Sign in to use this feature.

Years

Between: -

Subjects

remove_circle_outline
remove_circle_outline
remove_circle_outline
remove_circle_outline
remove_circle_outline
remove_circle_outline
remove_circle_outline
remove_circle_outline

Journals

Article Types

Countries / Regions

Search Results (126)

Search Parameters:
Keywords = ocean wave spectrum

Order results
Result details
Results per page
Select all
Export citation of selected articles as:
22 pages, 8129 KB  
Article
A Low-Frequency Component Filtering Method for Heave Acceleration Signal of Marine Ship
by Dejian Sun, Xiong Hu, Chongyang Han and Xinqiang Chen
J. Mar. Sci. Eng. 2025, 13(10), 1919; https://doi.org/10.3390/jmse13101919 - 6 Oct 2025
Viewed by 317
Abstract
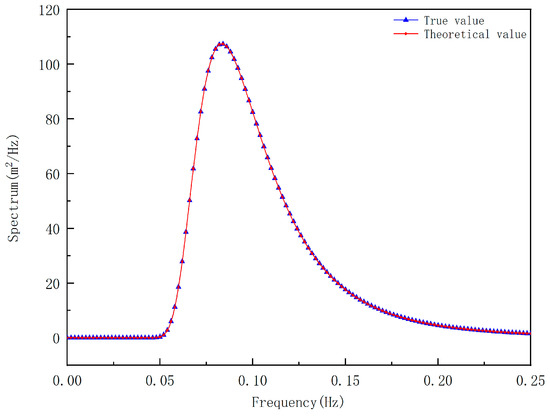
The motion of ships in the ocean follows six degrees of freedom, and accurately measuring this motion is crucial for improving marine engineering operations. Among the six degree-of-freedom movement of ships, the change in ship heave freedom has the worst impact on offshore [...] Read more.
The motion of ships in the ocean follows six degrees of freedom, and accurately measuring this motion is crucial for improving marine engineering operations. Among the six degree-of-freedom movement of ships, the change in ship heave freedom has the worst impact on offshore lifting operations. At present, the most common method for measuring heave displacement is by integrating heave acceleration twice. The heave motion of ships belongs to low-frequency motion, but the low-frequency band range is often easily overlooked. This paper first analyzes the wave spectrum to determine the dominant frequency range of ship heave motion under typical wind speeds, which is found to be between 0.22 Hz and 0.45 Hz. The accuracy of low-frequency ship heave displacement signals largely depends on the heave acceleration signal, and filtering acceleration signals in the low-frequency range is particularly difficult. To address this challenge, this paper proposes a low-frequency component filtering method for heave acceleration signal of marine ships, which effectively avoids the phase and peak-to-peak errors introduced by traditional filters. This method further improves the filtering performance of acceleration signals in the 0.2 Hz to 0.5 Hz low-frequency range and can provide the crane driver with a motion reference for the heave of the ship when the ship is performing lifting operations. Full article
Show Figures

