Sign in to use this feature.

Years

Between: -

Subjects

remove_circle_outline
remove_circle_outline
remove_circle_outline
remove_circle_outline
remove_circle_outline
remove_circle_outline

Journals

Article Types

Countries / Regions

Search Results (43)

Search Parameters:
Keywords = normal form of Hopf bifurcation

Order results
Result details
Results per page
Select all
Export citation of selected articles as:
20 pages, 882 KB  
Article
Bifurcation Analysis in a Cross-Protection Model
by Yufei Wu, Zikun Han, Weixiang Wang, Yingting Yang and Qiubao Wang
Axioms 2025, 14(12), 903; https://doi.org/10.3390/axioms14120903 - 7 Dec 2025
Viewed by 214
Abstract
We analyze the population dynamics of a microbial cross-protection model and derive the exact conditions under which a Fold–Hopf bifurcation emerges. By applying center-manifold reduction and normal-form theory, we reduce the infinite-dimensional delay differential system to a finite-dimensional ordinary differential system, enabling rigorous [...] Read more.
We analyze the population dynamics of a microbial cross-protection model and derive the exact conditions under which a Fold–Hopf bifurcation emerges. By applying center-manifold reduction and normal-form theory, we reduce the infinite-dimensional delay differential system to a finite-dimensional ordinary differential system, enabling rigorous bifurcation analysis. Numerical simulations reveal a rich repertoire of dynamical behaviors, including stable equilibria, sustained oscillations, and noise-induced irregularities. Our findings identify time-delay-induced Fold–Hopf bifurcation as a fundamental mechanism driving oscillatory coexistence in cross-protection mutualisms, for previously reported experimental observations. Full article
Show Figures

Figure 1

25 pages, 1419 KB  
Article
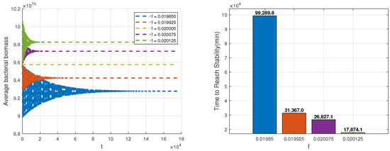
Hopf Bifurcation Analysis of a Phagocyte–Bacteria Diffusion Model with Delay in Crohn’s Disease
by Yu Sui and Ruizhi Yang
Axioms 2025, 14(12), 861; https://doi.org/10.3390/axioms14120861 - 24 Nov 2025
Viewed by 343
Abstract
Dysbiosis of the gut microbiota and dysregulated immune responses are key pathological features in both the onset and progression of Crohn’s disease. We propose a phagocyte–bacteria diffusion model with a time delay to explore their dynamic interactions and impact on the progression of [...] Read more.
Dysbiosis of the gut microbiota and dysregulated immune responses are key pathological features in both the onset and progression of Crohn’s disease. We propose a phagocyte–bacteria diffusion model with a time delay to explore their dynamic interactions and impact on the progression of Crohn’s disease. We first supplement the proof of the positivity, boundedness, existence, uniqueness, and global stability of the solutions for the ordinary differential system without time delay. Then we examine the stability of the positive equilibrium point and the occurrence of a Hopf bifurcation. By applying normal form and center manifold theory, we determine the direction of the bifurcation and the stability of the bifurcating periodic solution. Numerical simulations are used to verify the theoretical results. We find that the time delay significantly slows the system’s approach to a steady state. With a fixed delay, increased intestinal permeability prolongs the stabilization time. Conversely, with fixed intestinal permeability, a larger delay renders the system more prone to oscillations. Furthermore, a higher maximum engulfment rate by phagocytes reduces bacterial biomass but prolongs stabilization, whereas an increased phagocyte death rate shortens it. Additionally, an elevated bacterial growth rate increases both the bacterial biomass and the stabilization time. These results enhance our understanding of the dynamic equilibrium in immune systems. Full article
(This article belongs to the Special Issue Nonlinear Dynamical System and Its Applications)
Show Figures

