2-Guanidinobenzimidazole as Ligand in Supramolecular, Coordination and Organometallic Chemistry
Abstract
1. Introduction

2. Structural Description of 2GBI
3. Host-Guest Complexes and Supramolecular Assemblies
4. 2GBI Coordination Complexes of the Main Group Elements (B, Sn and Sb)
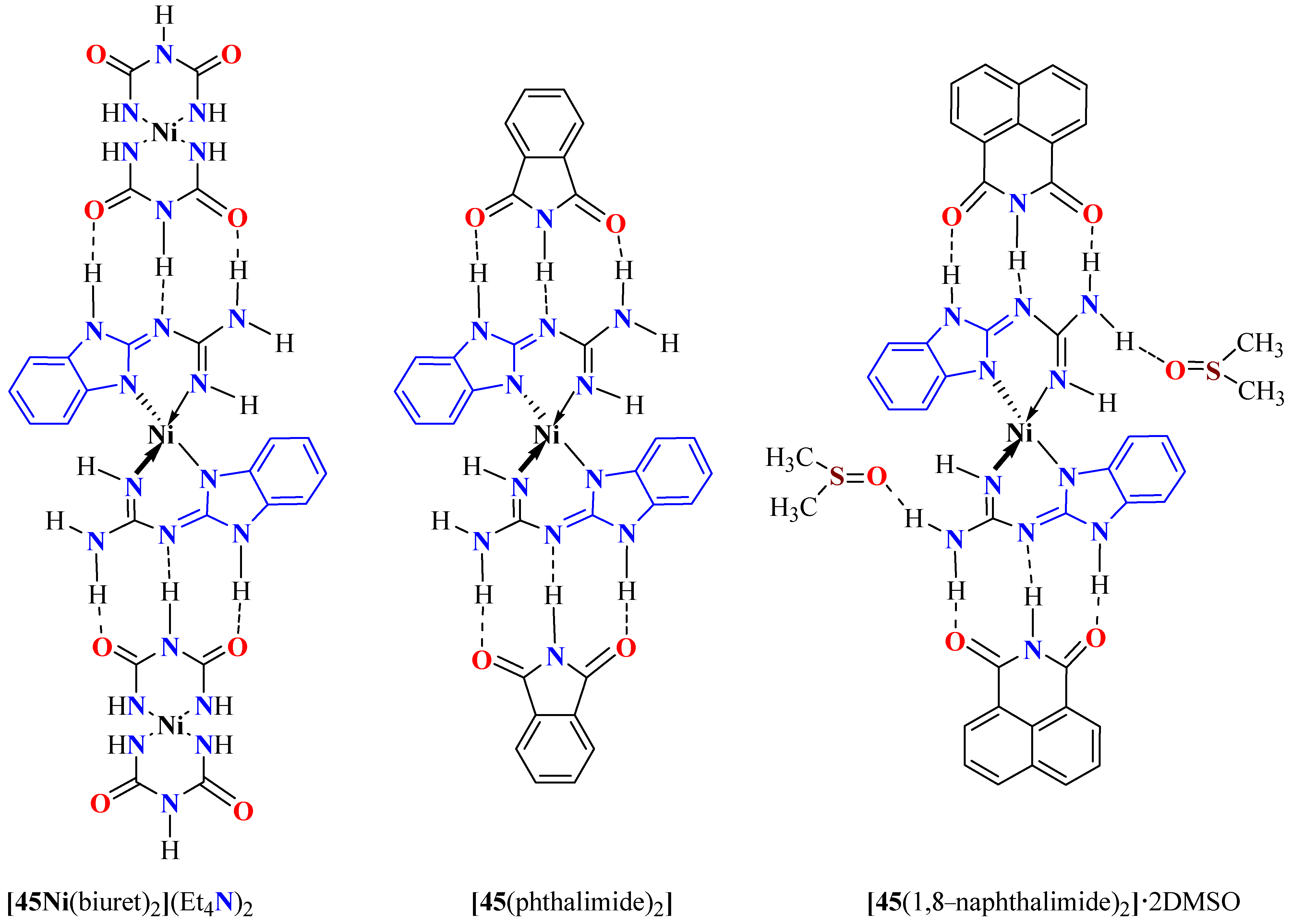
5. Transition Metal Coordination Complexes
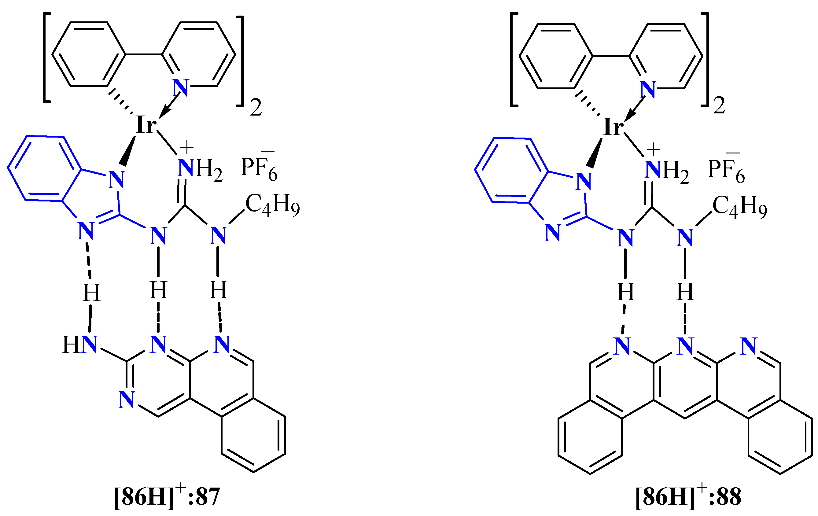
6. Organo-Transition Metal Complexes (Organometallic Complexes)
7. Biological Activities of 2GBI Complexes
8. Conclusions
Author Contributions
Funding
Conflicts of Interest
References
- Sherazi, T.A.; Zahoor, S.; Raza, R.; Shaikh, A.J.; Naqvi, S.A.; Khan, G.A.; Li, S. Guanidine functionalized radiation induced grafted anion-exchange membranes for solid alkaline fuel cells. Int. J. Hydrogen Energy 2015, 40, 786–796. [Google Scholar] [CrossRef]
- Zhang, S.; He, L.N. Capture and Fixation of CO2 Promoted by Guanidine Derivatives. Aust. J. Chem. 2014, 67, 980–988. [Google Scholar] [CrossRef]
- Kim, H.; Lim, H.K.; Cho, S.; Kim, H.J. An anthracene appended guanidine derivative as water soluble fluorescence sensor for high pH values and water content measurements. J. Photochem. Photobiol. A Chem. 2019, 383, 112023. [Google Scholar] [CrossRef]
- Siva, V.; Shameem, A.; Murugan, S.; Athimoolam, G.; Vinitha, S.; Bahadur, A. Structural, thermal and electro-optical properties of guanidine-based Metal-Organic Framework (MOF). Chin. J. Phys. 2020, 68, 764–777. [Google Scholar] [CrossRef]
- El-Razek, S.E.; El-Gamasy, S.M.; Hassan, M.; Abdel-Aziz, M.S.; Nasr, S.M. Transition metal complexes of a multidentate Schiff base ligand containing guanidine moiety: Synthesis, characterization, anti-cancer effect, and anti-microbial activity. J. Mol. Struct. 2020, 1203, 127381. [Google Scholar] [CrossRef]
- Saczewski, F.; Balewski, Ł. Biological activities of guanidine compounds, 2008–2012 update. Expert. Opin. Ther. Pat. 2013, 23, 965–995. [Google Scholar] [CrossRef]
- Bailey, P.J.; Pace, S. The coordination chemistry of guanidines and guanidinates. Coord. Chem. Rev. 2001, 214, 91–141. [Google Scholar] [CrossRef]
- Fairlie, D.P.; Jackson, W.G.; Skelton, B.W.; Wen, H.; White, A.H.; Wickramasinghe, W.A.; Woon, T.C.; Taube, H. Models for Arginine−Metal Binding. Synthesis of Guanidine and Urea Ligands through Amination and Hydration of a Cyanamide Ligand Bound to Platinum-(II), Osmium-(III), and Cobalt-(III). Inorg. Chem. 1997, 36, 1020–1028. [Google Scholar] [CrossRef] [PubMed]