Figure 1

22 pages, 10283 KB  
Article
Outlier Correction in Remote Sensing Retrieval of Ocean Wave Wavelength and Application to Bathymetry
by Zhengwen Xu, Shouxian Zhu, Wenjing Zhang, Yanyan Kang and Xiangbai Wu
Remote Sens. 2025, 17(19), 3284; https://doi.org/10.3390/rs17193284 - 24 Sep 2025
Viewed by 318
Abstract
The extraction of ocean wave wavelengths from optical imagery via Fast Fourier Transform (FFT) exhibits significant potential for Wave-Derived Bathymetry (WDB). However, in practical applications, this method frequently produces anomalously large wavelength estimates. To date, there has been insufficient exploration into the mechanisms [...] Read more.
The extraction of ocean wave wavelengths from optical imagery via Fast Fourier Transform (FFT) exhibits significant potential for Wave-Derived Bathymetry (WDB). However, in practical applications, this method frequently produces anomalously large wavelength estimates. To date, there has been insufficient exploration into the mechanisms underlying image spectral leakage to low wavenumbers and its suppression strategies. This study investigates three plausible mechanisms contributing to spectral leakage in optical images and proposes a subimage-based preprocessing framework: prior to executing two-dimensional FFT, the remote sensing subimages employed for wavelength inversion undergo three sequential steps: (1) truncation of distorted pixel values using a Gaussian mixture model; (2) application of a polynomial detrending surface; (3) incorporation of a two-dimensional Hann window. Subsequently, the dominant wavenumber peak is localized in the power spectrum and converted to wavelength values. Water depth is then inverted using the linear dispersion equation, combined with wave periods derived from ERA5. Taking 2 m-resolution WorldView-2 imagery of Sanya Bay, China as a case study, 1024 m subimages are utilized, with validation conducted against chart-sounding data. Results demonstrate that the proportion of subimages with anomalous wavelengths is reduced from 18.9% to 3.3% (in contrast to 14.0%, 7.8%, and 16.6% when the three preprocessing steps are applied individually). Within the 0–20 m depth range, the water depth retrieval accuracy achieves a Mean Absolute Error (MAE) of 1.79 m; for the 20–40 m range, the MAE is 6.38 m. A sensitivity analysis of subimage sizes (512/1024/2048 m) reveals that the 1024 m subimage offers an optimal balance between accuracy and coverage. However, residual anomalous wavelengths persist in near-shore subimages, and errors still increase with increasing water depth. This method is both concise and effective, rendering it suitable for application in shallow-water WDB scenarios. Full article
(This article belongs to the Section Ocean Remote Sensing)
Show Figures

Figure 1

15 pages, 3772 KB  
Article
Coupled Vibration Response Analysis of Tension Leg Platform Tendon Under Irregular Ocean Wave Action
by Qiangqiang Wu, Yinguang Du, Xiaofeng Luo, Tao Sun and Heng Lin
J. Mar. Sci. Eng. 2025, 13(10), 1836; https://doi.org/10.3390/jmse13101836 - 23 Sep 2025
Viewed by 282
Abstract
To analyze the dynamic response of tension leg platform (TLP) tendons under irregular ocean wave action, the governing equations of coupled vibration between the platform and tendon under irregular wave action are established based on Hamilton’s principle and the Kirchhoff hypothesis. Using the [...] Read more.
To analyze the dynamic response of tension leg platform (TLP) tendons under irregular ocean wave action, the governing equations of coupled vibration between the platform and tendon under irregular wave action are established based on Hamilton’s principle and the Kirchhoff hypothesis. Using the spectrum representation–random function method, the power spectral density function of the irregular wave load is derived, and the lateral wave forces at different tendon locations are calculated. The coupled lateral and axial responses of the tendon system are obtained through the fourth-order Runge–Kutta method. Considering the parametric vibrations of both the platform and tendon, the extreme lateral deflection of the tendon is employed as the control index to derive the probability density curves of the tendon deflection under irregular wave load. The results show that the amplitude of the wave load increases gradually along the height of the tendon, with a faster growth rate at locations closer to the water surface. The tendon’s lateral deflection response changes more drastically due to coupled parametric vibration of the platform. Based on 628 complete samples of irregular wave loads, the probability density curve and cumulative distribution curve of the extreme lateral deflection of the tendon under irregular wave loads are obtained. Under typical sea state conditions generated from the P-M wave spectrum, the reliability of the tendon under irregular wave load increases with the initial tension force. Full article
(This article belongs to the Special Issue Advanced Studies in Marine Structures)
Show Figures

