Sign in to use this feature.

Years

Between: -

Subjects

remove_circle_outline
remove_circle_outline
remove_circle_outline
remove_circle_outline
remove_circle_outline
remove_circle_outline
remove_circle_outline

Journals

Article Types

Countries / Regions

Search Results (50)

Search Parameters:
Keywords = numerical methods for Lie systems

Order results
Result details
Results per page
Select all
Export citation of selected articles as:
21 pages, 2165 KB  
Article
A Comprehensive Benchmark of Machine Learning Methods for Blood Glucose Prediction in Type 1 Diabetes: A Multi-Dataset Evaluation
by Mikhail Kolev, Irina Naskinova, Mariyan Milev, Stanislava Stoilova and Iveta Nikolova
Appl. Sci. 2026, 16(8), 3928; https://doi.org/10.3390/app16083928 - 17 Apr 2026
Viewed by 357
Abstract
Managing blood glucose in type 1 diabetes (T1D) remains a daily clinical challenge, and accurate short-term prediction of glucose levels can meaningfully improve insulin dosing decisions while reducing the risk of dangerous hypoglycaemic episodes. Although numerous machine learning approaches have been proposed for [...] Read more.
Managing blood glucose in type 1 diabetes (T1D) remains a daily clinical challenge, and accurate short-term prediction of glucose levels can meaningfully improve insulin dosing decisions while reducing the risk of dangerous hypoglycaemic episodes. Although numerous machine learning approaches have been proposed for this task, comparing their relative merits is difficult because published studies differ widely in datasets, preprocessing choices, and evaluation criteria. In this work, we address this research gap by benchmarking ten machine learning methods—from a naïve persistence baseline through classical linear regressors, gradient-boosted ensembles, and recurrent neural networks to a novel hybrid that couples LightGBM with stochastic differential equation (SDE)-based glucose–insulin simulation—on two multi-patient datasets comprising 34 T1D subjects, across prediction horizons of 15, 30, 60, and 120 min. Every method is trained and tested under identical preprocessing and temporal splitting conditions to ensure a fair comparison. The proposed Hybrid LightGBM-SDE model consistently outperforms all alternatives, recording RMSE values of 22.42 mg/dL at 15 min, 28.74 mg/dL at 30 min, 33.89 mg/dL at 60 min, and 37.22 mg/dL at 120 min—an improvement of between 13.6% and 27.0% relative to standalone LightGBM. At the clinically important 30 min horizon, 99.7% of predictions lie within the acceptable A and B zones of the Clarke Error Grid. Wilcoxon signed-rank tests confirm that performance differences are statistically significant (p < 10−10), and SHAP-based analysis shows that the SDE-derived simulation features are among the most influential predictors, especially at longer horizons. All source code and evaluation scripts are publicly released to support reproducibility. Due to temporary data access constraints, all experiments reported here use physics-based synthetic datasets generated from the Bergman minimal model, replicating the structural properties of the D1NAMO and HUPA-UCM collections; validation on the original clinical recordings is planned. Among the two synthetic datasets, the D1NAMO-equivalent cohort (nine patients) proves more challenging, with systematically higher per-patient RMSE variance. The clinically acceptable prediction accuracy at the 30 min horizon (99.7% in Clarke zones A + B) suggests potential for integration into insulin dosing decision-support systems. Full article
Show Figures

Figure 1

15 pages, 641 KB  
Article
Optical Solitons, Optimal Systems and Conserved Quantities of the Schrödinger Equation with Spatio-Temporal and Inter-Modal Dispersions
by Funda Turk
Fractal Fract. 2026, 10(2), 112; https://doi.org/10.3390/fractalfract10020112 - 5 Feb 2026
Cited by 1 | Viewed by 454
Abstract
In this study, we present a unified symmetry-conservation solution analysis of a well-posed resonant nonlinear Schrödinger (NLS)-type equation incorporating spatio-temporal dispersion and inter-modal dispersion. Working within the truncated M-fractional derivative framework, we first construct exact traveling-wave solution families via the Kudryashov expansion method, [...] Read more.
In this study, we present a unified symmetry-conservation solution analysis of a well-posed resonant nonlinear Schrödinger (NLS)-type equation incorporating spatio-temporal dispersion and inter-modal dispersion. Working within the truncated M-fractional derivative framework, we first construct exact traveling-wave solution families via the Kudryashov expansion method, together with the corresponding parameter constraints and limiting cases. We then determine the admitted Lie point symmetries and establish the associated Lie algebra, including the commutator structure, adjoint representation, and an optimal system of one-dimensional subalgebras for classification. Using the conservation theorem, we derive conserved vectors associated with the fundamental invariances of the model; in the NLS setting and under suitable conditions, these quantities can be interpreted as generalized power (mass), momentum, and energy-type invariants. Overall, the results provide explicit wave profiles and structural invariants that enhance the interpretability of the model and offer benchmark expressions useful for further qualitative, numerical, and stability investigations in nonlinear dispersive wave dynamics. Full article
Show Figures

