Sign in to use this feature.

Years

Between: -

Subjects

remove_circle_outline
remove_circle_outline
remove_circle_outline
remove_circle_outline
remove_circle_outline
remove_circle_outline
remove_circle_outline
remove_circle_outline
remove_circle_outline

Journals

Article Types

Countries / Regions

remove_circle_outline
remove_circle_outline
remove_circle_outline
remove_circle_outline

Search Results (179)

Search Parameters:
Keywords = noise control in buildings

Order results
Result details
Results per page
Select all
Export citation of selected articles as:
29 pages, 6232 KB  
Article
Research on Multi-Temporal Infrared Image Generation Based on Improved CLE Diffusion
by Hua Gong, Wenfei Gao, Fang Liu and Yuanjing Ma
Computers 2025, 14(12), 548; https://doi.org/10.3390/computers14120548 - 11 Dec 2025
Viewed by 129
Abstract
To address the problems of dynamic brightness imbalance in image sequences and blurred object edges in multi-temporal infrared image generation, we propose an improved multi-temporal infrared image generation model based on CLE Diffusion. First, the model adopts CLE Diffusion to capture the dynamic [...] Read more.
To address the problems of dynamic brightness imbalance in image sequences and blurred object edges in multi-temporal infrared image generation, we propose an improved multi-temporal infrared image generation model based on CLE Diffusion. First, the model adopts CLE Diffusion to capture the dynamic evolution patterns of image sequences. By modeling brightness variation through the noise evolution of the diffusion process, it enables controllable generation across multiple time points. Second, we design a periodic time encoding strategy and a feature linear modulator and build a temporal control module. Through channel-level modulation, this module jointly models temporal information and brightness features to improve the model’s temporal representation capability. Finally, to tackle structural distortion and edge blurring in infrared images, we design a multi-scale edge pyramid strategy and build a structure consistency module based on attention mechanisms. This module jointly computes multi-scale edge and structural features to enforce edge enhancement and structural consistency. Extensive experiments on both public visible-light and self-constructed infrared multi-temporal datasets demonstrate our model’s state-of-the-art (SOTA) performance. It generates high-quality images across all time points, achieving superior performance on the PSNR, SSIM, and LPIPS metrics. The generated images have clear edges and structural consistency. Full article
(This article belongs to the Special Issue Advanced Image Processing and Computer Vision (2nd Edition))
Show Figures

Graphical abstract

26 pages, 7556 KB  
Article
Reduction Characteristics of Stack-Effect Problems According to Applying Local Countermeasures by Pressure Distribution Measurement in Buildings
by Taeyon Hwang, Min-ku Hwang and Joowook Kim
Buildings 2025, 15(24), 4453; https://doi.org/10.3390/buildings15244453 - 10 Dec 2025
Viewed by 154
Abstract
Stack effects in high-rise buildings cause noise, drafts, and elevator door malfunctions during cold weather yet remain difficult to control. Because vertical shafts couple pressures between floors, local fixes at a single lobby can unintentionally disturb the pressure field elsewhere. To analyze these [...] Read more.
Stack effects in high-rise buildings cause noise, drafts, and elevator door malfunctions during cold weather yet remain difficult to control. Because vertical shafts couple pressures between floors, local fixes at a single lobby can unintentionally disturb the pressure field elsewhere. To analyze these interactions, we developed a measurement-calibrated CONTAM multizone model of a 43-story office building and evaluated representative local countermeasures. Under base winter conditions, the pressure difference across the problematic first-floor high-rise elevator doors is 56 Pa, driving approximately 1300 CMH of airflow through the door line. First-floor depressurization reduces this to 34 Pa (about 30% lower airflow) but simultaneously increases the pressure at the main entrance doors from 19 to 39 Pa. Additional first-floor partitions slightly reduce pressures on upper high-rise floors, whereas opening exterior windows in the high-rise zone increases shaft airflow by 7.7% and further amplifies elevator door pressures. We show that neutral pressure level (NPL) shifts into vertical shafts are a key mechanism limiting the effectiveness of purely local interventions. These results demonstrate that effective countermeasures must be designed at the whole-building scale, jointly controlling pressure redistribution and neutral-pressure-level movement while directing unavoidable pressure transfer toward the exterior envelope and away from sensitive interior spaces. Full article
(This article belongs to the Special Issue Built Environment and Building Energy for Decarbonization)
Show Figures