Figure 1

25 pages, 5278 KB  
Article
Developing a Quality Flag for SAR Ocean Wave Spectrum Partitioning with Machine Learning
by Amine Benchaabane, Romain Husson, Muriel Pinheiro and Guillaume Hajduch
Remote Sens. 2025, 17(18), 3191; https://doi.org/10.3390/rs17183191 - 15 Sep 2025
Viewed by 467
Abstract
Synthetic Aperture Radar (SAR) is one of the few instruments capable of providing high-resolution global two-dimensional (2D) measurements of ocean waves. Since 2014 and then 2016, the Sentinel-1A/B satellites, whenever operating in a specific wave mode (WV), have been providing ocean swell spectrum [...] Read more.
Synthetic Aperture Radar (SAR) is one of the few instruments capable of providing high-resolution global two-dimensional (2D) measurements of ocean waves. Since 2014 and then 2016, the Sentinel-1A/B satellites, whenever operating in a specific wave mode (WV), have been providing ocean swell spectrum data as Level-2 (L2) OCeaN products (OCN), derived through a quasi-linear inversion process. This WV acquires small SAR images of 20 × 20 km footprints alternating between two sub-beams, WV1 and WV2, with incidence angles of approximately 23° and 36°, respectively, to capture ocean surface dynamics. The SAR imaging process is influenced by various modulations, including hydrodynamic, tilt, and velocity bunching. While hydrodynamic and tilt modulations can be approximated as linear processes, velocity bunching introduces significant distortion due to the satellite’s relative motion with respect to the ocean surface and leads to constructive but also destructive effects on the wave imaging process. Due to the associated azimuth cut-off, the quasi-linear inversion primarily detects ocean swells with, on average, wavelengths longer than 200 m in the SAR azimuth direction, limiting the resolution of smaller-scale wave features in azimuth but reaching 10 m resolution along range. The 2D spectral partitioning technique used in the Sentinel-1 WV OCN product separates different swell systems, known as partitions, based on their frequency, directional, and spectral characteristics. The accuracy of these partitions can be affected by several factors, including non-linear effects, large-scale surface features, and the relative direction of the swell peak to the satellite’s flight path. To address these challenges, this study proposes a novel quality control framework using a machine learning (ML) approach to develop a quality flag (QF) parameter associated with each swell partition provided in the OCN products. By pairing collocated data from Sentinel-1 (S1) and WaveWatch III (WW3) partitions, the QF parameter assigns each SAR-derived swell partition one of five quality levels: “very good,” “good,” “medium,” “low,” or “poor”. This ML-based method enhances the accuracy of wave partitions, especially in cases where non-linear effects or large-scale oceanic features distort the data. The proposed algorithm provides a robust tool for filtering out problematic partitions, improving the overall quality of ocean wave measurements obtained from SAR. Moreover, the variability in the accuracy of swell partitions, depending on the swell direction relative to the satellite’s flight heading, is effectively addressed, enabling more reliable data for oceanographic studies. This work contributes to a better understanding of ocean swell dynamics derived from SAR observations and supports the numerical swell modeling community by aiding in the refinement of models and their integration into operational systems, thereby advancing both theoretical and practical aspects of ocean wave forecasting. Full article
(This article belongs to the Special Issue Calibration and Validation of SAR Data and Derived Products)
Show Figures

Figure 1

26 pages, 11892 KB  
Article
Retrieval of Wave Parameters from GNSS Buoy Measurements Using Spectrum Analysis: A Case Study in the Huanghai Sea
by Jin Wang, Xiaohang Chang, Rui Tu, Shiwei Yan, Shengli Wang and Pengfei Zhang
Remote Sens. 2025, 17(16), 2869; https://doi.org/10.3390/rs17162869 - 18 Aug 2025
Viewed by 900
Abstract
Global Navigation Satellite System (GNSS) buoys are widely used to retrieve wave parameters such as significant wave heights (SWHs) and dominant wave periods. In addition to the statistical methods employed to estimate wave parameters, spectral-analysis-based approaches are also frequently utilized to analyze them. [...] Read more.
Global Navigation Satellite System (GNSS) buoys are widely used to retrieve wave parameters such as significant wave heights (SWHs) and dominant wave periods. In addition to the statistical methods employed to estimate wave parameters, spectral-analysis-based approaches are also frequently utilized to analyze them. This study presents statistical and spectral methods for retrieving wave parameters at GNSS buoy positioning resolution in the Huanghai Sea area. To verify the method’s effectiveness, the zero-crossing method and three spectral analysis techniques (periodogram, autocorrelation function, and autoregressive model methods) were used to estimate wave height and period for comparison. The vertical positioning resolution was decomposed into low-frequency ocean-tide level information and high-frequency wave height and period information with the Complete Ensemble Empirical Mode Decomposition (CEEMD) method and moving average filtering. The horizontal positioning results and velocity parameters were used to determine the wave direction using directional spectrum analysis. The results show that the three spectral methods yield consistent effective wave heights, with a maximum difference of 0.02 s in the wave period. Compared with the zero-crossing method results, the wave height and period obtained through spectral analysis differ by 0.05 m and 0.79 s, respectively, while the average wave height and period differ by 0.09 m and 0.08 s, respectively. The GNSS-derived wave heights also closely match tidal gauge observations, confirming the method’s validity. Directional spectrum analysis indicates that wave energy is concentrated in the 0.2–0.25 Hz frequency band and within a directional range of 0° ± 30°, with a dominant northward propagation trend. These findings demonstrate that the proposed approach can provide high accuracy and physical consistency for GNSS-based wave monitoring under complex sea conditions. Full article
(This article belongs to the Special Issue Advances in Multi-GNSS Technology and Applications)
Show Figures