- Reinmuth, M.; Walter, P.; Enders, M.; Kaifer, E.; Himmel, H.J. The Flexible Coordination Modes of Guanidine Ligands in Zn Alkyl and Halide Complexes: Chances for Catalysis. Eur. J. Inorg. Chem. 2011, 2011, 83–90. [Google Scholar] [CrossRef]
- Soldevila-Barreda, J.J.; Metzler-Nolte, N. Intracellular Catalysis with Selected Metal Complexes and Metallic Nanoparticles: Advances toward the Development of Catalytic Metallodrugs. Chem. Rev. 2019, 119, 829–869. [Google Scholar] [CrossRef] [PubMed]
- Martínez, M.Á.; Carranza, M.P.; Massaguer, A.; Santos, L.; Organero, J.A.; Aliende, C.; de Llorens, R.; Ng-Choi, I.; Feliu, L.; Planas, M.; et al. Synthesis and Biological Evaluation of Ru-(II) and Pt-(II) Complexes Bearing Carboxyl Groups as Potential Anticancer Targeted Drugs. Inorg. Chem. 2017, 56, 13679–13696. [Google Scholar] [CrossRef] [PubMed]
- Qu, F.; Park, S.; Martinez, K.; Gray, J.L.; Thowfeik, F.S.; Lundeen, J.A.; Kuhn, A.E.; Charboneau, D.J.; Gerlach, D.L.; Lockart, M.M.; et al. Ruthenium Complexes are pH-Activated Metallo Prodrugs (pHAMPs) with Light-Triggered Selective Toxicity Toward Cancer Cells. Inorg. Chem. 2017, 56, 7519–7532. [Google Scholar] [CrossRef] [PubMed]
- Lenis-Rojas, O.A.; Roma-Rodrigues, C.; Fernandes, A.R.; Marques, F.; Pérez-Fernández, D.; Guerra-Varela, J.; Sánchez, L.; Vázquez-García, D.; López-Torres, M.; Fernández, A.; et al. Dinuclear RuII(bipy)2 Derivatives: Structural, Biological, and in vivo Zebrafish Toxicity Evaluation. Inorg. Chem. 2017, 56, 7127–7144. [Google Scholar] [CrossRef] [PubMed]
- Shen, J.; Kim, H.-C.; Wolfram, J.; Mu, C.; Zhang, W.; Liu, H.; Xie, Y.; Mai, J.; Zhang, H.; Li, Z.; et al. Liposome Encapsulated Ruthenium Polypyridine Complex as a Theranostic Platform for Triple-Negative Breast Cancer. Nano Lett. 2017, 17, 2913–2920. [Google Scholar] [CrossRef] [PubMed]
- Heinemann, F.; Karges, J.; Gasser, G. Critical Overview of the Use of Ru(II) Polypyridyl Complexes as Photosensitizers in One-Photon and Two-Photon Photodynamic Therapy. Acc. Chem. Res. 2017, 50, 2727–2736. [Google Scholar] [CrossRef]
- Casini, A.; Pöthing, A. Metals in Cancer Research: Beyond Platinum Metallodrugs. ACS Cent. Sci. 2024, 10, 242–250. [Google Scholar] [CrossRef]
