Innovative Syntheses and Reactivity of Propiolamidines
Abstract
1. Introduction
2. Synthesis
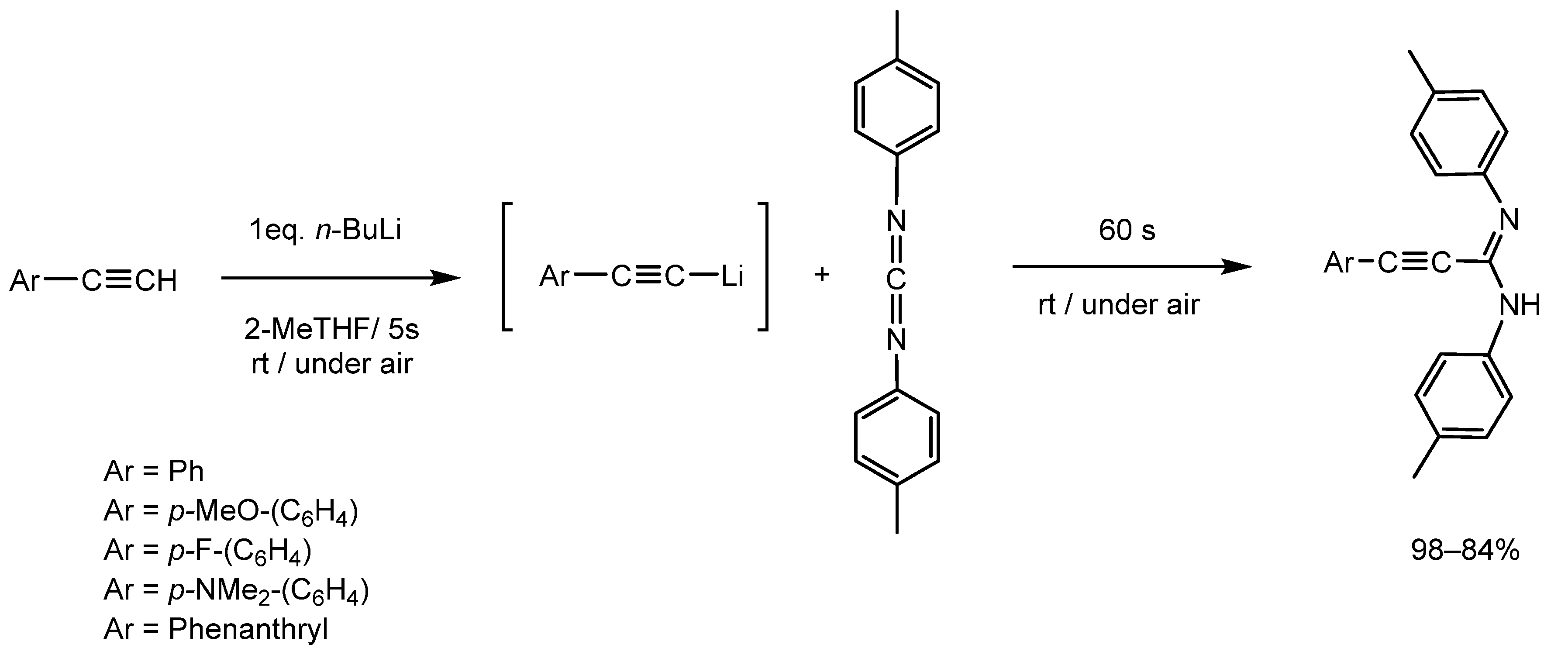
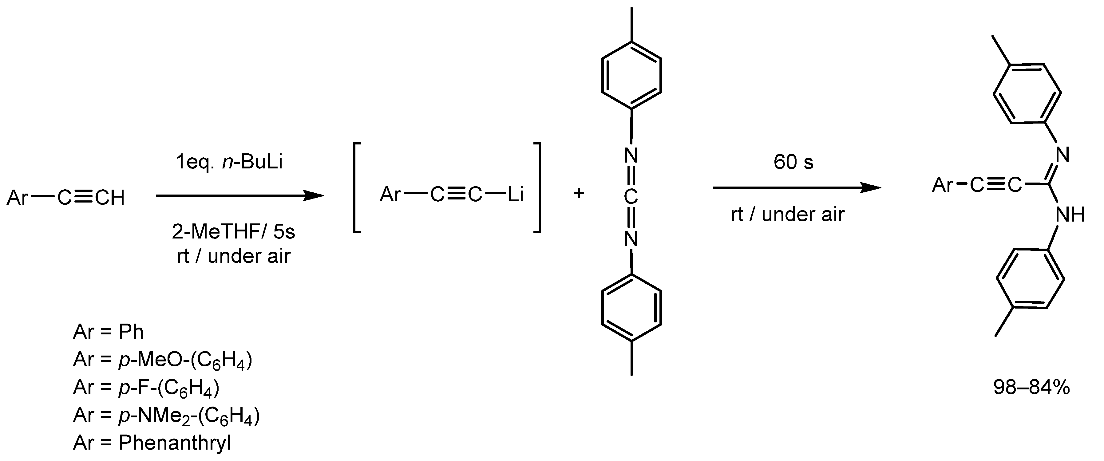
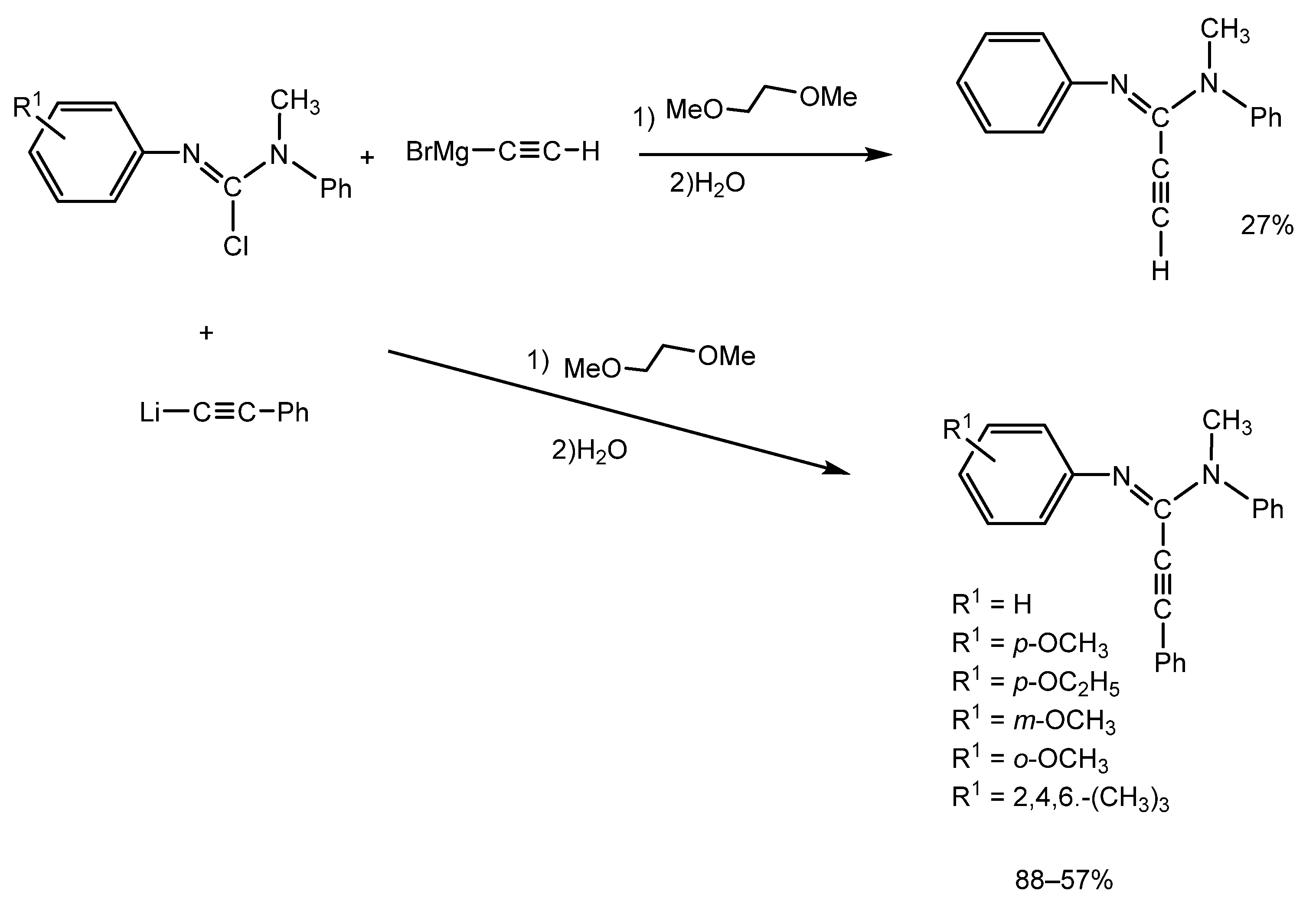
2.1. Classical Methods
2.2. Catalytic Methods
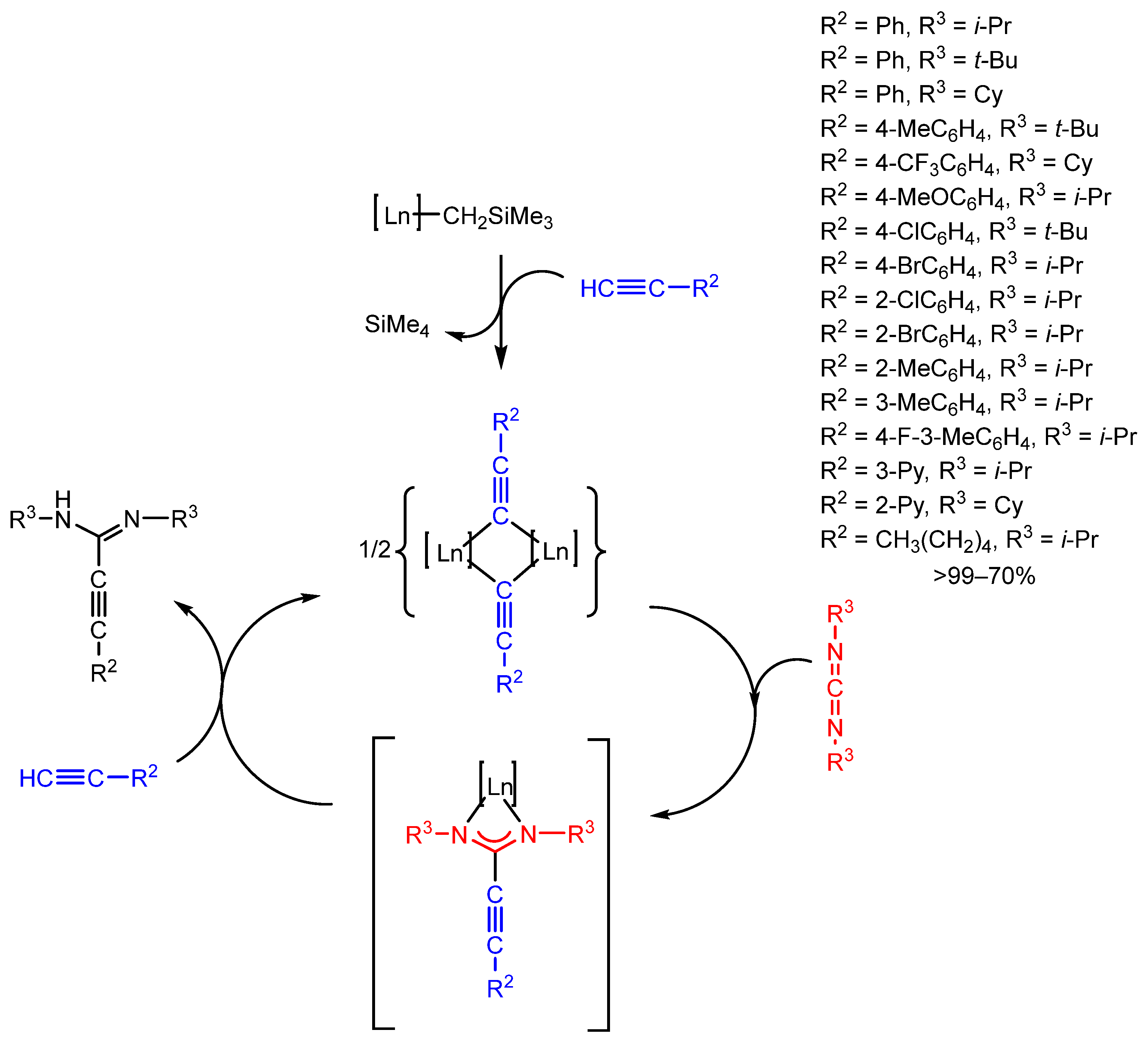
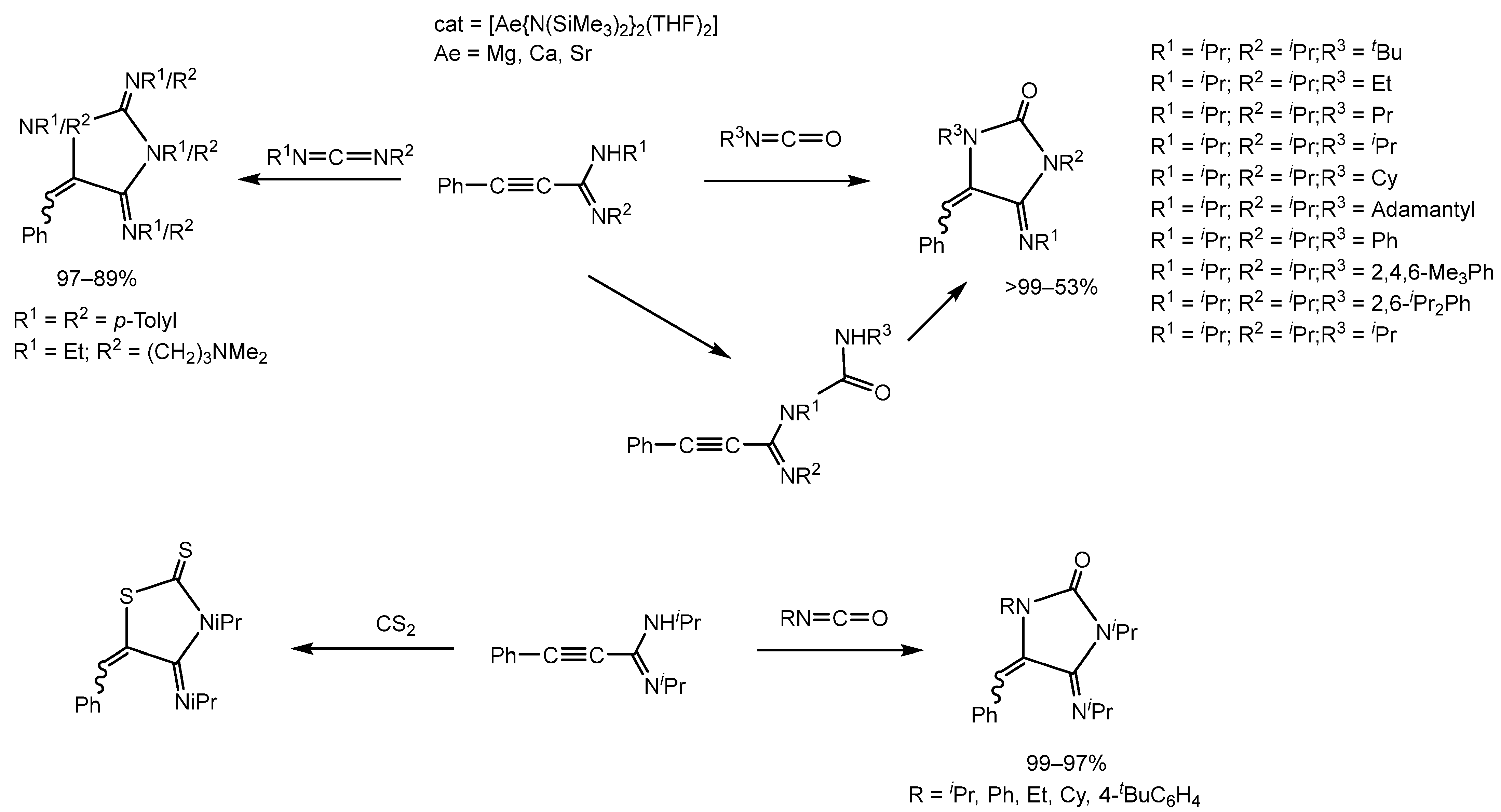
2.2.1. Main Group Element Catalysts
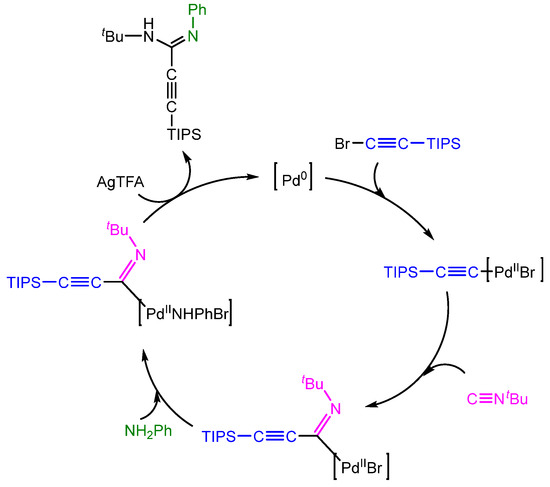
2.2.2. Transition Metal Catalysts
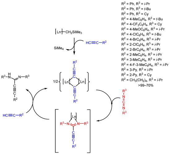
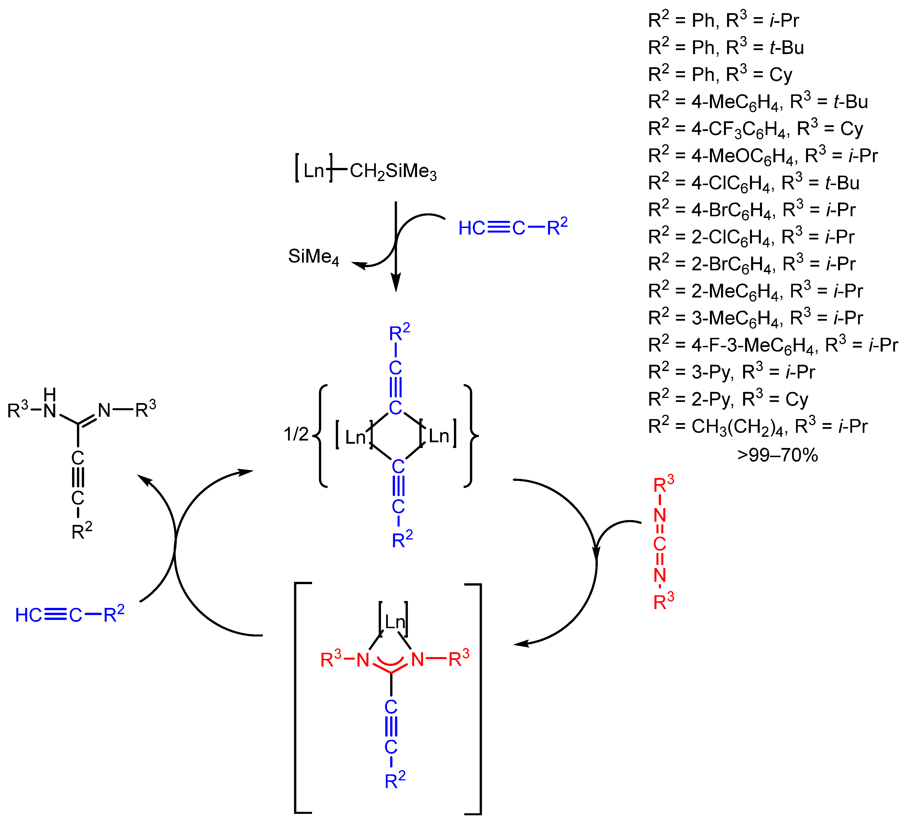
2.2.3. Rare Earth Metal Catalysts
3. Reactivity
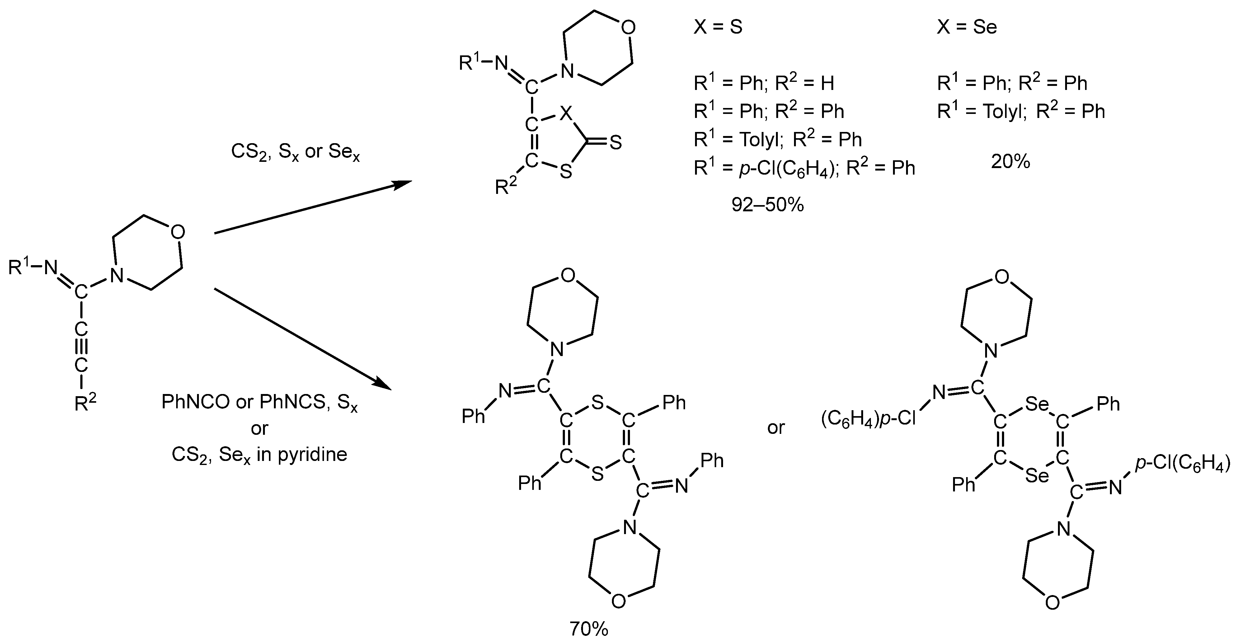
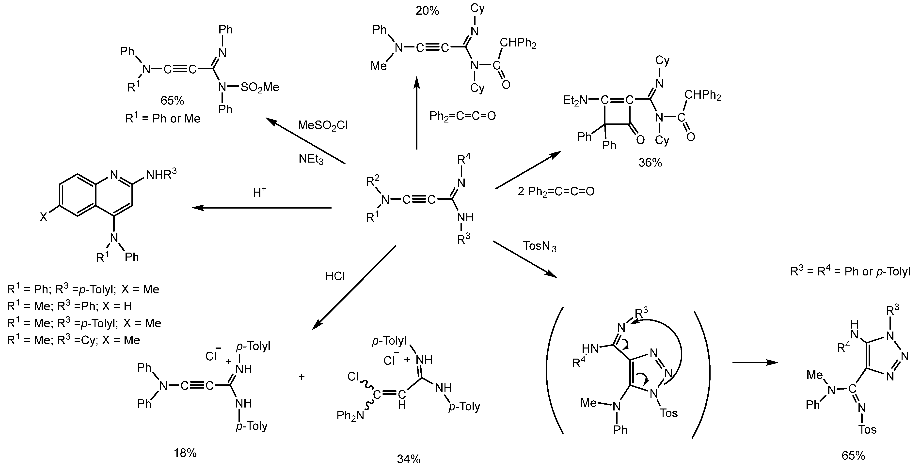
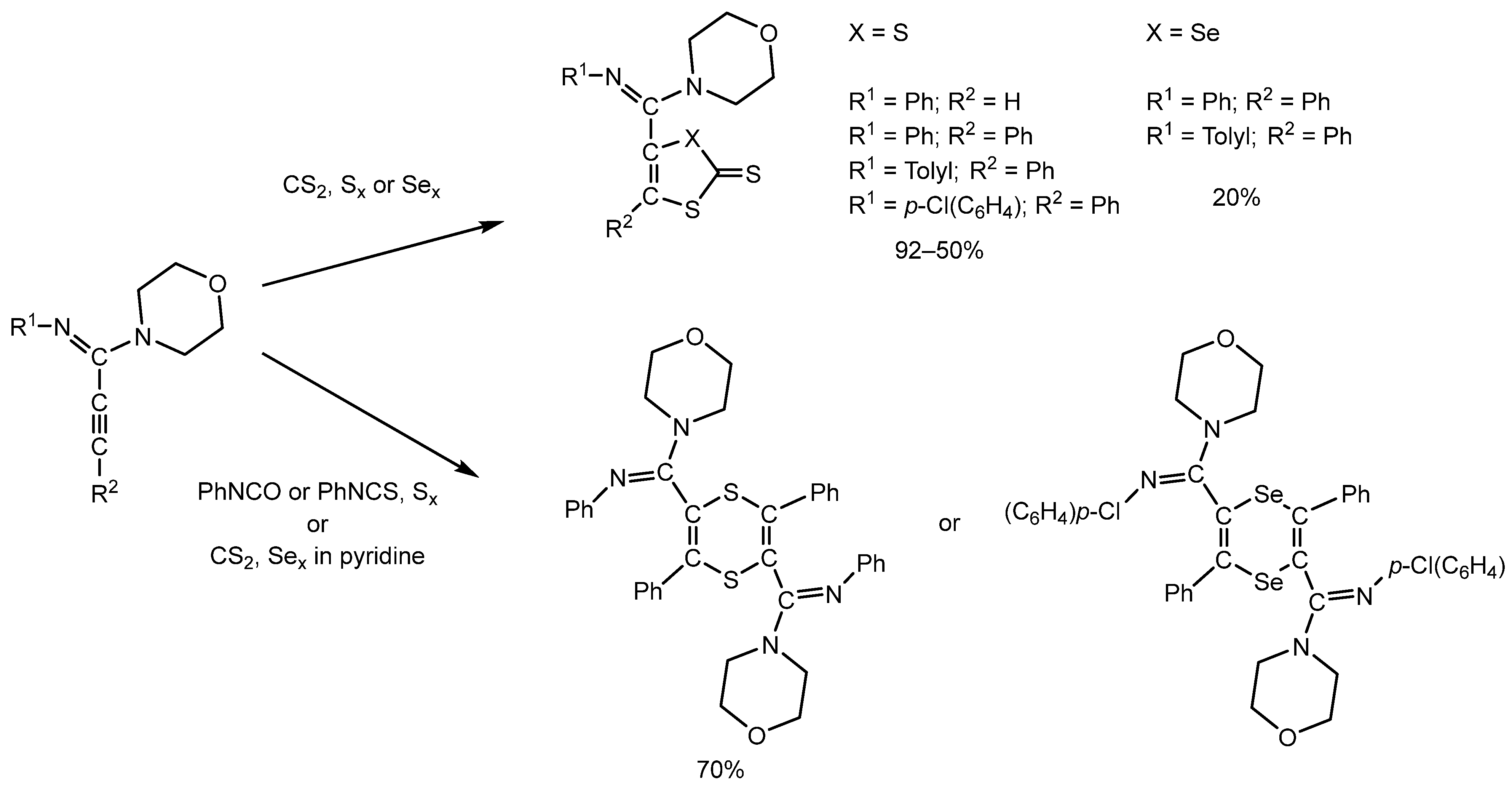
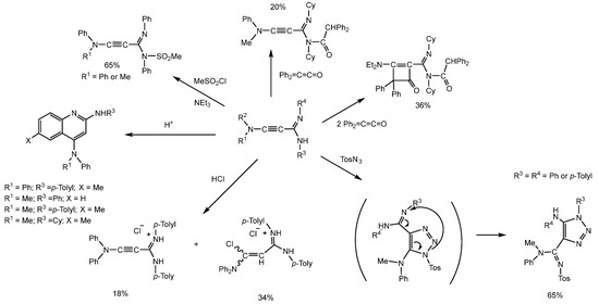
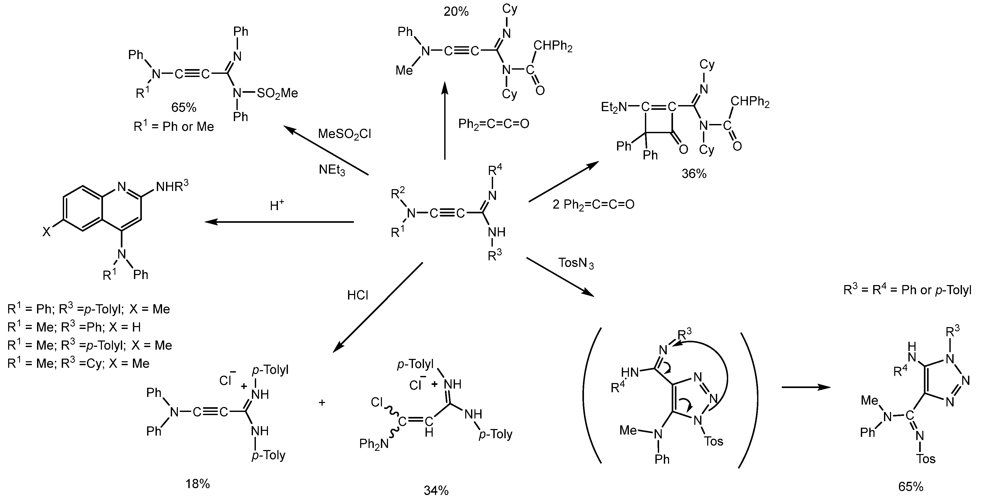
3.1. Classical Methods
3.2. Catalytic Reactivity
4. Conclusions
Author Contributions
Funding
Data Availability Statement
Conflicts of Interest
References
- Gerhardt, C. Über die Wirkung von Phosphorsuperchlorid auf einige Aniide. Justus Liebigs Ann. Chem. 1858, 108, 214. [Google Scholar] [CrossRef]
- Stephens, C.E.; Tanious, E.; Kim, S.; Wilson, D.W.; Schell, W.A.; Perfect, J.R.; Franzblau, S.G.; Boykin, D.W. Diguanidino and “Reversed” Diamidino 2,5-Diarylfurans as Antimicrobial Agents. J. Med. Chem. 2001, 44, 1741–1748. [Google Scholar] [CrossRef]
- Sielecki, T.M.; Liu, J.; Mousa, S.A.; Racanelli, A.L.; Hausner, E.A.; Wexler, R.R.; Olson, R.E. Synthesis and Pharmacology of Modified Amidine Isoxazoline Glycoprotein IIb/IIIa Receptor Antagonists. Bioorg. Med. Chem. Lett. 2001, 11, 2201–2204. [Google Scholar] [CrossRef]
- Grienke, U.; Schmidtke, M.; Kirchmair, J.; Pfarr, K.; Wutzler, P.; Durrwarld, R.; Wolber, G.; Liedl, K.R.; Stuppner, H.; Rollinger, J.M. Antiviral potential and molecular insight into neuraminidase inhibiting diarylheptanoids from Alpinia katsumadai. J. Med. Chem. 2010, 53, 778–786. [Google Scholar] [CrossRef] [PubMed]
- Kort, M.E.; Drizin, I.; Gregg, R.J.; Scanio, M.J.C.; Shi, L.; Gross, M.F.; Atkinson, R.N.; Johnson, M.; Pacofsky, G.J.; Thomas, J.B.; et al. Discovery and Biological Evaluation of 5-Aryl-2-furfuramides, Potent and Selective Blockers of the Nav1.8 Sodium Channel with Efficacy in Models of Neuropathic and Inflammatory Pain. J. Med. Chem. 2008, 51, 407–416. [Google Scholar] [CrossRef]