Figure 1

20 pages, 7525 KB  
Article
Deep Learning for Bifurcation Detection: Extending Early Warning Signals to Dynamical Systems with Coloured Noise
by Yazdan Babazadeh Maghsoodlo, Daniel Dylewsky, Madhur Anand and Chris T. Bauch
Mathematics 2025, 13(17), 2782; https://doi.org/10.3390/math13172782 - 29 Aug 2025
Viewed by 1597
Abstract
Deep learning models have demonstrated remarkable success in recognising tipping points and providing early warning signals. However, there has been limited exploration of their application to dynamical systems governed by coloured noise, which characterizes many real-world systems. In this study, we show that [...] Read more.
Deep learning models have demonstrated remarkable success in recognising tipping points and providing early warning signals. However, there has been limited exploration of their application to dynamical systems governed by coloured noise, which characterizes many real-world systems. In this study, we show that it is possible to leverage the normal forms of three primary types of bifurcations (fold, transcritical, and Hopf) to construct a training set that enables deep learning architectures to perform effectively. Furthermore, we showed that this approach could accommodate coloured noise by replacing white noise with red noise during the training process. To evaluate the classifier trained on red noise compared to one trained on white noise, we tested their performance on mathematical models using Receiver Operating Characteristic (ROC) curves and Area Under the Curve (AUC) scores. Our findings reveal that the deep learning architecture can be effectively trained on coloured noise inputs, as evidenced by high validation accuracy and minimal sensitivity to redness (ranging from 0.83 to 0.85). However, classifiers trained on white noise also demonstrate impressive performance in identifying tipping points in coloured time series. This is further supported by high AUC scores (ranging from 0.9 to 1) for both classifiers across different coloured stochastic time series. Full article
(This article belongs to the Special Issue Innovative Approaches to Modeling Complex Systems)
Show Figures

Figure 1

17 pages, 1710 KB  
Article
Dynamical Regimes in a Delayed Predator–Prey Model with Predator Hunting Cooperation: Bifurcations, Stability, and Complex Dynamics
by Chao Peng and Jiao Jiang
Modelling 2025, 6(3), 84; https://doi.org/10.3390/modelling6030084 - 18 Aug 2025
Cited by 1 | Viewed by 875
Abstract
In this paper, a predator–prey model with hunting cooperation and maturation delay is studied. Through theoretical analysis, we investigate the existence of multiple stability switches of the positive equilibrium. By applying Hopf bifurcation theory, the conditions for Hopf bifurcation are derived, indicating the [...] Read more.
In this paper, a predator–prey model with hunting cooperation and maturation delay is studied. Through theoretical analysis, we investigate the existence of multiple stability switches of the positive equilibrium. By applying Hopf bifurcation theory, the conditions for Hopf bifurcation are derived, indicating the emergence of periodic solutions as the maturation delay passes through critical values. Utilizing center manifold theory and normal form analysis, we determine the stability and direction of the bifurcating orbits. Numerical simulations are performed to validate the theoretical results. Furthermore, the simulations vividly demonstrate the appearance of period-doubling bifurcations, which is the onset of chaotic behavior. Bifurcation diagrams and phase portraits are employed to precisely characterize the transition processes from a stable equilibrium to periodic, period-doubling solutions and chaotic states under different maturation delay values. The study reveals the significant influence of maturation delay on the stability and complex dynamics of predator–prey systems with hunting cooperation. Full article
Show Figures

Graphical abstract

23 pages, 1073 KB  
Article
Bifurcation Analysis of a Predator–Prey Model with Coefficient-Dependent Dual Time Delays
by Xiuling Li and Siyu Dong
Mathematics 2025, 13(13), 2170; https://doi.org/10.3390/math13132170 - 2 Jul 2025
Cited by 1 | Viewed by 602
Abstract
In this paper, a class of two-delay predator–prey models with coefficient-dependent delay is studied. It examines the combined effect of fear-induced delay and post-predation biomass conversion delay on the stability of predator–prey systems. By analyzing the distribution of roots of the characteristic equation, [...] Read more.
In this paper, a class of two-delay predator–prey models with coefficient-dependent delay is studied. It examines the combined effect of fear-induced delay and post-predation biomass conversion delay on the stability of predator–prey systems. By analyzing the distribution of roots of the characteristic equation, the stability conditions for the internal equilibrium and the existence criteria for Hopf bifurcations are derived. Utilizing normal form theory and the central manifold theorem, the direction of Hopf bifurcations and the stability of periodic solutions are calculated. Finally, numerical simulations are conducted to verify the theoretical findings. This research reveals that varying delays can destabilize the predator–prey system, reflecting the dynamic complexity of real-world ecosystems more realistically. Full article
Show Figures

