion of fructose into 5-HMF. It also provides experimental guidance for the targeted functionalization of silica-based catalytic materials, holding significant implications for advancing the high-value utilization of biomass resources. Full article
Show Figures

Graphical abstract

15 pages, 4389 KB  
Article
Optimization and Kinetic Study of Palmitic Acid Esterification with Subcritical Methanol via Response Surface Methodology
by Jie Luo, Zhigang Que, Ke Zhang, Yinxuan Fu, Xiaodi Cheng, Rong Huang, Jinming Shi, Haiwei Jiang, Xianbin Ai, Tonghui Deng, Xianhua Qiu and Chunbao Xu
Reactions 2025, 6(4), 69; https://doi.org/10.3390/reactions6040069 - 5 Dec 2025
Viewed by 188
Abstract
Biodiesel is a green, low-carbon, and renewable fuel with the potential to substitute fossil fuels. The effects of reaction temperature (175–290 °C), residence time (5–75 min), and molar ratio of methanol to palmitic acid (6:1–35:1) on the non-catalytic esterification of palmitic acid with [...] Read more.
Biodiesel is a green, low-carbon, and renewable fuel with the potential to substitute fossil fuels. The effects of reaction temperature (175–290 °C), residence time (5–75 min), and molar ratio of methanol to palmitic acid (6:1–35:1) on the non-catalytic esterification of palmitic acid with methanol to produce biodiesel were investigated by using a batch reactor. Moreover, the reaction parameters were optimized by using the response surface methodology (RSM), and the reaction kinetics were analyzed. The results showed that the conversion rate of palmitic acid to methyl palmitate increased to 100% as the reaction temperature rose from 175 °C to 225 °C, slightly changed until 275 °C, and then decreased to 94.81% at 290 °C. The conversion rate increased with residence time and reached the maximum value of 94.93% at 60 min. With increasing the molar ratio, the conversion rate rose to a maximum value of 85.46% at 15:1 and subsequently decreased. RSM results indicated the relative influence of factors on the conversion rate as reaction temperature > residence time > molar ratio. The optimal reaction parameters were 224 °C, 26 min, and a molar ratio of 16:1, affording a palmitic acid conversion rate of 99.30%. The esterification reaction between methanol and palmitic acid follows the first-order kinetics model. Full article
Show Figures

Figure 1

13 pages, 2949 KB  
Article
Boosting Furaldehyde Hydrogenation to Furfuryl Alcohol: Role of Ni in Cu5Nix/SiO2 Bimetallic Catalysts
by Yuanyuan Gao, Jieqiong Wang, Zhongyi Liu, Shuaihui Li and Qiaoyun Liu
Catalysts 2025, 15(12), 1151; https://doi.org/10.3390/catal15121151 - 5 Dec 2025
Viewed by 313
Abstract
Furfural (FAL), an important biomass-derived platform molecule, plays a vital role in bridging biorefineries and the production of high-value chemicals through its selective hydrogenation to furfuryl alcohol (FOL). In this work, a series of Cu-based bimetallic catalysts (Cu5Nix/SiO2 [...] Read more.
Furfural (FAL), an important biomass-derived platform molecule, plays a vital role in bridging biorefineries and the production of high-value chemicals through its selective hydrogenation to furfuryl alcohol (FOL). In this work, a series of Cu-based bimetallic catalysts (Cu5Nix/SiO2) were prepared by a simple impregnation method and exhibited outstanding catalytic performance for the hydrogenation of furfural under the mild conditions. When the loading of Ni was 2 wt%, the optimal catalytic activity was obtained at 150 °C and 1 MPa H2, achieving a furfural conversion of 97.3%. This catalyst also showed excellent stability, maintaining high activity and selectivity toward FOL after five consecutive reaction cycles. Structural characterizations using X-ray diffraction (XRD), Hydrogen temperature-programmed reduction (H2-TPR), Fourier transform infrared spectroscopy (FT-IR), and X-ray photoelectron spectroscopy (XPS) revealed strong electronic interactions between Cu and Ni species. The introduction of Ni promoted the reduction of Ni2+ and improved the dispersion of Cu, which in turn increased the number of accessible active sites and facilitated the hydrogenation process. This synergistic effect between Cu and Ni provides an efficient and low-cost strategy for the selective hydrogenation of biomass-derived furfural to high-valued chemicals. Full article
Show Figures