Figure 1

28 pages, 5779 KB  
Article
Regional Wave Spectra Prediction Method Based on Deep Learning
by Yuning Liu, Rui Li, Wei Hu, Peng Ren and Chao Xu
J. Mar. Sci. Eng. 2025, 13(8), 1461; https://doi.org/10.3390/jmse13081461 - 30 Jul 2025
Viewed by 856
Abstract
The wave spectrum, as a key statistical feature describing wave energy distribution, is crucial for understanding wave propagation mechanisms and supporting ocean engineering applications. This study, based on ERA5 reanalysis spectrum data, proposes a model combining CNN and xLSTM for rapid gridded wave [...] Read more.
The wave spectrum, as a key statistical feature describing wave energy distribution, is crucial for understanding wave propagation mechanisms and supporting ocean engineering applications. This study, based on ERA5 reanalysis spectrum data, proposes a model combining CNN and xLSTM for rapid gridded wave spectrum prediction over the Bohai and Yellow Seas domain. It uses 2D gridded spectrum data rather than a spectrum at specific points as input and analyzes the impact of various input factors at different time lags on wave development. The results show that incorporating water depth and mean sea level pressure significantly reduces errors. The model performs well across seasons with the seasonal spatial average root mean square error (SARMSE) of spectral energy remaining below 0.040 m2·s and RMSEs for significant wave height (SWH) and mean wave period (MWP) of 0.138 m and 1.331 s, respectively. At individual points, the spectral density bias is near zero, correlation coefficients range from 0.95 to 0.98, and the peak frequency RMSE is between 0.03 and 0.04 Hz. During a typical cold wave event, the model accurately reproduces the energy evolution and peak frequency shift. Buoy observations confirm that the model effectively tracks significant wave height trends under varying conditions. Moreover, applying a frequency-weighted loss function enhances the model’s ability to capture high-frequency spectral components, further improving prediction accuracy. Overall, the proposed method shows strong performance in spectrum prediction and provides a valuable approach for regional wave spectrum modeling. Full article
(This article belongs to the Section Physical Oceanography)
Show Figures

Figure 1

22 pages, 17693 KB  
Article
Mooring Observations of Typhoon Trami (2024)-Induced Upper-Ocean Variability: Diapycnal Mixing and Internal Wave Energy Characteristics
by Letian Chen, Xiaojiang Zhang, Ze Zhang and Weimin Zhang
Remote Sens. 2025, 17(15), 2604; https://doi.org/10.3390/rs17152604 - 27 Jul 2025
Viewed by 508
Abstract
High-resolution mooring observations captured diverse upper-ocean responses during typhoon passage, showing strong agreement with satellite-derived sea surface temperature and salinity. Analysis indicates that significant wind-induced mixing drove pronounced near-surface cooling and salinity increases at the mooring site. This mixing enhancement was predominantly governed [...] Read more.
High-resolution mooring observations captured diverse upper-ocean responses during typhoon passage, showing strong agreement with satellite-derived sea surface temperature and salinity. Analysis indicates that significant wind-induced mixing drove pronounced near-surface cooling and salinity increases at the mooring site. This mixing enhancement was predominantly governed by rapid intensification of near-inertial shear in the surface layer, revealed by mooring observations. Unlike shear instability, near-inertial horizontal kinetic energy displays a unique vertical distribution, decreasing with depth before rising again. Interestingly, the subsurface peak in diurnal tidal energy coincides vertically with the minimum in near-inertial energy. While both barotropic tidal forcing and stratification changes negligibly influence diurnal tidal energy emergence, significant energy transfer occurs from near-inertial internal waves to the diurnal tide. This finding highlights a critical tide–wave interaction process and demonstrates energy cascading within the oceanic internal wave spectrum. Full article
(This article belongs to the Special Issue Remote Sensing for Ocean-Atmosphere Interaction Studies)
Show Figures

