Sign in to use this feature.

Years

Between: -

Subjects

remove_circle_outline
remove_circle_outline
remove_circle_outline
remove_circle_outline
remove_circle_outline
remove_circle_outline

Journals

Article Types

Countries / Regions

Search Results (40)

Search Parameters:
Keywords = nitrogen heterocyclic ligands

Order results
Result details
Results per page
Select all
Export citation of selected articles as:
23 pages, 11065 KB  
Article
Eco-Friendly Coordination Polymers with Incorporated Nitrogen-Rich Heterocyclic Ligand and Their Hybrids with Gold Nanostructures for Catalytic Conversion of Carbon Dioxide
by Kinga Wasiluk, Gabriela Kopacka, Michał Kopyt, Piotr Kwiatkowski, Pawel W. Majewski and Elżbieta Megiel
Molecules 2025, 30(24), 4777; https://doi.org/10.3390/molecules30244777 - 15 Dec 2025
Viewed by 410
Abstract
This paper demonstrates the successful synthesis of novel hybrid heterogeneous catalysts for the sustainable conversion of CO2 into cyclic organic carbonates (COCs). The nanocat-alysts have been fabricated by encapsulating pre-formed ultra-small gold nanostructures into a nascent zinc-coordination polymer (ZnCP) framework formed from [...] Read more.
This paper demonstrates the successful synthesis of novel hybrid heterogeneous catalysts for the sustainable conversion of CO2 into cyclic organic carbonates (COCs). The nanocat-alysts have been fabricated by encapsulating pre-formed ultra-small gold nanostructures into a nascent zinc-coordination polymer (ZnCP) framework formed from two organic building blocks, 2,4-naphthalenedicarboxylic acid (1,4-NDC) and 5-amino-1H-tetrazole (5-Atz), which serves as a nitrogen-rich ligand. Applying the fabricated catalysts in the synthesis of COCs yields high yields (up to 97%) and high selectivity (up to 100%), with exceptionally high turnover frequencies (TOFs) (up to 408 h−1). The catalytic process can be carried out under mild conditions (80 °C, 1.5 MPa CO2) and without the use of solvents. Nitrogen-rich ligand molecules in the structure of ZnCPs enhance catalytic performance thanks to additional nucleophilic centres, which are effective in the epoxides’ ring-opening process. The hybrid catalysts with encapsulated gold nanostructures, which modify the liquid–gas interface between epoxide and CO2, give significantly higher yields and TOFs for less active epoxides. The designed hybrid nanocatalysts exhibit superior stability under the studied reaction conditions and can be reused without loss of activity. The developed coordination polymers are constructed from green components, and green chemistry principles are applied to prepare these catalytic materials. Full article
(This article belongs to the Section Green Chemistry)
Show Figures

Graphical abstract

66 pages, 6861 KB  
Review
Catalytic Application of Ionic Liquids for the Green Synthesis of Aromatic Five-Membered Nitrogen Heterocycles
by Jaya Dwivedi, Shivangi Jaiswal, Devesh U. Kapoor and Swapnil Sharma
Catalysts 2025, 15(10), 931; https://doi.org/10.3390/catal15100931 - 1 Oct 2025
Cited by 2 | Viewed by 2194
Abstract
Five-membered nitrogen heterocycles exhibit a diverse range of applications across various fields, including medicine, agrochemicals, and materials science. Worldwide industries have exploited hazardous organic solvents and catalysts to afford key bioactive heterocycles, which in turn have a devastating impact on the aqueous environment. [...] Read more.
Five-membered nitrogen heterocycles exhibit a diverse range of applications across various fields, including medicine, agrochemicals, and materials science. Worldwide industries have exploited hazardous organic solvents and catalysts to afford key bioactive heterocycles, which in turn have a devastating impact on the aqueous environment. The tremendous rise in environmental contamination has shifted the focus of the scientific community towards sustainable alternatives. In line with this, ionic liquids have received the attention of investigators and are widely preferred in organic transformations as catalysts, solvents, ligands, and co-catalysts. Ionic liquids exhibit superior physicochemical properties, such as non-volatility, excellent conductivity, low vapour pressure, non-flammability, and electrochemical and thermal stability, thereby emerging as a clean and efficient alternative to the hazardous volatile organic solvents. The ionic-liquid-assisted synthetic approach has become a popular, greener method owing to high efficiency and product yield with notable purity. Thus, the present article aimed at highlighting catalytic applications of ionic liquids in the synthesis of aromatic five-membered nitrogen heterocycles such as pyrrole, pyrazole, imidazole, 1,2,3-triazole, 1,2,4-triazole, and tetrazole. This article will provide an insight into ionic liquids for their further exploration in organic transformations and related applications. Full article
Show Figures

