Sign in to use this feature.

Years

Between: -

Subjects

remove_circle_outline
remove_circle_outline
remove_circle_outline
remove_circle_outline
remove_circle_outline
remove_circle_outline
remove_circle_outline
remove_circle_outline
remove_circle_outline

Journals

Article Types

Countries / Regions

remove_circle_outline
remove_circle_outline
remove_circle_outline
remove_circle_outline

Search Results (136)

Search Parameters:
Keywords = open innovation with digital transformation

Order results
Result details
Results per page
Select all
Export citation of selected articles as:
26 pages, 1175 KB  
Article
Does Digital Trade Development Promote Environmental Sustainability? Spatial Spillovers and Pollution Displacement in China
by Lu Yang, Shiqi Jing and Yarong Sun
Sustainability 2026, 18(2), 691; https://doi.org/10.3390/su18020691 - 9 Jan 2026
Abstract
To address climate change and advance environmental sustainability in the context of the United Nations Sustainable Development Goals (SDGs), particularly SDG 9 (Industry, Innovation and Infrastructure), SDG 11 (Sustainable Cities and Communities), and SDG 13 (Climate Action), China has actively promoted digital trade [...] Read more.
To address climate change and advance environmental sustainability in the context of the United Nations Sustainable Development Goals (SDGs), particularly SDG 9 (Industry, Innovation and Infrastructure), SDG 11 (Sustainable Cities and Communities), and SDG 13 (Climate Action), China has actively promoted digital trade development under its carbon peaking and carbon neutrality goals. However, whether digital trade contributes to environmental improvement, and through which mechanisms it does this, remains an open empirical question. This study examines whether and how digital trade development affects environmental pollution in China, with particular emphasis on spatial spillover effects and underlying mechanisms. Using provincial panel data from 2009 to 2023, we employ a spatial Durbin model combined with a mediation analysis framework. The results show that digital trade development has increased steadily in China and significantly reduces local environmental pollution, indicating a clear green effect. The spatial Durbin model shows that the environmental benefits of digital trade are unevenly distributed across space, with pollution reductions in core regions accompanied by increased emissions in neighboring areas. Further mechanism analysis indicates that industrial structure upgrading and consumption structure transformation are key channels through which digital trade development improves environmental sustainability. These findings provide important insights for coordinating digital trade expansion with regional environmental governance and low-carbon transition strategies. Full article
(This article belongs to the Section Development Goals towards Sustainability)
Show Figures

Figure 1

27 pages, 1162 KB  
Article
Integration of ISMS into the Organization’s Strategy and Its Impact on Security Culture in the Digital Environment
by Nikola Staffenova, Dominika Dupakova and Milan Kubina
Adm. Sci. 2026, 16(1), 26; https://doi.org/10.3390/admsci16010026 - 6 Jan 2026
Viewed by 92
Abstract
Information security is currently a key pillar of information protection in organizations and a fundamental element of functioning organizational strategy. The aim of this article is to analyze how the integration of an information security management system (ISMS) into the strategic management of [...] Read more.
Information security is currently a key pillar of information protection in organizations and a fundamental element of functioning organizational strategy. The aim of this article is to analyze how the integration of an information security management system (ISMS) into the strategic management of an organization can influence its security culture and ability to implement new technologies. The study uses a conceptual approach based on the PDCA model and a comparative analysis of the available literature on ISMS, organizational culture, and digital transformation. The results of the study show that an effectively implemented ISMS can strengthen an organization’s resilience, increase the confidence of its stakeholders, and promote openness to adopting innovative solutions. It also points out that a developed security culture is a prerequisite for the proper and successful functioning of ISMS, especially in an environment of rapid technological change. The study offers recommendations for managers focused on integrating ISMS into strategic planning, strengthening security awareness, and continuously evaluating the maturity of security processes. Full article
(This article belongs to the Special Issue Human Capital Development—New Perspectives for Diverse Domains)
Show Figures