Figure 1

25 pages, 6921 KB  
Article
Performance and Implication Analysis of Sound Insulation and Ventilation of Trickle Ventilators
by Susu Wang, Hui Li, Zhongjie Chen, Ziyun Zhao, Xiaoyan Xue, Xiang Yan and Nan Zhang
Buildings 2025, 15(24), 4417; https://doi.org/10.3390/buildings15244417 - 6 Dec 2025
Viewed by 242
Abstract
Indoor environmental quality (IEQ), influenced by ventilation and acoustic conditions, directly affects human health and comfort. Existing studies often concern either ventilation or sound insulation alone, neglecting the impact of the trickle ventilator's internal structure and its combination with windows on overall performance. [...] Read more.
Indoor environmental quality (IEQ), influenced by ventilation and acoustic conditions, directly affects human health and comfort. Existing studies often concern either ventilation or sound insulation alone, neglecting the impact of the trickle ventilator's internal structure and its combination with windows on overall performance. This study introduced a double-chamber model to quantify the ventilation performance of three trickle ventilators using tracer-gas-decay and pressure-difference methods. We calculated the flow coefficient (Cd) and flow exponent (n) to reveal differences in pressure sensitivity, with trickle ventilator TV2 showing the highest-pressure sensitivity (Cd = 1.34, n = 0.89). The weighted sound reduction index (RW) and weighted sound insulation index for traffic-noise correction (RW + Ctr) were measured, showing trickle ventilators TV1-1 and TV1-2, and TV2 were 29 dB, 30 dB, and 34 dB, respectively. And the sound insulation and ventilation performance of window-trickle ventilator combinations were analyzed. Trickle ventilators could enhance acoustic performance for low-insulation windows but reduce it for high-insulation windows. The study also quantitatively balanced ventilation and acoustics. This research provides data support and theoretical guidance for the synergistic optimization of ventilation and sound insulation in building environments and provides guidance on ventilation and noise control strategies suited to different floor levels and outdoor noise environments. Full article
Show Figures

Figure 1

17 pages, 3414 KB  
Article
Research on Low-Frequency Sound Absorption Based on the Combined Array of Hybrid Digital–Analog Shunt Loudspeakers
by Jiachen Liu, Yubing Xu, Chaonan Cong and Jiawei Wu
Appl. Sci. 2025, 15(23), 12774; https://doi.org/10.3390/app152312774 - 2 Dec 2025
Viewed by 230
Abstract
Low-frequency noise, the most critical noise frequency band affecting human physical and mental health, poses a significant challenge for effective control in spatially constrained building environments. The shunt loudspeaker offers a novel solution to control low-frequency noise. Unlike traditional methods, it does not [...] Read more.
Low-frequency noise, the most critical noise frequency band affecting human physical and mental health, poses a significant challenge for effective control in spatially constrained building environments. The shunt loudspeaker offers a novel solution to control low-frequency noise. Unlike traditional methods, it does not rely on large cavity depth but only requires the adjustment of parameters or structure of the shunt circuit. However, most shunt loudspeakers utilize analog shunt technology, which leads to instability and inaccuracy owing to the negative impedance converter circuit and parasitic impedance in analog electronic components. The paper proposes a tunable low-frequency sound absorber utilizing a combined array of hybrid digital–analog shunt loudspeakers. The theoretical model was established based on the electro-mechanical–acoustic analogy method and parallel impedance method. Numerical simulations and experimental studies were performed to verify the proposed model. The results demonstrate that the proposed absorber can achieve excellent low-frequency sound absorption capability by designing only a few digital filter parameters, while simultaneously enhancing the stability and accuracy of the system. This study presents a promising innovative method for low-frequency noise control at sub-wavelength scales, providing a space-efficient solution. Full article
(This article belongs to the Special Issue Novel Advances in Noise and Vibration Control)
Show Figures