Figure 1

23 pages, 5541 KB  
Article
Innovative Double Dumbbell-Shaped Flux-Switching Linear Tube Generator for Ocean Wave Energy Conversion: Design, Simulation, and Experimental Validation
by Pooja Khatri, Zhenwei Liu, James Rudolph, Elie Al Shami and Xu Wang
Vibration 2025, 8(2), 32; https://doi.org/10.3390/vibration8020032 - 13 Jun 2025
Cited by 1 | Viewed by 914
Abstract
This study introduces a novel double dumbbell-shaped flux-switching linear tube generator (DDFSLG) for ocean wave energy conversion. The innovative architecture features a uniquely shaped stator and translator, distinguishing it from conventional linear generators. Unlike traditional systems, the DDFSLG is housed in a cylindrical [...] Read more.
This study introduces a novel double dumbbell-shaped flux-switching linear tube generator (DDFSLG) for ocean wave energy conversion. The innovative architecture features a uniquely shaped stator and translator, distinguishing it from conventional linear generators. Unlike traditional systems, the DDFSLG is housed in a cylindrical buoy. The translator oscillates axially within the stator. This eliminates the need for motion rectification and reduces mechanical friction losses in the power take-off (PTO) system. These design advancements result in high power output and improved performance. The DDFSLG’s three-phase coil circuit is another key innovation, improving electrical performance and stability in irregular wave conditions. We conducted comprehensive experimental validation using an MTS-250 kN testing system, which demonstrated strong agreement between theoretical predictions and measured results. We compared star and delta coil connections to assess how circuit configuration affects power output and efficiency. Furthermore, hydrodynamic simulations using the JONSWAP spectrum and ANSYS AQWA software (Ansys 13.0) provide detailed insight into the system’s dynamic response under realistic oceanic conditions. Full article
Show Figures

Figure 1

17 pages, 3589 KB  
Article
Short-Term Prediction of Ship Heave Motion Using a PSO-Optimized CNN-LSTM Model
by Guowei Li, Gang Tang, Jingyu Zhang, Qun Sun and Xiangjun Liu
J. Mar. Sci. Eng. 2025, 13(6), 1008; https://doi.org/10.3390/jmse13061008 - 22 May 2025
Viewed by 806
Abstract
When ships conduct offshore operations in the ocean, they are subject to disturbances from natural factors such as sea breezes and waves. These disturbances lead to movements detrimental to the ship’s stability, especially heave movement in the vertical direction, which profoundly impacts the [...] Read more.
When ships conduct offshore operations in the ocean, they are subject to disturbances from natural factors such as sea breezes and waves. These disturbances lead to movements detrimental to the ship’s stability, especially heave movement in the vertical direction, which profoundly impacts the safety of shipboard facilities and staff. To counter this, the active wave compensation device is widely used on ships to maintain the stability of the working environment. However, the system’s efficiency and accuracy are compromised by the significant delay incurred while obtaining real-time motion signals and driving the actuator for motion compensation. To solve the time delay problem of shipborne wave compensation equipment in motion compensation under complex sea conditions, it is necessary to improve the ship heave motion prediction accuracy in an active wave compensation system. This paper presents a prediction method of ship heave motion based on the particle swarm optimization (PSO) and convolutional neural network–long short-term memory (CNN-LSTM) hybrid prediction model. The paper begins by establishing the ship heave motion model based on the P–M spectrum and slice theory, simulating the ship heave motion curve under different sea conditions on MATLAB. This simulation provides crucial data for the subsequent prediction model. The paper then delves into the realization method of ship heave motion based on PSO-CNN-LSTM, where the convolutional neural network (CNN) is used to extract the features of the input signal, thereby enhancing the multi-source feature fusion ability of the LSTM neural network model. The PSO algorithm is then employed to optimize the network structure and hyperparameters of the convolutional neural network. The experiments demonstrate that the proposed PSO-CNN-LSTM hybrid model effectively addresses the problem of predicting drift and boasts significantly higher prediction accuracy, making it suitable for predicting the short-term heave motion of ships. The data show that the optimized root mean square error (RMSE) value under level 5 sea conditions is 0.01265 compared to 0.01673 before optimization, and the optimized RMSE value under level 6 sea conditions is 0.01140 compared to 0.01479 before optimization, which demonstrates that the error between the predicted value and the actual value of the model decreases. This improved accuracy provides reassurance in the model’s predictive capabilities and lays the foundation for improving the accuracy of the motion compensation system in the future. Full article
(This article belongs to the Section Ocean Engineering)
Show Figures