Figure 1

15 pages, 1765 KB  
Article
Proton and Metal Dication Affinities of Tetracyclic Imidazo[4,5-b]Pyridine-Based Molecules: Insights from Mass Spectrometry and DFT Analysis
by Lucija Vrban, Ingrid Ana Martinac, Marijana Hranjec, Marijana Pocrnić, Nives Galić, Renata Kobetić and Robert Vianello
Molecules 2025, 30(13), 2684; https://doi.org/10.3390/molecules30132684 - 21 Jun 2025
Viewed by 2197
Abstract
The imidazo[4,5-b]pyridine scaffold, a versatile heterocyclic system, is renowned for its biological and chemical significance, yet its coordination chemistry with biologically relevant metal dications remains underexplored. This study investigates the proton and metal dication affinities of twelve tetracyclic organic molecules based [...] Read more.
The imidazo[4,5-b]pyridine scaffold, a versatile heterocyclic system, is renowned for its biological and chemical significance, yet its coordination chemistry with biologically relevant metal dications remains underexplored. This study investigates the proton and metal dication affinities of twelve tetracyclic organic molecules based on the imidazo[4,5-b]pyridine core, focusing on their interactions with Ca(II), Mg(II), Zn(II), and Cu(II). Employing a dual approach of electrospray ionization mass spectrometry (ESI-MS) and density functional theory (DFT) calculations, we characterized the formation, stability, and structural features of metal–ligand complexes. ESI-MS revealed distinct binding behaviors, with Cu(II) and Zn(II) forming stable mono- and dinuclear complexes, often accompanied by reduction processes (e.g., Cu(II) to Cu(I)), while Ca(II) and Mg(II) exhibited lower affinities. DFT analysis elucidated the electronic structures and thermodynamic stabilities, highlighting the imidazole nitrogen as the primary binding site and the influence of regioisomeric variations on affinity. Substituent effects were found to modulate binding strength, with electron-donating groups enhancing basicity and metal coordination. These findings provide a comprehensive understanding of the coordination chemistry of imidazo[4,5-b]pyridine derivatives, offering insights into their potential applications in metalloenzyme modulation, metal-ion sensing, and therapeutic chelation. Full article
(This article belongs to the Section Organic Chemistry)
Show Figures

Figure 1

18 pages, 1939 KB  
Article
Adaptation of the Mitsunobu Reaction for Facile Synthesis of Dorsomorphin-Based Library
by Daria Novikova, Svetlana Vorona, Anastasiya Zenina, Tatyana Grigoreva and Vyacheslav Tribulovich
Molecules 2025, 30(11), 2258; https://doi.org/10.3390/molecules30112258 - 22 May 2025
Cited by 1 | Viewed by 1517
Abstract
Pyrazolo[1,5-a]pyrimidine is a nitrogen-containing fused heterocycle that imitates the nitrogenous base adenine with varying degrees of reliability. This fact determines its frequent use in drug design, including the development of ATP-competitive kinase inhibitors. These include dorsomorphin which shows compromised kinase selectivity but is [...] Read more.
Pyrazolo[1,5-a]pyrimidine is a nitrogen-containing fused heterocycle that imitates the nitrogenous base adenine with varying degrees of reliability. This fact determines its frequent use in drug design, including the development of ATP-competitive kinase inhibitors. These include dorsomorphin which shows compromised kinase selectivity but is still widely used as an AMPK inhibitor. ATP-binding pockets of many proteins have a fairly conservative spatial structure and there is a high probability of obtaining a compound with low target selectivity during drug development. In the case of a common scaffold, the careful selection of side substituents that determine the activity and selectivity of the final compound plays an important role. In this work, a convergent strategy for the synthesis of dorsomorphin and its close analogs was developed and implemented. The resulting small series of compounds is distinguished by the maximum possible diversification and allows for an assessment of the biological activity towards AMPK. An original route to obtain variants of the phenoxy-alkylamine moiety of dorsomorphin via the Mitsunobu reaction will be useful for generating targeted-focused libraries of ATP-competitive kinase inhibitors and highly active receptor ligands. Full article
(This article belongs to the Special Issue New Insights into Kinase Inhibitors II)
Show Figures