Graphical abstract

17 pages, 4281 KB  
Article
Development of Highly Active and Stable SmMnO3 Perovskite Catalysts for Catalytic Combustion
by Dinghua Ruan, Shipeng Wu, Chenyi Yuan, Zhen Huang, Wei Shen and Hualong Xu
Catalysts 2025, 15(12), 1149; https://doi.org/10.3390/catal15121149 - 5 Dec 2025
Viewed by 368
Abstract
The development of highly efficient and stable non-noble metal catalysts for volatile organic compound (VOCs) abatement remains a pressing challenge. Mn-based perovskites exhibit superior thermal stability as redox catalysts but suffer from limited activity in light alkane combustion. This study systematically investigates the [...] Read more.
The development of highly efficient and stable non-noble metal catalysts for volatile organic compound (VOCs) abatement remains a pressing challenge. Mn-based perovskites exhibit superior thermal stability as redox catalysts but suffer from limited activity in light alkane combustion. This study systematically investigates the performance of SmMnO3 (SMO) perovskite catalysts for propane oxidation through selective etching of Sm species. By precisely controlling the etching process, the removal of surface Sm exposes more active sites and significantly increases the specific surface area from 22.05 m2·g−1 for pristine SMO to 66.15 m2·g−1. SEM and N2 adsorption–desorption analysis revealed that prolonged etching induces surface roughening and pore channel expansion. XPS and XANES measurements confirmed that an increased Mn4+/Mn3+ ratio enhances reactant adsorption and accessibility to active sites. The etched catalysts exhibited markedly improved activity for propane oxidation, achieving a ~50 °C reduction in light-off temperature compared to the raw SMO. This performance enhancement is attributed to the synergistic effects of enhanced oxygen mobility, elevated Mn4+ content, and abundant oxygen vacancies. Further characterization via Raman spectroscopy and H2-TPR revealed weakened Jahn–Teller distortion and lower reduction temperatures, reflecting optimized Mn–O interactions and superior redox properties. Among the samples, SMO-20 demonstrated exceptional stability. Moreover, the SMO-20/cordierite monolithic catalyst maintained outstanding catalytic performance over 1000 h of operation. This work offers a facile and effective approach to engineer perovskite catalysts and provides new insights into structure–activity relationships in VOC oxidation. Full article
(This article belongs to the Special Issue Advanced Catalysts for Energy Conversion and Environmental Protection)
Show Figures