Figure 1

36 pages, 3502 KB  
Article
Hopf Bifurcation and Optimal Control in an Ebola Epidemic Model with Immunity Loss and Multiple Delays
by Halet Ismail, Lingeshwaran Shangerganesh, Ahmed Hussein Msmali, Said Bourazza and Mutum Zico Meetei
Axioms 2025, 14(4), 313; https://doi.org/10.3390/axioms14040313 - 19 Apr 2025
Cited by 1 | Viewed by 1097
Abstract
This paper studies the effects of resource limitations, immunity decay, and delays on an Ebola epidemic model and an optimal control strategy. The model includes two types of delays: a delay in the incubation period of infected individuals and a delay in treatment. [...] Read more.
This paper studies the effects of resource limitations, immunity decay, and delays on an Ebola epidemic model and an optimal control strategy. The model includes two types of delays: a delay in the incubation period of infected individuals and a delay in treatment. Conditions for a Hopf bifurcation at the endemic equilibrium are verified, with its direction and stability analyzed via normal form theory and the center manifold theorem. We also studied the optimal control problem for the SIRD delay model using educational campaigns and Ebola survivors’ immunity as control variables. Furthermore, we formulate an optimization problem based on Pontryagin’s maximum principle. This problem uses a modified Runge-Kutta approach with delays to discover the best control strategy to reduce infections and intervention costs. Finally, simulation results confirm analytical conclusions and show the practical implications of the optimum Ebola control plan using the dde23 MATLAB R2024a built-in solver and DDE-Biftool. Full article
(This article belongs to the Section Mathematical Analysis)
Show Figures

Figure 1

13 pages, 1489 KB  
Article
Stability and Bifurcation Analysis for the Transmission Dynamics of Skin Sores with Time Delay
by Yanan Wang and Tiansi Zhang
Axioms 2024, 13(11), 798; https://doi.org/10.3390/axioms13110798 - 18 Nov 2024
Viewed by 962
Abstract
Impetigo is a highly contagious skin infection that primarily affects children and communities in low-income regions and has become a significant public health issue impacting both individuals and healthcare systems. A nonlinear deterministic model based on the transmission dynamics of skin sores (impetigo) [...] Read more.
Impetigo is a highly contagious skin infection that primarily affects children and communities in low-income regions and has become a significant public health issue impacting both individuals and healthcare systems. A nonlinear deterministic model based on the transmission dynamics of skin sores (impetigo) is developed with a specific emphasis on the time delay effects in the infection and recovery processes. To address this complexity, we introduce a delay differential equation (DDE) to describe the dynamic process. We analyzed the existence of Hopf bifurcations associated with the two equilibrium points and examined the mechanisms underlying the occurrence of these bifurcations as delays exceeded certain critical values. To obtain more comprehensive insights into this phenomenon, we applied the center manifold theory and the normal form method to determine the direction and stability of Hopf bifurcations near bifurcation curves. This research not only offers a novel theoretical perspective on the transmission of impetigo but also lays a significant mathematical foundation for developing clinical intervention strategies. Specifically, it suggests that an increased time delay between infection and isolation could lead to more severe outbreaks, further supporting the development of more effective intervention approaches. Full article
Show Figures

