Next Article in Journal
Difference in Preferred Air Speed Between Young and Elderly Adults in Warm Environments
Next Article in Special Issue
Low-Cost Gas Sensing and Machine Learning for Intelligent Refrigeration in the Built Environment
Previous Article in Journal
LOINSH Information Structure for the Assessment of Occupational Risks in the Execution of Roads Based on the LOIN Standard
Previous Article in Special Issue
The Influence of Hot and Humid Climate Data on Modern Architectural Façade Design: A Case Study of Educational Buildings in Adana, Türkiye
 
 
Font Type:
Arial Georgia Verdana
Font Size:
Aa Aa Aa
Line Spacing:
Column Width:
Background:
Article

Reduction Characteristics of Stack-Effect Problems According to Applying Local Countermeasures by Pressure Distribution Measurement in Buildings

1
Department of Architectural Engineering, Chosun University, Gwangju 61452, Republic of Korea
2
Department of Information and Technology, Nambu University, Gwangju 62271, Republic of Korea
*
Author to whom correspondence should be addressed.
Buildings 2025, 15(24), 4453; https://doi.org/10.3390/buildings15244453
Submission received: 5 November 2025 / Revised: 8 December 2025 / Accepted: 9 December 2025 / Published: 10 December 2025
(This article belongs to the Special Issue Built Environment and Building Energy for Decarbonization)

Abstract

Stack effects in high-rise buildings cause noise, drafts, and elevator door malfunctions during cold weather yet remain difficult to control. Because vertical shafts couple pressures between floors, local fixes at a single lobby can unintentionally disturb the pressure field elsewhere. To analyze these interactions, we developed a measurement-calibrated CONTAM multizone model of a 43-story office building and evaluated representative local countermeasures. Under base winter conditions, the pressure difference across the problematic first-floor high-rise elevator doors is 56 Pa, driving approximately 1300 CMH of airflow through the door line. First-floor depressurization reduces this to 34 Pa (about 30% lower airflow) but simultaneously increases the pressure at the main entrance doors from 19 to 39 Pa. Additional first-floor partitions slightly reduce pressures on upper high-rise floors, whereas opening exterior windows in the high-rise zone increases shaft airflow by 7.7% and further amplifies elevator door pressures. We show that neutral pressure level (NPL) shifts into vertical shafts are a key mechanism limiting the effectiveness of purely local interventions. These results demonstrate that effective countermeasures must be designed at the whole-building scale, jointly controlling pressure redistribution and neutral-pressure-level movement while directing unavoidable pressure transfer toward the exterior envelope and away from sensitive interior spaces.

1. Introduction

The stack effect in high-rise buildings is driven by buoyancy when the outdoor air temperature is significantly lower than the indoor air temperature. Under such conditions, vertical pressure differences develop along the building envelope and vertical shafts, and air is driven through elevator doors, stairwells, lobbies, and other leakage paths. When parts of a building are subjected to excessive pressure differences or when stack-effect-induced airflow becomes large, serious operational and safety problems can arise; therefore, appropriate control is required [1,2].
Stack-effect-related problems are broadly associated with two aspects of building performance: everyday operational (or residential) performance and disaster-prevention (life-safety) performance. In terms of operational performance, reported issues include malfunction and incomplete closing of elevator and internal doors, excessive noise, strong drafts in elevator halls and corridors, increased heating and cooling loads due to infiltration and moisture ingress, odor transfer, and degradation of heating, ventilation, and air-conditioning (HVAC) performance [1,3,4]. From a life-safety perspective, the stack effect can significantly influence smoke movement and the spread of toxic gases during fire events and can also intensify the transport of airborne contaminants under non-fire conditions [1,5,6,7,8]. Because these phenomena directly affect both occupant comfort and life safety, reliable mitigation strategies for stack effect are required in high-rise buildings.
Fundamental studies by Tamura and co-workers have clarified the physical mechanisms of the stack effect in tall buildings. Tamura introduced the concept of the thermal draft coefficient (TDC) to quantify stack-effect-induced pressure differences [1,2]. Subsequent airtightness studies of exterior walls, stair shafts, elevator shafts, and doors further demonstrated that internal divisions such as shafts and doors are generally less airtight than the exterior envelope and that division-by-division airtightness strongly influences stack-effect behavior [9,10,11,12,13]. These findings provide the theoretical basis for the present study, where TDC-based relationships are used to interpret pressure distributions and to calibrate a multizone model of an actual high-rise office building.
Building on this fundamental knowledge, many studies have investigated stairwell and shaft pressurization and mechanical venting as practical measures for smoke control in tall buildings. Design manuals and handbooks for smoke management in high-rise buildings [5,6,7] and experimental and analytical work on stairwell pressurization, shaft pressurization, and dedicated smoke-control systems [8,14,15,16,17,18,19,20,21,22] have shown that pressurized stairs and shafts, combined with mechanical venting, can effectively limit smoke spread and control pressure differences during fire events. These works form the background against which the present study considers stack-effect control under non-fire conditions.
In parallel, several studies have proposed operational and design strategies that directly target stack-effect problems during normal building operation. HVAC-based pressure control and system operation have been shown to influence stack effect in tall buildings [3,4], while zoning, added divisions along vertical airflow paths, and shaft cooling have been suggested as ways to mitigate stack-effect symptoms in residential and office buildings [23,24,25]. More recently, the combined effects of thermal buoyancy, wind action, lobby entrance conditions, on pressure differences have been analyzed for high-rise buildings [26]. These studies show that local pressurization/depressurization, shaft cooling, zoning, and HVAC-based strategies can effectively alleviate stack-effect symptoms at specific locations.
Nevertheless, stack-effect problems in high-rise buildings continue to be reported. One important reason is that the examination and application of countermeasures have generally focused on the specific locations where problems are observed (for example, a particular elevator hall or lobby), without sufficiently considering the coupling of pressures and airflow throughout the building. In particular, the movement of the neutral pressure level (NPL) and the redistribution of pressure differences among floors and compartments have rarely been analyzed from a whole-building perspective, even in recent studies on pressurization, zoning, and HVAC-based control [3,4,14,15,16,17,18,19,20,21,22,24,25,26]. As a result, local countermeasures may successfully reduce stack-effect symptoms at the treated location but can inadvertently generate secondary problems, such as increased pressure differences, airflow, noise, and incomplete door closing, at other floors or in other compartments through inter-compartment pressure redistribution.
This study aims to address these research gaps by combining theoretical consideration of vertical and horizontal pressure distributions with a calibrated multizone airflow model of a real high-rise office building. A CONTAM model of an existing 43-story office building is developed and calibrated using measured pressure distributions on a representative floor and measured airtightness (equivalent leakage areas) for selected divisions, including exterior walls and elevator doors. Using this calibrated model, we analyze how conventional local stack-effect countermeasures influence the building-wide pressure field, including NPL shifts and redistribution of pressure differences among compartments. The main contributions of this work are threefold. First, we quantify the characteristics and variations of vertical and horizontal pressure distributions under stack effect in an actual high-rise building using a measurement-calibrated multizone model. Second, we evaluate the effectiveness of local countermeasures not only at the target location but also at the scale of the entire building, explicitly considering NPL movement and pressure redistribution, and we identify secondary problems arising in zones where no countermeasure is applied. Third, based on these analyses, we propose a building-wide, interconnected application strategy for local countermeasures that mitigates stack-effect problems while minimizing unintended NPL shifts and secondary adverse effects.

2. Methodology

2.1. Research Question and Hypothesis

This study originated from the question of why stack-effect problems in high-rise buildings remain difficult to resolve. A review of previous studies indicated that most countermeasures are applied locally, focusing on the zones where symptoms appear (e.g., specific lobbies or elevator halls). In practice, only the pressure differences and airflow around these zones are controlled, while the interconnection between all parts of the building is not fully considered. We therefore hypothesized that local countermeasures trigger a redistribution of pressure and airflow throughout the building, which can both reduce their effectiveness and generate secondary problems.