Graphical abstract

19 pages, 3359 KB  
Article
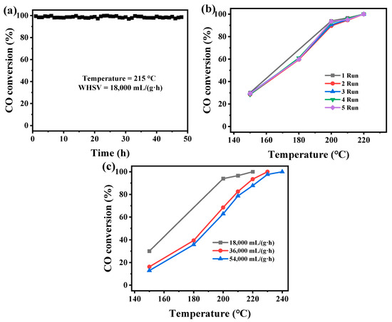
Mn-MOFs with Different Morphologies Derived MnOx Catalysts for Efficient CO Catalytic Oxidation
by Fukun Bi, Yanxuan Wang, Jingyi He, Haoyu Qu, Hongxin Li, Baolin Liu, Yuxin Wang and Xiaodong Zhang
Catalysts 2025, 15(12), 1145; https://doi.org/10.3390/catal15121145 - 5 Dec 2025
Viewed by 441
Abstract
The design of efficient catalysts is vital for the application of catalytic oxidation technology in the removal of gaseous pollutants. Herein, a series of MnOx catalysts with the typical Mn2O3 crystal structure was synthesized via the high-temperature pyrolysis method [...] Read more.
The design of efficient catalysts is vital for the application of catalytic oxidation technology in the removal of gaseous pollutants. Herein, a series of MnOx catalysts with the typical Mn2O3 crystal structure was synthesized via the high-temperature pyrolysis method by using Mn-based metal–organic frameworks (Mn-MOFs) with various morphologies as the precursors. The physicochemical properties of these Mn-MOF-derived MnOx samples were investigated by various characterization techniques, including X-ray diffraction (XRD), thermogravimetry (TG), N2 adsorption–desorption, scanning electron microscope (SEM), and H2 temperature-programmed reduction (H2-TPR), and their catalytic activity was evaluated for catalytic CO degradation. The results showed that the Mn-MOF with leaf-like morphology, derived MnOx-Leaf, presented the optimal catalytic CO oxidation performance (T98 = 214 °C), stability, and reusability. Characterization results showed that the different Mn-MOF-derived MnOx catalysts possessed different physical–chemical properties. The superior catalytic activity of MnOx-Leaf for CO degradation was ascribed to its large surface area and pore size, better low-temperature redox properties, and high H2 consumption, which promoted the adsorption and activation of the CO and gaseous oxygen molecules, improving CO oxidation. Finally, the possible CO degradation pathway was evaluated by in situ diffuse reflectance Fourier transform infrared spectroscopy (DRIFTS), which showed that gaseous CO and O2 were adsorbed on the surface of the catalyst and oxidized to form surface carbon-related species (bicarbonate and carbonate), and finally converted to CO2. Full article
(This article belongs to the Special Issue Porous Catalytic Materials for Environmental Purification)
Show Figures

Figure 1

22 pages, 1372 KB  
Article
Comparative Optimization of Acid- and Base-Assisted Steam Explosion for Sustainable Fractionation of Cardoon Residues
by Federico Liuzzi, Nicola Di Fidio, Kaouther Zaafouri, Elisabetta Borsella, Antonio Caporusso, Egidio Viola and Isabella De Bari
Processes 2025, 13(12), 3926; https://doi.org/10.3390/pr13123926 - 4 Dec 2025
Viewed by 280
Abstract
This study focused on optimising the saccharification of cardoon mixed residues through acid or base-catalysed steam explosion, using a Response Surface Methodology (RSM) to optimise the main process parameters. Despite the increasing interest in cardoon as a lignocellulosic feedstock, its efficient fractionation remains [...] Read more.
This study focused on optimising the saccharification of cardoon mixed residues through acid or base-catalysed steam explosion, using a Response Surface Methodology (RSM) to optimise the main process parameters. Despite the increasing interest in cardoon as a lignocellulosic feedstock, its efficient fractionation remains challenging, with limited cellulose hydrolysis and incomplete hemicellulose recovery under non-optimised steam explosion conditions. Therefore, a systematic evaluation of catalytic severity is required to improve biomass valorisation. H2SO4-catalysed steam explosion significantly improved glucan hydrolysis in the following enzymatic saccharification process, achieving 78 mol% glucose yield after a pretreatment carried out at 200 °C, 5 min, and 25 mM catalyst concentration. Xylan recovery required a higher catalyst concentration of 50 mM and temperatures lower than 220 °C to avoid the dehydration reaction of xylose to furfural. The optimal conditions for maximising glucose and xylose yields were 196 °C for 5 min with 50 mM H2SO4, resulting in 80.5 mol% glucose yield and 70.3 mol% xylose yield. Alkaline-catalysed steam explosion at 200 °C with 25 mM NaOH increased the enzymatic hydrolysis of glucan and favoured the production of lignin with a higher syringyl/guaiacyl ratio, making it more reactive. Overall, this research provides valuable insights into catalytic steam explosion coupled with the enzymatic saccharification step for the complete valorisation of lignocellulosic cardoon residues. Full article
(This article belongs to the Section Chemical Processes and Systems)
Show Figures