- Barradas, J.S.; Errea, M.I.; D’Accorso, N.B.; Sepulveda, C.S.; Talarico, L.B.; Damonte, E.B. Synthesis and Antiviral Activity of Azoles Obtained from Carbohydrates. Carbohydr. Res. 2008, 343, 2468–2474. [Google Scholar] [CrossRef] [PubMed]
- Zhan, P.; Li, D.; Chen, X.; Liu, X.; Clercq, E.D. Functional Roles of Azoles Motif in Anti-HIV Agents. Curr. Med. Chem. 2011, 18, 29–46. [Google Scholar] [CrossRef]
- Zhang, L.; Peng, X.M.; Damu, G.L.; Geng, R.X.; Zhou, C.H. Comprehensive Review in Current Developments of Imidazole-Based Medicinal Chemistry. Med. Res. Rev. 2014, 34, 340–437. [Google Scholar] [CrossRef] [PubMed]
- Nagender, P.; Kumar, R.N.; Reddy, G.M.; Swaroop, D.K.; Poornachandra, Y.; Kumar, C.G.; Narsaiah, B. Synthesis of Novel Hydrazone and Azole Functionalized Pyrazolo[3,4-b]pyridine Derivatives as Promising Anticancer Agents. Bioorg. Med. Chem. Lett. 2016, 26, 4427–4432. [Google Scholar] [CrossRef] [PubMed]
- Hou, Y.; Shang, C.; Wang, H.; Yun, J. Isatin-Azole Hybrids and Their Anticancer Activities. Arch. Pharm. 2020, 353, e1900272. [Google Scholar] [CrossRef] [PubMed]
- Kaya-Yasar, Y.; Barut, E.; Engin, S.; Dogan, I.; Sezen, F. Novel Aryl/Alkyl Azole Derivates as an Anti-Nociceptive and Anti-Inflammatory Drug Candidates. Acta Pol. Pharm. 2020, 77, 289–294. [Google Scholar] [CrossRef] [PubMed]
- Edelmann, F.T. Recent progress in the chemistry of metal amidinates and guanidinates: Syntheses, catalysis and materials. Adv. Organomet. Chem. 2013, 61, 55–374. [Google Scholar]
- Coles, M.P. Application of neutral amidines and guanidines in coordination chemistry. Dalton Trans. 2006, 985–1001. [Google Scholar] [CrossRef]
- Gómez-Torres, A.; Sengupta, D.; Fortier, S. Guanidinate, Amidinate, and Formamidinate Ligands. In Comprehensive Coordination Chemistry III; Constable, E.C., Parkin, G., Que, L., Eds.; Elsevier Ltd.: Amsterdam, The Netherlands, 2021; pp. 366–405. [Google Scholar]
