Sign in to use this feature.

Years

Between: -

Subjects

remove_circle_outline
remove_circle_outline
remove_circle_outline
remove_circle_outline
remove_circle_outline
remove_circle_outline
remove_circle_outline

Journals

Article Types

Countries / Regions

Search Results (39)

Search Parameters:
Keywords = non-classical damping

Order results
Result details
Results per page
Select all
Export citation of selected articles as:
15 pages, 1849 KB  
Article
Importance of Spring Habitats for Amphibians: The Case of Estavelle Ecotones in the Classical Karst Region
by Damiano Brognoli, Elia Lo Parrino, Giorgia Terraneo, Giorgio Grassi, Veronica Zampieri, Matteo Galbiati, Valentina Balestra, Valeria Messina, Benedetta Barzaghi, Stefano Lapadula and Raoul Manenti
Animals 2025, 15(22), 3228; https://doi.org/10.3390/ani15223228 - 7 Nov 2025
Viewed by 838
Abstract
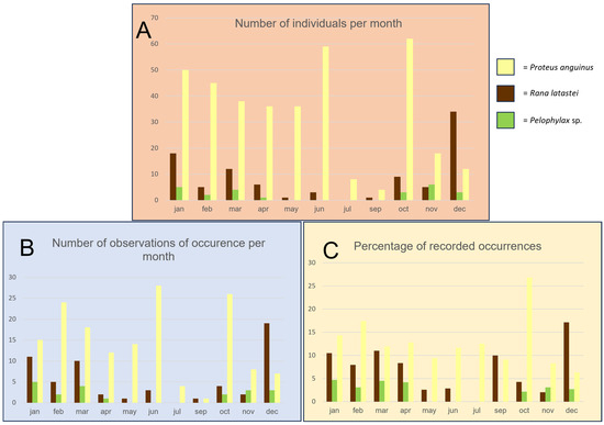
Springs are ecotones between groundwater and surface water, important for a variety of both surficial and subterranean organisms. However, their use by amphibians has been poorly assessed. This is evident considering estavelles, typical ecotones functioning not only as spring but also as sinkholes. [...] Read more.
Springs are ecotones between groundwater and surface water, important for a variety of both surficial and subterranean organisms. However, their use by amphibians has been poorly assessed. This is evident considering estavelles, typical ecotones functioning not only as spring but also as sinkholes. Here we aim to assess the use of estavelles by amphibians in the Classical Karst Region. From June 2020 to January 2025, we surveyed 61 springs, both during day and night. We visually recorded the occurrence of amphibians, along with abiotic and biotic features—including the presence of pikes (Esox cisalpinus), water flow level, drying events, and substratum heterogeneity. Forty-three springs exhibited estavelle-like hydrological behavior at least once. We identified five amphibian species. The use of springs was frequent for Proteus anguinus, Rana latastei, and Pelophylax sp. Amphibians’ occurrence was significantly linked to non-perennial estavelles characterized by low water flow, habitat heterogeneity, and absence of pike. Overall, reproductive activity in estavelles was limited; breeding likely occurs in nearby damp lentic habitats connected to the springs. Our results provide the first herpetological assessment of estavelle spring habitats in the Classical Karst Region, emphasizing their role as shelters for epigean species and feeding patches for stygobionts. Full article
(This article belongs to the Section Herpetology)
Show Figures