Figure 1

29 pages, 3891 KB  
Article
Digital Transformation in the Construction Industry: Lessons and Challenges from the Journey of Brazilian Construction Companies
by Maria Gabriella Teixeira Lima, Thaís de Melo Cunha, Luis Felipe Cândido and José de Paula Barros Neto
Sustainability 2026, 18(1), 407; https://doi.org/10.3390/su18010407 - 31 Dec 2025
Viewed by 265
Abstract
Digital Transformation (DT) is a strategic challenge that reshapes the way companies operate. Nevertheless, its adoption in the construction industry remains slow. This paper analyzes the DT process in Brazilian construction companies through two phases. Initially, an exploratory study was conducted with 17 [...] Read more.
Digital Transformation (DT) is a strategic challenge that reshapes the way companies operate. Nevertheless, its adoption in the construction industry remains slow. This paper analyzes the DT process in Brazilian construction companies through two phases. Initially, an exploratory study was conducted with 17 firms using semi-structured interviews with their Technical Directors. Second, three companies were selected for case studies involving 14 in-depth interviews, observation, and document analysis. Data underwent content analysis. In the exploratory phase, DT was found to be mainly pursued to improve construction efficiency. Barriers were strongly associated with individual aspects, especially limited knowledge about technologies and resistance to change, reinforced by difficulties in implementing organizational changes. Most problems that DT seeks to address are concentrated in the technical department and construction site. Companies adopted approaches such as technology investments, open innovation, organizational restructuring, and training, but the success of these strategies depends on top management engagement and employee acceptance. Besides cultural barriers, technological obstacles, system integration and digital delay were identified, along with process difficulties such as the complexity and costs of the DT journey. Indirect sustainability objectives also emerged, indicating that DT is perceived as both technological advancement and a means to transform the sector. Finally, based on the empirical findings, a multi-level framework comprising 12 strategies for DT in the construction industry was proposed. Overall, the empirical field investigated remains in the early stages of DT, with experimentation with technologies and a focus on efficiency, characteristics of digitization, a step prior to total transformation. The study provides a valuable diagnosis of DT to support the digital transition and informs policymakers in designing initiatives that foster DT, contributing to sector sustainability and SDG9. Full article
Show Figures

Figure 1

34 pages, 2089 KB  
Article
An Enterprise Architecture-Driven Service Integration Model for Enhancing Fiscal Oversight in Supreme Audit Institutions
by Rosse Mary Villamil, Jaime A. Restrepo-Carmona, Alejandro Escobar, Alexánder Aponte-Moreno, Juliana Arévalo Herrera, Sergio Armando Gutiérrez-Betancur and Luis Fletscher
Appl. Syst. Innov. 2026, 9(1), 16; https://doi.org/10.3390/asi9010016 - 31 Dec 2025
Viewed by 239
Abstract
The integration of IT services is a critical challenge for public organizations that seek to modernize their operational ecosystems and strengthen mission-oriented processes. In the field of fiscal oversight, supreme audit institutions (SAIs) increasingly require systematized and interoperable service architectures to ensure transparency, [...] Read more.
The integration of IT services is a critical challenge for public organizations that seek to modernize their operational ecosystems and strengthen mission-oriented processes. In the field of fiscal oversight, supreme audit institutions (SAIs) increasingly require systematized and interoperable service architectures to ensure transparency, accountability, and effective public resource control. However, existing literature reveals persistent gaps concerning how service integration models can be deployed and validated within complex government environments. This study describes an enterprise architecture-driven service integration model designed and evaluated within the Office of the General Comptroller of the Republic of Colombia (Contraloría General de la República, CGR). The study tests the hypothesis that an Enterprise Architecture-driven integration model provides the necessary structural coupling to align technical IT performance with the legal requirements of fiscal oversight, which is an alignment that typically does not appear in generic governance frameworks. The methodological approach followed in this study combines an IT service management maturity assessment, process analysis, architecture repository review, and iterative validation sessions with institutional stakeholders. The model integrates ITILv4 (Information Technology Infrastructure Library), TOGAF (The Open Group Architecture Framework), COBIT (Control Objectives for Information and Related Technologies), and ISO20000 into a coherent framework tailored to the operational and regulatory requirements of an SAI. Results show that the proposed model reduces service fragmentation, improves process standardization, strengthens information governance, and enables a unified service catalog aligned with fiscal oversight functions. The empirical validation demonstrates measurable improvements in service delivery, transparency, and organizational responsiveness. The study contributes to the field of applied system innovation by: (i) providing an integration model, which is scientifically grounded and evidence-based, (ii) demonstrating how hybrid governance and architecture frameworks can be adapted to complex public-sector environments, and (iii) offering a replicable approach for SAIs that seek to modernize their technological service ecosystems through enterprise architecture principles. Future research directions are also discussed to provide guidelines to advance integrated governance and digital transformation in oversight institutions. Full article
Show Figures