- Pinner, A.; Klein, F. Über das Verhalten der Nitrile gegen Alkoholate. Ber. Dtsch. Chem. Ges. 1877, 10, 327. [Google Scholar]
- Racane, L.; Tralic-Kulenovic, V.; Fiser-Jakic, L.; Boykin, D.W.; Karminski-Zamola, G. Synthesis and Biological Evaluation of Novel Heterocyclic Compounds. Heterocycles 2001, 55, 2085–2098. [Google Scholar]
- Roger, R.; Neilson, D.G. The Chemistry of Imidates. Chem. Rev. 1961, 61, 179–211. [Google Scholar] [CrossRef]
- Garigipati, R.S. An efficient conversion of nitriles to amidines. Tetrahedron Lett. 1990, 31, 1969–1972. [Google Scholar] [CrossRef]
- Schaefer, F.C.; Peters, G.A. The Reaction of Nitriles under High Pressure. J. Org. Chem. 1961, 26, 412–418. [Google Scholar] [CrossRef]
- Grivas, J.C.; Taurins, A. The Infrared Spectra of Trichloro- and Trifluoro-acetanlidine Hydrochlorides. Can. J. Chem. 1961, 39, 761–764. [Google Scholar] [CrossRef]
- Oxley, P.; Partridge, M.W.; Short, W.F. Amidines. Part VII. Preparation of Amidines from Cyanides. J. Chem. Soc. 1947, 1110–1116. [Google Scholar] [CrossRef]
- Rousselet, G.; Capdevielle, P.; Maumy, M. Copper(I)-induced Addition of Amines to Unactivated Nitriles. Tetrahedron Lett. 1993, 34, 6395–6492. [Google Scholar] [CrossRef]
- Forsberg, J.H.; Spaziano, V.T.; Balasubramanian, T.M.; Liu, G.K.; Kinsley, S.A.; Duckworth, C.A.; Poteruca, J.J.; Brown, P.S.; Miller, J.L. Use of Lanthanide(III) Ions as Catalysts for the Reactions of Amines with Nitriles. J. Org. Chem. 1987, 52, 1017–1020. [Google Scholar] [CrossRef]
- Judkins, B.D.; Allen, D.G.; Cook, T.A.; Evans, B.; Sardharwala, T.E. A Versatile Synthesis of Amidines from Nitriles via Amidoximes. Synth. Commun. 1996, 26, 4351–4367. [Google Scholar] [CrossRef]
- Wang, J.; Xu, F.; Shen, Q. Addition of Amines to Nitriles Catalyzed by Ytterbium Amides: An Efficient One-Step Synthesis of Monosubstituted N-Arylamidines. Org. Lett. 2008, 10, 445–448. [Google Scholar] [CrossRef]
- Partridge, M.W.; Smith, A. Cyclic Amidines. Part XXIV. Cyclisation of N-Allyl-N′-Arylacetamidines to Imidazolines, Dihydroquinazolines, and Dihydrobenzodiazepines. J. Chem. Soc. Perkin Trans. 1 1973, 453–456. [Google Scholar] [CrossRef]