2.2. Overall Workflow: TDC Analysis and Multizone Simulation

To examine this hypothesis, two complementary approaches were adopted, as summarized in Figure 1. Method 1 is a theoretical analysis (Section 3) based on the TDC concept and on the relationships between pressure differences and leakage-area distributions. Method 2 is a multizone airflow model of a real 43-story office building with reported stack-effect problems, and it analyzed several local countermeasures using CONTAM (Section 4). As indicated in the right-hand panels of Figure 1, the calibrated leakage-area distribution is used as common input to both methods, and the evaluation step compares theoretical and simulated pressure/airflow distributions, NPL shifts, and the occurrence of secondary problems under each local countermeasure.

2.3. Determination of Leakage Areas and Model Calibration

A key step in the methodology is the determination of the leakage areas of each building compartment. As an initial estimate, the airtightness of each building part was defined using data compiled in previous studies [9,10,12]. Because these values do not necessarily match the actual airtightness of the target building, we conducted simultaneous measurements of absolute pressure on a reference floor (40 F), covering all interior zones and the outdoor space defined by the floor plan, and performed leakage tests for part of the exterior envelope. The measured data were then incorporated into Tamura’s TDC equations [1,2], as detailed in Section 3, to back-calculate the equivalent leakage area of each compartment. In this way, a realistic leakage-area distribution for the target building was obtained and implemented as input to the CONTAM multizone model described in Section 4. Once these inputs were defined, the simulations yielded the vertical pressure distribution (including the neutral pressure level, NPL) and the horizontal pressure differences at each floor for each case of local countermeasure, allowing us to evaluate building-wide pressure and airflow redistribution.

3. Theoretical Analysis of Pressure Distribution Under the Stack Effect

3.1. Vertical Pressure Distribution and Variation

As shown in Figure 2, the vertical pressure distribution in a building under the stack effect is governed by the location of the neutral pressure level (NPL) and the indoor–outdoor temperature difference. At the NPL, the indoor and outdoor absolute pressures are equal; above and below this level, their magnitude relation is reversed.
In Figure 2, Qin and Qout denote the air inflow and outflow rate (m3/s), αA1 and αA2 are the equivalent leakage areas (m2), and ΔP1 and ΔP2 are the corresponding pressure difference (Pa). In an actual building, an NPL is formed in each vertical shaft, and its height is determined by the level at which the total inflow to the shaft equals the total outflow. Hence, the NPL location is fundamentally controlled by the vertical distribution of leakage areas.
Equations (1)–(3) express these relationships between airflow rates, leakage areas, and pressure differences in a shaft under stack effect, where ρ is the air density (kg/m3). When αA1 is larger than αA2, the NPL lies in the lower part of the building, and the upper floors are subjected to larger pressure differences than the lower floors. Conversely, when the leakage area below the NPL is larger, the NPL shifts upward, and the lower floors experience larger pressure differences. Therefore, any change in the equivalent leakage area in a particular region, or any other factor that modifies the airflow balance above and below the NPL, will shift the NPL and alter the vertical pressure distribution.
Q i n = α A 1 2 ρ P 1
Q i n = Q o u t α A 1 2 ρ P 1 = α A 2 2 ρ P 2
α A 1 = α A 2 P 1 = P 2 α A 1 > α A 2 P 1 < P 2 α < = α A 2 P 1 > P 2
The gradients of indoor and outdoor absolute pressure are determined by their respective air temperatures, so the same indoor–outdoor pressure difference occurs at the same vertical distance from the NPL, regardless of the absolute height of the NPL. In the target 43-story office building, these principles are applied mainly to the high-rise elevator shaft, which has its own NPL and dominates the stack-effect problems observed at 1 F and 40 F.

3.2. Horizontal Pressure Distribution and Variation

The horizontal pressure distribution in a building under the stack effect is determined by the relative ratio of leakage areas among building divisions. To illustrate this, Figure 3 and Equations (4)–(8) consider a simplified floor divided into the exterior and two interior divisions: the interface between the indoor space and the elevator hall, and the interface between the elevator hall and the elevator shaft.
γ = 1 1 + A w A t v 2  
A w = 1 A v 1 2 + 1 A v 2 2 1 2
Δ P w = γ Δ P s t
Δ P t v = 1 γ Δ P s t
Δ P v 1 = 1 1 + A v 1 A v 2 2 Δ P t v = 1 γ 1 + A v 1 A v 2 2 Δ P s t
In these equations, γ is the TDC of the building exterior (-), Aw is the leakage area of exterior wall (m2), Atv is the total leakage area of interior divisions (m2), Av1 and Av2 is the leakage areas of the first interior division and the elevator shaft (m2), ΔPw, ΔPtv, ΔPv1, and ΔPv2 are the corresponding pressure difference (Pa) and ΔPst is the total stack effect pressure (Pa).
Equations (4)–(8) show that the pressure differences acting on each division are functions of the leakage-area ratios. A division with a larger leakage area experiences a smaller pressure difference, whereas a more airtight division bears a larger pressure difference. Thus, by changing the leakage areas (for example, by improving airtightness or introducing an additional partition), the horizontal pressure distribution can be intentionally redistributed, even though the overall indoor–outdoor pressure difference due to the stack effect remains unchanged.
Pressurization or depressurization of a specific space also modifies the horizontal distribution. In this case, pressurized/depressurized space is treated as a separate division, and the pressure differences are repartitioned around it. For example, if the upper indoor space in Figure 3 is pressurized, the pressure difference between the elevator shaft and the indoor space decreases and is shared between the shaft division and the division between the indoor space and the elevator hall, in the same ratio as before pressurization. At the same time, the pressure difference between the indoor and outdoor air increases and is borne by the exterior wall; in this limiting case, the TDC of the building exterior approaches unity. Introducing additional partitions redistributes the pressure difference across multiple divisions and is therefore an effective way of mitigating stack-effect-related problems in individual divisions.
In the target building, the three divisions in Figure 3 correspond to the high-rise elevator shaft, the high-rise elevator hall, and the adjacent office/vertical-circulation zones on 1 F and 40 F. The local countermeasures investigated in Section 4 act by changing the leakage areas or pressures of these divisions, and the simulation results in Section 5 are interpreted directly using these relationships.

4. Target Building and Simulation Model

4.1. Overview of the Target Building and Observed Stack-Effect Problems

Figure 4 shows a longitudinal section and representative floor plans of the target building: (a) a vertical section illustrating the center core and main vertical shafts; (b) the first-floor plan including the main entrances and elevator halls where severe stack-effect problems have been reported; and (c) the 40th-floor plan, which is used as a reference floor for pressure measurements and for presenting horizontal pressure distributions in Section 5. The building is a large 43-story office building with 8 basement levels and a total floor area of 196,507 m2. The main vertical circulation elements consist of passages, passenger, shuttle, and emergency elevators, as well as an emergency stairwell that connects all floors.
The passenger elevators are operated separately for low-rise (1 F–17 F), med-rise (1 F, 17 F–28 F), and high-rise (1 F, 28 F–40 F). The passenger elevator system consists of two pairs of shafts facing each other, with four elevator cars operated in each shaft. The shuttle elevators operate between the B7 and 4 F, and the emergency elevators serve all floors. The target building has a center core plan, an elevator hall, and interior doors are installed on all floors except for the first floor. Revolving doors are installed at the main and secondary entrances on the first floor.
The HVAC system of the target building was originally designed so that normal air conditioning operation would not significantly alter the indoor pressure. The control strategy aims to keep the supply and return airflows on each floor approximately balanced, and no explicit building-pressure tracking is implemented. Therefore, in the simulations, only additional supply and exhaust flows associated with the local countermeasures were specified, while the baseline HVAC operation was assumed to have a negligible net effect on building pressurization. In addition, a public pedestrian passage with a closed roof is installed in the north–south direction between the target building and the annex to the east. Revolving doors are installed at the south and north entrances of the passage.
Since completion, various stack-effect problems have been reported in the building. The most serious symptom has been strong noise in the high-rise elevator hall on the first floor (1 F). Other reported problems include noise and strong wind in the high-rise elevator halls on the upper floors when the doors are opened, incomplete closing of doors between high-rise elevator halls and the interior space, and noise at several interior doors. These problems are all caused by excessive pressure differences and airflow through doors and other openings and are therefore directly related to the equivalent leakage areas of the corresponding divisions.