Figure 1

25 pages, 1421 KB  
Article
The Geometry of Modal Closure—Symmetry, Invariants, and Transform Boundaries
by Robert Castro
Symmetry 2026, 18(1), 48; https://doi.org/10.3390/sym18010048 - 26 Dec 2025
Cited by 3 | Viewed by 644
Abstract
Modal decomposition, introduced by Fourier, expresses complex functions, such as sums of symmetric basis modes. However, convergence alone does not ensure structural fidelity. Discontinuities, sharp gradients, and localized features often lie outside the chosen basis’s symmetry class, producing artifacts such as the Gibbs [...] Read more.
Modal decomposition, introduced by Fourier, expresses complex functions, such as sums of symmetric basis modes. However, convergence alone does not ensure structural fidelity. Discontinuities, sharp gradients, and localized features often lie outside the chosen basis’s symmetry class, producing artifacts such as the Gibbs overshoot. This study introduces a unified geometric framework for assessing when modal representations remain faithful by defining three symbolic invariants—curvature (κ), strain (τ), and compressibility (σ)—and their diagnostic ratio Γ = κ/τ. Together, these quantities measure how closely the geometry of a function aligns with the symmetry of its modal basis. The condition Γ < σ identifies the domain of structural closure: this is the region in which expansion preserves both accuracy and symmetry. Analytical demonstrations for Fourier, polynomial, and wavelet systems show that overshoot and ringing arise precisely where this inequality fails. Numerical illustrations confirm the predictive value of the invariants across discontinuous and continuous test functions. The framework reframes modal analysis as a problem of geometric compatibility rather than convergence alone, establishing quantitative criteria for closure-preserving transforms in mathematics, physics, and applied computation. It provides a general diagnostic for detecting when symmetry, curvature, and representation fall out of alignment, offering a new foundation for adaptive and structure-aware transform design. In practical terms, the invariants (κ, τ, σ) offer a diagnostic for identifying where modal systems preserve geometric structure and where they fail. Their link to symmetry arises because curvature measures structural deviation, strain measures representational effort within a given symmetry class, and compressibility quantifies efficiency. This geometric viewpoint complements classical convergence theory and clarifies why adaptive spectral methods, edge-aware transforms, multiscale PDE solvers, and learned operators benefit from locally increasing strain to restore the closure condition Γ < σ. These applications highlight the broader analytical and computational relevance of the closure framework. Full article
(This article belongs to the Section Mathematics)
Show Figures