Figure 1

23 pages, 8246 KB  
Article
A New Quasi-Linear Integral Transform Between Ocean Wave Spectrum and Phase Spectrum of an XTI-SAR
by Daozhong Sun, Yunhua Wang, Feng Luo and Xianxian Luo
Remote Sens. 2025, 17(10), 1790; https://doi.org/10.3390/rs17101790 - 20 May 2025
Viewed by 513
Abstract
Cross-Track Interferometric Synthetic Aperture Radar (XTI-SAR) can utilize variations in interferometric phase to measure sea surface velocity along radar radial direction and sea surface height, which can be used for ocean wave parameter inversion. However, research on the imaging mechanisms of XTI-SAR systems [...] Read more.
Cross-Track Interferometric Synthetic Aperture Radar (XTI-SAR) can utilize variations in interferometric phase to measure sea surface velocity along radar radial direction and sea surface height, which can be used for ocean wave parameter inversion. However, research on the imaging mechanisms of XTI-SAR systems for ocean waves remains understudied, and there are still some problems in its perception. To further study the imaging mechanism of XTI-SAR measurement systems for ocean waves, this paper describes research based on the nonlinear integral transform model and the quasi-linear integral transform model derived by Bao in 1999, which relate the XTI-SAR ocean wave spectrum to the phase spectrum. Firstly, this work derived another quasi-linear integral transform model based on the nonlinear integral transform model, and also optimized the quasi-linear integral transform model derived by Bao. The optimized quasi-linear integral transform model eliminates the need for complex calculations of cross-correlation functions between sea surface height and radar radial orbital velocity components of ocean waves, as well as the radar line-of-sight velocity transfer function, while maintaining high integral transform accuracy. Secondly, based on two-dimensional sea surface simulations, we analyzed the differences between the quasi-linear integral transform models and the nonlinear integral transform model corresponding to different XTI-SAR system configurations and different sea states. The numerical simulation results show that, for the XTI-SAR system, in general, the difference between the quasi-linear integral transform model derived in this work and the nonlinear integral transform model is greater than that of the quasi-linear integral transform model derived by Bao. However, the difference between the optimized quasi-linear integral transform model and the nonlinear integral transform model in this study is smaller, and it is more convenient when transforming the ocean wave spectrum to the phase spectrum. Full article
Show Figures

Graphical abstract

20 pages, 3115 KB  
Article
Global SAR Spectral Analysis of Intermediate Ocean Waves: Statistics and Derived Real Aperture Radar Modulation
by Kehan Li and Huimin Li
Remote Sens. 2025, 17(8), 1416; https://doi.org/10.3390/rs17081416 - 16 Apr 2025
Viewed by 886
Abstract
Spaceborne synthetic aperture radar (SAR) has been proven capable of observing the directional ocean wave spectrum across the global ocean. Most of the efforts focus on the integrated wave parameters to characterize the imaged ocean wave properties. The newly proposed spectrum-based radar parameter [...] Read more.
Spaceborne synthetic aperture radar (SAR) has been proven capable of observing the directional ocean wave spectrum across the global ocean. Most of the efforts focus on the integrated wave parameters to characterize the imaged ocean wave properties. The newly proposed spectrum-based radar parameter mean cross-spectrum (MACS) is investigated using SAR image spectral properties of range-traveling waves at a wavelength of 20 m, based on Sentinel-1 wave mode acquisition of high spatial resolution (5 m). The magnitude of MACS is documented relative to environmental conditions (wind speed and direction) in terms of its variation for two polarizations at two incidence angles. This parameter exhibits distinct upwind–downwind asymmetry and polarization ratio at two incidence angles (23.8° and 36.8°). In addition, by comparing the SAR measurements with simulated MACS, we derive an improved real aperture radar modulation transfer function. Results obtained in this study shall help obtain a more accurate ocean wave spectrum based on the improved RAR modulations. Full article
(This article belongs to the Special Issue SAR Monitoring of Marine and Coastal Environments)
Show Figures