Figure 1

24 pages, 4574 KB  
Article
Design and Implementation of an Inductive Proximity Sensor with Embedded Systems
by Septimiu Sever Pop, Alexandru-Florin Flutur and Alexandra Fodor
Sensors 2025, 25(19), 6258; https://doi.org/10.3390/s25196258 - 9 Oct 2025
Viewed by 1081
Abstract
Non-mechanical contact distance measurement solutions are becoming more and more necessary in various industries, including building monitoring, automotive, and aviation industries. Inductive proximity sensor (IPS) technology is becoming a more popular solution in the field of short distances. Because of its small size, [...] Read more.
Non-mechanical contact distance measurement solutions are becoming more and more necessary in various industries, including building monitoring, automotive, and aviation industries. Inductive proximity sensor (IPS) technology is becoming a more popular solution in the field of short distances. Because of its small size, dependability, and measurement capabilities, IPS is a good option. Separate circuits are used in the classical structures to generate the excitation signal for the sensor coil and measure the response signal. The response signal’s amplitude is typically measured. This article proposes an IPS model that uses frequency response as its basis for operation. A microcontroller and embedded technology are used to implement a small IPS structure. This includes the circuit for determining distance, as well as the signal generator used to excite the sensor coil. In essence, an LC circuit is employed, which at the unit step has a damped oscillatory response by nature. Periodically injecting energy into the LC circuit, however, causes it to enter a persistent oscillatory state. The full experimental model is implemented and presented in the article, illustrating how the distance can be measured with a 33 µm accuracy within the 10 mm range with the help of the nonlinear relationship between frequency and distance and the linear drift of frequency with temperature. Full article
(This article belongs to the Section Electronic Sensors)
Show Figures

Figure 1

21 pages, 2596 KB  
Article
Self-Energy-Harvesting Pacemakers: An Example of Symbiotic Synthetic Biology
by Kuntal Kumar Das, Ashutosh Kumar Dubey, Bikramjit Basu and Yogendra Narain Srivastava
SynBio 2025, 3(4), 15; https://doi.org/10.3390/synbio3040015 - 4 Oct 2025
Viewed by 1010
Abstract
While synthetic biology has traditionally focused on creating biological systems often through genetic engineering, emerging technologies, for example, implantable pacemakers with integrated piezo-electric and tribo-electric materials are beginning to enlarge the classical domain into what we call symbiotic synthetic biology. These devices are [...] Read more.
While synthetic biology has traditionally focused on creating biological systems often through genetic engineering, emerging technologies, for example, implantable pacemakers with integrated piezo-electric and tribo-electric materials are beginning to enlarge the classical domain into what we call symbiotic synthetic biology. These devices are permanently attached to a body, although non-living or genetically unaltered, and closely mimic biological behavior by harvesting biomechanical energy and providing functions, such as autonomous heart pacing. They form active interfaces with human tissues and operate as hybrid systems, similar to synthetic organs. In this context, the present paper first presents a short summary of previous in vivo studies on piezo-electric composites in relation to their deployment as battery-less pacemakers. This is then followed by a summary of a recent theoretical work using a damped harmonic resonance model, which is being extended to mimic the functioning of such devices. We then extend the theoretical study further to include new solutions and obtain a sum rule for the power output per cycle in such systems. In closing, we present our quantitative understanding to explore the modulation of the quantum vacuum energy (Casimir effect) by periodic body movements to power pacemakers. Taken together, the present work provides the scientific foundation of the next generation bio-integrated intelligent implementation. Full article
Show Figures

Figure 1

22 pages, 6052 KB  
Article
Dynamics of Complex Systems and Their Associated Attractors in a Multifractal Paradigm of Motion
by Vlad Ghizdovat, Monica Molcalut, Florin Nedeff, Valentin Nedeff, Diana Carmen Mirila, Mirela Panainte-Lehăduș, Dragos-Ioan Rusu, Maricel Agop and Decebal Vasincu
Fractal Fract. 2025, 9(10), 623; https://doi.org/10.3390/fractalfract9100623 - 25 Sep 2025
Viewed by 707
Abstract
In this paper we analyze complex systems dynamics using a multifractal framework derived from Scale Relativity Theory (SRT). By extending classical differential geometry to accommodate non-differentiable, scale-dependent behaviors, we formulate Schrödinger-type equations that describe multifractal geodesics. These equations reveal deep analogies between quantum [...] Read more.
In this paper we analyze complex systems dynamics using a multifractal framework derived from Scale Relativity Theory (SRT). By extending classical differential geometry to accommodate non-differentiable, scale-dependent behaviors, we formulate Schrödinger-type equations that describe multifractal geodesics. These equations reveal deep analogies between quantum mechanics and macroscopic complex dynamics. A key feature of this approach is the identification of hidden symmetries governed by multifractal analogs of classical groups, particularly the SL(2ℝ) group. These symmetries help explain universal dynamic behaviors such as double period dynamics, damped dynamics, modulated dynamics, or chaotic dynamics. The resulting framework offers a unified geometric and algebraic perspective on the emergence of order within complex systems, highlighting the fundamental role of fractality and scale covariance in nature. Full article
(This article belongs to the Section Complexity)
Show Figures