Graphical abstract

15 pages, 1420 KB  
Article
Pyrolysis of Corn Straw for In Situ Dechlorination of Bio-Oil Under the Catalysis of Acidified-γ-Al2O3 Modified with Alkaline and Alkaline Earth Metal Compounds
by Wenkai Zhang, Ze Wang and Songgeng Li
Catalysts 2025, 15(12), 1142; https://doi.org/10.3390/catal15121142 - 4 Dec 2025
Viewed by 311
Abstract
Bio-oil’s high chlorine content severely hinders its application, because of its high corrosivity. Catalytic pyrolysis is an effective method for the dechlorination of bio-oil. Herein, the performances of the acidified-γ-Al2O3 modified with alkaline and alkaline earth metal compounds were investigated. [...] Read more.
Bio-oil’s high chlorine content severely hinders its application, because of its high corrosivity. Catalytic pyrolysis is an effective method for the dechlorination of bio-oil. Herein, the performances of the acidified-γ-Al2O3 modified with alkaline and alkaline earth metal compounds were investigated. It was found that NaOH was a better loading material than Ca(NO3)2 or Mg(NO3)2 in the support of acidified-γ-Al2O3. The optimal loading amount of NaOH was 5 wt% in the range of 1 wt%–15 wt%, and the better calcination temperature was 600 °C, compared with 800 °C. When catalyzed with Na/Al2O3 (5%, 600 °C), the organic chlorides content in bio-oil from the pyrolysis of corn straw at 500 °C was significantly reduced from 150 ppm to 29 ppm, while the inorganic chlorides content barely changed. NaAlO2 was generated in Na/Al2O3 from the solid-phase reaction between NaOH and Al2O3 by calcination. When Na/Al2O3 (5%,600 °C) and Na2CO3 were both used in two layers in a fixed-bed reactor, the organic and inorganic chlorides in bio-oil simultaneously significantly decreased, respectively, to 57 ppm and 23 ppm. The decrease in chlorides benefits the deep dechlorination of bio-oil by absorption or catalytic hydrodechlorination in a post-treatment process, which reduces the consumption of absorbent or hydrogen. Full article
Show Figures

Figure 1

25 pages, 4377 KB  
Article
Plasmon-Enhanced Piezo-Photocatalytic Degradation of Metronidazole Using Ag-Decorated ZnO Microtetrapods
by Farid Orudzhev, Makhach Gadzhiev, Rashid Gyulakhmedov, Sergey Antipov, Arsen Muslimov, Valeriya Krasnova, Maksim Il’ichev, Yury Kulikov, Andrey Chistolinov, Damir Yusupov, Ivan Volchkov, Alexander Tyuftyaev and Vladimir Kanevsky
Molecules 2025, 30(23), 4643; https://doi.org/10.3390/molecules30234643 - 3 Dec 2025
Viewed by 313
Abstract
The development of advanced semiconductor-based catalysts for the rapid degradation of emerging pharmaceutical pollutants in water remains a critical challenge in environmental science. In this study, we present the synthesis, characterization, and catalytic performance of zinc oxide (ZnO) microtetrapods decorated with plasmonic Ag [...] Read more.
The development of advanced semiconductor-based catalysts for the rapid degradation of emerging pharmaceutical pollutants in water remains a critical challenge in environmental science. In this study, we present the synthesis, characterization, and catalytic performance of zinc oxide (ZnO) microtetrapods decorated with plasmonic Ag nanoparticles. These microtetrapods have been designed to enhance piezo-, photo-, and piezo-photocatalytic degradation of metronidazole (MNZ), a persistent antibiotic contaminant. ZnO microtetrapods were synthesized by high-temperature pyrolysis and using atmospheric-pressure microwave nitrogen plasma, followed by photochemical deposition of Ag nanoparticles at various precursor concentrations (0–1 mmol AgNO3). The structural integrity of the samples was confirmed through X-ray diffraction (XRD) analysis, while the morphology was examined using scanning electron microscopy with energy-dispersive X-ray analysis (SEM-EDX). Additionally, spectroscopic analysis, including Raman, electron paramagnetic resonance (EPR), and photoluminescence (PL) spectroscopy, was conducted to verify the successful formation of heterostructures with adjustable surface loading of Ag. It has been shown that ZnO microtetrapods decorated with plasmonic Ag nanoparticles exhibit Raman-active properties. A systematic evaluation under photocatalytic, piezocatalytic, and combined piezo-photocatalytic conditions revealed a pronounced volcano-type dependence of catalytic activity on Ag content, with the 0.75 mmol composition exhibiting optimal performance. In the presence of both light irradiation and ultrasonication, the optimized Ag/ZnO composite exhibited 93% degradation of MNZ within a span of 5 min, accompanied by an apparent rate constant of 0.56 min−1. This value stands as a significant improvement, surpassing the degradation rate of pristine ZnO by over 24-fold. The collective identification of defect modulation, plasmon-induced charge separation, and piezoelectric polarization as the predominant mechanisms driving enhanced reactive oxygen species (ROS) generation is a significant advancement in the field. These findings underscore the synergistic interplay between plasmonic and piezoelectric effects in oxide-based heterostructures and present a promising strategy for the efficient removal of recalcitrant water pollutants using multi-field activated catalysis. Full article
(This article belongs to the Special Issue Photocatalytic Materials and Photocatalytic Reactions, 2nd Edition)
Show Figures