- Foloppe, M.P.; Rault, S.; Robba, M. Pyrrolo[2,1-c][1,4]benzodiazepines: A mild conversion of thiolactam into amidine. Tetrahedron Lett. 1992, 33, 2803–2804. [Google Scholar] [CrossRef]
- Avalos, M.; Babiano, R.; Cintas, P.; Durán, C.J.; Jiménez, J.L.; Palacios, J.C. Synthesis of glycoamidines using a mercury-promoted reaction. Tetrahedron 1995, 51, 8043–8056. [Google Scholar] [CrossRef]
- Edelmann, F.T. N-silylated benzamidines: Versatile building blocks in main group and coordination chemistry. Coord. Chem. Rev. 1994, 137, 403–481. [Google Scholar] [CrossRef]
- Ulrich, H. Chemistry and Technology of Carbodiimides; John Wiley & Sons: Chichester, UK, 2007. [Google Scholar]
- Ried, W.; Weidemann, P. Neuartige Synthese von 2-Amino-chinolinen aus Chlorformamidinen und Äthinyl-Grignarrd-Verbindungen. Chem. Ber. 1971, 104, 3329–3340. [Google Scholar] [CrossRef]
- Reid, W.; Schweitzer, R. Neue Cyclisierungsprodukte aus N,N′-diarylsubstituierten Propiolamidinen. Chem. Ber. 1976, 109, 1643–1649. [Google Scholar] [CrossRef]
- Ried, W.; Winhler, H. Cyclisierungsprodukte aus N-arylsubstituierten Propiolamidinen. Chem. Ber. 1979, 112, 384–388. [Google Scholar] [CrossRef]
- Himbert, G.; Feustel, M.; Jung, M. Synthese von (aminoethinyl)ketonen über β-stannylierte Inamine. Liebigs Ann. Chem. 1981, 11, 1907–1927. [Google Scholar] [CrossRef]
- Fujita, H.; Endo, R.; Aoyama, A.; Ichii, T.; Propiolamidines, I. Synthesis of N,N′-Disubstituted Phenylpropiolamidines and New Routes to 5-N-Substituted Amino-3-phenylisoxazoles and 5-N-Substituted Amino-1,3-diphenylpyrazoles. Bull. Chem. Soc. Jpn. 1972, 45, 1846–1852. [Google Scholar] [CrossRef]
- Himbert, G.; Schwickerath, W. Synthese und Reaktionen von 3-aminoporpiolamidinen. Liebigs Ann. Chem. 1984, 1984, 85–97. [Google Scholar] [CrossRef]
- Parra-Cadenas, B.; Bravo, I.; Ripoll Lorente, M.C.; Gines, C.; Elorriaga, D.; Carrillo-Hermosilla, F. Boron Complexes with Propiolamidinato Ligands: Synthesis, Structure, and Photophysical Properties. Inorg. Chem. 2024, 63, 12120–12132. [Google Scholar] [CrossRef] [PubMed]