Figure 1

20 pages, 7656 KB  
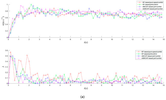
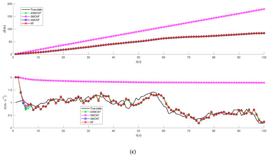
Article
A Joint Speed–Slip Ratio Control Method for Rice Transplanters Based on Adaptive Student’s t-Kernel Maximum Correntropy Kalman Filter and Sliding Mode Control
by Yueqi Ma, Bochuan Zhang, Zhimin Li, Mulin Wu, Tong Shen and Ruijuan Chi
Appl. Sci. 2025, 15(23), 12608; https://doi.org/10.3390/app152312608 - 28 Nov 2025
Viewed by 183
Abstract
With the advancement of precision agriculture, improving the operational accuracy of agricultural machinery has received increasing attention. The rice transplanter is crucial in this context, as its performance directly affects rice yield. During operation, both the magnitude and stability of the driving wheel [...] Read more.
With the advancement of precision agriculture, improving the operational accuracy of agricultural machinery has received increasing attention. The rice transplanter is crucial in this context, as its performance directly affects rice yield. During operation, both the magnitude and stability of the driving wheel slip ratio affect the accuracy of plant spacing, thereby influencing rice yield. However, to date, no control method that can simultaneously stabilize the speed, reduce the slip ratio, and improve the stability of the slip ratio has been proposed for transplanters. To address this issue, this paper proposes a joint speed–slip ratio control method based on an adaptive Student t-kernel maximum correntropy Kalman filter (ASMCKF) and sliding mode control (SMC). First, a Student t-kernel maximum correntropy Kalman filter (SMCKF) is designed to identify the transplanter’s speed, wheel speed, traction force, and rolling resistance in real time, thereby enhancing control system robustness against non-Gaussian heavy-tailed noise in paddy fields. An adaptive kernel bandwidth adjustment method is also introduced for the SMCKF to increase the sensitivity of the cost function to variations in the system state, thereby further improving parameter identification accuracy. Building on this, a joint speed–slip ratio control method is designed based on SMC. Simulation results confirm that the ASMCKF achieves higher identification accuracy than conventional methods when facing non-Gaussian heavy-tailed noise. Field experiment results show that the proposed method can effectively stabilize the transplanter’s speed while significantly reducing the slip ratio and improving the stability of the slip ratio. Full article
(This article belongs to the Section Agricultural Science and Technology)
Show Figures