Figure 1

21 pages, 16026 KB  
Review
Recent Advances in Catalytic Atroposelective Synthesis of Axially Chiral Quinazolinones
by Yilin Liu, Jiaoxue Wang, Yanli Yin and Zhiyong Jiang
Catalysts 2025, 15(5), 426; https://doi.org/10.3390/catal15050426 - 27 Apr 2025
Cited by 1 | Viewed by 2238
Abstract
Quinazolinones, a class of nitrogen-containing heterocyclic compounds, occupy a crucial position in medicinal chemistry and materials science due to their significant application potential. In recent years, the catalytic asymmetric synthesis of axially chiral quinazolinones has emerged as a prominent research area, driven by [...] Read more.
Quinazolinones, a class of nitrogen-containing heterocyclic compounds, occupy a crucial position in medicinal chemistry and materials science due to their significant application potential. In recent years, the catalytic asymmetric synthesis of axially chiral quinazolinones has emerged as a prominent research area, driven by their prospective applications in the development of bioactive molecules, design of chiral ligands, and fabrication of functional materials. This review comprehensively summarizes recent advancements in the catalytic asymmetric synthesis of axially chiral quinazolinones, with a particular focus on the construction strategies for the three major structural types: the C–N axis, N–N axis, and C–C axis. Key synthetic methodologies, including atroposelective halogenation, kinetic resolution, condensation–oxidation, and photoredox deracemization, are discussed in detail. In addition, the review provides an in-depth analysis of the applications of various catalytic systems, such as peptide catalysis, enzymatic catalysis, metal catalysis, chiral phosphoric acid catalysis, and others. Despite the substantial progress made thus far, several challenges remain, including the expansion of the substrate scope, enhanced control over stereoselectivity, and further exploration of practical applications, such as drug discovery and asymmetric catalysis. These insights are expected to guide future research towards the development of novel synthetic strategies, the diversification of structural variants, and a comprehensive understanding of their biological activities and catalytic functions. Ultimately, this will foster the continued growth and evolution of this rapidly advancing field. Full article
(This article belongs to the Special Issue Recent Catalysts for Organic Synthesis)
Show Figures

Figure 1

26 pages, 5375 KB  
Review
Innovative Syntheses and Reactivity of Propiolamidines
by Carlos Ginés, Blanca Parra-Cadenas, Fernando Carrillo-Hermosilla and David Elorriaga
Molecules 2025, 30(3), 708; https://doi.org/10.3390/molecules30030708 - 5 Feb 2025
Cited by 2 | Viewed by 1591
Abstract
Polydentate ligands with nitrogen donor atoms have possibly given rise to the largest group of coordination complexes described. Among these ligands, amidinates represent a nitrogenated version of carboxylates and allow the formation of complexes with most elements in the periodic table, adopting chelate [...] Read more.
Polydentate ligands with nitrogen donor atoms have possibly given rise to the largest group of coordination complexes described. Among these ligands, amidinates represent a nitrogenated version of carboxylates and allow the formation of complexes with most elements in the periodic table, adopting chelate or bridge coordination modes. The precursors of these ligands, amidines, can present an alkynyl group as the substituent of their central atom, R′N=C(C≡CR)NHR′, which provides an additional point of reactivity for these molecules, as well as a different electronic behavior compared to conventional amidines with alkyl groups on the central carbon atom of the amidine group. These propiolamidines have been obtained through classical stoichiometric organic synthesis procedures or, with greater atomic economy, through catalytic procedures based on Main Group, Transition, or Rare Earth metals. This work reviews these synthesis methods, as well as the reactivity in the obtention of new, more complex heterocyclic organic molecules. Full article
Show Figures