Figure 1

19 pages, 1271 KB  
Article
Efficient Reachable Domain Search-Tracking for Cislunar Non-Cooperative Targets via Designed Quadrature
by Kaige Li, Yidi Wang and Wei Zheng
Aerospace 2025, 12(12), 1056; https://doi.org/10.3390/aerospace12121056 - 27 Nov 2025
Viewed by 1000
Abstract
To address the triple challenges of data sparsity, highly nonlinear dynamics, and maneuver uncertainty in tracking non-cooperative targets in cislunar space, we propose a collaborative framework combining Particle Filter (PF) and Unscented Kalman Filter (UKF). This framework optimizes search efficiency through a two-phase [...] Read more.
To address the triple challenges of data sparsity, highly nonlinear dynamics, and maneuver uncertainty in tracking non-cooperative targets in cislunar space, we propose a collaborative framework combining Particle Filter (PF) and Unscented Kalman Filter (UKF). This framework optimizes search efficiency through a two-phase strategy: in the search phase, PF constructs the target reachable domain and leverages undetected information to dynamically shrink the search scope; upon target detection, the framework switches to UKF for high-precision and low-overhead tracking. To overcome the computational bottleneck in high-dimensional reachable domain integration, we integrate a non-product-type Designed Quadrature (DQ) method—one that generates minimal quadrature point sets to replace traditional Monte Carlo sampling by matching the moment conditions of mixed distributions via Gauss–Newton optimization. Distinct from existing single-filter or reachability modeling approaches, the key novelties of this work lie in a two-phase PF-UKF switching framework tailored to the unique cislunar environment resolving the trade-off between search capability and computational efficiency and integration of the non-product DQ method to break the dimensionality curse in high-dimensional reachable domain computation ensuring both moment-matching accuracy and real-time performance. This work holds potential to support space domain awareness and cislunar mission safety: reliable tracking of non-cooperative targets is a key prerequisite for avoiding collisions, safeguarding space assets, and enabling effective space defense, and the proposed framework provides a feasible technical path for this goal through simulation validation. Simulations demonstrate that on a three-dimensional Distant Retrograde Orbit (DRO) observation platform, successful recapture of cislunar transfer orbit targets can be achieved. Under fifth-order accuracy conditions, the system exhibits a position error of 3.745×101km and a velocity tracking error of 9.703×103m/s for target search-and-tracking tasks, with a system response time of 1.8343 h. Compared with the traditional PF + numerical integration method, our proposed PF-UKF framework achieves an 86.7% reduction in time cost and a 24.1% reduction in position error. Full article
(This article belongs to the Special Issue New Perspective on Flight Guidance, Control and Dynamics)
Show Figures

Figure 1

18 pages, 1493 KB  
Article
Hamel’s Formalism and Variational Integrators of the Hydrodynamic Chaplygin Sleigh
by Li-Li Xia and Jun-Hua Zhang
Symmetry 2025, 17(11), 1985; https://doi.org/10.3390/sym17111985 - 17 Nov 2025
Viewed by 562
Abstract
Modeling of dynamic systems with nonholonomic constraints usually involves constraint multipliers. Consequently, the dynamic equations in the laboratory coordinate system have a complex form, and as a result, the corresponding numerical algorithms need to be improved in terms of both efficiency and accuracy. [...] Read more.
Modeling of dynamic systems with nonholonomic constraints usually involves constraint multipliers. Consequently, the dynamic equations in the laboratory coordinate system have a complex form, and as a result, the corresponding numerical algorithms need to be improved in terms of both efficiency and accuracy. This paper addresses establishing the mathematical model of the hydrodynamic sleigh in the Hamel framework. Firstly, the Lie symmetry and the Noether theorem conserved quantities of classic Chaplygin sleigh in which the inertial frame is reviewed. Based on the symmetries and the nonholonomic constraints, the frame of the sleigh can be directly realized in the algebraic space. Based on the mutual coupling mechanism between the fluid and the sleigh in a potential flow environment, the reduced equations in the moving frame are proposed in nonintegrable constraint distributions. The corresponding Hamel integrator is constructed based on the discrete variational principle. For the sleigh model in potential flow, the Hamel integrator is used to verify the feasibility of parameter control based on rotation angles and mass distribution, and to obtain the dynamic characteristics of the sleigh blade with both a rotational offset and translational offset. Numerical results indicate that the modeling method in the Hamel framework provides a more concise and efficient approach for exploring the dynamic behavior of the hydrodynamic sleigh. Full article
(This article belongs to the Section Physics)
Show Figures