Graphical abstract

16 pages, 2097 KB  
Article
Copper Recovery from a Refractory Sulfide Mineral by Ferric Leaching and Regeneration of the Leaching Medium Through Catalytic Oxidation with Carbon for Recirculation
by Verónica Cascante-Alvarado, Ernesto de la Torre and Carlos F. Aragón-Tobar
AppliedChem 2025, 5(4), 38; https://doi.org/10.3390/appliedchem5040038 - 2 Dec 2025
Viewed by 251
Abstract
Optimizing copper recovery from sulfide minerals such as chalcopyrite, which constitutes over 70% of global copper reserves, is essential due to the depletion of conventional copper oxide resources. This study aimed to establish optimal ferric leaching conditions for a chalcopyrite-rich concentrate to maximize [...] Read more.
Optimizing copper recovery from sulfide minerals such as chalcopyrite, which constitutes over 70% of global copper reserves, is essential due to the depletion of conventional copper oxide resources. This study aimed to establish optimal ferric leaching conditions for a chalcopyrite-rich concentrate to maximize copper recovery and to evaluate the regeneration of the oxidizing potential in the residual leaching solution for reuse. Ferric sulfate (Fe2(SO4)3), as a ferric ion (Fe3+) carrier, was used as oxidizing agents at a concentration of [0.1 M] in sulfuric acid ([0.5 M] H2SO4), using a CuFeS2 concentrate (75% chalcopyrite) leached over 80 h. Copper was recovered through cementation with metallic iron, while the residual leaching solution, containing ferrous ions, was analyzed to determine total iron content via atomic absorption spectroscopy and to assess the presence of ferrous ions through KMnO4 titration. This step was crucial, as an excess of ferrous ions would indicate a loss of oxidizing potential of the ferric ion (Fe3+). Catalytic oxidation was conducted with microporous activated carbon (30 g/L) to regenerate Fe3+ for a second leaching cycle, achieving 90.7% Fe2+ oxidation. Optimal leaching conditions resulted in 95% soluble copper recovery at 1% solids, d80: 74 μm, pH < 2, Eh > 450 mV, 92 °C, [0.5 M] H2SO4, and [0.1 M] Fe2(SO4)3. In the second cycle, the regenerated solution reached 75% copper recovery. These findings highlight temperature as a critical factor for copper recovery and demonstrate catalytic oxidation as a viable method for regenerating ferric solutions in industrial applications. Full article
Show Figures