Scheme 1

35 pages, 9810 KB  
Review
2-Guanidinobenzimidazole as Ligand in Supramolecular, Coordination and Organometallic Chemistry
by Itzia I. Padilla-Martínez, Alejandro Cruz and Efrén V. García-Báez
Int. J. Mol. Sci. 2025, 26(3), 1063; https://doi.org/10.3390/ijms26031063 - 26 Jan 2025
Cited by 1 | Viewed by 1909
Abstract
The benzimidazole core (BI) plays a central role in biologically active molecules. The BI nucleus is widely used as a building block to generate a variety of bioactive heterocyclic compounds to be used as antihelmintics, antiprotozoal, antimalarials, anti-inflammatories, antivirals, antimicrobials, antiparasitics, and antimycobacterials. [...] Read more.
The benzimidazole core (BI) plays a central role in biologically active molecules. The BI nucleus is widely used as a building block to generate a variety of bioactive heterocyclic compounds to be used as antihelmintics, antiprotozoal, antimalarials, anti-inflammatories, antivirals, antimicrobials, antiparasitics, and antimycobacterials. A versatile BI derivative is the 2-guanidinobenzimidazole (2GBI), which, together with its derivatives, is a very interesting poly-functional planar molecule having a delocalised 10 π electrons system conjugated with the guanidine group. The 2GBI molecule has five nitrogen atoms containing five labile N–H bonds, which interact with the out-ward-facing channel entrance, forming a labile complex with the biological receptor sites. In this work, 2GBI and their derivatives were analyzed as ligands to form host–guest, coordination and organometallic complexes. Synthesis methodology, metal geometries, hydrogen bonding (HB) interactions, and the biological activities of the complexes were discussed. Full article
(This article belongs to the Section Biochemistry)
Show Figures

Figure 1

16 pages, 6760 KB  
Review
Recent Developments in the Metal-Catalyzed Synthesis of Nitrogenous Heterocyclic Compounds
by Xueguo Zhang, Wenxuan Bi, Zhenyu Cao, Jian Shen and Baohua Chen
Molecules 2024, 29(22), 5458; https://doi.org/10.3390/molecules29225458 - 19 Nov 2024
Cited by 6 | Viewed by 3861
Abstract
Metal-catalyzed cyclization reactions have become a powerful and efficient approach for the stereoselective construction of both carbocyclic and heterocyclic ring systems. Transition metal complexes, with their ability to activate and selectively functionalize organic substrates, have revolutionized various areas of synthetic chemistry. This review [...] Read more.
Metal-catalyzed cyclization reactions have become a powerful and efficient approach for the stereoselective construction of both carbocyclic and heterocyclic ring systems. Transition metal complexes, with their ability to activate and selectively functionalize organic substrates, have revolutionized various areas of synthetic chemistry. This review highlights recent advancements in metal-catalyzed cyclization reactions, especially in the synthesis of nitrogen-containing heterocycles like imidazoles, pyridines, pyrimidines, and indoles. These advancements have significantly impacted fields such as natural product synthesis, pharmaceuticals, functional materials, and organic electronics. Novel catalytic systems, ligand designs, and reaction conditions continue to expand the capabilities of these reactions, driving further the progress made in synthetic organic chemistry. This review provides a comprehensive overview of recent research. Full article
(This article belongs to the Special Issue Featured Reviews in Organic Chemistry 2024)
Show Figures