4.2. Measurements for Calibration of Leakage Areas

To reproduce the actual stack-effect characteristics of the target building, the airtightness of each division was not assumed solely from literature values but was calibrated using field measurements on a reference floor (40 F). On this floor, simultaneous measurements of absolute pressure were carried out for all interior compartments and the outdoor space defined by the floor plan. In addition, leakage tests were performed for part of the exterior envelope. The measurement layout of 40 F and the equipment used for the absolute-pressure and air-leakage tests are illustrated in Figure 5.
Absolute pressures were measured using an absolute manometer (GE Druck DPI 740; range 75,000~115,000 Pa; accuracy ±0.02% of reading; resolution 1 Pa). Differential pressures were monitored with a multichannel scanner (GL Instrument MANA 2200-ip; scan time 0.1~99 s) and a differential pressure gauge (FCO510; range −20,000~20,000 Pa; accuracy ±0.25% of reading; resolution 0.001 Pa). Leakage tests of the exterior envelope were conducted using a blower-door system (Retrotec 2000 series; fan capacity 10,705 CMH; accuracy 5%), following standard building pressurization and airflow measurement procedures [27,28,29,30,31].
The measured pressures were then combined with the TDC-based theoretical relationships described in Section 3 to back-calculate the equivalent leakage area of each compartment. In this way, a realistic leakage-area distribution was obtained for the target building. Representative calibrated leakage areas for major components (e.g., exterior wall, revolving doors, automatic doors, elevator doors and stair doors), together with the boundary conditions for the base-case simulation, are summarized in Table 1. Although a full quantitative validation of all airflow rates was not performed, the predicted NPL locations and airflow directions in each elevator shaft were qualitatively checked on site using simple smoke visualization tests, and the observed flow directions were consistent with the simulation results.

4.3. CONTAM Multizone Simulation Model

A multizone airflow model of the entire building was developed using CONTAM. The zones in the model include office spaces, elevator halls (low-, mid-, and high-rise), elevator shafts, the emergency stairwell, the first-floor lobby, entrance zones, the covered public passage and the basement parking area. The zones are connected by doors, leakage paths and shafts according to the architectural layout of the target building. Figure 6 illustrates the CONTAM multizone model on (a) the first floor and (b) the 40th floor. On 1 F, the lobby, vestibules, revolving doors, elevator halls, and entrances are explicitly divided into separate zones, while on 40 F the office zone and the high-rise elevator hall and shaft are modeled in detail. Single doors, revolving doors, and leakage paths are represented as airflow elements between zones.
The leakage area distribution of each boundary surface was implemented in the model based on the calibrated values described in Section 4.2. The base case indoor temperature was set to the design heating value (24 °C), while the outdoor and underground parking temperatures were set to the measured values (2.5 °C and 15 °C, respectively; Table 1). As explained in Section 4.1, the case building is served by a floor-by-floor VAV air-conditioning system that is operated so that the supply and return airflows on each floor are approximately balanced, and the system does not include building-pressure tracking control. Therefore, no net mechanical supply or exhaust flows were imposed on the zones in the base-case model, and the HVAC system was represented only by the additional supply and exhaust flows that implement the local countermeasures described in Section 4.4 (Table 2).
Figure 7. Schematic layouts of local countermeasures: (a) Case 1—exhaust from the 1st-floor high-rise elevator hall; (b) Case 3-1—additional partition at the 1st-floor high-rise elevator hall entrance; (c) Case 3-2—additional partitions at all 1st-floor elevator halls; (d) Case 4—additional supply to 37th–40th-floor high-rise elevator halls; (e) Case 5—duct connection between the high-rise elevator shaft and the 21st-floor mechanical room.
Figure 7. Schematic layouts of local countermeasures: (a) Case 1—exhaust from the 1st-floor high-rise elevator hall; (b) Case 3-1—additional partition at the 1st-floor high-rise elevator hall entrance; (c) Case 3-2—additional partitions at all 1st-floor elevator halls; (d) Case 4—additional supply to 37th–40th-floor high-rise elevator halls; (e) Case 5—duct connection between the high-rise elevator shaft and the 21st-floor mechanical room.
Buildings 15 04453 g007aBuildings 15 04453 g007b
The simulation for each case was carried out under steady-state conditions using the actual indoor design temperature (24 °C) and the outdoor temperature (2.5 °C) measured when stack-effect problems were observed in the building. No wind pressures were applied; airflow is driven solely by thermal buoyancy due to the indoor–outdoor temperature difference and by the imposed local supply and exhaust flows listed in Table 2. Under these boundary conditions, CONTAM computes the vertical pressure distribution, including the neutral pressure level (NPL) in each shaft, and the horizontal pressure differences acting on doors and walls at each floor. Thus, pressure differences and airflow rates through each door and leakage path are outputs of the multizone calculation rather than prescribed input settings.
In CONTAM, each leakage path and closed door was modeled as a flow element whose characteristics were defined from the equivalent leakage areas in Table 1 and the pressure–flow relationships described in Section 3. The network equations were solved with the standard steady-state solver using default air properties and buoyancy treatment. With the building geometry, thermal boundary conditions (Table 1), calibrated leakage-area distribution (Table 1) and case-specific additional flows (Table 2), the simulations can be reproduced without prescribing any global ventilation airflow rates or pressure setpoints.

4.4. Definition of Local Countermeasure Cases

Local countermeasures were selected to reflect feasible modifications in an occupied building and to address the observed stack effect problems on the first floor and in the high-rise zone. The selected countermeasures and the corresponding simulation cases are summarized in Table 2. The implementation of the main countermeasures in the CONTAM model is illustrated in Figure 7 (Case 1: Figure 7a; Case 3-1: Figure 7b; Case 3-2: Figure 7c; Case 4: Figure 7d; Case 5: Figure 7e).
Because noise and strong wind at elevator doors on the first floor and on the high-rise floors are caused by airflow through elevator door opening, the main strategy was to reduce the airflow by decreasing the pressure difference across these openings. According to Equation (1), the air through an opening is determined by the opening size and the pressure difference across it. The local countermeasures therefore focus on reducing the pressure difference across elevator doors either by depressurization/pressurization or by redistributing the pressure among additional partitions.
For the high-rise elevator doors on the first floor, two primary approaches were considered:
  • First-floor depressurization (Cases 1 and 2):
    • In Case 1 (Figure 7a), 5000 CMH of air is exhausted from the 1 F high-rise elevator hall to the public aisle. In Case 2, additional lobby exhaust is provided by the HVAC system (70,000 CMH supply and 89,740 CMH exhaust). Both approaches aim to reduce the pressure difference between the high-rise elevator hall and the high-rise elevator shaft by depressurizing the hall or the entire lobby.
  • Additional partitions on 1 F (Cases 3-1 and 3-2):
    • In Case 3-1 (Figure 7b), an additional partition is installed at the entrance to the high-rise elevator hall on 1 F so that the partition shares part of the pressure difference acting on the elevator hall and the shaft. In Case 3-2 (Figure 7c), similar partitions are installed at the entrances to all elevator halls on 1 F (low-, mid- and high-rise), distributing the pressure differences among multiple divisions.
For the high-rise elevator doors on the upper floors, two additional approaches were examined:
  • Pressurization of high-rise elevator halls (Case 4):
    • In Case 4 (Figure 7d), additional air supply of 100 CMH per floor is provided to the high-rise elevator halls on 37 F–40 F through the HVAC system to reduce the pressure difference between the halls and the high-rise elevator shaft.
  • Forced ventilation from the high-rise elevator shaft (Case 5):
    • In Case 5 (Figure 7e), a duct is installed between the high-rise elevator shaft and the mechanical room on 21 F to exhaust air from the shaft and thereby reduce the pressure difference between the elevator halls and the shaft.
Finally, the influence of opening exterior windows on the stack effect was investigated:
  • Opening of exterior windows (Cases 6-1, 6-2, and 6-3):
    • In these cases, four windows (0.32 m × 1.67 m) per floor are opened on different floor ranges (e.g., 6 F–40 F, 37 F–40 F, 6 F–9 F) to examine how increased exterior leakage affects the vertical pressure distribution, NPL location, and airflow in the high-rise elevator shaft.
The base case, which represents the current operating condition of the building without any local countermeasures or window openings, was also simulated to provide a reference for comparison.