Figure 1

23 pages, 23534 KB  
Article
Unraveling the Patterns and Drivers of Multi-Geohazards in Tangshan, China, by Integrating InSAR and ICA
by Bingtai Ma, Yang Wang, Jianqing Zhao, Qiang Shan, Degang Zhao, Yiwen Zhou and Fuwei Jiang
Appl. Sci. 2025, 15(23), 12584; https://doi.org/10.3390/app152312584 - 27 Nov 2025
Viewed by 322
Abstract
This study establishes an integrated “Detection–Decomposition–Interpretation” framework for geohazard assessment, with Tangshan City serving as a representative case. Using Sentinel-1 SAR images from 2020 to 2024, regional surface deformation was derived via the Small Baseline Subset InSAR (SBAS-InSAR) technique. Six categories of geohazards [...] Read more.
This study establishes an integrated “Detection–Decomposition–Interpretation” framework for geohazard assessment, with Tangshan City serving as a representative case. Using Sentinel-1 SAR images from 2020 to 2024, regional surface deformation was derived via the Small Baseline Subset InSAR (SBAS-InSAR) technique. Six categories of geohazards were systematically identified and classified: landslides, open-pit slope deformation, mining-induced subsidence, spoil heap deformation, tailings pond deformation, and reclamation settlement. A total of 115 potential hazards were spatially cataloged, revealing distinct zonation characteristics: the northern mountainous area is predominantly affected by landslides and open-pit mining hazards; the central plain exhibits concentrated mining subsidence; and the southern coastal zone is marked by large-scale reclamation settlement. For the southern reclamation area, where settlement mechanisms are complex, the Independent Component Analysis (ICA) method was applied to successfully decompose the deformation signals into three independent components: IC1, representing the dominant long-term irreversible settlement driven by fill consolidation, building loads, and groundwater extraction; IC2, reflecting seasonal deformation coupled with groundwater level fluctuations; and IC3, comprising residual noise. Time series analysis further reveals the coexistence of “decelerating” and “accelerating” settlement trends across different zones, indicative of their respective evolutionary stages—from decaying to actively progressing settlement. This study not only offers a scientific basis for geohazard prevention and control in Tangshan, but also provides a transferable framework for analyzing hazard mechanisms in other complex geographic settings. Full article
Show Figures

Figure 1

20 pages, 671 KB  
Article
Symmetry, Conservation Law, Uniqueness and Stability of Optimal Control and Inverse Problems for Burgers’ Equation
by Yifan Qin, Jiale Qin and Shichao Yi
Symmetry 2025, 17(11), 1927; https://doi.org/10.3390/sym17111927 - 10 Nov 2025
Viewed by 296
Abstract
This paper tackles the ill-posed inversion of initial conditions and diffusion coefficient for Burgers’ equation with a source term. Using optimal control theory combined with a finite difference discretization scheme and a dual-functional descent method (DFDM), it sets the unknown boundary function [...] Read more.
This paper tackles the ill-posed inversion of initial conditions and diffusion coefficient for Burgers’ equation with a source term. Using optimal control theory combined with a finite difference discretization scheme and a dual-functional descent method (DFDM), it sets the unknown boundary function g(τ) and diffusion coefficient u as control variables to build a multi-objective functional, proving the existence of the optimal solution via the variational method. Symmetry analysis reveals the intrinsic connection between the equation’s Lie group invariances and conservation laws through Noether’s theorem, providing a natural regularization framework for the inverse problem. Uniqueness and stability are demonstrated by the adjoint equation under cost function convexity. An energy-consistent discrete scheme is created to verify the energy conservation law while preserving the underlying symmetry structure. A comprehensive error analysis reveals dual error sources in inverse problems. A multi-scale adaptive inversion algorithm incorporating symmetry considerations achieves high-precision recovery under noise: boundary error <1%, energy conservation error 0.13%. The symmetry-aware approach enhances algorithmic robustness and maintains physical consistency, with the solution showing linear robustness to noise perturbations. Full article
(This article belongs to the Section Mathematics)
Show Figures