Graphical abstract

15 pages, 4410 KB  
Article
Synthesis, Structure, and Properties of a Copper(II) Binuclear Complex Based on Trifluoromethyl Containing Bis(pyrazolyl)hydrazone
by Olga G. Shakirova, Tatiana D. Morozova, Yulia S. Kudyakova, Denis N. Bazhin, Natalia V. Kuratieva, Lyubov S. Klyushova, Alexander N. Lavrov and Lyudmila G. Lavrenova
Int. J. Mol. Sci. 2024, 25(17), 9414; https://doi.org/10.3390/ijms25179414 - 30 Aug 2024
Cited by 7 | Viewed by 2289
Abstract
A new complex of copper(II) with methyl-5-(trifluoromethyl)pyrazol-3-yl-ketazine (H2L) was synthesized with the composition [Cu2L2]∙C2H5OH (1). Recrystallization of the sample from DMSO yielded a single crystal of the composition [Cu2L [...] Read more.
A new complex of copper(II) with methyl-5-(trifluoromethyl)pyrazol-3-yl-ketazine (H2L) was synthesized with the composition [Cu2L2]∙C2H5OH (1). Recrystallization of the sample from DMSO yielded a single crystal of the composition [Cu2L2((CH3)2SO)] (2). The coordination compounds were studied by single-crystal X-ray diffraction analysis, IR spectroscopy, and static magnetic susceptibility method. The data obtained indicate that the polydentate ligand is coordinated by both acyclic nitrogen and heterocyclic nitrogen atoms. The cytotoxic activity of the ligand and complex 1 was investigated on human cell lines MCF7 (breast adenocarcinoma), Hep2 (laryngeal carcinoma), A549 (lung carcinoma), HepG2 (hepatocellular carcinoma), and MRC5 (non-tumor lung fibroblasts). The complex was shown to have a pronounced dose-dependent cytotoxicity towards these cell lines with LC50 values in the range of 0.18–4.03 μM. Full article
Show Figures

Figure 1

12 pages, 4207 KB  
Article
The Synthesis and Crystallographic Characterization of Emissive Pt(II) and Au(I) Compounds Exploiting the 2-Ethynylpyrimidine Ligand
by Sarah L. McDarmont, Mary Jo McCormick, Paul S. Wagenknecht, Lily E. Duplooy, Jared A. Pienkos and Colin D. McMillen
Crystals 2024, 14(7), 587; https://doi.org/10.3390/cryst14070587 - 26 Jun 2024
Cited by 1 | Viewed by 1797
Abstract
The luminescent properties of Au(I) and Pt(II) compounds are commonly tuned by exploiting the alkynyl ligand with varying electron density. Herein, we describe the synthesis of three new emissive transition metal compounds, tbpyPt(C2pym)2, Ph3PAuC2pym, [...] Read more.
The luminescent properties of Au(I) and Pt(II) compounds are commonly tuned by exploiting the alkynyl ligand with varying electron density. Herein, we describe the synthesis of three new emissive transition metal compounds, tbpyPt(C2pym)2, Ph3PAuC2pym, and Cy3PAuC2pym (where HC2pym = 2-ethynylpyrimidine), verified by 1H-NMR, EA, and a single-crystal X-ray diffraction analysis. The tbpyPt(C2pym)2 complex crystallized as an Et2O solvate in the orthorhombic space group Pbca with Z = 24 with three unique Pt(II) species within the unit cell. The Cy3PAuC2pym species crystallizes in a monoclinic space group with one unique complex in the asymmetric unit. Changing the identity of the phosphine from Cy3P to Ph3P influences interactions within the unit cell. Ph3PAuC2pym, which also crystalizes in a monoclinic space group, has an aurophilic bonding interaction Au–Au distance of 3.0722(2) Å, which is not present in crystalline Cy3PAuC2pym. Regarding optical properties, the use of an electron-deficient heterocycle provides an alternate approach to blue-shifting the emission of Pt(II) transition metals’ compounds, where the aryl moiety is made more electron-deficient by exploiting nitrogen within this moiety instead of the typical strategy of decorating the aryl ring with electron withdrawing substituents (e.g., fluorines). This is indicated by the blue-shift in emission that occurs in tbpyPt(C2pym)2max, emission = 512 nm) compared to the previously reported tbpyPt(C22-py)2 (where HC22-py = 2-ethynylpyridine) complex (λmax, emission = 520 nm). Full article
Show Figures