Figure 1

26 pages, 2582 KB  
Article
Lie Symmetry Analysis, Optimal Systems and Physical Interpretation of Solutions for the KdV-Burgers Equation
by Faiza Afzal and Alina Alb Lupas
Symmetry 2025, 17(11), 1981; https://doi.org/10.3390/sym17111981 - 16 Nov 2025
Viewed by 818
Abstract
This manuscript presents a comprehensive Lie symmetry analysis of the KdV-Burgers equation, a prototypical model for nonlinear wave dynamics incorporating dissipation and dispersion. We systematically derive its six-dimensional Lie algebra and construct an optimal system of one-dimensional subalgebras. This framework is used to [...] Read more.
This manuscript presents a comprehensive Lie symmetry analysis of the KdV-Burgers equation, a prototypical model for nonlinear wave dynamics incorporating dissipation and dispersion. We systematically derive its six-dimensional Lie algebra and construct an optimal system of one-dimensional subalgebras. This framework is used to perform a symmetry reduction, transforming the governing partial differential equation into a set of ordinary differential equations. A key contribution of this work is the identification and analysis of several non-trivial invariant solutions, including a new Galilean-boost-invariant solution related to an accelerating reference frame, which extends beyond standard traveling waves. Through a detailed physical interpretation supported by phase plane analysis and asymptotic methods, we elucidate how the mathematical symmetries directly manifest as fundamental physical behaviors. This reveals a clear classification of distinct wave regimes—from monotonic and oscillatory shocks to solitary wave trains governed by the interplay between nonlinearity, dissipation and dispersion. The numerical validation verify the accuracy and physical relevance of the derived invariant solutions, with errors less than 0.5% in the Burgers limit and 3.2% in the weak dissipation regime. Our work establishes a direct link between the model’s symmetry structure and its observable dynamics, providing a unified framework validated both analytically and through the examination of universal scaling laws. The results offer profound insights applicable to fields ranging from plasma physics and hydrodynamics to nonlinear acoustics. Full article
(This article belongs to the Special Issue Symmetry and Its Applications in Partial Differential Equations)
Show Figures

Figure 1

39 pages, 504 KB  
Article
Geophysical Monge–Ampère-Type Equation: Symmetries and Exact Solutions
by Andrei D. Polyanin and Alexander V. Aksenov
Mathematics 2025, 13(21), 3522; https://doi.org/10.3390/math13213522 - 3 Nov 2025
Cited by 1 | Viewed by 1121
Abstract
This paper studies a mixed PDE containing the second time derivative and a quadratic nonlinearity of the Monge–Ampère type in two spatial variables, which is encountered in geophysical fluid dynamics. The Lie group symmetry analysis of this highly nonlinear PDE is performed for [...] Read more.
This paper studies a mixed PDE containing the second time derivative and a quadratic nonlinearity of the Monge–Ampère type in two spatial variables, which is encountered in geophysical fluid dynamics. The Lie group symmetry analysis of this highly nonlinear PDE is performed for the first time. An invariant point transformation is found that depends on fourteen arbitrary constants and preserves the form of the equation under consideration. One-dimensional symmetry reductions leading to self-similar and some other invariant solutions that described by single ODEs are considered. Using the methods of generalized and functional separation of variables, as well as the principle of structural analogy of solutions, a large number of new non-invariant closed-form solutions are obtained. In general, the extensive list of all exact solutions found includes more than thirty solutions that are expressed in terms of elementary functions. Most of the obtained solutions contain a number of arbitrary constants, and several solutions additionally include two arbitrary functions. Two-dimensional reductions are considered that reduce the original PDE in three independent variables to a single simpler PDE in two independent variables (including linear wave equations, the Laplace equation, the Tricomi equation, and the Guderley equation) or to a system of such PDEs. A number of specific examples demonstrate that the type of the mixed, highly nonlinear PDE under consideration, depending on the choice of its specific solutions, can be either hyperbolic or elliptic. To analyze the equation and construct exact solutions and reductions, in addition to Cartesian coordinates, polar, generalized polar, and special Lorentz coordinates are also used. In conclusion, possible promising directions for further research of the highly nonlinear PDE under consideration and related PDEs are formulated. It should be noted that the described symmetries, transformations, reductions, and solutions can be utilized to determine the error and estimate the limits of applicability of numerical and approximate analytical methods for solving complex problems of mathematical physics with highly nonlinear PDEs. Full article
(This article belongs to the Special Issue Differential Equations Applied in Fluid Dynamics)
17 pages, 680 KB  
Article
Stochastic SO(3) Lie Method for Correlation Flow
by Yasemen Ucan and Melike Bildirici
Symmetry 2025, 17(10), 1778; https://doi.org/10.3390/sym17101778 - 21 Oct 2025
Viewed by 634
Abstract
It is very important to create mathematical models for real world problems and to propose new solution methods. Today, symmetry groups and algebras are very popular in mathematical physics as well as in many fields from engineering to economics to solve mathematical models. [...] Read more.
It is very important to create mathematical models for real world problems and to propose new solution methods. Today, symmetry groups and algebras are very popular in mathematical physics as well as in many fields from engineering to economics to solve mathematical models. This paper introduces a novel methodological framework based on the SO(3) Lie method to estimate time-dependent correlation matrices (correlation flows) among three variables that have chaotic, entropy, and fractal characteristics, from 11 April 2011 to 31 December 2024 for daily data; from 10 April 2011 to 29 December 2024 for weekly data; and from April 2011 to December 2024 for monthly data. So, it develops the stochastic SO(2) Lie method into the SO(3) Lie method that aims to obtain the correlation flow for three variables with chaotic, entropy, and fractal structure. The results were obtained at three stages. Firstly, we applied entropy (Shannon, Rényi, Tsallis, Higuchi) measures, Kolmogorov–Sinai complexity, Hurst exponents, rescaled range tests, and Lyapunov exponent methods. The results of the Lyapunov exponents (Wolf, Rosenstein’s Method, Kantz’s Method) and entropy methods, and KSC found evidence of chaos, entropy, and complexity. Secondly, the stochastic differential equations which depend on S2 (SO(3) Lie group) and Lie algebra to obtain the correlation flows are explained. The resulting equation was numerically solved. The correlation flows were obtained by using the defined covariance flow transformation. Finally, we ran the robustness check. Accordingly, our robustness check results showed the SO(3) Lie method produced more effective results than the standard and Spearman correlation and covariance matrix. And, this method found lower RMSE and MAPE values, greater stability, and better forecast accuracy. For daily data, the Lie method found RMSE = 0.63, MAE = 0.43, and MAPE = 5.04, RMSE = 0.78, MAE = 0.56, and MAPE = 70.28 for weekly data, and RMSE = 0.081, MAE = 0.06, and MAPE = 7.39 for monthly data. These findings indicate that the SO(3) framework provides greater robustness, lower errors, and improved forecasting performance, as well as higher sensitivity to nonlinear transitions compared to standard correlation measures. By embedding time-dependent correlation matrix into a Lie group framework inspired by physics, this paper highlights the deep structural parallels between financial markets and complex physical systems. Full article
Show Figures