Figure 1

34 pages, 2025 KB  
Review
EV and Renewable Energy Integration in Residential Buildings: A Global Perspective on Deep Learning, Strategies, and Challenges
by Ahmad Mohsenimanesh, Christopher McNevin and Evgueniy Entchev
World Electr. Veh. J. 2025, 16(11), 603; https://doi.org/10.3390/wevj16110603 - 31 Oct 2025
Viewed by 775
Abstract
Charging electric vehicles (EVs) and integrating renewable energy sources (RESs) are becoming key aspects of residential energy systems. However, the variability of RES generation, combined with uncontrolled EV charging, poses challenges for reliability, power quality, and supply-demand balancing within communities. The challenges only [...] Read more.
Charging electric vehicles (EVs) and integrating renewable energy sources (RESs) are becoming key aspects of residential energy systems. However, the variability of RES generation, combined with uncontrolled EV charging, poses challenges for reliability, power quality, and supply-demand balancing within communities. The challenges only grow when considering other electrified building loads as well. Accurate forecasting of power demand and renewable generation is essential for efficient and sustainable grid operation, optimal use of RESs, and effective energy trading within communities. Deep learning (DL), including supervised, unsupervised, and reinforcement learning (RL), has emerged as a promising solution for predicting consumer demand, renewable generation, and managing energy flows in residential environments. This paper provides a comprehensive review of the development and application of these methods for forecasting and energy management in residential communities. Evaluation metrics across studies indicate that supervised learning can achieve highly accurate forecasting results, especially when integrated with unsupervised K-means clustering and data decomposition. These methods help uncover patterns and relationships within the data while reducing noise, thereby enhancing prediction accuracy. RL shows significant potential in control applications, particularly for charging strategies. Similarly to how V2G-simulators model individual EV usage and simulate large fleets to generate grid-scale predictions, RL can be applied to various aspects of EV fleet management, including vehicle dispatching, smart scheduling, and charging coordination. Traditional methods are also used across different applications and help utilities with planning. However, these methods have limitations and may not always be completely accurate. Our review suggests that integrating hybrid supervised-unsupervised learning methods with RL can significantly improve the sustainability and resilience of energy systems. This approach can improve demand and generation forecasting while enabling smart charging coordination and scheduling for scalable EV fleets integrated with building electrification measures. Furthermore, the review introduces a unifying conceptual framework that links forecasting, optimization, and policy coupling through hierarchical deep learning layers, enabling scalable coordination of EV charging, renewable generation, and building energy management. Despite methodological advances, real-world deployment of hybrid and deep learning frameworks remains constrained by data-privacy restrictions, interoperability issues, and computational demands, highlighting the need for explainable, privacy-preserving, and standardized modeling approaches. To be effective in practice, these methods require robust data acquisition, optimized forecasting and control models, and integrated consideration of transport, building, and grid domains. Furthermore, deployment must account for data privacy regulations, cybersecurity safeguards, model interpretability, and economic feasibility to ensure resilient, scalable, and socially acceptable solutions. Full article
(This article belongs to the Section Energy Supply and Sustainability)
Show Figures

Figure 1

18 pages, 776 KB  
Article
A Comprehensive Approach to Identifying the Parameters of a Counterflow Heat Exchanger Model Based on Sensitivity Analysis and Regularization Methods
by Salimzhan Tassanbayev, Gulzhan Uskenbayeva, Aliya Shukirova, Korlan Kulniyazova and Igor Slastenov
Processes 2025, 13(10), 3289; https://doi.org/10.3390/pr13103289 - 14 Oct 2025
Viewed by 449
Abstract
The study presents a robust methodology for simultaneous state and parameter estimation in nonlinear thermal systems, demonstrated on a counter-current heat exchanger model operating with nitrogen under industrial conditions. To address challenges of ill-conditioning and parameter correlation, local sensitivity analysis is combined with [...] Read more.
The study presents a robust methodology for simultaneous state and parameter estimation in nonlinear thermal systems, demonstrated on a counter-current heat exchanger model operating with nitrogen under industrial conditions. To address challenges of ill-conditioning and parameter correlation, local sensitivity analysis is combined with regularization through optimal parameter subset selection using orthogonalization and D-optimal experimental design. The Unscented Kalman Filter (UKF) is employed to jointly estimate the augmented state vector in real time, leveraging high-fidelity dynamic simulations generated in Unisim Design with the Peng–Robinson equation of state. The proposed framework achieves high estimation accuracy and numerical stability, even under limited sensor availability and measurement noise. Monte Carlo simulations confirm robustness to ±2.5% uncertainty in initial conditions, while residual autocorrelation analysis validates estimator optimality. The approach provides a practical solution for real-time monitoring and model-based control in industrial heat exchangers and offers a generalizable strategy for building identifiable, noise-resilient models of complex nonlinear systems. Full article
Show Figures