Figure 1

29 pages, 1904 KB  
Article
Transgenerational Entrepreneurial Orientation, Family Involvement, and Succession Planning as Drivers of Long-Term Family Business Sustainability
by Arifin Djakasaputra, Agustinus Purna Irawan and Sarwo Edy Handoyo
Adm. Sci. 2026, 16(1), 10; https://doi.org/10.3390/admsci16010010 - 25 Dec 2025
Viewed by 443
Abstract
This study investigates the role of family involvement and succession planning in shaping the long-term sustainability of family businesses in Indonesia, with a specific focus on the mediating effect of transgenerational entrepreneurial orientation (TEO). This research responds to calls for integrative models that [...] Read more.
This study investigates the role of family involvement and succession planning in shaping the long-term sustainability of family businesses in Indonesia, with a specific focus on the mediating effect of transgenerational entrepreneurial orientation (TEO). This research responds to calls for integrative models that move beyond examining these factors in isolation. Indonesia offers a unique context due to its dominance of family-controlled firms and informal succession traditions, which shape entrepreneurial value transmission across generations. A quantitative approach was employed using survey data from 210 respondents representing active family businesses in Indonesia. Partial least squares structural equation modeling (PLS-SEM) with SmartPLS 4.0 was used to test reliability, validity, and structural relationships. Additional analyses included HTMT for discriminant validity, CVPAT for predictive relevance, and importance–performance map analysis (IPMA) to identify managerial priorities. The results reveal that family involvement and succession planning both exert significant positive effects on long-term family business sustainability, with TEO playing a mediating role. Family involvement strongly enhances both sustainability and entrepreneurial orientation, while succession planning contributes more indirectly through the development of TEO. The IPMA indicates that family leadership in governance and openness to innovation are highly important but underperforming drivers, suggesting key areas for improvement. The model explains 51.9% of the variance in TEO and 48.6% in long-term sustainability, with significant mediation paths (β = 0.092–0.104, p < 0.05). The cross-sectional design limits causal inference, and the focus on Indonesian firms may constrain generalizability to other cultural contexts. Future research could adopt longitudinal and cross-country comparative designs while also examining the role of digital transformation and generational differences in sustaining family firms. The findings highlight the need for Indonesian family firms to professionalize succession planning while strengthening transgenerational entrepreneurial orientation. Practical steps include formal mentoring, clear successor criteria, and embedding innovation and proactiveness in family governance. This study extends the family business literature by conceptualizing TEO as a dynamic capability that bridges family involvement, succession planning, and sustainability. By integrating these perspectives, it offers a more comprehensive understanding of how family firms can achieve resilience and continuity across generations. Full article
(This article belongs to the Special Issue Moving from Entrepreneurial Intention to Behavior)
Show Figures

Figure 1

19 pages, 957 KB  
Article
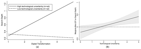
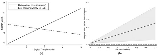
The Imperative of Digital Transformation and SMEs’ Inbound Open Innovation Strategies: The Moderating Role of Partner Diversity and Technological Uncertainty
by Wanlan Sun, Xiaoyan Jin, Soo Hong Kim and Daegyu Yang
Systems 2026, 14(1), 19; https://doi.org/10.3390/systems14010019 - 24 Dec 2025
Viewed by 399
Abstract
Digital transformation (DT) has become an unavoidable imperative for small- and medium-sized enterprises (SMEs), not only as a technological adoption but also as a strategic motivation that guides their innovation choices. This study aims to investigate how the strategic motivation for digital transformation [...] Read more.
Digital transformation (DT) has become an unavoidable imperative for small- and medium-sized enterprises (SMEs), not only as a technological adoption but also as a strategic motivation that guides their innovation choices. This study aims to investigate how the strategic motivation for digital transformation (DT) drives the firms’ choice of inbound open innovation (IOI) strategies, focusing on the breadth and depth of external search. Drawing on firm-level data from the 2022 Korea Innovation Survey (KIS), we find that DT decreases search breadth while increasing search depth. Moreover, partner diversity intensifies the negative effect of DT on search breadth, whereas technological uncertainty amplifies the positive effect of DT on search depth. From these findings, we show that SMEs with stronger strategic motivation for digital transformation tend to deepen their inbound OI search rather than broaden it, and in the Discussion Section, we highlight the potential risk of overemphasizing depth at the expense of breadth, which may constrain their long-term innovation potential. Full article
(This article belongs to the Section Systems Practice in Social Science)
Show Figures