5. Simulation Results and Discussion

The simulation results were analyzed from three viewpoints:
(i) mitigation of stack-effect problems at the locations where local countermeasures are applied, (ii) occurrence of secondary problems caused by pressure redistribution and neutral pressure level (NPL) shifts, and (iii) the influence of NPL movement on the effectiveness and robustness of each countermeasure.
In the main text, the results are presented in a grouped form. For each set of countermeasures, Figure 8, Figure 9, Figure 10, Figure 11 and Figure 12 show:
(a)
the NPL position along the building height for the base case and the corresponding countermeasure cases,
(b)
the horizontal pressure differences and airflow on the first floor (1 F), and
(c)
the horizontal pressure differences and airflow on the representative high-rise floor (40 F).
Figure 8. Effects of first-floor depressurization (Cases 1 and 2): (a) NPL in the high-rise shaft; (b) horizontal pressure and airflow on 1 F; (c) horizontal pressure and airflow on 40 F.
Figure 8. Effects of first-floor depressurization (Cases 1 and 2): (a) NPL in the high-rise shaft; (b) horizontal pressure and airflow on 1 F; (c) horizontal pressure and airflow on 40 F.
Buildings 15 04453 g008
Figure 9. Effects of additional divisions on the first floor (Cases 3-1 and 3-2): (a) NPL in the high-rise shaft; (b) horizontal pressure and airflow on 1 F; (c) horizontal pressure and airflow on 40 F.
Figure 9. Effects of additional divisions on the first floor (Cases 3-1 and 3-2): (a) NPL in the high-rise shaft; (b) horizontal pressure and airflow on 1 F; (c) horizontal pressure and airflow on 40 F.
Buildings 15 04453 g009
Figure 10. Effects of pressurizing high-rise elevator halls (Case 4): (a) NPL in the high-rise shaft; (b) horizontal pressure and airflow on 1 F; (c) horizontal pressure and airflow on 40 F.
Figure 10. Effects of pressurizing high-rise elevator halls (Case 4): (a) NPL in the high-rise shaft; (b) horizontal pressure and airflow on 1 F; (c) horizontal pressure and airflow on 40 F.
Buildings 15 04453 g010
Figure 11. Effects of forced ventilation from the high-rise elevator shaft (Case 5): (a) NPL in the high-rise shaft; (b) horizontal pressure and airflow on 1 F; (c) horizontal pressure and airflow on 40 F.
Figure 11. Effects of forced ventilation from the high-rise elevator shaft (Case 5): (a) NPL in the high-rise shaft; (b) horizontal pressure and airflow on 1 F; (c) horizontal pressure and airflow on 40 F.
Buildings 15 04453 g011
Figure 12. Effects of opening exterior windows (Cases 6-1, 6-2 and 6-3): (a) NPL in the high-rise shaft; (b) horizontal pressure and airflow on 1 F; (c) horizontal pressure and airflow on 40 F.
Figure 12. Effects of opening exterior windows (Cases 6-1, 6-2 and 6-3): (a) NPL in the high-rise shaft; (b) horizontal pressure and airflow on 1 F; (c) horizontal pressure and airflow on 40 F.
Buildings 15 04453 g012
Figure 13 summarizes the airflow rate in the high-rise elevator shaft for the base case and the window-opening cases (Cases 6-1, 6-2, and 6-3). More detailed vertical and horizontal pressure distributions for individual cases are provided in Appendix A for reference, but are not required to follow the main discussion.

5.1. Effect of Depressurization on the First Floor (Cases 1 and 2)

When the high-rise elevator hall and/or the lobby on 1 F are depressurized (Cases 1 and 2), the pressure difference between the high-rise elevator hall and the high-rise elevator shaft on 1 F decreases compared with the base case (Figure 8b). In other words, the pressure difference acting on the high-rise elevator doors on 1 F is reduced. This means that the application of these countermeasures mitigates the stack-effect problems at the first floor, such as noise and strong wind when the elevator doors are opened.
However, Figure 8b also shows that the pressure difference acting on the exterior wall and the entrance doors on 1 F increases. Because depressurization forces a redistribution of pressures among divisions, secondary stack-effect problems such as increased noise and drafts at the entrance door are likely to occur.
Figure 8a,c indicate that depressurization on the first floor reduces the pressure differences acting on the high-rise floors. This reduction is associated with an upward shift in the NPL in the high-rise elevator shaft. The NPL rises because the depressurization on 1 F reduces the air inflow into the shaft, and the vertical pressure balance is re-established at a higher level. Such an upward shift in the NPL can decrease stack-effect problems on the high-rise floors; however, it also reduces the effective pressure difference at 1 F, so the mitigation effect obtained by depressurization on the first floor becomes smaller.
A comparison of Cases 1 and 2 shows that the stronger depressurization applied in Case 2 results in larger variations in pressure differences in each part of the building (Figure 8a–c). Larger variations can mean higher effectiveness in mitigating the problems at the target location, but it should be noted that the possibility of secondary problems due to pressure transfer also increases.

5.2. Effect of Additional Divisions on the First Floor (Cases 3-1 and 3-2)

The effect of additional partitions on the first floor is shown in Figure 9, which compares the base case with Case 3-1 and Case 3-2. Figure 9a presents the NPL height in the high-rise shaft, and Figure 9b,c show the horizontal pressure differences and airflow on 1 F and 40 F, respectively.
Figure 9b shows that installing an additional division at the entrance of the high-rise elevator hall on 1 F (Case 3-1) reduces the pressure difference acting on the high-rise elevator doors on the floor. Because the additional division shares the pressure difference between the high-rise elevator hall and the high-rise elevator shaft, the pressure difference acting on the exterior wall of 1 F also decreases.
However, pressure transfer between elevator shafts can cause secondary problems. In Case 3-1, the additional division is installed only at the entrance of the high-rise elevator hall, and this configuration increases the absolute pressure in the main lobby. As a result, the pressure differences acting on the mid-rise and low-rise elevator doors become larger (Figure 9b), and these doors may suffer from increased noise, strong wind and incomplete closure.
In Case 3-2, additional partitions are installed at the entrances of all elevator halls on 1 F (low-, mid- and high-rise). As shown in Figure 9b, this configuration distributes the pressure differences more evenly among the elevator shafts and the lobby and reduces the pressure differences acting on the mid-rise and low-rise elevator doors compared with Case 3-1. These results emphasize that when an additional division is installed to distribute pressure, pressure transfer on the same partition line, including all shafts connected to that line, must be considered. Figure 9a,c show that the additional divisions on 1 F also reduce the pressure difference acting on the high-rise floors. This occurs because the additional divisions reduce the air inflow into the high-rise elevator shaft, and the NPL moves upward. Such a shift in the NPL helps mitigate stack-effect problems at upper floors but, similar to the depressurization cases, tend to reduce the effectiveness of the additional division in mitigating problems on the first floor.