- Kantlehner, W.; Mezger, J.; Kreb, R.; Frey, W. Orthoamide und Iminiumsälte, XCII. Synthese und Reaktionen von Orthoamiden aus Ethinylierten Terpenderivaten. Z. Naturforsch. 2018, 73, 437–455. [Google Scholar] [CrossRef]
- Ong, T.-G.; O’Brien, J.S.; Korobkov, I.; Richerson, D.S. Facile and Atom-Efficient Amidolithium-Catalyzed C-C and C-N Formation for the Construction of Substituted Guanidines and Propiolamidines. Organometallics 2006, 25, 4728–4730. [Google Scholar] [CrossRef]
- Rowley, C.N.; Ong, T.-G.; Priem, J.; Richerson, D.R.; Woo, T.K. Analysis of the Critical Step in Catalytic Carbodiimide Transformation: Proton Transfer from Amines, Phosphines, and Alkynes to Guanidinates, Phosphaguanidinates, and Propiolamidinates with Li and Al Catalysts. Inorg. Chem. 2008, 47, 12024–12031. [Google Scholar] [CrossRef] [PubMed]
- Barrett, A.G.M.; Crimmin, M.R.; Hill, M.S.; Hitchcock, P.B.; Lomas, S.L.; Mahon, M.F.; Procopiou, P.A.; Suntharalingam, K. β-Diketiminato Calcium Acetylides: Synthesis, Solution Dimerization, and Catalytic Carbon-Carbon Bond Formation. Organometallics 2008, 27, 6300–6306. [Google Scholar] [CrossRef]
- Arrowsmith, M.; Crimmin, M.R.; Hill, M.S.; Lomas, S.L.; Heng, M.S.; Hitchcock, P.B.; Kociok-Köhn, G. Catalytic Hydroacetylenation of Carbodiimides with Homoleptic Alkaline Earth Hexamethyldisilazides. Dalton Trans. 2014, 43, 14249–14256. [Google Scholar] [CrossRef]
- Schwamm, R.J.; Coles, M.P. Catalytic C-C Bond Formation Promoted by Organo- and Amidomagnesium(II) Compounds. Organometallics 2013, 32, 5277–5280. [Google Scholar] [CrossRef]
- Mukhopadhyay, S.; Rajput, S.; Sahoo, R.K.; Nembenna, S. Insights Into the Magnesium-Catalyzed C–C Coupling of Terminal Alkynes with Carbodiimides. Eur. J. Org. Chem. 2024, 27, e202400702. [Google Scholar] [CrossRef]
- Zhao, Y.; Ma, X.; Yan, B.; Ni, C.; He, X.; Peng, Y.; Yang, Z. A novel case of atom-efficient C-C bond formation of small molecules catalyzed by the facile organoaluminum compound. J. Organomet. Chem. 2021, 946–947, 121879. [Google Scholar] [CrossRef]
- Martínez, A.; Moreno-Blázquez, S.; Rodríguez-Diéguez, A.; Ramos, A.; Fernández-Galán, R.; Antiñolo, A.; Carrillo-Hermosilla, F. Simple ZnEt2 as catalyst in carbodiimide hydroalkynylation: Structural and mechanistic studies. Dalton Trans. 2017, 46, 12923–12934. [Google Scholar] [CrossRef]