Figure 1

24 pages, 5149 KB  
Article
Stability and Hopf Bifurcation Analysis of a Predator–Prey Model with Weak Allee Effect Delay and Competition Delay
by Yurong Dong, Hua Liu, Yumei Wei, Qibin Zhang and Gang Ma
Mathematics 2024, 12(18), 2853; https://doi.org/10.3390/math12182853 - 13 Sep 2024
Cited by 6 | Viewed by 2638
Abstract
The purpose of this paper is to study a predator–prey model with Allee effect and double time delays. This research examines the dynamics of the model, with a focus on positivity, existence, stability and Hopf bifurcations. The stability of the periodic solution and [...] Read more.
The purpose of this paper is to study a predator–prey model with Allee effect and double time delays. This research examines the dynamics of the model, with a focus on positivity, existence, stability and Hopf bifurcations. The stability of the periodic solution and the direction of the Hopf bifurcation are elucidated by applying the normal form theory and the center manifold theorem. To validate the correctness of the theoretical analysis, numerical simulations were conducted. The results suggest that a weak Allee effect delay can promote stability within the model, transitioning it from instability to stability. Nevertheless, the competition delay induces periodic oscillations and chaotic dynamics, ultimately resulting in the population’s collapse. Full article
(This article belongs to the Section E3: Mathematical Biology)
Show Figures

Figure 1

21 pages, 13112 KB  
Article
Singular Phenomenon Analysis of Wind-Driven Circulation System Based on Galerkin Low-Order Model
by Peihua Feng, Shengli Cao and Zhilong Liu
Appl. Sci. 2024, 14(16), 7329; https://doi.org/10.3390/app14167329 - 20 Aug 2024
Viewed by 1140
Abstract
Ocean circulation plays an important role in the formation and occurrence of extreme climate events. The study shows that the periodic variation of ocean circulation under strong wind stress is closely related to climate oscillation. Ocean circulation is a nonlinear dynamic system, which [...] Read more.
Ocean circulation plays an important role in the formation and occurrence of extreme climate events. The study shows that the periodic variation of ocean circulation under strong wind stress is closely related to climate oscillation. Ocean circulation is a nonlinear dynamic system, which shows complex nonlinear characteristics, so the essence behind ocean circulation has not been clearly explained. Therefore, the response and evolution of the circulation system to wind stress are studied based on the bifurcation and catastrophe theories in nonlinear dynamics. First, the quasi-geostrophic gyre equation and the normalized gravity model are introduced and developed to study ocean circulation driven by wind stress, and solved using the Galerkin method. Then, the bifurcation and catastrophe behaviors of the system governed by the low-order ocean circulation model during the change in wind stress intensity and the coexistence of multiple equilibria in the circulation system are studied in detail. The results show that saddle and unstable nodes appear in the system after a cusp catastrophe. With the change in model parameters, the unstable node becomes the unstable focus, and then the subcritical Hopf bifurcation occurs. The system forms a bistable interval when the system undergoes a catastrophe twice, and the system shows hysteresis. In addition, multiple equilibrium states are coexisting in the circulating system, and the unstable equilibrium state always changes into a stable equilibrium state through vortex movement. Therefore, there is a route for the system to induce short-term climate oscillation, that is, in the multi-stable equilibrium state of the system, the vortex oscillates after being subject to small disturbances, and then triggers climate oscillation. Full article
Show Figures

Figure 1

15 pages, 3198 KB  
Article
Bogdanov–Takens Bifurcation of Kermack–McKendrick Model with Nonlinear Contact Rates Caused by Multiple Exposures
by Jun Li and Mingju Ma
Symmetry 2024, 16(6), 688; https://doi.org/10.3390/sym16060688 - 4 Jun 2024
Cited by 1 | Viewed by 1247
Abstract
In this paper, we consider the influence of a nonlinear contact rate caused by multiple contacts in classical SIR model. In this paper, we unversal unfolding a nilpotent cusp singularity in such systems through normal form theory, we reveal that the system undergoes [...] Read more.
In this paper, we consider the influence of a nonlinear contact rate caused by multiple contacts in classical SIR model. In this paper, we unversal unfolding a nilpotent cusp singularity in such systems through normal form theory, we reveal that the system undergoes a Bogdanov-Takens bifurcation with codimension 2. During the bifurcation process, numerous lower codimension bifurcations may emerge simultaneously, such as saddle-node and Hopf bifurcations with codimension 1. Finally, employing the Matcont and Phase Plane software, we construct bifurcation diagrams and topological phase portraits. Additionally, we emphasize the role of symmetry in our analysis. By considering the inherent symmetries in the system, we provide a more comprehensive understanding of the dynamical behavior. Our findings suggest that if this occurrence rate is applied to the SIR model, it would yield different dynamical phenomena compared to those obtained by reducing a 3-dimensional dynamical model to a planar system by neglecting the disease mortality rate, which results in a stable nilpotent cusp singularity with codimension 2. We found that in SIR models with the same occurrence rate, both stable and unstable Bogdanov-Takens bifurcations occur, meaning both stable and unstable limit cycles appear in this system. Full article
(This article belongs to the Special Issue Symmetry/Asymmetry of Differential Equations in Biomathematics)
Show Figures