Figure 1

21 pages, 13280 KB  
Article
An Airborne and Impact Sound Insulation Analysis of 3D Woven Textiles on the Floor in Buildings
by Ngan Thanh Vu, Won-Kee Hong and Seong-Kyum Kim
Buildings 2025, 15(20), 3643; https://doi.org/10.3390/buildings15203643 - 10 Oct 2025
Viewed by 607
Abstract
Noise has detrimental effects on mental and physical health and quality of life, especially for those living in apartment buildings. Therefore, sound insulation materials are pivotal for reducing unwanted noise as well as enhancing acoustic comfort. This study offers a hybrid approach for [...] Read more.
Noise has detrimental effects on mental and physical health and quality of life, especially for those living in apartment buildings. Therefore, sound insulation materials are pivotal for reducing unwanted noise as well as enhancing acoustic comfort. This study offers a hybrid approach for analyzing 3D woven textile sound insulation material effectiveness, especially in residential buildings, by simulating airborne sound insulation and testing manufactured slab samples with 3D woven textile mortars in a laboratory using a tapping machine. At the same time, the JCA model and the transfer matrix method are employed to calibrate sound absorption coefficients (SAC) and simulate its airborne sound insulation effect in buildings in Seoul, South Korea. Results indicate that the maximum mean sound pressure level (SPL) of the 3D woven textile was reduced up to 9 dB in the octave band frequencies. The thickness improvement of 3D woven textiles enhances the mid- and high-frequency sound absorption effect, most pronounced in 3D woven textiles made of double-layer (DSRM) material, which demonstrated an air sound insulation efficiency around 28.5% greater than that of traditional materials. The maximum drop in impact sound pressure level (SPL) at 2 kHz is 13 dB. The study also proposes a strategy to optimize sound insulation performance, which is used as an effective solution for noise control in buildings. These findings lay the groundwork for research on the application of 3D woven textiles for sound insulation in residential buildings and offer prospects for sustainable textile composites in architectural building applications. Full article
(This article belongs to the Special Issue Acoustics and Well-Being: Towards Healthy Environments)
Show Figures

Figure 1

12 pages, 2884 KB  
Article
Potential Application of Fibers Extracted from Recycled Maple Leaf Waste in Broadband Sound Absorption
by Jie Jin, Yecheng Feng, Haipeng Hao, Yunle Cao and Zhuqing Zhang
Buildings 2025, 15(19), 3582; https://doi.org/10.3390/buildings15193582 - 5 Oct 2025
Viewed by 533
Abstract
To address environmental pollution issues and optimize the utilization of waste biomass resources, this study proposes a novel eco-friendly sound-absorbing material based on maple leaf waste and tests its sound absorption performance. The fibers were extracted from maple leaf waste through a wet [...] Read more.
To address environmental pollution issues and optimize the utilization of waste biomass resources, this study proposes a novel eco-friendly sound-absorbing material based on maple leaf waste and tests its sound absorption performance. The fibers were extracted from maple leaf waste through a wet decomposition and grinding process. Metallurgical microscopy was employed to observe the microstructural characteristics of maple leaf fibers to identify the potential synergistic effect. The effects of two key factors—sample thickness and mass density—on sound absorption performance were investigated. The sound absorption coefficients were measured using the transfer function method in a dual-microphone impedance tube to evaluate their sound-absorbing performance. Experimental results demonstrate that the prepared maple leaf fibers, as acoustic materials, exhibit excellent acoustic performance across a wide frequency range, with an average sound absorption coefficient of 0.7. Increasing sample thickness improves the sound absorption coefficient in low- and mid-frequency ranges. Additionally, increased sample mass density was found to enhance acoustic performance in low- and mid-frequency bands. This study developed an eco-friendly material with lightweight and efficient acoustic absorption properties using completely biodegradable maple leaf waste. The results provide high-performance, economical, and ecologically sustainable solutions for controlling building and traffic noise while promoting the development of eco-friendly acoustic materials. Full article
(This article belongs to the Section Building Materials, and Repair & Renovation)
Show Figures