5.3. Effect of Pressurization on High-Rise Floors (Case 4)

The effect of pressurizing the high-rise elevator halls is presented in Figure 10, which compares the base case with Case 4 (pressurization of the high-rise elevator halls on 37 F–40 F). Figure 10a shows the NPL height in the high-rise shaft, and Figure 10b,c show the horizontal pressure differences and airflow on 1 F and 40 F, respectively.
As shown in Figure 10c, pressurization of the high-rise elevator hall reduces the pressure difference acting on the high-rise elevator doors on the upper floors. However, the pressure difference acting on the doors between the high-rise elevator halls and the interior office spaces increases, because the hall pressure is raised relative to the interior. If the pressure difference acting on these hall doors increases, the air leakage volume through the door gaps also increases, which can result in noise, strong wind during door operation and incomplete door closure.
Figure 10a,b show that, when the high-rise elevator hall is pressurized, the pressure differences acting on each division of 1 F decrease because the NPL in the high-rise shaft moves downward. As the airflow from the shaft into the pressurized halls decreases, the shaft draws relatively more air from lower levels, and the NPL descends. Such a downward shift in the NPL increases the original stack-effect pressure acting on many high-rise floors; thus, the effectiveness of pressurization in mitigating problems is reduced.
In summary, stack-effect problems are mitigated on some floors where the elevator halls are directly pressurized, but the downward movement of the NPL increases the pressure differences and airflow on other floors, particularly non-pressurized floors above the new NPL, so that new secondary problems may occur.

5.4. Effect of Forced Ventilation from the Elevator Shaft (Case 5)

The effect of forced ventilation from the high-rise elevator shaft is shown in Figure 11, which compares the base case with Case 5. In Case 5, the high-rise elevator shaft is connected to the mechanical room on 21 F by a duct in order to exhaust air from the shaft.
Figure 11a shows the NPL height for the base case and Case 5, and Figure 11b,c show the horizontal pressure differences and airflow on 1 F and 40 F, respectively. When separate ventilation is applied through duct, the pressure difference at each division on the high-rise floors, where the countermeasure was intended to mitigate the problems, increase while the pressure differences on 1 F decrease (Figure 11b,c). This behavior is the opposite of the original design intent.
This unexpected result occurs because the NPL of the shaft moves downward (Figure 11a). The downward shift in the NPL indicates that airflow occurs from the mechanical room on 21 F to the high-rise elevator shaft through the duct, rather than from the shaft to the mechanical room. In other words, the duct behaves as an unintended air-supply path. Considering that the ventilation opening was located below the original NPL, this design fails to realize the intended exhaust flow. To achieve forced ventilation from the shaft, the duct connection must be located above the NPL.
Furthermore, if airflow is directly supplied to or exhausted from the elevator shaft to reduce the pressure difference through the movement of the NPL, the vertical pressure distribution changes significantly, which can result in secondary problems in other divisions. When controlling the NPL of an elevator shaft is considered to mitigate stack-effect problems, improvements in airtightness, additional divisions and other measures that restrict airflow in the shaft are more effective than direct supply and exhaust from the shaft in preventing secondary problems.

5.5. Effect of Opening Exterior Windows (Cases 6-1, 6-2, and 6-3)

The effect of opening exterior windows is summarized in Figure 12 and Figure 13. Figure 12a shows the NPL height in the high-rise elevator shaft for the base case and Cases 6-1, 6-2 and 6-3, and Figure 12b,c show the horizontal pressure differences and airflow on 1 F and 40 F, respectively. Figure 13 presents the airflow rate in the high-rise elevator shaft for the same set of cases.
As shown in Figure 12c, when the exterior windows are opened on floors where the high-rise elevator is available (Cases 6-1 and 6-2), the horizontal pressure distribution on those floors changes significantly owing to the change in the leakage area of the exterior wall. As the exterior windows are opened, the relative leakage area of the exterior wall increases on each floor, most of the stack-effect pressure difference that previously acted on exterior wall is transferred to the elevator shaft and elevator hall. Consequently, the pressure differences increase on both the elevator doors and elevator hall doors, which can increase the severity and probability of stack-effect problems.
Figure 12a,b also show that, when windows are opened in the high-rise zone, NPL of the high-rise elevator shaft moves upward, and the pressure differences on 1 F increase. This effect can increase the severity and probability of secondary problems at the entrance level. However, the upward shift in the NPL tends to reduce the pressure differences on certain high-rise floors (Figure 12c), which may reduce the possibility of problems on those specific floors.
In Case 6-3, the exterior windows are open only on other floors where the high-rise elevator is not available. In this case, no significant impact on the service area of the high-rise elevator is indicated in Figure 12b,c. Because each elevator shaft is connected on 1 F and the transfer floors (17 F and 28 F), some pressure transfer between shafts still occurs; however, the changes in the NPL of the high-rise shaft and the resulting pressure differences in each part of the building are relatively small.
Figure 13 shows the air flow rate in the high-rise elevator shaft under the different window-opening conditions. The airflow rate increases dramatically as more exterior windows are opened. When the same number of exterior windows is opened, the increase in airflow is much greater when the windows are opened on high-rise floors (Case 6-2) than when they are opened on lower floors (Case 6-3). This result indicates that window opening within the high-rise service zone strongly enhances the stack effect and airflow through the shaft.
Overall, these results suggest that opening exterior windows under winter conditions not only increases the severity and likelihood of stack-effect problems but also increases uncontrolled air exchange in the building, which is unfavorable from an energy-efficiency perspective. Therefore, especially when stack-effect problems are observed, it is essential to restrict the opening of exterior windows, particularly on floors connected to major vertical shafts, for both effective stack-effect control and energy-efficient building operation.

5.6. Discussion on Limitations and Applicability

The simulations in this study were performed under steady state winter conditions corresponding to the actual case building (indoor 24 °C and outdoor 2.5 °C), with all doors and windows closed. Wind pressure, door opening behavior and active pressure control by the HVAC system were not explicitly modeled. Under these assumptions, the absolute values of pressure difference and airflow would change in other climates, operating conditions or control strategies.
The case building uses a floor-by-floor VAV system that is commissioned so that supply and return airflows are approximately balanced and building pressure is kept close to neutral during normal operation. In this situation, previous studies on tall buildings have reported that stack effect pressure differences are governed mainly by buoyancy and leakage, while mechanical ventilation becomes dominant when there is an intentional imbalance between supply and exhaust airflows or active pressure control. For buildings that operate with unbalanced ventilation, strong wind effects or building pressure control, the quantitative results should therefore be recalculated with an appropriate multizone model.
Even so, the main mechanisms identified in this study remain qualitatively valid. Changes in shaft airflow led to movement of the neutral pressure level, and local countermeasures cause redistribution of pressure between connected compartments. The results suggest that countermeasures should be planned at the scale of the whole building, that neutral pressure level movement should be checked explicitly, and that possible secondary problems due to pressure redistribution should be evaluated on all floors connected to major vertical shafts.