- Sahoo, R.K.; Patro, A.G.; Sarkar, N.; Nembenna, S. Zinc catalyzed hydroelementation (HE.; E = B, C, N, and O) of carbodiimides: Intermediates isolation and mechanistic insights. Organometallics 2023, 42, 1746–1758. [Google Scholar] [CrossRef]
- Schmidt, G.F.; Süss-Fink, G. Katalytische C-C und C-N-kupplungsreaktionen von carbodiimiden durch Übergangsmetallcluster. J. Organomet. Chem. 1988, 356, 207–211. [Google Scholar] [CrossRef]
- Xu, X.; Gao, J.; Cheng, D.; Li, J.; Qiang, G.; Guo, H. Copper-catalyzed highly efficient multicomponent reactions of terminal alkynes, acid chlorides, and carbodiimides: Synthesis of functionalized propiolamidine derivatives. Adv. Synth. Catal. 2008, 350, 61–64. [Google Scholar] [CrossRef]
- Li, M.; Fang, S.; Zheng, J.; Jiang, H.; Wu, W. Direct assembly of polysubstituted propiolamidines via palladium-catalyzed multicomponent reaction of isocyanides. Org. Lett. 2019, 21, 8439–8443. [Google Scholar] [CrossRef]
- Gawade, S.A.; Huple, D.B.; Liu, R.-S. Zn(II)- or Ag(I)-catalyzed 1,4-metathesis reactions between 3-en-1-ynamides and nitrosoarenes. J. Am. Chem. Soc. 2014, 136, 2978–2981. [Google Scholar] [CrossRef]
- Zhang, W.-X.; Nishiura, M.; Hou, Z. Catalytic addition of terminal alkynes to carbodiimides by half-sandwich rare earth metal complexes. J. Am. Chem. Soc. 2005, 127, 16788–16789. [Google Scholar] [CrossRef]
- Zhang, W.-X.; Hou, Z. Catalytic addition of alkynes C-H, amine N-H, and phosphine P-H bonds to carbodiimides: An efficient route to propiolamidines, guanidines, and phosphaguanidines. Org. Biomol. Chem. 2008, 6, 1720–1730. [Google Scholar] [CrossRef]
- Yi, W.; Zhang, J.; Li, M.; Chen, Z.; Zhou, X. Synthesis, structures and reactivity of yttrium alkyl and alkynyl complexes with mixed TpMe2/Cp ligands. Inorg. Chem. 2011, 50, 11813–11824. [Google Scholar] [CrossRef] [PubMed]
- Zhang, F.; Zhang, J.; Zhang, Y.; Hong, J.; Zhou, X. Rare-earth-metal-catalyzed addition of terminal monoalkynes and dialkynes with aryl-substituted symmetrical or unsymmetrical carbodiimides. Organometallics 2014, 33, 6186–6192. [Google Scholar] [CrossRef]