Figure 1

20 pages, 8935 KB  
Article
A Data and Machine Learning-Based Approach for the Conversion of the Encounter Wave Frequency Spectrum to the Original Wave Spectrum
by JeongYong Park and MooHyun Kim
Appl. Sci. 2025, 15(7), 3987; https://doi.org/10.3390/app15073987 - 4 Apr 2025
Viewed by 624
Abstract
This study introduces a data-driven and machine learning (ML)-based methodology for converting the encounter wave frequency spectrum to the original wave spectrum, a critical process for navigating vessels with forward speed in various control and adjustment missions. The spectral conversion from the encounter- [...] Read more.
This study introduces a data-driven and machine learning (ML)-based methodology for converting the encounter wave frequency spectrum to the original wave spectrum, a critical process for navigating vessels with forward speed in various control and adjustment missions. The spectral conversion from the encounter- to original-frequency domain faces challenges under certain wave conditions due to the non-uniqueness of the inverse problem. To resolve these challenges, the authors developed an artificial neural network (ANN) model that transforms the encounter-frequency spectrum into the original wave spectrum at a given vessel speed and wave direction. The model was trained and validated using a large dataset mapped from various JONSWAP wave spectra to the corresponding encounter-frequency spectra for various vessel speeds and wave parameters. The hyperparameters of the ANN model were subsequently tested and optimized. The results demonstrate that the ANN model can effectively predict the original wave spectrum with high accuracy, as evidenced by a favorable R2 value and error distribution analysis. This approach not only enhances the reliability of wave spectrum estimation during maritime navigation but also broadens the capability of real-time operational controls and adjustments. Full article
(This article belongs to the Section Marine Science and Engineering)
Show Figures

Figure 1

24 pages, 6485 KB  
Article
Study on the Reconstruction of the Spectral Pattern of Near-Island Reef Bimodal Waves
by Weihang Sun, Yuguo Pei, Leilei Qu and Xiaobo Wang
J. Mar. Sci. Eng. 2025, 13(3), 499; https://doi.org/10.3390/jmse13030499 - 3 Mar 2025
Viewed by 977
Abstract
Accurately fitting bimodal wave spectra is crucial for understanding complex ocean conditions and promoting ocean-related research. In this context, this paper aims to solve the problem of reconstructing bimodal wave spectra in domestic island and reef areas. Taking measured data from the Jiangsu [...] Read more.
Accurately fitting bimodal wave spectra is crucial for understanding complex ocean conditions and promoting ocean-related research. In this context, this paper aims to solve the problem of reconstructing bimodal wave spectra in domestic island and reef areas. Taking measured data from the Jiangsu Xiangshui station in August 2017 and the Xisha Sea area on 1–3 August 2014 as case studies, the researchers selected three types of original bimodal wave spectra. After obtaining the sample spectra through fast Fourier transform and wave spectrum non-dimensionalization, this paper selected a novel wave spectrum—the rational fractional unimodal spectrum—and two classical wave spectra—the Jonswap spectrum and the Neumann spectrum. Three bimodal wave spectra were constructed by superimposing the low-frequency sub-spectrum and the high-frequency sub-spectrum. After using the improved PSO algorithm to optimize the parameters of these three bimodal wave spectra, the specific parameters were obtained. Comparisons were made between the above three bimodal wave spectra and three high-precision double-peak fitting spectra, the Huang Peiji six-parameter spectrum, the Ochi-Hubble spectrum, and the Shen Zhichun fitting spectrum, and the fitting effects were analyzed. The results demonstrated that when fitting the bimodal spectrum dominated by wind waves and the bimodal spectrum with comparable wind and swell energy, the combination of the rational fractional unimodal spectrum and the Neumann spectrum can achieve a fitting accuracy of up to 99%. When fitting the bimodal spectrum dominated by swell waves, the combination of the rational fractional unimodal spectrum and the Jonswap spectrum can also achieve a fitting accuracy of 99%. The findings of this paper provide valuable references for the study of other types of double-peak wave spectra in China. Full article
(This article belongs to the Section Ocean Engineering)
Show Figures