Figure 1

33 pages, 4092 KB  
Article
Lie Symmetry Analysis, Rogue Waves, and Lump Waves of Nonlinear Integral Jimbo–Miwa Equation
by Ejaz Hussain, Aljethi Reem Abdullah, Khizar Farooq and Syed Asif Ali Shah
Symmetry 2025, 17(10), 1717; https://doi.org/10.3390/sym17101717 - 13 Oct 2025
Cited by 7 | Viewed by 854
Abstract
In this study, the extended (3 + 1)-dimensional Jimbo–Miwa equation, which has not been previously studied using Lie symmetry techniques, is the focus. We derive new symmetry reductions and exact invariant solutions, including lump and rogue wave structures. Additionally, precise solitary wave solutions [...] Read more.
In this study, the extended (3 + 1)-dimensional Jimbo–Miwa equation, which has not been previously studied using Lie symmetry techniques, is the focus. We derive new symmetry reductions and exact invariant solutions, including lump and rogue wave structures. Additionally, precise solitary wave solutions of the extended (3 + 1)-dimensional Jimbo–Miwa equation using the multivariate generalized exponential rational integral function technique (MGERIF) are studied. The extended (3 + 1)-dimensional Jimbo–Miwa equation is crucial for studying nonlinear processes in optical communication, fluid dynamics, materials science, geophysics, and quantum mechanics. The multivariate generalized exponential rational integral function approach offers advantages in addressing challenges involving exponential, hyperbolic, and trigonometric functions formulated based on the generalized exponential rational function method. The solutions provided by MGERIF have numerous applications in various fields, including mathematical physics, condensed matter physics, nonlinear optics, plasma physics, and other nonlinear physical equations. The graphical features of the generated solutions are examined using 3D surface graphs and contour plots, with theoretical derivations. This visual technique enhances our understanding of the identified answers and facilitates a more profound discussion of their practical applications in real-world scenarios. We employ the MGERIF approach to develop a technique for addressing integrable systems, providing a valuable framework for examining nonlinear phenomena across various physical contexts. This study’s outcomes enhance both nonlinear dynamical processes and solitary wave theory. Full article
(This article belongs to the Special Issue Symmetry and Asymmetry in Nonlinear Partial Differential Equations)
Show Figures