- Du, Z.; Li, W.; Zhu, X.; Xu, F.; Shen, Q. Divalent lanthanide complexes: Highly active precatalysts for the addition of N-H and C-H bonds to carbodiimides. J. Org. Chem. 2008, 73, 8966–8972. [Google Scholar] [CrossRef] [PubMed]
- Wu, Y.; Wang, S.; Zhang, L.; Yang, G.; Zhu, X.; Zhou, Z.; Zhu, H.; Wu, S. Cyclopentadienyl-free rare-earth metal amides [{(CH2SiMe2){2,6-iPr2C6H3)N}2}Ln{N(SiMe3)2}(THF)]. Eur. J. Org. Chem. 2010, 2010, 326–332. [Google Scholar] [CrossRef]
- Gu, X.; Zhu, X.; Wei, Y.; Wang, S.; Zhou, S.; Zhang, G.; Mu, X. CNC-Pincer rare-earth metal amido complexes with a diarylamido linked biscarbene ligand: Synthesis, characterization, and catalytic activity. Organometallics 2014, 33, 2372–2379. [Google Scholar] [CrossRef]
- Sroor, F.M.; Hrib, C.G.; Hilfert, L.; Busse, S.; Edelmann, F.T. Synthesis and catalytic activity of homoleptic lanthanide-tris(cyclopropylethinyl)amidinates. New J. Chem. 2015, 39, 7595–7601. [Google Scholar] [CrossRef]
- Feng, Z.; Huang, Z.; Wang, S.; Wei, Y.; Zhou, S.; Zhu, X. Synthesis and characterization of 2-t-butylimino-functionalized indolyl rare-earth metal amido complexes for the catalytic addition of terminal alkynes to carbodiimides: The dimeric complexes with the alkynide species in the µ-η1:η2 bonding modes. Dalton Trans. 2019, 48, 11094–11102. [Google Scholar] [CrossRef] [PubMed]
- Jing, B.; Zhu, C.; Wang, F.; Li, J.; Cui, C. Rare-Earth Dialkyls Supported by Silaimine-Cp Ligand: Synthesis, Reactivity, and Catalytic Addition of Alkynes and Amines to Carbodiimides. Organometallics 2024, 43, 2314–2320. [Google Scholar] [CrossRef]
- Ried, W.; Wegwitz, M. Synthese von speziell substituierten 1,3-dithiol-2-thionen und 1,3-thiaselenol-thionen. Liebigs Ann. Chem. 1975, 1975, 89–94. [Google Scholar] [CrossRef]
- Arrosmith, M.; Shepherd, W.S.; Hill, M.S.; Kociok-Köhn, G. Alkaline earth catalysis for the 100% atom-efficient three-component assembly of imidazolidine-2-ones. Chem. Commun. 2014, 50, 12676–12679. [Google Scholar] [CrossRef]