Figure 1

22 pages, 3364 KB  
Article
Empirical Rules for Oscillation and Harmonic Approximation of Fractional Kelvin–Voigt Oscillators
by Paweł Łabędzki
Appl. Sci. 2025, 15(19), 10385; https://doi.org/10.3390/app151910385 - 24 Sep 2025
Viewed by 449
Abstract
Fractional Kelvin–Voigt (FKV) oscillators describe vibrations in viscoelastic structures with memory effects, leading to dynamics that are often more complex than those of classical harmonic oscillators. Since the harmonic oscillator is a simple, widely known, and broadly applied model, it is natural to [...] Read more.
Fractional Kelvin–Voigt (FKV) oscillators describe vibrations in viscoelastic structures with memory effects, leading to dynamics that are often more complex than those of classical harmonic oscillators. Since the harmonic oscillator is a simple, widely known, and broadly applied model, it is natural to ask under which conditions the dynamics of an FKV oscillator can be reliably approximated by a classical harmonic oscillator. In this work, we develop practical tools for such analysis by deriving approximate formulas that relate the parameters of an FKV oscillator to those of a best-fitting harmonic oscillator. The fitting is performed by minimizing a so-called divergence coefficient, a discrepancy measure that quantifies the difference between the responses of the FKV oscillator and its harmonic counterpart, using a genetic algorithm. The resulting data are then used to identify functional relationships between FKV parameters and the corresponding frequency and damping ratio of the approximating harmonic oscillator. The quality of these approximations is evaluated across a broad range of FKV parameters, leading to the identification of parameter regions where the approximation is reliable. In addition, we establish an empirical criterion that separates oscillatory from non-oscillatory FKV systems and employ statistical tools to validate both this classification and the accuracy of the proposed formulas over a wide parameter space. The methodology supports simplified modeling of viscoelastic dynamics and may contribute to applications in structural vibration analysis and material characterization. Full article
(This article belongs to the Section Mechanical Engineering)
Show Figures

Figure 1

15 pages, 2426 KB  
Article
Damping Ratio Estimation of Heavily Damped Structures Using State-Space Modal Responses
by Jungtae Noh, Jae-Seung Hwang and Maria Rosa Valluzzi
Sensors 2025, 25(17), 5416; https://doi.org/10.3390/s25175416 - 2 Sep 2025
Viewed by 834
Abstract
Vibration control systems are extensively utilized in structures to enhance their resilience against earthquakes and wind forces. However, structures with significant damping exhibit atypical damping behaviors, which impose constraints on the effectiveness of traditional modal analysis methods for discerning modal responses and estimating [...] Read more.
Vibration control systems are extensively utilized in structures to enhance their resilience against earthquakes and wind forces. However, structures with significant damping exhibit atypical damping behaviors, which impose constraints on the effectiveness of traditional modal analysis methods for discerning modal responses and estimating properties. To surmount this challenge, a novel State-Space-Based Modal Decomposition approach is proposed in this study. The State-Space-Based Modal Decomposition technique adeptly extracts modal responses and identifies modal attributes from acquired data of highly damped structures. The approach accurately calculates damping ratios and natural frequencies by scrutinizing the power spectrum within the deconstructed modal response. The validity of this method is confirmed through a numerical simulation with a three-degree-of-freedom system equipped with oil dampers and experimentation of a structure outfitted with a tuned mass damper system. The findings underscore that the transfer function of the modal response in state-space encompasses both displacement and velocity transfer functions. The results demonstrate that precise estimation of modal parameters can be accomplished by suitably evaluating the participation ratio of the two response components. Full article
(This article belongs to the Section Physical Sensors)
Show Figures