Figure 1

19 pages, 1352 KB  
Article
Geometric Numerical Test via Collective Integrators: A Tool for Orbital and Attitude Propagation
by Francisco Crespo, Jhon Vidarte, Jersson Gerley Villafañe and Jorge Luis Zapata
Symmetry 2025, 17(10), 1652; https://doi.org/10.3390/sym17101652 - 4 Oct 2025
Viewed by 494
Abstract
We propose a novel numerical test to evaluate the reliability of numerical propagations, leveraging the fiber bundle structure of phase space typically induced by Lie symmetries, though not exclusively. This geometric test simultaneously verifies two properties: (i) preservation of conservation principles, and (ii) [...] Read more.
We propose a novel numerical test to evaluate the reliability of numerical propagations, leveraging the fiber bundle structure of phase space typically induced by Lie symmetries, though not exclusively. This geometric test simultaneously verifies two properties: (i) preservation of conservation principles, and (ii) faithfulness to the symmetry-induced fiber bundle structure. To generalize the approach to systems lacking inherent symmetries, we construct an associated collective system endowed with an artificial G-symmetry. The original system then emerges as the G-reduced version of this collective system. By integrating the collective system and monitoring G-fiber bundle conservation, our test quantifies numerical precision loss and detects geometric structure violations more effectively than classical integral-based checks. Numerical experiments demonstrate the superior performance of this method, particularly in long-term simulations of rigid body dynamics and perturbed Keplerian systems. Full article
(This article belongs to the Section Mathematics)
Show Figures

Figure 1

19 pages, 5751 KB  
Article
Gyro-System for Guidance with Magnetically Suspended Gyroscope, Using Control Laws Based on Dynamic Inversion
by Romulus Lungu, Constantin-Adrian Mihai and Alexandru-Nicolae Tudosie
Actuators 2025, 14(7), 316; https://doi.org/10.3390/act14070316 - 25 Jun 2025
Viewed by 1226
Abstract
The authors have designed a gyro-system for orientation (guidance) and stabilization, with two gimbals and a rotor in magnetic suspension (AMB—Active Magnetic Bearing) usable for self-guided rockets. The gyro-system (DGMSGG—double gimbal magnetic suspension gyro-system for guidance) orients and stabilizes the target coordinator’s axis [...] Read more.
The authors have designed a gyro-system for orientation (guidance) and stabilization, with two gimbals and a rotor in magnetic suspension (AMB—Active Magnetic Bearing) usable for self-guided rockets. The gyro-system (DGMSGG—double gimbal magnetic suspension gyro-system for guidance) orients and stabilizes the target coordinator’s axis (CT) and, at the same time, the AMB–rotor’s axis so that they overlap the guidance line (the target line). DGMSGG consists of two decoupled systems: one for canceling the AMB–rotor translations along the precession axes (induced by external disturbing forces), the other for canceling the AMB–rotor rotations relative to the CT-axis (induced by external disturbing moments) and, at the same time, for controlling the gimbals’ rotations, so that the AMB–rotor’s axis overlaps the guidance line. The nonlinear DGMSGG model is decomposed into two sub-models: one for the AMB–rotor’s translation, the other for the AMB–rotor’s and gimbals’ rotation. The second sub-model is described first by nonlinear state equations. This model is reduced to a second order nonlinear matrix—vector form with respect to the output vector. The output vector consists of the rotation angles of the AMB–rotor and the rotation angles of the gimbals. For this purpose, a differential geometry method, based on the use of the output vector’s gradient with respect to the nonlinear state functions, i.e., based on Lie derivatives, is used. This equation highlights the relative degree (equal to 2) with respect to the variables of the output vector and allows for the use of the dynamic inversion method in the design of stabilization and guidance controllers (of P.I.D.- and PD-types), as well as in the design of the related linear state observers. The controller of the subsystem intended for AMB–rotor’s translations control is chosen as P.I.D.-type, which leads to the cancellation of both its translations and its translation speeds. The theoretical results are validated through numerical simulations, using Simulink/Matlab models. Full article
Show Figures