Figure 1

28 pages, 3232 KB  
Review
Open Data Reuse in Agricultural, Livestock, and Environmental Systems: A Global Scoping Review with a Case Analysis of Ecuador
by Juan Urdánigo-Zambrano, Bolier Torres, Carmen De-Pablos-Heredero, Robinson Herrera-Feijoo and Antón García
Land 2026, 15(1), 13; https://doi.org/10.3390/land15010013 - 20 Dec 2025
Viewed by 317
Abstract
Open data reuse has become a strategic driver of the digital transformation of agricultural, livestock, and environmental systems. In this industry yet significant disparities persist in regions with limited technological and institutional capacity. This global scoping reviews systematically maps providing the scientific evidence [...] Read more.
Open data reuse has become a strategic driver of the digital transformation of agricultural, livestock, and environmental systems. In this industry yet significant disparities persist in regions with limited technological and institutional capacity. This global scoping reviews systematically maps providing the scientific evidence on open data reuse and examines its thematic, geographic, and socioeconomic dimensions in relation to sustainability, food security, and biodiversity conservation. The search, conducted in Scopus for peer-reviewed articles from 1993 to 2025, identified 2863 records, of which 1261 met the eligibility criteria. Evidence charting combined Bibliometric mapping, Multiple Correspondence Analysis, Principal Component Analysis, and a modified Delphi method to characterize thematic domains and research alignment. Results reveal three dominant global clusters: Intelligent Digital Agriculture & Sustainability, Geospatial Monitoring & Land Management, and Biodiversity & Livestock Dynamics alongside persistent geographic inequalities that favor high-income regions. A case analysis of Ecuador illustrates how open data reuse is emerging in a peripheral context shaped by structural constraints. Overall, findings show that open data reuse reduces informational asymmetries, enables cross scale environmental and production monitoring, and supports data driven innovation for climate resilience. The proposed BiblioConsensus Framework offers a transferable basis for policy design, capacity building, and international collaboration aimed at strengthening inclusive global open data ecosystems. Full article
(This article belongs to the Section Land Systems and Global Change)
Show Figures

Figure 1

19 pages, 1233 KB  
Article
The Impact of Open Public Data on Corporate Low-Carbon Technological Innovation: Evidence from China
by Jing Wang, Jie Wang and Zhijian Cai
Sustainability 2025, 17(24), 10939; https://doi.org/10.3390/su172410939 - 7 Dec 2025
Viewed by 429
Abstract
Open public data is a vital institutional arrangement for overcoming data constraints in corporate low-carbon technological innovation. Using a panel dataset of China’s Shanghai and Shenzhen A-share listed firms over the 2007–2023 period, this study employs a difference-in-differences (DID) approach to examine the [...] Read more.
Open public data is a vital institutional arrangement for overcoming data constraints in corporate low-carbon technological innovation. Using a panel dataset of China’s Shanghai and Shenzhen A-share listed firms over the 2007–2023 period, this study employs a difference-in-differences (DID) approach to examine the impact of open public data on corporate low-carbon technological innovation. The results show that open public data has a significant positive effect on corporate low-carbon technological innovation, and the results remain robust across multiple validation tests. Mechanism tests point out that government transparency negatively moderates the promotional effect of public data openness on corporate low-carbon technological innovation, while barriers to factor mobility positively moderate this effect. The heterogeneity analysis indicates that the positive impact of open public data is more pronounced among firms characterized by higher R&D investment, lower financial constraints, and greater digitalization. Further analysis indicates that open public data also exhibits significant geographic and industry spillover effects, with the geographic spillover following an inverted U-shaped pattern of decay and the industry spillover driven by peer imitation. This study provides evidence on leveraging open public data to stimulate low-carbon innovation and facilitate green economic transformation, offering valuable insights for advancing data-driven sustainable development globally. Full article
Show Figures