Figure 1

26 pages, 1299 KB  
Article
Linear Damped Oscillations Underlying the Fractional Jeffreys Equation
by Emad Awad, Alaa A. El-Bary and Weizhong Dai
Fractal Fract. 2025, 9(9), 556; https://doi.org/10.3390/fractalfract9090556 - 23 Aug 2025
Cited by 1 | Viewed by 717
Abstract
In this study, we consider a fractional-order extension of the Jeffreys equation (also known as the dual-phase-lag equation) by introducing the Reimann–Liouville fractional integral, of order 0<ν<1, to the Jeffreys constitutive law, where for ν=1 it [...] Read more.
In this study, we consider a fractional-order extension of the Jeffreys equation (also known as the dual-phase-lag equation) by introducing the Reimann–Liouville fractional integral, of order 0<ν<1, to the Jeffreys constitutive law, where for ν=1 it corresponds to the conventional Jeffreys equation. The kinetical behaviors of the fractional equation such as non-negativity of the propagator, mean-squared displacement, and the temporal amplitude are investigated. The fractional Langevin equation, or the fractional damped oscillator, is a special case of the considered integrodifferential equation governing the temporal amplitude. When ν=0 and ν=1, the fractional differential equation governing the temporal amplitude has the mathematical structure of the classical linear damped oscillator with different coefficients. The existence of a real solution for the new temporal amplitude is proven by deriving this solution using the complex integration method. Two forms of conditional closed-form solutions for the temporal amplitude are derived in terms of the Mittag–Leffler function. It is found that the proposed generalized fractional damped oscillator equation results in underdamped oscillations in the case of 0<ν<1, under certain constraints derived from the non-fractional case. Although the nonfractional case has the form of classical linear damped oscillator, it is not necessary for its solution to have the three common types of oscillations (overdamped, underdamped, and critical damped), unless a certain condition is met on the coefficients. The obtained results could be helpful for analyzing thermal wave behavior in fractals, heterogeneous materials, or porous media since the fractional-order derivatives are related to the porosity of media. Full article
(This article belongs to the Special Issue Recent Trends in Computational Physics with Fractional Applications)
Show Figures

Figure 1

43 pages, 511 KB  
Article
Boundedness and Sobolev-Type Estimates for the Exponentially Damped Riesz Potential with Applications to the Regularity Theory of Elliptic PDEs
by Waqar Afzal, Mujahid Abbas, Jorge E. Macías-Díaz, Armando Gallegos and Yahya Almalki
Fractal Fract. 2025, 9(7), 458; https://doi.org/10.3390/fractalfract9070458 - 14 Jul 2025
Cited by 3 | Viewed by 926
Abstract
This paper investigates a new class of fractional integral operators, namely, the exponentially damped Riesz-type operators within the framework of variable exponent Lebesgue spaces Lp(·). To the best of our knowledge, the boundedness of such operators has not [...] Read more.
This paper investigates a new class of fractional integral operators, namely, the exponentially damped Riesz-type operators within the framework of variable exponent Lebesgue spaces Lp(·). To the best of our knowledge, the boundedness of such operators has not been addressed in any existing functional setting. We establish their boundedness under appropriate log-Hölder continuity and growth conditions on the exponent function p(·). To highlight the novelty and practical relevance of the proposed operator, we conduct a comparative analysis demonstrating its effectiveness in addressing convergence, regularity, and stability of solutions to partial differential equations. We also provide non-trivial examples that illustrate not only these properties but also show that, under this operator, a broader class of functions becomes locally integrable. The exponential decay factor notably broadens the domain of boundedness compared to classical Riesz and Bessel–Riesz potentials, making the operator more versatile and robust. Additionally, we generalize earlier results on Sobolev-type inequalities previously studied in constant exponent spaces by extending them to the variable exponent setting through our fractional operator, which reduces to the classical Riesz potential when the decay parameter λ=0. Applications to elliptic PDEs are provided to illustrate the functional impact of our results. Furthermore, we develop several new structural properties tailored to variable exponent frameworks, reinforcing the strength and applicability of the proposed theory. Full article
(This article belongs to the Special Issue Advances in Fractional Integral Inequalities: Theory and Applications)
Show Figures