- Andrzejewska, M.; Yepez-Mulia, L.; Tapia, A.; Cedillo-Rivera, R.; Laudy, A.E.; Starosciak, B.J.; Kazimierczuk, Z. Synthesis and antiprotozoal and antibacterial activities of S-substituted 4,6-dibromo- and 4,6-dichloro-2-mercaptobenzimidazoles. Eur. J. Pharm. Sci. 2004, 21, 323–329. [Google Scholar] [CrossRef]
- Gaba, M.; Gaba, P.; Uppal, D.; Dhingra, N.; Bahiad, M.S.; Silakari, O.; Mohan, C. Benzimidazole derivatives: Search for GI-friendly anti-infammatory analgesic agents. Acta Pharm. Sin. B 2015, 5, 337–342. [Google Scholar] [CrossRef]
- Tahlan, S.; Ramasamy, K.; Lim, S.M.; Shah, S.A.A.; Mani, V.; Narasimhan, B. 4-(2-(1H-Benzo[d]imidazol-2-ylthio)-acetamido)-N-(substituted phenyl) benzamides: Design, synthesis and biological evaluation. BMC Chem. 2019, 13, 12. [Google Scholar] [CrossRef] [PubMed]
- Wang, X.J.; Xi, M.Y.; Fu, J.H.; Zhang, F.R.; Cheng, G.F.; Yin, D.L.; You, Q.D. Synthesis, biological evaluation and SAR studies of benzimidazole derivatives as H1-antihistamine agents. Chin. Chem. Lett. 2012, 23, 707–710. [Google Scholar] [CrossRef]
- Achar, K.C.S.; Hosamani, K.M.; Seetharamareddy, H.R. In-vivo analgesic and anti-infammatory activities of newly synthesized benzimidazole derivatives. Eur. J. Med. Chem. 2010, 45, 2048–2054. [Google Scholar] [CrossRef]
- Tahlan, S.; Ramasamy, K.; Lim, S.M.; Shah, S.A.A.; Mani, V.; Narasimhan, B. Design, synthesis and therapeutic potential of 3-(2-(1H-benzo[d]imidazol-2-ylthio) acetamido)-N-(substituted phenyl)benzamide analogues. Chem. Cent. J. 2018, 12, 139. [Google Scholar] [CrossRef]
- Alpan, A.S.; Parlar, S.; Carlino, L.; Tarikogullari, A.H.; Alptuzun, V.; Gunes, H.S. Synthesis biological activity and molecular modeling studies on 1H-benzimidazole derivatives as acetylcholinesterase inhibitors. Bioorg. Med. Chem. 2013, 21, 4928–4937. [Google Scholar] [CrossRef]
- Camacho, J.; Barazarte, A.; Gamboa, N.; Rodrigues, J.; Rojas, R.; Vaisberg, A.; Gilman, R.; Charris, J. Synthesis and biological evaluation of benzimidazole-5-carbohydrazide derivatives as antimalarial, cytotoxic and antitubercular agents. Bioorg. Med. Chem. 2011, 19, 2023–2029. [Google Scholar] [CrossRef]