Figure 1

31 pages, 4739 KB  
Article
Operational Performance of an MVHR System in a Retrofitted Heritage Dwelling: Indoor Air Quality, Efficiency and Duct Constraints
by Catalina Giraldo-Soto, Zaloa Azkorra-Larrinaga, Amaia Uriarte, Naiara Romero-Antón and Moisés Odriozola-Maritorena
Sustainability 2025, 17(18), 8493; https://doi.org/10.3390/su17188493 - 22 Sep 2025
Cited by 2 | Viewed by 927
Abstract
The integration of Mechanical Ventilation with Heat Recovery (MVHR) systems into heritage buildings poses a series of challenges, largely attributable to architectural constraints and conservation requirements. The present study offers an operational campaign of an MVHR system installed during the energy retrofit of [...] Read more.
The integration of Mechanical Ventilation with Heat Recovery (MVHR) systems into heritage buildings poses a series of challenges, largely attributable to architectural constraints and conservation requirements. The present study offers an operational campaign of an MVHR system installed during the energy retrofit of a protected residential heritage dwelling in Vitoria-Gasteiz, Spain. Although environmental monitoring was carried out throughout the year, representative spring, autumn and winter days of continuous operation were analysed, as the occupants frequently avoided using the system due to noise perception. This limitation highlights the importance of considering acoustic comfort and user acceptance as critical factors in the long-term viability of MVHR in heritage contexts. The system was assessed under real-life conditions using continuous environmental monitoring, with a focus on indoor air quality (IAQ), thermal efficiency, airflow balance, and pressure losses. Despite the acceptable mean apparent thermal effectiveness (0.74) and total useful efficiency (0.96), the system’s performance was found to be constrained by significant flow imbalance (up to 106%) and elevated pressure drops, which were attributed to the legacy of the duct geometry. The results obtained demonstrate IAQ improved overall, with mean CO2 concentrations below ~650 ppm across the analysed dataset; however, daily means occasionally exceeded 900–1000 ppm during high-occupancy periods and in the absence of spatially distributed demand control. These exceedances are consistent with the measured outdoor baseline (~400–450 ppm) and reflect the need for post-commissioning balancing and room-level sensing to sustain Category II performance in heritage dwellings. This study provides empirical evidence on the limitations and opportunities of MVHR deployment in historic retrofits, thus informing future guidelines for sustainable interventions in heritage contexts. Full article
Show Figures

Figure 1

23 pages, 7556 KB  
Article
On-Site Monitoring and a Hybrid Prediction Method for Noise Impact on Sensitive Buildings near Urban Rail Transit
by Yanmei Cao, Yefan Geng, Jianguo Chen and Jiangchuan Ni
Buildings 2025, 15(17), 3227; https://doi.org/10.3390/buildings15173227 - 7 Sep 2025
Viewed by 1084
Abstract
The environmental noise impact on sensitive buildings and residents, generated by urban rail transit systems, has attracted increasing attention from the public and various levels of management. Owing to the diversity of building types and the complexity of noise propagation paths, the accurate [...] Read more.
The environmental noise impact on sensitive buildings and residents, generated by urban rail transit systems, has attracted increasing attention from the public and various levels of management. Owing to the diversity of building types and the complexity of noise propagation paths, the accurate prediction of noise levels adjacent to structures through traditional experimental or empirical formula-based methods is challenging. In this paper, on-site multi-dimensional noise monitoring of the noise source affecting the sensitive buildings was first carried out, and a hybrid prediction method combining normative formulas, numerical simulations, and experimental research is proposed and validated. This approach effectively addresses the shortcomings of traditional prediction methods in terms of source strength determination, propagation path distribution, and accuracy of results. The results show that, while predicting or assessing the noise impact on sensitive buildings and interior residents, it is important to properly consider the impact of background noise (such as road traffic) as well as vibration radiation noise of bridge structures. The predicted results obtained by using this method closely match the measured results, with errors controlled within 3 dB(A). The noise prediction error in front of buildings is controlled within 2 dB(A), fully meeting the requirements for environmental noise assessment. Full article
Show Figures