Figure 1

20 pages, 2497 KB  
Article
White Light Spectroscopy Characteristics and Expansion Dynamic Behavior of Primary T-Cells: A Possibility of Online, Real-Time, and Sampling-Less CAR T-Cell Production Monitoring
by Bruno Wacogne, Maxime Brito, Clémentine Gamonet, Alain Rouleau and Annie Frelet-Barrand
Biosensors 2025, 15(4), 251; https://doi.org/10.3390/bios15040251 - 15 Apr 2025
Cited by 2 | Viewed by 1043
Abstract
The production of advanced therapy medicinal products (ATMP) is a long and highly technical process, resulting in a high cost per dose, which reduces the number of eligible patients. There is a critical need for a closed and sample-free monitoring system to perform [...] Read more.
The production of advanced therapy medicinal products (ATMP) is a long and highly technical process, resulting in a high cost per dose, which reduces the number of eligible patients. There is a critical need for a closed and sample-free monitoring system to perform the numerous quality controls required. Current monitoring methods are not optimal, mainly because they require the system to be opened up for sampling and result in material losses. White light spectroscopy has emerged as a technique for sample-free control compatible with closed systems. We have recently proposed its use to monitor cultures of CEM-C1 cell lines. In this paper, we apply this method to T-cells isolated from healthy donor blood samples. The main differences between cell lines and human primary T-cells lie in the slightly different shape of their absorption spectra and in the dynamics of cell expansion. T-cells do not multiply exponentially, resulting in a non-constant generation time. Cell expansion is described by a power-law model, which allows for the definition of instantaneous generation times. A correlation between the linear asymptotic behavior of these generation times and the initial cell concentration leads to the hypothesis that this could be an early predictive marker of the final culture concentration. To the best of our knowledge, this is the first time that such concepts have been proposed. Full article
(This article belongs to the Special Issue Photonics for Bioapplications: Sensors and Technology—2nd Edition)
Show Figures

Figure 1

27 pages, 1328 KB  
Article
Lie Group Classification, Symmetry Reductions, and Conservation Laws of a Monge–Ampère Equation
by Samina Samina, Faiza Arif, Adil Jhangeer and Samad Wali
Symmetry 2025, 17(3), 355; https://doi.org/10.3390/sym17030355 - 26 Feb 2025
Cited by 5 | Viewed by 1783
Abstract
The nonhomogeneous Monge–Ampère equation, read as wxxwyywxy2+h(w)=0, is a nonlinear equation involving mixed second derivatives with respect to the spatial variables x and y, [...] Read more.
The nonhomogeneous Monge–Ampère equation, read as wxxwyywxy2+h(w)=0, is a nonlinear equation involving mixed second derivatives with respect to the spatial variables x and y, along with an additional source function h(w). This equation is observed in several fields, including differential geometry, fluid dynamics, and magnetohydrodynamics. In this study, the Lie symmetry method is used to obtain a detailed classification of this equation. Symmetry analysis leads to a comprehensive classification of the equation, resulting in specific forms of the smooth source function h(w). Furthermore, the one-dimensional optimal system of the associated Lie algebras is derived, allowing for symmetry reductions that yield several exact invariant solutions of the Monge–Ampère equation. In addition, conservation laws are constructed using the Noether approach, a highly effective and widely used method for deriving conserved quantities. These conservation laws can help evaluate the accuracy and reliability of numerical methods. Full article
(This article belongs to the Section Mathematics)
Show Figures