6. Conclusions

This study examined the effectiveness and limitations of local countermeasures that are commonly applied to mitigate stack-effect problems in high-rise buildings. A TDC-based theoretical analysis of vertical and horizontal pressure distributions was combined with a calibrated CONTAM multizone airflow model of a 43-story office building. The model was adjusted using measured pressures and leakage characteristics on a reference floor and then used to evaluate several practical countermeasures, including first-floor depressurization, additional partitions, pressurization of high-rise elevator halls, forced ventilation from the elevator shaft, and opening of exterior windows.
The main findings of this study can be summarized as follows:
(1)
Local countermeasures reduce stack-effect problems at the treated locations, but they also cause pressure redistribution that can generate secondary problems on other floors or in other compartments.
(2)
Local measures generally shift the neutral pressure level (NPL) in the vertical shafts, changing the vertical pressure distribution and often weakening the intended mitigation effect.
(3)
The design of pressure transfer paths (e.g., where pressurization or depressurizations is applied) is critical; if poorly designed, large pressure differences are simply moved to other divisions.
(4)
Effective mitigation requires coordinated measures at both the upper and lower parts of the building, with the number and strength of local measures chosen according to the resulting reduction in shaft airflow, rather than floor-by-floor fixes.
(5)
For NPL control in vertical shafts, it is more robust to restrict airflow using improved airtightness and additional partitions than to rely on direct shaft supply/exhaust, which tends to create large pressure changes and secondary problems.
From a practical standpoint, these findings indicate that stack effect control in high-rise buildings should be addressed at the whole building level from the design stage and that remedial local countermeasures in existing buildings should be evaluated with a multizone model to check possible NPL shifts and secondary pressure redistribution before implementation.
This study also has several limitations. First, the simulations were carried out under a single winter condition corresponding to the actual temperature difference observed in the case building (indoor 24 °C, outdoor 2.5 °C) and under steady-state conditions; dynamic variations in ΔT, wind, and occupancy were not considered. Second, wind pressures were not coupled to the model, and equivalent leakage areas were treated as constant values based on measurements with doors and windows closed, so changes in leakage due to door operation were not explicitly modeled. Third, HVAC interactions were simplified: because the air-conditioning system of the case building was designed so that supply and return airflows are approximately balanced, normal HVAC operation was assumed to have a negligible net effect on building pressurization, and only the additional flows associated with the local countermeasures were included in the simulations. This assumption is consistent with previous analyses of tall buildings operated with balanced ventilation, which report that stack-effect pressure differences are primarily governed by buoyancy and leakage unless deliberate supply–exhaust imbalances are introduced [3,4,5]. However, in buildings that employ active building-pressure control or intentionally unbalanced ventilation, mechanical ventilation could partly compensate for or exacerbate stack-effect pressures and dedicated coupled HVAC–multizone simulations would be required. In addition, no separate validation of simulated airflow rates using tracer gas, anemometry, or blower-door tests was performed; instead, the model was calibrated against measured pressure distributions and leakage characteristics on the reference floor.
Finally, this work is a detailed case study focusing on the high-rise elevator shaft and representative upper and lower floors of a single 43-story office building; more systematic and quantitative design guidelines would require analysis covering a wider range of floors, climates, building types, and shaft configurations, including buildings with multiple elevator shafts serving different zones and their mutual interactions. These issues are left as future research topics, and it is hoped that the present results will provide a practical reference for developing more effective stack-effect countermeasures in high-rise buildings.

Author Contributions

Conceptualization, J.K. and T.H.; methodology, J.K. and T.H.; software, M.-k.H. and T.H.; validation, J.K., M.-k.H. and T.H.; formal analysis, J.K.; investigation, M.-k.H.; resources, J.K. and T.H.; data curation, J.K. and M.-k.H.; writing—original draft preparation, T.H.; writing—review and editing, T.H.; visualization, J.K., M.-k.H. and T.H.; supervision, T.H.; project administration, T.H. All authors have read and agreed to the published version of the manuscript.

Funding

This study was supported by a research fund from Chosun University (K208709001).

Data Availability Statement

The original contributions presented in the study are included in the article; further inquiries can be directed to the corresponding author.

Conflicts of Interest

The authors declare no conflicts of interest.

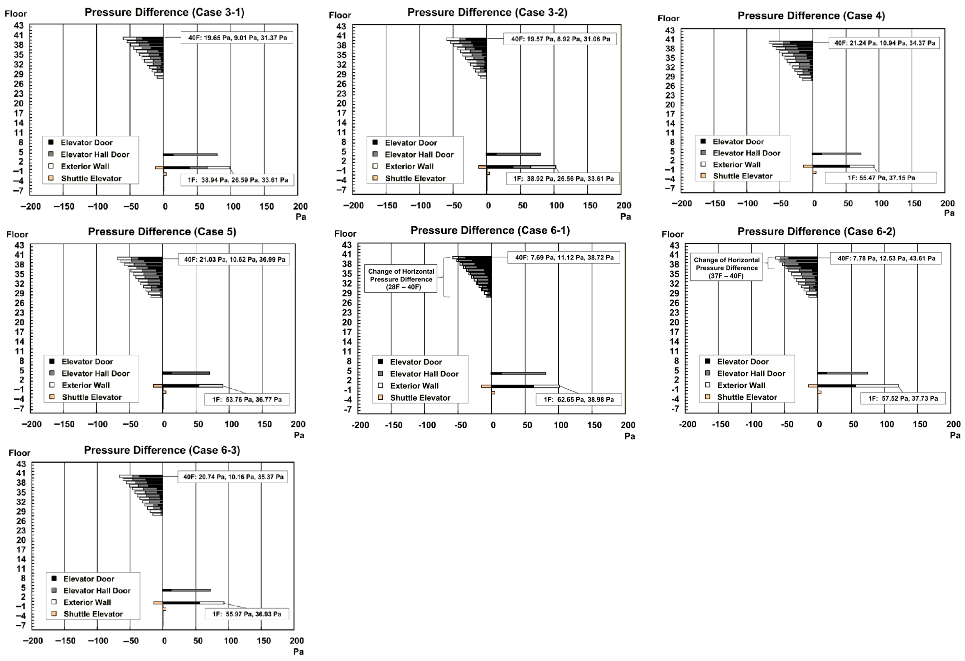
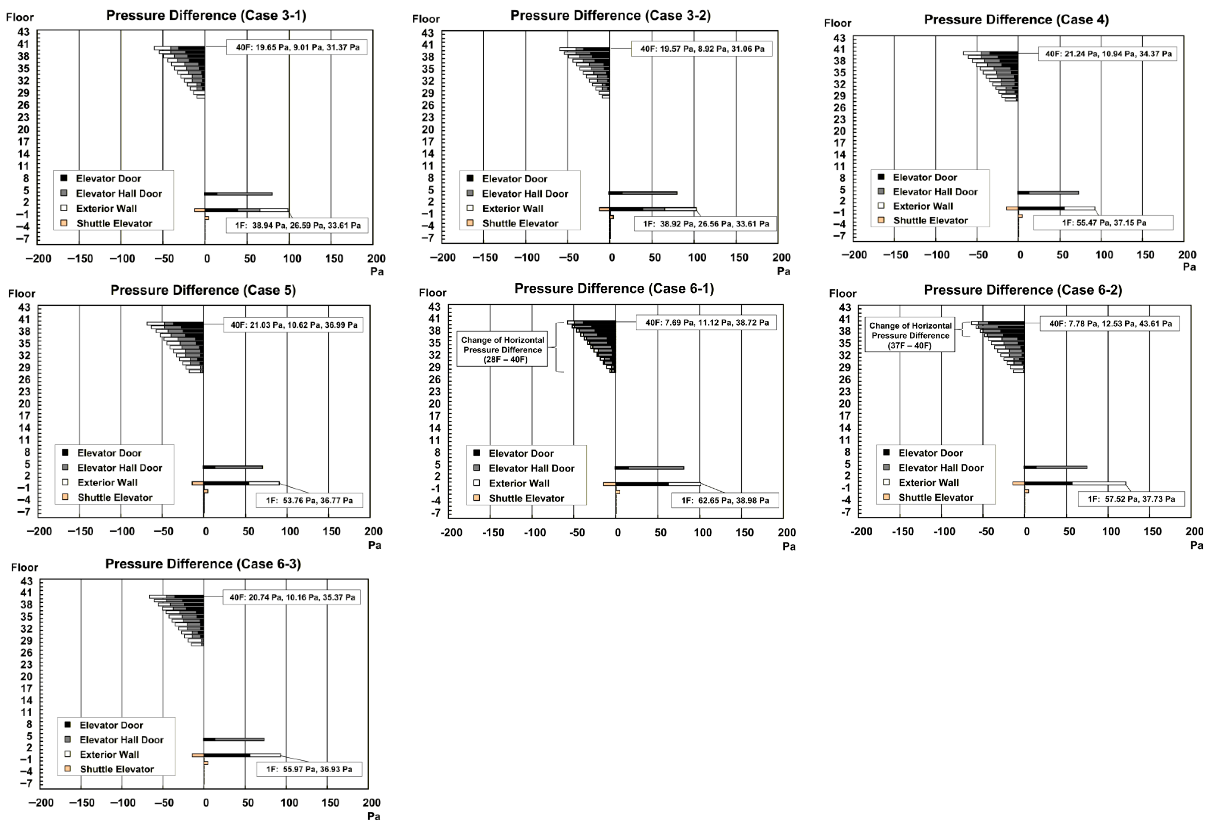
Appendix A