Figure 1

22 pages, 4065 KB  
Article
Inertial Memory Effects in Molecular Transport Across Nanoporous Membranes
by Slobodanka Galovic, Milena Čukić and Dalibor Chevizovich
Membranes 2025, 15(1), 11; https://doi.org/10.3390/membranes15010011 - 6 Jan 2025
Cited by 2 | Viewed by 1361
Abstract
Nanoporous membranes are heterogeneous structures, with heterogeneity manifesting at the microscale. In examining particle transport through such media, it has been observed that this transport deviates from classical diffusion, as described by Fick’s second law. Moreover, the classical model is physically unsustainable, as [...] Read more.
Nanoporous membranes are heterogeneous structures, with heterogeneity manifesting at the microscale. In examining particle transport through such media, it has been observed that this transport deviates from classical diffusion, as described by Fick’s second law. Moreover, the classical model is physically unsustainable, as it is non-causal and predicts an infinite speed of concentration perturbation propagation through a substantial medium. In this work, we have derived two causal models as extensions of Fick’s second law, where causality is linked to the effects of inertial memory in the nanoporous membrane. The results of the derived models have been compared with each other and with those obtained from the classical model. It has been demonstrated that both causal models, one with exponentially fading inertial memory and the other with power-law fading memory, predict that the concentration perturbation propagates as a damped wave, leading to an increased time required for the cumulative amount of molecules passing through the membrane to reach a steady state compared to the classical model. The power-law fading memory model predicts a longer time required to achieve a stationary state. These findings have significant implications for understanding cell physiology, developing drug delivery systems, and designing nanoporous membranes for various applications. Full article
(This article belongs to the Section Membrane Fabrication and Characterization)
Show Figures

Figure 1

27 pages, 6729 KB  
Article
Shear Fragility Analysis of Non-Classically Damped Three-Dimensional Structures Under Seismic Excitation
by Jinghui Wang, Ping Tan, Tiancan Huang, Xuefeng He and Fulin Zhou
Buildings 2024, 14(12), 3967; https://doi.org/10.3390/buildings14123967 - 13 Dec 2024
Cited by 1 | Viewed by 1086
Abstract
This study proposes a seismic performance evaluation method for structures using the base shear index to calculate the collapse probability. After non-proportional damping was applied to the three-dimensional bar system model, the structural dynamic response was computed through large-scale finite element analysis. A [...] Read more.
This study proposes a seismic performance evaluation method for structures using the base shear index to calculate the collapse probability. After non-proportional damping was applied to the three-dimensional bar system model, the structural dynamic response was computed through large-scale finite element analysis. A three-dimensional matrix element for calculating viscous dampers was established in this study. The viscous unified elastoplastic (VUEL) damper element program was compiled using the Fortran language into the ABAQUS 6.14 software. An incremental dynamic analysis (IDA) routine was developed using Python 3.0 within the environment of ABAQUS. The uncontrolled structure was designed using the forced decoupling response spectrum method (FD-RSM), while the damped structure was designed using the complex modal response spectrum method (CM-RSM). Seismic fragility analysis was conducted on both uncontrolled and damped structures using the recommended far-field and near-field earthquake records from ATC-63 FEMAP-695. The shear-based fragility index and collapse probability were investigated to comprehensively assess the seismic performance of the uncontrolled and damped structures. The analysis results indicated that the ratios of the limit performance states for moderate damage (IO), severe damage (LS), and complete damage (CP) in the structure were 1:1.6:2.6. Compared with the various limit performance states of the uncontrolled structures, the increments in the moderate, severe, and complete damage limit performance states of the damped structures were 12.79%, 14.86%, and 16.97%, respectively. Full article
(This article belongs to the Section Building Structures)
Show Figures