- Monforte, A.M.; Ferro, S.; Luca, L.D.; Surdo, G.L.; Morreale, F.; Pannecouque, C.; Balzarini, J.; Chimirri, A. Design and synthesis of N1-aryl-benzimidazoles 2-substituted as novel HIV-1 non-nucleoside reverse transcriptase inhibitors. Bioorg. Med. Chem. 2014, 22, 1459–1467. [Google Scholar] [CrossRef] [PubMed]
- Desai, N.C.; Shihory, N.R.; Kotadiya, G.M.; Desai, P. Synthesis, antibacterial and antitubercular activities of benzimidazole bearing substituted 2-pyridone motifs. Eur. J. Med. Chem. 2014, 82, 480–489. [Google Scholar] [CrossRef]
- Starcevic, K.; Kralj, M.; Ester, K.; Sabol, I.; Grce, M.; Pavelic, K.; Karminski-Zamolaa, G. Synthesis, antiviral and antitumor activity of 2-substituted-5-amidino-benzimidazoles. Bioorg. Med. Chem. 2007, 15, 4419–4426. [Google Scholar] [CrossRef]
- Meco, D.; Attinà, G.; Mastrangelo, S.; Navarra, P.; Ruggiero, A. Emerging Perspectives on the Antiparasitic Mebendazole as a Repurposed Drug for the Treatment of Brain Cancers. Int. J. Mol. Sci. 2023, 24, 1334. [Google Scholar] [CrossRef]
- Jana, K.; Bandyopadhyay, T.; Ganguly, B. Stereoselective Metabolism of Omeprazole by Cytochrome P450 2C19 and 3A4: Mechanistic Insights from DFT Study. J. Phys. Chem. B. 2018, 122, 5765–5775. [Google Scholar] [CrossRef]
- Castro, L.S.E.P.W.; Pieters, W.; Alemdehy, M.F.; Aslam, M.A.; Buoninfante, O.A.; Raaijmakers, J.A.; Pilzecker, B.; van den Berk, P.C.M.; te Riele, H.; Medema, R.H.; et al. The Widely Used Antihelmintic Drug Albendazole is a Potent Inducer of Loss of Heterozygosity. Front. Pharm. 2021, 12, 596535. [Google Scholar] [CrossRef]
- Avery, R.K.; Alain, S.; Alexander, B.D.; Blumberg, E.A.; Chemaly, R.F.; Cordonnier, C.; Duarte, R.F.; Florescu, D.F.; Kamar, N.; Kumar, D.; et al. Maribavir for Refractory Cytomegalovirus Infections With or Without Resistance Post-Transplant: Results From a Phase 3 Randomized Clinical Trial. Clin. Infect. Dis. 2022, 75, 690–701. [Google Scholar] [CrossRef] [PubMed]
- Khattab, M.; Al-Karmalawy, A.A. Revisiting Activity of Some Nocodazole Analogues as a Potential Anticancer Drugs Using Molecular Docking and DFT Calculations. Front. Pharm. 2021, 9, 628398. [Google Scholar] [CrossRef] [PubMed]
- Mora-Maciá, J.; Méndez, J.L.T.; Salvador, E.B.; Bejar, A.R. Efecto del tratamiento antihipertensivo con candesartan sobre la presión de pulso. Hipertens. Riesgo Vasc. 2004, 21, 55–60. [Google Scholar] [CrossRef]