Figure 1

25 pages, 4246 KB  
Article
Investigating the Dynamic Behavior of Integer and Noninteger Order System of Predation with Holling’s Response
by Kolade M. Owolabi, Sonal Jain and Edson Pindza
Mathematics 2024, 12(10), 1530; https://doi.org/10.3390/math12101530 - 14 May 2024
Cited by 5 | Viewed by 1820
Abstract
The paper’s primary objective is to examine the dynamic behavior of an integer and noninteger predator–prey system with a Holling type IV functional response in the Caputo sense. Our focus is on understanding how harvesting influences the stability, equilibria, bifurcations, and limit cycles [...] Read more.
The paper’s primary objective is to examine the dynamic behavior of an integer and noninteger predator–prey system with a Holling type IV functional response in the Caputo sense. Our focus is on understanding how harvesting influences the stability, equilibria, bifurcations, and limit cycles within this system. We employ qualitative and quantitative analysis methods rooted in bifurcation theory, dynamical theory, and numerical simulation. We also delve into studying the boundedness of solutions and investigating the stability and existence of equilibrium points within the system. Leveraging Sotomayor’s theorem, we establish the presence of both the saddle-node and transcritical bifurcations. The analysis of the Hopf bifurcation is carried out using the normal form theorem. The model under consideration is extended to the fractional reaction–diffusion model which captures non-local and long-range effects more accurately than integer-order derivatives. This makes fractional reaction–diffusion systems suitable for modeling phenomena with anomalous diffusion or memory effects, improving the fidelity of simulations in turn. An adaptable numerical technique for solving this class of differential equations is also suggested. Through simulation results, we observe that one of the Lyapunov exponents has a negative value, indicating the potential for the emergence of a stable-limit cycle via bifurcation as well as chaotic and complex spatiotemporal distributions. We supplement our analytical investigations with numerical simulations to provide a comprehensive understanding of the system’s behavior. It was discovered that both the prey and predator populations will continue to coexist and be permanent, regardless of the choice of fractional parameter. Full article
(This article belongs to the Special Issue Numerical Solution of Differential Equations and Their Applications)
Show Figures

Figure 1

22 pages, 2655 KB  
Article
Bifurcation Analysis of a Class of Two-Delay Lotka–Volterra Predation Models with Coefficient-Dependent Delay
by Xiuling Li and Haotian Fan
Mathematics 2024, 12(10), 1477; https://doi.org/10.3390/math12101477 - 9 May 2024
Cited by 3 | Viewed by 1519
Abstract
In this paper, a class of two-delay differential equations with coefficient-dependent delay is studied. The distribution of the roots of the eigenequation is discussed, and conditions for the stability of the internal equilibrium and the existence of Hopf bifurcation are obtained. Additionally, using [...] Read more.
In this paper, a class of two-delay differential equations with coefficient-dependent delay is studied. The distribution of the roots of the eigenequation is discussed, and conditions for the stability of the internal equilibrium and the existence of Hopf bifurcation are obtained. Additionally, using the normal form method and the central manifold theory, the bifurcation direction and the stability for the periodic solution of Hopf bifurcation are calculated. Finally, the correctness of the theory is verified by numerical simulation. Full article
Show Figures