Figure 1

33 pages, 1580 KB  
Article
Selection and Classification of Small Wind Turbines for Local Energy Systems: Balancing Efficiency, Climate Conditions, and User Comfort
by Waldemar Moska, Leszek Piechowski and Andrzej Łebkowski
Energies 2025, 18(17), 4575; https://doi.org/10.3390/en18174575 - 28 Aug 2025
Viewed by 2613
Abstract
Micro and small wind turbines (MAWTs) are increasingly integrated into residential and prosumer hybrid energy systems. However, their real-world performance often falls short of catalog specifications due to mismatched wind resources, siting limitations, and insufficient attention to human comfort. This paper presents a [...] Read more.
Micro and small wind turbines (MAWTs) are increasingly integrated into residential and prosumer hybrid energy systems. However, their real-world performance often falls short of catalog specifications due to mismatched wind resources, siting limitations, and insufficient attention to human comfort. This paper presents a comprehensive decision-support framework for selecting the type and scale of MAWTs under actual local conditions. The energy assessment module combines aerodynamic performance scaling, wind speed-frequency modeling based on Weibull distributions, turbulence intensity adjustments, and component-level efficiency factors for both horizontal and vertical axis turbines. The framework addresses three key design objectives: efficiency—aligning turbine geometry and control strategies with local wind regimes to maximize energy yield; comfort—evaluating candidate designs for noise emissions, shadow flicker, and visual impact near buildings; and climate adaptation—linking turbine siting, hub height, and rotor type to terrain roughness, turbulence, and built environment characteristics. Case studies from low and moderate wind locations in Central Europe demonstrate how multi-criteria filtering avoids oversizing, improves the autonomy of hybrid PV–wind systems, and identifies configurations that may exceed permissible limits for noise or flicker. The proposed methodology enables evidence-based deployment of MAWTs in decentralized energy systems that balance technical performance, resilience, and occupant well-being. Full article
Show Figures

Figure 1

20 pages, 394 KB  
Article
Feedback Linearization for a Generalized Multivariable T-S Model
by Basil Mohammed Al-Hadithi, Javier Blanco Rico and Agustín Jiménez
Electronics 2025, 14(15), 3129; https://doi.org/10.3390/electronics14153129 - 6 Aug 2025
Cited by 1 | Viewed by 536
Abstract
This study presents a novel optimal fuzzy logic control (FLC) strategy based on feedback linearization for the regulation of multivariable nonlinear systems. Building upon an enhanced Takagi–Sugeno (T-S) model previously developed by the authors, the proposed method incorporates a refined parameter-weighting scheme to [...] Read more.
This study presents a novel optimal fuzzy logic control (FLC) strategy based on feedback linearization for the regulation of multivariable nonlinear systems. Building upon an enhanced Takagi–Sugeno (T-S) model previously developed by the authors, the proposed method incorporates a refined parameter-weighting scheme to optimize both local and global approximations within the T-S framework. This approach enables improved selection and minimization of the performance index. The effectiveness of the control strategy is validated through its application to a two-link serial robotic manipulator. The results demonstrate that the proposed FLC achieves robust performance, maintaining system stability and high accuracy even under the influence of noise and load disturbances, with well-damped system behavior and negligible steady-state error. Full article
(This article belongs to the Section Systems & Control Engineering)
Show Figures

Figure 1

Back to TopTop