Figure 1

13 pages, 271 KB  
Review
Classicalization of Quantum Mechanics: Classical Radiation Damping Without the Runaway Solution
by Tomio Petrosky, Yuki Goto and Savannah Garmon
Physics 2024, 6(4), 1191-1203; https://doi.org/10.3390/physics6040073 - 22 Oct 2024
Cited by 1 | Viewed by 2819
Abstract
In this paper, we review a new treatment of classical radiation damping, which resolves a known contradiction in the Abraham–Lorentz equation that has long been a concern. This radiation damping problem has already been solved in quantum mechanics by the method introduced by [...] Read more.
In this paper, we review a new treatment of classical radiation damping, which resolves a known contradiction in the Abraham–Lorentz equation that has long been a concern. This radiation damping problem has already been solved in quantum mechanics by the method introduced by Friedrichs. Based on Friedrichs’ treatment, we solved this long-standing problem by classicalizing quantum mechanics by replacing the canonical commutation relation from quantum mechanics with the Poisson bracket relation in classical mechanics. Full article
13 pages, 1163 KB  
Article
A Decoupled Modal Reduction Method for the Steady-State Vibration Analysis of Vibro-Acoustic Systems with Non-Classical Damping
by Ruxin Gao and Shanshan Fan
Acoustics 2024, 6(3), 792-804; https://doi.org/10.3390/acoustics6030044 - 23 Sep 2024
Viewed by 1795
Abstract
This paper presents a decoupled modal reduction method for the steady-state vibration analysis of vibro-acoustic systems characterized by non-classical damping. The proposed approach initially reduces the order of the coupled governing equations of the vibro-acoustic system through the utilization of non-coupled modes, subsequently [...] Read more.
This paper presents a decoupled modal reduction method for the steady-state vibration analysis of vibro-acoustic systems characterized by non-classical damping. The proposed approach initially reduces the order of the coupled governing equations of the vibro-acoustic system through the utilization of non-coupled modes, subsequently employing the complex mode superposition technique to address non-classical damping effects. By leveraging non-coupled modes, this method circumvents the need to solve for coupled modes as required in traditional modal reduction techniques, thereby diminishing both computational complexity and cost. Furthermore, the complex mode superposition method facilitates the decoupling of coupled governing equations with non-classical damping, enhancing computational efficiency. Numerical examples validate both the accuracy and effectiveness of this methodology. Given that modal decomposition is independent of frequency, an analysis of computational efficiency across various stages further substantiates that this method offers significant advantages in terms of efficiency for computational challenges encountered over a broad frequency range. Full article
(This article belongs to the Special Issue Vibration and Noise (2nd Edition))
Show Figures

Figure 1

21 pages, 4350 KB  
Article
Generalized Framework for Liquid Neural Network upon Sequential and Non-Sequential Tasks
by Prakash Kumar Karn, Iman Ardekani and Waleed H. Abdulla
Mathematics 2024, 12(16), 2525; https://doi.org/10.3390/math12162525 - 15 Aug 2024
Cited by 10 | Viewed by 9224
Abstract
This paper introduces a novel approach to neural networks: a Generalized Liquid Neural Network (GLNN) framework. This design excels at handling both sequential and non-sequential tasks. By leveraging the Runge Kutta DOPRI method, the GLNN enables dynamic simulation of complex systems across diverse [...] Read more.
This paper introduces a novel approach to neural networks: a Generalized Liquid Neural Network (GLNN) framework. This design excels at handling both sequential and non-sequential tasks. By leveraging the Runge Kutta DOPRI method, the GLNN enables dynamic simulation of complex systems across diverse fields. Our research demonstrates the framework’s capabilities through three key applications. In predicting damped sinusoidal trajectories, the Generalized LNN outperforms the neural ODE by approximately 46.03% and the conventional LNN by 57.88%. Modelling non-linear RLC circuits shows a 20% improvement in precision. Finally, in medical diagnosis through Optical Coherence Tomography (OCT) image analysis, our approach achieves an F1 score of 0.98, surpassing the classical LNN by 10%. These advancements signify a significant shift, opening new possibilities for neural networks in complex system modelling and healthcare diagnostics. This research advances the field by introducing a versatile and reliable neural network architecture. Full article
(This article belongs to the Special Issue Machine-Learning-Based Process and Analysis of Medical Images)
Show Figures