Figure A1 illustrates the vertical pressure differences for each case, and Figure A2 shows the horizontal pressure differences and airflow rates on the 1st and 40th floors.
Figure A1. Vertical distribution of pressure differences by component for each simulation case.
Figure A1. Vertical distribution of pressure differences by component for each simulation case.
Buildings 15 04453 g0a1aBuildings 15 04453 g0a1b
Figure A2. Horizontal pressure differences and airflow rates on 1 F and 40 F for each simulation case.
Figure A2. Horizontal pressure differences and airflow rates on 1 F and 40 F for each simulation case.
Buildings 15 04453 g0a2aBuildings 15 04453 g0a2bBuildings 15 04453 g0a2c

References

  1. Tamura, G.T. Smoke Movement and Control in High-Rise Buildings; National Fire Protection Association: Boston, MA, USA, 1994. [Google Scholar]
  2. Tamura, G.T.; Wilson, A.G. Pressure Differences Caused by Chimney Effect in Three High Buildings; ASHRAE Transactions: Peachtree Corners, GA, USA, 1967; Volume 73 (Part 2). [Google Scholar]
  3. Tamblyn, R.T. HVAC System Effects for Tall Buildings; ASHRAE Transactions: Peachtree Corners, GA, USA, 1991; Volume 97 (Part 1). [Google Scholar]
  4. Tamblyn, R.T. HVAC System Effects for Tall Buildings; ASHRAE Transactions: Peachtree Corners, GA, USA, 1993; Volume 99, (Part 2). [Google Scholar]
  5. Klote, J.H.; Milke, J.A.; Turnbull, P.G.; Kashef, A.; Ferreira, M.J. Handbook of Smoke Control Engineering; American Society of Heating, Refrigerating and Air-Conditioning Engineers: Atlanta, GA, USA, 2012. [Google Scholar]
  6. Klote, J.H.; Milke, J.A. Principles of Smoke Management; American Society of Heating, Refrigerating and Air-Conditioning Engineers: Atlanta, GA, USA, 2002. [Google Scholar]
  7. Klote, J.H.; Milke, J.A. Design of Smoke Management Systems; American Society of Heating, Refrigerating, and Air-Conditioning Engineers, Inc., and Society of Fire Protection Engineers: Atlanta, GA, USA, 1992; p. 47. [Google Scholar]
  8. Miller, R.S.; Beasley, D. On Strairwell and Elevator Shaft Pressurization for Smoke Control in Tall Building. Build. Environ. 2009, 44, 1306–1317. [Google Scholar] [CrossRef]
  9. Tamura, G.T.; Shaw, C.Y. Studies on Exterior Wall Air Tightness and Air Infiltration of Tall Buildings; ASHRAE Transactions: Peachtree Corners, GA, USA, 1973; Volume 82 (Part 1), pp. 122–134. [Google Scholar]
  10. Tamura, G.T.; Shaw, C.Y. Air Leakage Data for the Design of Elevator and Stair Shaft Pressurization Systems; ASHRAE Transactions: Peachtree Corners, GA, USA, 1976; Volume 82 (Part 2), pp. 179–190. [Google Scholar]
  11. Hung, H.Y.; Lin, C.Y.; Chuang, Y.J.; Luan, C.P. Application Development of Smoke Leakage Test Apparatus for Door Sets in the Field. Fire 2022, 5, 12. [Google Scholar] [CrossRef]
  12. Persily, A.K.; Grot, R.A. Pressurization Testing of Federal Buildings, Measured Air Leakage of Buildings; ASTM STP 904; American Society for Testing and Materials: Philadelphia, PA, USA, 1986; p. 184. [Google Scholar]
  13. Rolfsmeier, S.; Mairinger, E.; Neubig, J.; Gayer, T. Measuring Airtightness of High-Rise Buildings: Lessons Learned. Buildings 2025, 15, 724. [Google Scholar] [CrossRef]
  14. Tamura, G.T. Assessment of Stair Pressurization Systems for Smoke Control; ASHRAE Transactions: Peachtree Corners, GA, USA, 1992; Volume 98, pp. 1–7. [Google Scholar]
  15. Tamura, G.T. Stair Pressurization Systems for Smoke Control: Design Considerations; ASHRAE Transactions: Peachtree Corners, GA, USA, 1989; pp. 184–192. [Google Scholar]
  16. Wang, Y.; Gao, F. Test of Stairwell Pressurization Systems for Smoke Control in a High-Rise Building; ASHRAE Transactions: Peachtree Corners, GA, USA, 2004; Volume 110, pp. 185–192. [Google Scholar]
  17. Tamura, G.T.; Shaw, C.Y. Experimental Studies on Mechanical Venting for Smoke Control in Tall Office Buildings; ASHRAE Transactions: Peachtree Corners, GA, USA, 1978; Volume 84 (Part 1), pp. 54–71. [Google Scholar]
  18. Clark, J.A.; Buckley, P.E. The Evolution of Pressurized Stairwells; ASHRAE Transactions: Peachtree Corners, GA, USA, 1995; Volume 101, pp. 1001–1005. [Google Scholar]
  19. Kim, J.Y.; Shin, H.J.; Ahn, C.S.; Kim, J.S.; Joo, S.H. Development of the Separate Air-Supply Type of Pressurization Smoke Control System for the Stairwells of High-Rise Buildings in Korea. Open J. Fluid Dyn. 2014, 4, 251–262. [Google Scholar] [CrossRef][Green Version]
  20. Bellido, C.; Quiroz, A.; Panizo, A.; Torero, J.L. Performance Assessment of Pressurized Stairs in High-rise Building. Fire Technol. 2009, 45, 189–200. [Google Scholar] [CrossRef]
  21. Black, W.Z. COSMO-Software for Designing Smoke Control Systems in High-rise Building. Fire Saf. J. 2010, 45, 337–348. [Google Scholar] [CrossRef]
  22. Bennetts, I.D.; Thomas, I.R. Designing against Fire. Electron. J. Struct. Eng. 2007, 1, 9–21. [Google Scholar] [CrossRef]
  23. Yu, J.; Song, K.; Cho, D. Resolving Stack Effect Problems in a High-Rise Office Building by Mechanical Pressurization. Sustainability 2017, 9, 1731. [Google Scholar] [CrossRef]
  24. Park, D.R.; Lee, J.H.; Song, D.S. A study on the reduction strategies of stack effect in high-rise residential buildings. In Proceedings of the International Conference on Sustainable Building Asia, Seoul, Republic of Korea, 27–29 June 2007. [Google Scholar]
  25. Li, Y.; Zhu, N.; Hou, Y. Multi-Criteria Decision-Making of Countermeasure Combination for Mitigating the Stack Effect in High-Rise Office Building. Buildings 2023, 13, 653. [Google Scholar] [CrossRef]
  26. Xu, H.; Su, L.; Lou, W.; Shan, H. Combined Effects of Thermal Buoyancy, Wind Action, and State of the First-Floor Lobby Entrance on the Pressure Difference in a High-Rise Building. Energies 2024, 17, 2117. [Google Scholar] [CrossRef]
  27. EN 12599:2013; Ventilation for Buildings. Test Procedures and Measurement Methods to Hand Over Air Conditioning and Ventilation Systems. CEN: Brussels, Belgium, 2013.
  28. EN 1634-1:2009; Fire Resistance and Smoke Control Tests for Door, Shutter and Openable Window Assemblies and Elements of Building Hardware. Part 1: Fire Resistance Tests for Doors, Shutters and Openable Windows. CEN: Brussels, Belgium, 2009.
  29. EN 13501-2:2008; Fire Classification of Construction Products and Building Elements. Part 2: Classification Using Data from Fire Resistance Tests, Excluding Ventilation Services. CEN: Brussels, Belgium, 2008.
  30. EN 14600:2005; Doorsets and Openable Windows with Fire Resisting and/or Smoke Control Characteristics. Requirements and Classification. CEN: Brussels, Belgium, 2005.