Figure 1

15 pages, 2259 KB  
Article
Enhanced Hydrogen Production in Zero-Gap Electrolysis Cell Using Optimized SS316 Metal-Based Electrodes
by Elitsa Petkucheva, Jordan Iliev, Galin Borisov and Evelina Slavcheva
Hydrogen 2025, 6(4), 113; https://doi.org/10.3390/hydrogen6040113 - 2 Dec 2025
Viewed by 316
Abstract
This work demonstrates for the first time a cost-effective modification of stainless-steel electrodes with an Fe3+ precursor via the deep-and-dry method (DDM) at processing temperatures between 20 °C and 80 °C, enabling their simultaneous applicability for both OER and HER in zero-gap [...] Read more.
This work demonstrates for the first time a cost-effective modification of stainless-steel electrodes with an Fe3+ precursor via the deep-and-dry method (DDM) at processing temperatures between 20 °C and 80 °C, enabling their simultaneous applicability for both OER and HER in zero-gap electrolyzers. The approach offers a durable and economical alternative to conventional nickel-based electrodes. Morphological and compositional analyses by scanning electron microscopy (SEM) and energy-dispersive X-ray spectroscopy (EDX) demonstrated a pronounced temperature-dependent evolution of surface features. At 20 °C, the coatings exhibited high porosity and incomplete coverage, whereas treatment at 60 °C yielded a compact, uniform, and continuous layer with suppressed Fe/Ni exposure and enhanced oxygen incorporation. Electrochemical characterization in 25% KOH by cyclic voltammetry and polarization measurements confirmed reversible redox behavior and comparable electrochemically active surface areas across all samples, with the 60 °C electrodes achieving the highest catalytic activity. In electrolysis cell tests (zero gap), the optimized electrodes delivered low cell voltages, current densities up to 1.35 A cm−2, and power outputs approaching 3.5 W cm−2. These results establish processing temperature as a decisive factor for tailoring the morphology, composition, and performance of DDM-fabricated electrodes, underscoring the promise of 60 °C-treated electrodes for efficient hydrogen production. Full article
Show Figures

Figure 1

16 pages, 5218 KB  
Article
Proposal for Zeolite Waste from Fluid Catalytic Cracking as a Pozzolanic Addition for Earth Mortars: Initial Characterisation
by María Barros Magdalena, Lidia García-Soriano, Alicia Hueto-Escobar, Camilla Mileto and Fernando Vegas
Coatings 2025, 15(12), 1408; https://doi.org/10.3390/coatings15121408 - 2 Dec 2025
Cited by 1 | Viewed by 317
Abstract
This article presents the programme for the characterisation of earth mortars stabilised with experimental pozzolanic material from fluid catalytic cracking (FCC). This study aims to establish the optimal ratio for adding pozzolan to stabilise earth mortars. Ash may be used in conservation processes, [...] Read more.
This article presents the programme for the characterisation of earth mortars stabilised with experimental pozzolanic material from fluid catalytic cracking (FCC). This study aims to establish the optimal ratio for adding pozzolan to stabilise earth mortars. Ash may be used in conservation processes, as it presents suitable pozzolanic properties. Based on the starting premise that its application does not cause chromatic variations in the final mortar and displays resistance to damage from chlorides and extreme temperatures, it can be considered ideal for this purpose. The process of transformation into ash is linked to the production of naphthas and refined petroleum products, where the mineral is a catalyst for the reaction. With use, the mineral tends to shrink, losing the necessary properties for this process. Over the last decade, this process, which is widely used in the petrochemical industry, has generated a volume of waste of up to 3000 tons per day. The amount of waste generated is of interest for its reuse, and a rise is observed in preliminary studies, which confirm that this material is pozzolanic and non-toxic. This offers the possibility of studying this addition to stabilise materials and constructions manufactured with earth. Full article
Show Figures

Figure 1

Back to TopTop