- Arrosmith, M.; Hill, M.S.; Kociok-Köhn, G. Group 2 catalyst for the atom-efficient synthesis of imidazolidine and thiazolidine derivatives. Chem. Eur. J. 2015, 21, 10548–10557. [Google Scholar] [CrossRef]
- Parra-Cadenas, B.; Ginés, C.; García-Vivó, D.; Elorriaga, D.; Carrillo-Hermosilla, F. Zinc amidinate-catalysed cyclization reaction of carbodiimides and alkynes. An insight into the mechanism. Dalton Trans. 2024, 53, 10050–10054. [Google Scholar] [CrossRef] [PubMed]
- Zhou, H.; Chen, W.; Liu, J.-H.; Zhang, W.-Z.; Lu, X.-B. Highly effective capture and subsequent catalytic transformation of low-concentration CO2 by superbasic guanidines. Green Chem. 2020, 22, 7832–7838. [Google Scholar] [CrossRef]
































Disclaimer/Publisher’s Note: The statements, opinions and data contained in all publications are solely those of the individual author(s) and contributor(s) and not of MDPI and/or the editor(s). MDPI and/or the editor(s) disclaim responsibility for any injury to people or property resulting from any ideas, methods, instructions or products referred to in the content. |
© 2025 by the authors. Licensee MDPI, Basel, Switzerland. This article is an open access article distributed under the terms and conditions of the Creative Commons Attribution (CC BY) license (https://creativecommons.org/licenses/by/4.0/).
Share and Cite
Ginés, C.; Parra-Cadenas, B.; Carrillo-Hermosilla, F.; Elorriaga, D. Innovative Syntheses and Reactivity of Propiolamidines. Molecules 2025, 30, 708. https://doi.org/10.3390/molecules30030708
Ginés C, Parra-Cadenas B, Carrillo-Hermosilla F, Elorriaga D. Innovative Syntheses and Reactivity of Propiolamidines. Molecules. 2025; 30(3):708. https://doi.org/10.3390/molecules30030708
Chicago/Turabian StyleGinés, Carlos, Blanca Parra-Cadenas, Fernando Carrillo-Hermosilla, and David Elorriaga. 2025. "Innovative Syntheses and Reactivity of Propiolamidines" Molecules 30, no. 3: 708. https://doi.org/10.3390/molecules30030708
APA StyleGinés, C., Parra-Cadenas, B., Carrillo-Hermosilla, F., & Elorriaga, D. (2025). Innovative Syntheses and Reactivity of Propiolamidines. Molecules, 30(3), 708. https://doi.org/10.3390/molecules30030708