Figure 1

31 pages, 2011 KB  
Article
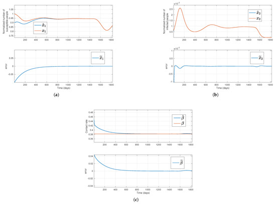
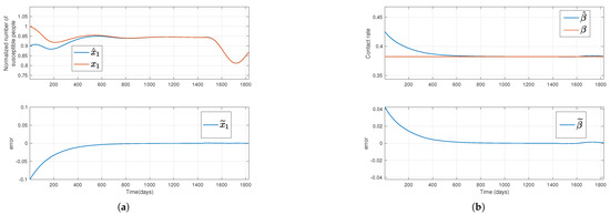
Theoretical State and Time-Varying Parameter Estimation for a Susceptible, Infected, Hospitalized, and Immunized Epidemic Model Based on New Hospital Admission and Death Data
by Carmen Legarreta, Manuel De la Sen and Santiago Alonso-Quesada
Appl. Sci. 2025, 15(4), 1940; https://doi.org/10.3390/app15041940 - 13 Feb 2025
Cited by 1 | Viewed by 1266
Abstract
The transmission rate (β(t)) plays a crucial role in disease spread, making its measurement essential for effective control. However, existing techniques for its estimation are impractical as they rely on typically unavailable data. To address this, a prior [...] Read more.
The transmission rate (β(t)) plays a crucial role in disease spread, making its measurement essential for effective control. However, existing techniques for its estimation are impractical as they rely on typically unavailable data. To address this, a prior analysis of the most frequently reported data during the Coronavirus Disease 2019 (COVID-19) pandemic has been carried out, namely the number of new hospital admissions (y1(t)) and deaths (y2(t)). Based on this analysis, an SIHR epidemic model is presented, where S, I, H, and R represent susceptible, infected, hospitalized, and immunized subpopulations, respectively, and various observers tailored to the available data are proposed. Assuming both y1(t) and y2(t) are available, an exponential observer has been designed for the state estimation, from which β(t) is obtained. If only y1(t) is available, a combination of output injection and output diffeomorphism is employed to transform the nonlinear system into its observer canonical form, enabling the design of an adaptive observer for estimating both the states and β(t). By considering only y2(t), an explicit equation has been obtained to estimate y1(t), enabling the application of the previously developed methods. These approaches have been validated through a theoretical framework and numerical simulations; the first and third methods successfully estimate the unknown states and β(t) with high accuracy. The second method yields a bounded region where the true value is expected to lie. Full article
(This article belongs to the Section Energy Science and Technology)
Show Figures

Figure 1

12 pages, 2033 KB  
Article
Study of Steady Natural Convective Laminar Fluid Flow over a Vertical Cylinder Using Lie Group Transformation
by Anood M. Hanafy, Mina B. Abd-el-Malek and Nagwa A. Badran
Symmetry 2024, 16(12), 1558; https://doi.org/10.3390/sym16121558 - 21 Nov 2024
Cited by 1 | Viewed by 1095
Abstract
Due to its critical importance in engineering applications, this study is motivated by the essential need to understand natural convection over a vertical cylinder with combined heat and mass transfer. Lie group symmetry transformations are used to analyze the thermal and velocity boundary [...] Read more.
Due to its critical importance in engineering applications, this study is motivated by the essential need to understand natural convection over a vertical cylinder with combined heat and mass transfer. Lie group symmetry transformations are used to analyze the thermal and velocity boundary layers of steady, naturally convective laminar fluid flow over the surface of a vertical cylinder. The one-parameter Lie group symmetry technique converts the system of governing equations into ordinary differential equations, which are then solved numerically using the implicit Runge–Kutta method. The effect of the Prandtl number, Schmidt number, and combined buoyancy ratio parameter on axial velocity, temperature, and concentration profiles are illustrated graphically. A specific range of parameter values was chosen to compare the obtained results with previous studies, demonstrating the accuracy of this method relative to others. The average Nusselt number and average Sherwood number are computed for various values of the Prandtl number Pr and Schmidt number Sc and presented in tables. It was found that the time required to reach a steady state for velocity and concentration profiles decreases as the Schmidt number Sc increases. Additionally, both temperature and concentration profiles decrease with an increase in the combined buoyancy ratio parameter N. Flow reversal and temperature defect with varying Prandtl numbers are also shown and discussed in detail. Full article
(This article belongs to the Special Issue Recent Advances of Symmetry in Computational Fluid Dynamics)
Show Figures

Figure 1

Back to TopTop