Figure 1

15 pages, 1266 KB  
Article
Dynamic Analysis of a Delayed Differential Equation for Ips subelongatus Motschulsky-Larix spp.
by Zhenwei Li and Yuting Ding
Axioms 2024, 13(4), 232; https://doi.org/10.3390/axioms13040232 - 1 Apr 2024
Cited by 1 | Viewed by 1520
Abstract
The protection of forests and the mitigation of pest damage to trees play a crucial role in mitigating the greenhouse effect. In this paper, we first establish a delayed differential equation model for Ips subelongatus Motschulsky-Larix spp., where the delay parameter represents the [...] Read more.
The protection of forests and the mitigation of pest damage to trees play a crucial role in mitigating the greenhouse effect. In this paper, we first establish a delayed differential equation model for Ips subelongatus Motschulsky-Larix spp., where the delay parameter represents the time required for trees to undergo curing. Second, we analyze the stability of the equilibrium of the model and derive the normal form of Hopf bifurcation using a multiple-time-scales method. Then, we analyze the stability and direction of Hopf bifurcating periodic solutions. Finally, we conduct simulations to analyze the changing trends in pest and tree populations. Additionally, we investigate the impact of altering the rate of artificial planting on the system and provide corresponding biological explanations. Full article
(This article belongs to the Special Issue Dynamical Systems: Theory and Applications in Mathematical Biology)
Show Figures

Figure 1

24 pages, 17265 KB  
Article
Turing–Hopf Bifurcation Analysis in a Diffusive Ratio-Dependent Predator–Prey Model with Allee Effect and Predator Harvesting
by Meiyao Chen, Yingting Xu, Jiantao Zhao and Xin Wei
Entropy 2024, 26(1), 18; https://doi.org/10.3390/e26010018 - 22 Dec 2023
Cited by 2 | Viewed by 2141
Abstract
This paper investigates the complex dynamics of a ratio-dependent predator–prey model incorporating the Allee effect in prey and predator harvesting. To explore the joint effect of the harvesting effort and diffusion on the dynamics of the system, we perform the following analyses: (a) [...] Read more.
This paper investigates the complex dynamics of a ratio-dependent predator–prey model incorporating the Allee effect in prey and predator harvesting. To explore the joint effect of the harvesting effort and diffusion on the dynamics of the system, we perform the following analyses: (a) The stability of non-negative constant steady states; (b) The sufficient conditions for the occurrence of a Hopf bifurcation, Turing bifurcation, and Turing–Hopf bifurcation; (c) The derivation of the normal form near the Turing–Hopf singularity. Moreover, we provide numerical simulations to illustrate the theoretical results. The results demonstrate that the small change in harvesting effort and the ratio of the diffusion coefficients will destabilize the constant steady states and lead to the complex spatiotemporal behaviors, including homogeneous and inhomogeneous periodic solutions and nonconstant steady states. Moreover, the numerical simulations coincide with our theoretical results. Full article
(This article belongs to the Special Issue Nonlinear Dynamical Behaviors in Complex Systems)
Show Figures

Figure 1

18 pages, 518 KB  
Article
Hopf Bifurcation and Control for the Bioeconomic Predator–Prey Model with Square Root Functional Response and Nonlinear Prey Harvesting
by Huangyu Guo, Jing Han and Guodong Zhang
Mathematics 2023, 11(24), 4958; https://doi.org/10.3390/math11244958 - 14 Dec 2023
Cited by 12 | Viewed by 1782
Abstract
In this essay, we introduce a bioeconomic predator–prey model which incorporates the square root functional response and nonlinear prey harvesting. Due to the introduction of nonlinear prey harvesting, the model demonstrates intricate dynamic behaviors in the predator–prey plane. Economic profit serves as a [...] Read more.
In this essay, we introduce a bioeconomic predator–prey model which incorporates the square root functional response and nonlinear prey harvesting. Due to the introduction of nonlinear prey harvesting, the model demonstrates intricate dynamic behaviors in the predator–prey plane. Economic profit serves as a bifurcation parameter for the system. The stability and Hopf bifurcation of the model are discussed through normal forms and bifurcation theory. These results reveal richer dynamic features of the bioeconomic predator–prey model which incorporates the square root functional response and nonlinear prey harvesting, and provides guidance for realistic harvesting. A feedback controller is introduced in this paper to move the system from instability to stability. Moreover, we discuss the biological implications and interpretations of the findings. Finally, the results are validated by numerical simulations. Full article
(This article belongs to the Special Issue Mathematical Models and Control of Biological Systems)
Show Figures

Figure 1

Back to TopTop