Figure 1

22 pages, 674 KB  
Article
An Empirical Study on the Impact of Public Data Openness on High-Quality Regional Economic Development: Data from China’s 31 Provinces
by Jingmei Wang, Shumei Zhang and Weiwei Jia
Sustainability 2025, 17(23), 10806; https://doi.org/10.3390/su172310806 - 2 Dec 2025
Viewed by 694
Abstract
In the era of the ‘Internet of Everything’ and amid growing demands for high-quality economic development, public data has emerged as a new core factor of production, establishing itself as a pivotal force behind regional economic growth. However, existing research rarely clarifies the [...] Read more.
In the era of the ‘Internet of Everything’ and amid growing demands for high-quality economic development, public data has emerged as a new core factor of production, establishing itself as a pivotal force behind regional economic growth. However, existing research rarely clarifies the multi-dimensional impact and influence mechanism of public data openness on regional development, and there are still deficiencies in the research on transforming the advantages of data elements into sustainable economic driving forces. This study, in conjunction with the interpretation of data elements, employed a fixed-effects model to empirically investigate the impact and path of public data opening on the high-quality development of regional economies, using panel data from 31 provincial regions in China from 2017 to 2024. Empirical findings provide clear evidence that public data openness acts as a significant catalyst for high-quality economic development, thereby solidifying its role as an indispensable engine for sustainable growth in the digital era. Analysis of the underlying mechanisms reveals two primary channels: business environment optimization and improved factor allocation efficiency, with the latter proving to be the more significant driver. Furthermore, heterogeneity analysis reveals that the positive effects are most pronounced in fostering economic structural optimization, advancing the low-carbon environment and expanding shared public welfare, while their influence on innovation dynamism remains comparatively modest. The research results support the government in increasing the openness of public data, establishing and improving a data opening mechanism oriented towards the business environment, and deepening the integration and application of data to enhance the efficiency of factor allocation. Full article
(This article belongs to the Special Issue Digital Solutions for Sustainable Economic Development)
Show Figures

Figure 1

14 pages, 955 KB  
Article
Implementing Educational Innovation in LMSs: Hackathons, Microcredentials, and Blended Learning
by Antonios Stamatakis, Ilias Logothetis, Vasiliki Eirini Chatzea, Alexandros Papadakis and Nikolas Vidakis
Appl. Syst. Innov. 2025, 8(6), 175; https://doi.org/10.3390/asi8060175 - 19 Nov 2025
Viewed by 2278
Abstract
In the evolving landscape of digital education, there is an increasing need to enhance traditional Learning Management Systems (LMSs) by integrating innovative pedagogical practices that promote active participation and learner autonomy. This study presents the transformation of a Greek LMS platform into an [...] Read more.
In the evolving landscape of digital education, there is an increasing need to enhance traditional Learning Management Systems (LMSs) by integrating innovative pedagogical practices that promote active participation and learner autonomy. This study presents the transformation of a Greek LMS platform into an open learning ecosystem, incorporating three key educational innovations: collaborative hackathons, microcredentials, and blended learning support. The primary goal was to modernize the LMS in a way that encourages deeper engagement, social learning, collaboration, and mixed learning. To accomplish this objective, the system integrated advanced innovative tools designed to facilitate structured collaborative processes including hackathons, microcredentials aligned with specific learning objectives, and blended learning through flexible content delivery and student learning tracking tools. The use of these tools in the educational process contributes to the creation of a more dynamic and participatory learning environment, where knowledge is co-shaped and learning acquires a social character. In addition, the tools promote differentiated learning, allowing students to engage at their own pace and in their own way. Full article
Show Figures

Figure 1

12 pages, 391 KB  
Systematic Review
Contemporary Trends in University Administration with the Integration of Digital/New Technologies
by Sotiria Panagiota Souli and Christos Pierrakeas
Adm. Sci. 2025, 15(11), 437; https://doi.org/10.3390/admsci15110437 - 10 Nov 2025
Viewed by 1227
Abstract
This study conducts a systematic scoping review to explore how universities are integrating digital and emerging technologies into administrative processes. Following the PRISMA-ScR methodology, we systematically searched four major databases—Web of Science, Scopus, IEEE Xplore, and Google Scholar—for peer-reviewed publications between 2019 and [...] Read more.
This study conducts a systematic scoping review to explore how universities are integrating digital and emerging technologies into administrative processes. Following the PRISMA-ScR methodology, we systematically searched four major databases—Web of Science, Scopus, IEEE Xplore, and Google Scholar—for peer-reviewed publications between 2019 and 2024. Fifty-two studies met the inclusion criteria after rigorous screening and quality assessment using the CASP and JBI checklists. The originality of this review lies in synthesizing cross-disciplinary perspectives—encompassing digital marketing, artificial intelligence (AI), learning management systems (LMSs), open data, and collaborative digital tools—into a unified framework of administrative innovation. Findings reveal that digital marketing strategies enhance student engagement and institutional visibility, AI improves efficiency and decision-making, LMSs streamline academic and administrative coordination, and open data initiatives promote transparency but encounter legal and cultural resistance. Despite the potential of these technologies, persistent challenges include data privacy concerns, uneven digital infrastructure, and limited institutional readiness. This review contributes to the literature by mapping the intersection of technological innovation and university governance, identifying research gaps, and outlining directions for sustainable digital transformation in higher education. Full article
Show Figures