Figure 1

22 pages, 2943 KB  
Article
Characterization of 77 GHz Radar Backscattering from Sea Surfaces at Low Incidence Angles: Preliminary Results
by Qinghui Xu, Chen Zhao, Zezong Chen, Sitao Wu, Xiao Wang and Lingang Fan
Remote Sens. 2025, 17(1), 116; https://doi.org/10.3390/rs17010116 - 1 Jan 2025
Cited by 3 | Viewed by 1521
Abstract
Millimeter-wave (MMW) radar is capable of providing high temporal–spatial measurements of the ocean surface. Some topics, such as the characterization of the radar echo, have attracted widespread attention from researchers. However, most existing research studies focus on the backscatter of the ocean surface [...] Read more.
Millimeter-wave (MMW) radar is capable of providing high temporal–spatial measurements of the ocean surface. Some topics, such as the characterization of the radar echo, have attracted widespread attention from researchers. However, most existing research studies focus on the backscatter of the ocean surface at low microwave bands, while the sea surface backscattering mechanism in the 77 GHz frequency band remains not well interpreted. To address this issue, in this paper, the investigation of the scattering mechanism is carried out for the 77 GHz frequency band ocean surface at small incidence angles. The backscattering coefficient is first simulated by applying the quasi-specular scattering model and the corrected scattering model of geometric optics (GO4), using two different ocean wave spectrum models (the Hwang spectrum and the Kudryavtsev spectrum). Then, the dependence of the sea surface normalized radar cross section (NRCS) on incidence angles, azimuth angles, and sea states are investigated. Finally, by comparison between model simulations and the radar-measured data, the 77 GHz frequency band scattering characterization of sea surfaces at the near-nadir incidence is verified. In addition, experimental results from the wave tank are shown, and the difference in the scattering mechanism is further discussed between water surfaces and oceans. The obtained results seem promising for a better understanding of the ocean surface backscattering mechanism in the MMW frequency band. It provides a new method for fostering the usage of radar technologies for real-time ocean observations. Full article
(This article belongs to the Topic Radar Signal and Data Processing with Applications)
Show Figures

Figure 1

26 pages, 28887 KB  
Article
Dynamic Response and Fatigue Analysis of a New Marine Gravitational Energy Storage System Under Wave Loads
by Ziheng Wang, Dazhi Huang, Hongkun He, Feifei Yang, Wenhao Li and Yi Chen
J. Mar. Sci. Eng. 2024, 12(12), 2196; https://doi.org/10.3390/jmse12122196 - 1 Dec 2024
Cited by 1 | Viewed by 1174
Abstract
Given the unstable input of electricity generated by offshore renewable energy in connection to the power grid at present, one solution is energy storage technology. In recent years, the new marine gravitational energy storage technology has received wide attention in China and worldwide. [...] Read more.
Given the unstable input of electricity generated by offshore renewable energy in connection to the power grid at present, one solution is energy storage technology. In recent years, the new marine gravitational energy storage technology has received wide attention in China and worldwide. To apply this new energy storage technology for use in the ocean, in view of the structural characteristics of the new offshore gravitational energy storage system, a support structure based on the foundation of a wind-powered pipe frame is proposed. In order to verify the feasibility of the support structure, a finite element model is established using SACS to analyze whether it meets the requirements. The construction of this structure in a specific sea is simulated through finite element simulation. Then, in accordance with the hydrogeological conditions of the sea area, the wind turbine data, and the dimensional parameters of the energy storage system’s structure, a finite element model is established with SACS for static analysis, modal analysis, random wave response analysis, and wave spectrum fatigue analysis, thereby determining whether the structure meets the requirements for strength, deformation, and fatigue. The research results show that the UC value of the static strength of the support structure of the new offshore gravitational energy storage system is less than 1. In the modal analysis, the natural frequencies of the first- and second-order modes are not within the danger range. In the corresponding random wave analysis, it is found that the natural frequencies of the first four orders are the greatest contributors to the dynamic response during the normal operation of the turbine. In fatigue analysis, it is concluded that the structure meets all the requirements of DNV specifications. The research results provide a reference for the engineering application of the support structure of the new gravitational energy storage system in the ocean. Full article
(This article belongs to the Section Marine Energy)
Show Figures

Figure 1

Back to TopTop