Figure 1

15 pages, 4124 KB  
Article
IoT-Based Heartbeat Rate-Monitoring Device Powered by Harvested Kinetic Energy
by Olivier Djakou Nekui, Wei Wang, Cheng Liu, Zhixia Wang and Bei Ding
Sensors 2024, 24(13), 4249; https://doi.org/10.3390/s24134249 - 29 Jun 2024
Cited by 5 | Viewed by 5413
Abstract
Remote patient-monitoring systems are helpful since they can provide timely and effective healthcare facilities. Such online telemedicine is usually achieved with the help of sophisticated and advanced wearable sensor technologies. The modern type of wearable connected devices enable the monitoring of vital sign [...] Read more.
Remote patient-monitoring systems are helpful since they can provide timely and effective healthcare facilities. Such online telemedicine is usually achieved with the help of sophisticated and advanced wearable sensor technologies. The modern type of wearable connected devices enable the monitoring of vital sign parameters such as: heart rate variability (HRV) also known as electrocardiogram (ECG), blood pressure (BLP), Respiratory rate and body temperature, blood pressure (BLP), respiratory rate, and body temperature. The ubiquitous problem of wearable devices is their power demand for signal transmission; such devices require frequent battery charging, which causes serious limitations to the continuous monitoring of vital data. To overcome this, the current study provides a primary report on collecting kinetic energy from daily human activities for monitoring vital human signs. The harvested energy is used to sustain the battery autonomy of wearable devices, which allows for a longer monitoring time of vital data. This study proposes a novel type of stress- or exercise-monitoring ECG device based on a microcontroller (PIC18F4550) and a Wi-Fi device (ESP8266), which is cost-effective and enables real-time monitoring of heart rate in the cloud during normal daily activities. In order to achieve both portability and maximum power, the harvester has a small structure and low friction. Neodymium magnets were chosen for their high magnetic strength, versatility, and compact size. Due to the non-linear magnetic force interaction of the magnets, the non-linear part of the dynamic equation has an inverse quadratic form. Electromechanical damping is considered in this study, and the quadratic non-linearity is approximated using MacLaurin expansion, which enables us to find the law of motion for general case studies using classical methods for dynamic equations and the suitable parameters for the harvester. The oscillations are enabled by applying an initial force, and there is a loss of energy due to the electromechanical damping. A typical numerical application is computed with Matlab 2015 software, and an ODE45 solver is used to verify the accuracy of the method. Full article
(This article belongs to the Section Wearables)
Show Figures

Figure 1

17 pages, 308 KB  
Article
Generalization of the Schrödinger Equation for Open Systems Based on the Quantum-Statistical Approach
by Konstantin G. Zloshchastiev
Universe 2024, 10(1), 36; https://doi.org/10.3390/universe10010036 - 12 Jan 2024
Cited by 3 | Viewed by 2018
Abstract
Within the framework of the quantum-statistical approach, utilizing both non-Hermitian Hamiltonian and Lindblad’s jump operators, one can derive various generalizations of the von Neumann equation for reduced density operators, also known as hybrid master equations. If one considers the evolution of pure states [...] Read more.
Within the framework of the quantum-statistical approach, utilizing both non-Hermitian Hamiltonian and Lindblad’s jump operators, one can derive various generalizations of the von Neumann equation for reduced density operators, also known as hybrid master equations. If one considers the evolution of pure states only, i.e., disregarding the coherence between states and spontaneous transitions from pure to mixed states, then one can resort to quantum-mechanical equations of the Schrödinger type. We derive them from the hybrid master equations and study their main properties, which indicate that our equations have a larger range of applicability compared to other generalized Schrödinger equations proposed hitherto. Among other features, they can describe not only systems which remain in the stationary eigenstates of the Hamiltonian as time passes, but also those which evolve from those eigenstates. As an example, we consider a simple but important model, a quantum harmonic oscillator driven by both Hamiltonian and non-Hamiltonian terms, and derive its classical limit, which turns out to be the damped harmonic oscillator. Using this model, we demonstrate that the effects of dissipative environments of different types can cancel each other, thus resulting in an effectively dissipation-free classical system. Another discussed phenomenon is whether a non-trivial quantum system can reduce to a classical system in free motion, i.e., without experiencing any classical Newtonian forces. This uncovers a large class of quantum-mechanical non-Hamiltonian systems whose dynamics are not determined by conventional mechanics’ potentials and forces, but rather come about through quantum statistical effects caused by the system’s environment. Full article
(This article belongs to the Section Foundations of Quantum Mechanics and Quantum Gravity)
Back to TopTop