Figure 1

24 pages, 810 KB  
Article
Influence of New-Type Industrialization on High-End Manufacturing Industry: Discussion Examining Threshold Effect of Industrial Chain Resilience
by Hui Na, Conghui Luo and Anyin Jiang
Sustainability 2025, 17(20), 9294; https://doi.org/10.3390/su17209294 - 20 Oct 2025
Viewed by 528
Abstract
In the context of global manufacturing transformation and upgrading, understanding how the new-type industrialization strategy influences the high-end manufacturing industry is crucial for shaping competitive advantages. However, the mechanisms and boundary conditions of this effect remain unclear. To address this, this study deconstructs [...] Read more.
In the context of global manufacturing transformation and upgrading, understanding how the new-type industrialization strategy influences the high-end manufacturing industry is crucial for shaping competitive advantages. However, the mechanisms and boundary conditions of this effect remain unclear. To address this, this study deconstructs the connotation of new-type industrialization into three dimensions—technological innovation, digital drive, and green circulation—and constructs a comprehensive evaluation system. Using panel data from 30 Chinese provinces and A-share listed high-end manufacturing industry companies (2002–2022), we employ fixed-effects models, mediation effect analysis, and a panel threshold model. The results show the following: (1) New-type industrialization significantly promotes high-end manufacturing industry development, a finding robust to endogeneity and sensitivity tests. (2) Heterogeneity analysis reveals that non-old industrial bases, highly open regions, and provinces with sparse development zones benefit more. (3) New-type industrialization exerts its influence indirectly by enhancing human capital endowment. (4) Threshold effect analysis shows that when the resilience of the high-end manufacturing industry chain exceeds a critical level, it significantly enhances the ability of new-type industrialization, and the magnitude of this effect follows a logarithmic growth pattern. We recommend strengthening technological innovation, facilitating digital–green transformation, and implementing region-specific policies to enhance industrial chain resilience, thereby providing a sustainable pathway for high-end manufacturing industry development. Full article
Show Figures