Figure 1

19 pages, 2962 KB  
Review
Homogeneous Non-Metallocene Group 4 Metals Ligated with [N,N] Bidentate Ligand(s) for Olefin Polymerization
by Zhao Wen, Changjiang Wu, Jian Chen, Shuzhang Qu, Xinwei Li and Wei Wang
Polymers 2024, 16(3), 406; https://doi.org/10.3390/polym16030406 - 1 Feb 2024
Cited by 6 | Viewed by 3675
Abstract
The development of catalysts has significantly advanced the progress of polyolefin materials. In particular, group 4 (Ti, Zr, Hf) non-metallocene catalysts ligated with [N,N] bidentate ligand(s) have garnered increasing attention in the field of olefin polymerization due to their structurally stability and exceptional [...] Read more.
The development of catalysts has significantly advanced the progress of polyolefin materials. In particular, group 4 (Ti, Zr, Hf) non-metallocene catalysts ligated with [N,N] bidentate ligand(s) have garnered increasing attention in the field of olefin polymerization due to their structurally stability and exceptional polymerization behaviors. Ligands containing nitrogen donors are diverse and at the core of many highly active catalysts. They mainly include amidine, guanidinato, diamine, and various N-heterocyclic ligands, which can be used to obtain a series of new polyolefin materials, such as ultrahigh molecular weight polyethylene (UHWMPE), olefin copolymers (ethylene/norbornene and ethylene/α-olefin) with high incorporations, and high isotactic or syndiotactic polypropylene after coordination with group 4 metals and activation by cocatalysts. Herein, we focus on the advancements and applications of this field over the past two decades, and introduce the catalyst precursors with [N,N] ligand(s), involving the effects of ligand structure, cocatalyst selection, and polymerization conditions on the catalytic activity and polymer properties. Full article
(This article belongs to the Section Polymer Chemistry)
Show Figures

Figure 1

19 pages, 3156 KB  
Article
NMR “Finger Prints” of N-Heterocyclic Carbenes, DFT Analysis: Scopes and Limitations
by Svetlana A. Kondrashova and Shamil K. Latypov
Molecules 2023, 28(23), 7729; https://doi.org/10.3390/molecules28237729 - 23 Nov 2023
Cited by 2 | Viewed by 1759
Abstract
The scopes and limitations of theoretical methods for estimating various NMR metrics of NHCs are considered on a wide range of model NHCs and their derivatives, using a number of computational approximations. On the whole, the most reliable, from the point of view [...] Read more.
The scopes and limitations of theoretical methods for estimating various NMR metrics of NHCs are considered on a wide range of model NHCs and their derivatives, using a number of computational approximations. On the whole, the most reliable, from the point of view of predictability and insusceptibility to additional effects, are 31P/13C NMR shifts of NHC–phosphinidene adducts and 13C CSs of carbenes themselves. The method based on the analysis of 77Se CS NHC–selenoureas has some limitations since the observed NMR parameters can also be modulated by exchange effects due to their formation with non-classical hydrogen bonds. As for HEP, since the delicate balance of electron distribution between Pd and two carbon centers can nonlinearly affect relativistic spin–orbit effects, the accuracy of the estimation of this metric may still be limited. 13C CSs of NHC–azolium salts do not seem to be reliable, since the observed values are strongly influenced by the effects of the exchange between different forms with counterions, which are difficult to estimate correctly. Full article
(This article belongs to the Special Issue Exclusive Feature Papers on Molecular Structure)
Show Figures

Graphical abstract

11 pages, 2614 KB  
Article
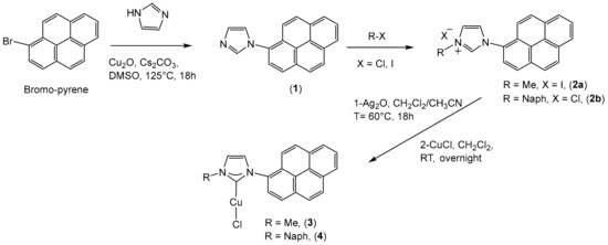
N-Heterocyclic Carbene Copper (I) Complexes Incorporating Pyrene Chromophore: Synthesis, Crystal Structure, and Luminescent Properties
by Yaping Cheng, Geoffrey Gontard, Abderrahim Khatyr, Michael Knorr and Hani Amouri
Molecules 2023, 28(10), 4025; https://doi.org/10.3390/molecules28104025 - 11 May 2023
Cited by 8 | Viewed by 3038
Abstract
Luminescent N-heterocyclic carbene chloride copper (I) complexes incorporating pyrene chromophore (1-Pyrenyl-NHC-R)-Cu-Cl, (3, 4) have been prepared and fully characterized. Two complexes were prepared with R = methyl (3) and R = naphthyl groups (4) at [...] Read more.
Luminescent N-heterocyclic carbene chloride copper (I) complexes incorporating pyrene chromophore (1-Pyrenyl-NHC-R)-Cu-Cl, (3, 4) have been prepared and fully characterized. Two complexes were prepared with R = methyl (3) and R = naphthyl groups (4) at the nitrogen center of the carbene unit to tune their electronic properties. The molecular structures of 3 and 4 have been elucidated by X-ray diffraction and confirm the formation of the target compounds. Preliminary results reveal that all compounds including the imidazole-pyrenyl ligand 1 are emissive in the blue region at room temperature in solution and in solid-state. All complexes display quantum yields comparable or higher when compared to the parent pyrene molecule. Interestingly replacement of the methyl by naphthyl group increases the quantum yield by almost two-folds. These compounds might show promise for applications as optical displays. Full article
(This article belongs to the Section Inorganic Chemistry)
Show Figures