  31. EN ISO 9972:2016; Thermal Performance of Buildings. Determination of Air Permeability of Buildings. Fan Pressurization Method (ISO 9972:2015). CEN: Brussels, Belgium, 2015.
Figure 1. Methodological framework of the study, combining TDC-based theoretical analysis of vertical and horizontal pressure distribution (Method 1) with measurement-calibrated CONTAM multizone simulation of a 43-story office building (Method 2) to evaluate NPL movement and inter-compartment pressure redistribution under local stack-effect countermeasures.
Figure 1. Methodological framework of the study, combining TDC-based theoretical analysis of vertical and horizontal pressure distribution (Method 1) with measurement-calibrated CONTAM multizone simulation of a 43-story office building (Method 2) to evaluate NPL movement and inter-compartment pressure redistribution under local stack-effect countermeasures.
Buildings 15 04453 g001
Figure 2. Vertical pressure differences.
Figure 2. Vertical pressure differences.
Buildings 15 04453 g002
Figure 3. Horizontal pressure differences.
Figure 3. Horizontal pressure differences.
Buildings 15 04453 g003
Figure 4. Section and floor plans of the target building: (a) longitudinal section; (b) first-floor plan showing the main entrances and elevator halls; (c) 40th-floor plan showing the office zone and the high-rise elevator hall and shaft.
Figure 4. Section and floor plans of the target building: (a) longitudinal section; (b) first-floor plan showing the main entrances and elevator halls; (c) 40th-floor plan showing the office zone and the high-rise elevator hall and shaft.
Buildings 15 04453 g004
Figure 5. Layout and equipment for pressure and air-leakage measurements on the reference floor (40 F).
Figure 5. Layout and equipment for pressure and air-leakage measurements on the reference floor (40 F).
Buildings 15 04453 g005
Figure 6. CONTAM multizone model of the target building: (a) first-floor (lobby, entrances and elevator halls); (b) 40th-floor (office zone and high-rise elevator hall and shaft).
Figure 6. CONTAM multizone model of the target building: (a) first-floor (lobby, entrances and elevator halls); (b) 40th-floor (office zone and high-rise elevator hall and shaft).
Buildings 15 04453 g006
Figure 13. Airflow rate in the high-rise elevator shaft for the base case and window-opening cases (Cases 6-1, 6-2 and 6-3).
Figure 13. Airflow rate in the high-rise elevator shaft for the base case and window-opening cases (Cases 6-1, 6-2 and 6-3).
Buildings 15 04453 g013
Table 1. Boundary conditions and calibrated air-leakage areas for the base-case simulation.
Table 1. Boundary conditions and calibrated air-leakage areas for the base-case simulation.
ItemsContents
Indoor temperature24 °C (Design value)
Outdoor temperature2.5 °C (Measured value)
Parking area temperature15 °C (Measured value)
Air-leakage areasExterior wall: 2.3 cm2/m2 (measured value)
Revolving door: 73 CMH at 50 Pa
Automatic door: 22 cm2/item
Swing door (double): 200 cm2/item
Swing door (single): 21 cm2/item
Elevator door for lower floors: 100 or 700 cm2/item
Elevator door for middle floors: 200 cm2/item
Elevator door for upper floors: 92–268 cm2/item
Emergency elevator hall door: 200 cm2/item
Elevator hall door for lower floors: 544 cm2/item
Elevator hall door for middle floors: 200 or 496.6 cm2/item
Elevator hall door for upper floors: 245–268 cm2/item
Staircase door: EqLA10 120 cm2/item (measured value)
Doors and windowsClosed
Table 2. Selection of local countermeasures and corresponding simulation cases.
Table 2. Selection of local countermeasures and corresponding simulation cases.
PurposeLocal CountermeasuresSimulation CasesFigure Related to Case
--Basic case-
Decreasing noise at the high-rise elevator hall on 1 F5000 CMH air exhaust from 1 F high-rise elevator hall to public aisle to reduce the pressure difference at the 1 F elevator doorCase 1Figure 7a
Additional air exhaust from lobby with the HVAC system (70,000 CMH supply, 89,740 CMH exhaust)Case 2-
Application of an additional partition to the 1 F high-rise elevator hall for dividing the pressure differenceCase 3-1Figure 7b
Application of additional partitions to all elevator halls on 1 F for dividing the pressure differenceCase 3-2Figure 7c
Decreasing noise at the high-rise elevator hall and strong wind when opening the elevator door on 40 FAdditional air supply to the 37 F–40 F elevator halls with the HVAC system (100 CMH supply to each floor)Case 4Figure 7d
Air exhaust from the high-rise elevator shaft to the 21 F mechanical room through a duct Case 5Figure 7e
Evaluating the influence of opening exterior windows (additional consideration on stack effect problems)Opening envelope 4 windows on 6 F–40 F
(window size: 0.32 m × 1.67 m)
Case 6-1
Opening envelope 4 windows on 37 F–40 F
(Window size: 0.32 m × 1.67 m)
Case 6-2-
Opening envelope 4 windows on 6 F–9 F
(Window size: 0.32 m × 1.67 m)
Case 6-3-
Disclaimer/Publisher’s Note: The statements, opinions and data contained in all publications are solely those of the individual author(s) and contributor(s) and not of MDPI and/or the editor(s). MDPI and/or the editor(s) disclaim responsibility for any injury to people or property resulting from any ideas, methods, instructions or products referred to in the content.

Share and Cite

MDPI and ACS Style

Hwang, T.; Hwang, M.-k.; Kim, J. Reduction Characteristics of Stack-Effect Problems According to Applying Local Countermeasures by Pressure Distribution Measurement in Buildings. Buildings 2025, 15, 4453. https://doi.org/10.3390/buildings15244453

AMA Style

Hwang T, Hwang M-k, Kim J. Reduction Characteristics of Stack-Effect Problems According to Applying Local Countermeasures by Pressure Distribution Measurement in Buildings. Buildings. 2025; 15(24):4453. https://doi.org/10.3390/buildings15244453

Chicago/Turabian Style

Hwang, Taeyon, Min-ku Hwang, and Joowook Kim. 2025. "Reduction Characteristics of Stack-Effect Problems According to Applying Local Countermeasures by Pressure Distribution Measurement in Buildings" Buildings 15, no. 24: 4453. https://doi.org/10.3390/buildings15244453

APA Style

Hwang, T., Hwang, M.-k., & Kim, J. (2025). Reduction Characteristics of Stack-Effect Problems According to Applying Local Countermeasures by Pressure Distribution Measurement in Buildings. Buildings, 15(24), 4453. https://doi.org/10.3390/buildings15244453

Note that from the first issue of 2016, this journal uses article numbers instead of page numbers. See further details here.

Article Metrics

Back to TopTop