Figure 1

25 pages, 337 KB  
Article
Impact of Supply Chain Management on Energy Transition and Environmental Sustainability: The Role of Knowledge Management and Green Innovations
by Salem Younes, Muri Wole Adedokun, Ahmad Bassam Alzubi and Hasan Yousef Aljuhmani
Sustainability 2025, 17(20), 9249; https://doi.org/10.3390/su17209249 - 18 Oct 2025
Cited by 1 | Viewed by 1707
Abstract
This study unpacks how supply chain management, knowledge management, and green innovations act as critical levers in driving energy transition while safeguarding environmental sustainability in an era of escalating climate challenges. Focusing on the G7 nations and using data from 2000 to 2022, [...] Read more.
This study unpacks how supply chain management, knowledge management, and green innovations act as critical levers in driving energy transition while safeguarding environmental sustainability in an era of escalating climate challenges. Focusing on the G7 nations and using data from 2000 to 2022, this study addresses two central research questions: (i) What are the key determinants of energy transition (ET)? And (ii) what are the key determinants of environmental degradation (ED)? To answer these questions, the study applied Lewbel IV-2SLS and FGLS estimators, revealing that in G7 economies, supply chain performance reduces environmental degradation but slows energy transition. Digital transformation also hinders transition in the short run, though at higher maturity it helps curb degradation. Trade openness supports transition but increases degradation, while urbanization promotes transition. Knowledge management and green innovation follow an inverted-U pattern, and control of corruption shows mixed effects. Energy transition itself strongly reduces environmental degradation, whereas economic growth generally increases it. Based on these results, the study formulates a set of policy recommendations to align economic growth with long-term sustainability goals. Full article
32 pages, 1067 KB  
Article
BMIT: A Blockchain-Based Medical Insurance Transaction System
by Jun Fei and Li Ling
Appl. Sci. 2025, 15(20), 11143; https://doi.org/10.3390/app152011143 - 17 Oct 2025
Viewed by 1322
Abstract
The Blockchain-Based Medical Insurance Transaction System (BMIT) developed in this study addresses key issues in traditional medical insurance—information silos, data tampering, and privacy breaches—through innovative blockchain architectural design and technical infrastructure reconstruction. Built on a consortium blockchain architecture with FISCO BCOS (Financial Blockchain [...] Read more.
The Blockchain-Based Medical Insurance Transaction System (BMIT) developed in this study addresses key issues in traditional medical insurance—information silos, data tampering, and privacy breaches—through innovative blockchain architectural design and technical infrastructure reconstruction. Built on a consortium blockchain architecture with FISCO BCOS (Financial Blockchain Shenzhen Consortium Blockchain Open Source Platform) as the underlying platform, the system leverages FISCO BCOS’s distributed ledger, granular access control, and efficient consensus algorithms to enable multi-stakeholder on-chain collaboration. Four node roles and data protocols are defined: hospitals (on-chain data providers) generate 3D coordinate hashes of medical data via an algorithmically enhanced Bloom Filter for on-chain certification; patients control data access via blockchain private keys and unique parameters; insurance companies verify eligibility/claims using on-chain Bloom filters; the blockchain network stores encrypted key data (public keys, Bloom filter coordinates, and timestamps) to ensure immutability and traceability. A 3D-enhanced Bloom filter—tailored for on-chain use with user-specific hash functions and key control—stores only 3D coordinates (not raw data), cutting storage costs for 100 records to 1.27 KB and reducing the error rate to near zero (1.77% lower than traditional schemes for 10,000 entries). Three core smart contracts (identity registration, medical information certification, and automated verification) enable the automation of on-chain processes. Performance tests conducted on a 4-node consortium chain indicate a transaction throughput of 736 TPS (Transactions Per Second) and a per-operation latency of 181.7 ms, which meets the requirements of large-scale commercial applications. BMIT’s three-layer design (“underlying blockchain + enhanced Bloom filter + smart contracts”) delivers a balanced, efficient blockchain medical insurance prototype, offering a reusable technical framework for industry digital transformation. Full article
Show Figures

Figure 1

22 pages, 3372 KB  
Article
Does Regional Integration Enhance Green Development Efficiency? Evidence from the Yangtze River Delta Region in China
by Guancen Wu, Zhicheng Zeng, Dongqin Yang, Hongqiang Wang and Xing Niu
Systems 2025, 13(10), 904; https://doi.org/10.3390/systems13100904 - 14 Oct 2025
Viewed by 927
Abstract
As regional integration accelerates globally, green development has emerged as a pivotal imperative for reconciling economic growth with environmental sustainability. This study employs a Difference-in-Differences framework incorporating city and year fixed effects to examine the impact of regional integration on green development efficiency [...] Read more.
As regional integration accelerates globally, green development has emerged as a pivotal imperative for reconciling economic growth with environmental sustainability. This study employs a Difference-in-Differences framework incorporating city and year fixed effects to examine the impact of regional integration on green development efficiency in China’s Yangtze River Delta. The empirical findings reveal that regional integration significantly undermines green development efficiency, a conclusion corroborated by rigorous robustness checks including parallel trends and placebo tests. Mechanism analysis demonstrates that trade openness and digital economy development function as partial mediating channels that modestly attenuate the direct adverse effect of regional integration, whereas the decline in secondary industry agglomeration amplifies the negative impact. Notably, innovation capability has yet to fully unlock its potential for green transformation, it intensifies the negative effects of regional integration across all three mediating mechanisms. Building on these findings, this study proposes policy recommendations including strengthening multi-level green governance frameworks, integrating ecological compensation and carbon trading systems, advancing low-carbon trade structures, promoting the synergistic development of digitalization and green transformation, facilitating the green transition of secondary industries, and reinforcing green technology innovation. These insights provide empirical evidence and policy references for achieving coherence between regional integration and sustainable development objectives. Full article
Show Figures

Figure 1

Back to TopTop