Figure 1

31 pages, 6582 KB  
Review
Copper-Coordinated Thiazoles and Benzothiazoles: A Perfect Alliance in the Search for Compounds with Antibacterial and Antifungal Activity
by Raúl Colorado-Peralta, José Luis Olivares-Romero, Sharon Rosete-Luna, Oscar García-Barradas, Viviana Reyes-Márquez, Delia Hernández-Romero and David Morales-Morales
Inorganics 2023, 11(5), 185; https://doi.org/10.3390/inorganics11050185 - 25 Apr 2023
Cited by 13 | Viewed by 6346
Abstract
Throughout human history, bacteria and fungi have caused infections that are difficult to combat. For this reason, countless research groups have developed novel compounds to solve this problem. Thiazole and benzothiazole are present in different structures with interesting biological effects and are used [...] Read more.
Throughout human history, bacteria and fungi have caused infections that are difficult to combat. For this reason, countless research groups have developed novel compounds to solve this problem. Thiazole and benzothiazole are present in different structures with interesting biological effects and are used to develop new effective antimicrobial agents. Moreover, nitrogen atoms that are present in this heterocycle allow for coordination with various metals, forming metal complexes that enhance the biological activity of organic ligands that are often used as commercial drugs. This bibliographical review summarizes the copper complexes that use thiazole and benzothiazole as ligands and that report efficient antimicrobial activity against different bacteria and fungi. Full article
Show Figures

Graphical abstract

14 pages, 3804 KB  
Article
Two New 1D Supramolecular Compounds Based on PbI2 for Efficient Iodine Capture
by Xingxing Zhang, Jian Li and Yunyin Niu
Molecules 2023, 28(7), 2934; https://doi.org/10.3390/molecules28072934 - 24 Mar 2023
Cited by 5 | Viewed by 2446
Abstract
Two new inorganic-organic hybrid crystals based on PbI2 were assembled through the solvent evaporation method, namely, {[L1]·[Pb2I6]}n (1) and {[L2]2·[Pb3I10]}n (2). L1-L2 are a series of [...] Read more.
Two new inorganic-organic hybrid crystals based on PbI2 were assembled through the solvent evaporation method, namely, {[L1]·[Pb2I6]}n (1) and {[L2]2·[Pb3I10]}n (2). L1-L2 are a series of multivalent nitrogen-containing cationic ligands. Compounds 12 were characterized by single-crystal X-ray diffraction, elemental analysis, FT-IR, powder X-ray diffraction, and thermogravimetric microanalysis. The results showed that the adsorption rate of 80 mg compound 1 to iodine reached 96.59%, indicating a high iodine capture performance in cyclohexane solution. In the meantime, the adsorption kinetics is most suitable for a pseudo-second-order model, and the adsorption process is mainly chemisorption. Adsorption thermodynamics is most suitable for the Langmuir model, indicating that adsorption occurs on the surface of the monolayer. According to the adsorption mechanism, it can be inferred that the structure of compound 1 contains amino, benzene, N heterocyclic, and other active groups, that is, indirectly increases the adsorption site with iodine, and the chemical reaction with iodine improves the removal rate of iodine in cyclohexane solution. In addition, compound 1 was found to have good iodine adsorption and recyclability by cyclic experiments. Therefore, the synthesized compound 1 can be used as a potential and excellent iodide capture adsorbent, which may have a good application prospects in the future. Full article
Show Figures

Figure 1

Back to TopTop