- Sharma, A.; Song, X.P.; Singh, R.K.; Vaishnav, A.; Gupta, S.; Singh, P.; Guo, D.J.; Verma, K.K.; Li, Y.R. Impact of carbendazim on cellular growth, deference system and plant growth promoting traits of Priestia megaterium ANCB-12 isolated from sugarcane rhizosphere. Front. Microbiol. 2022, 13, 1005942. [Google Scholar] [CrossRef]
- Al Muhaimeed, H.J.J. A Parallel-Group Comparison of Astemizole and Loratadine for the Treatment of Perennial Allergic Rhinitis. J. Int. Med. Res. 1997, 25, 175–181. [Google Scholar] [CrossRef]
- Pellizzari, G. The action of cyanogen halides upon phenylhydrazine. V. Derivatives of melamine. Gazz. Chim. Ital. 1921, 51, 89–107. [Google Scholar]
- Bischoff, F.; Long, M.L. Guanidine structure and hypoglycemia II. J. Pharmacol. Exp. Ther. 1931, 41, 127–137. [Google Scholar] [CrossRef]
- Acheson, R.M.; Taylor, G.A.; Tomlinson, M.L. Benzimidazoles. J. Chem. Soc. 1958, 195, 3750–3752. [Google Scholar]
- Sun, L.; Wang, X.; Guan, S.; Chi, L.; Liang, M.; Lu, X.; Luo, T. Inhibition of voltage-gated Hv1 alleviates LPS-induced neuroinflammation via regulation of microglial metabolic reprogramming. Int. Immunopharm. 2024, 127, 111361. [Google Scholar] [CrossRef] [PubMed]
- Francesconi, V.; Rizzo, M.; Pozzi, C.; Tagliazucchi, L.; Konchie, S.C.U.; Saporito, G.; Landi, G.; Mangani, S.; Carbone, A.; Schenone, S.; et al. Identification of Innovative Folate Inhibitors Leveraging the Amino Dihydrotriazine Motif from Cycloguanil for Their Potential as Anti-Trypanosoma brucei Agents. ACS Infect. Dis. 2024, 10, 2755–2774. [Google Scholar] [CrossRef]
- El-Remaily, M.A.E.A.A.A.; Aboelez, M.O.; Ezelarab, H.A.A.; Selim, H.M.M.; Taha, E.A.; Mohamed, S.K.; Soliman, A.M.; Abdallah, M.S.; Fawy, M.A.; Hassany, M.A.; et al. Guanidine dicycloamine-based analogs: Green chemistry synthesis, biological investigation, and molecular docking studies as promising antibacterial and antiglycation leads. Mol. Divers. 2024, 28, 4277–4299. [Google Scholar] [CrossRef] [PubMed]
- Jabeen, E.; Khan, M.S.; Qazi, Z.; Ghani, K.; Dawood, H.M.; Yousaf, S.; Fatima, R.; Khan, A.A.; Razzaq, R.; Waqas, M. Elucidation of mode of anticancerous activity of metal guanidinobenzimidazoles: A computational and experimental screening. Appl. Organomet. Chem. 2024, 38, e7654. [Google Scholar] [CrossRef]
- Wang, K.; Thomas, C.; Bhuvanesh, N.; Gladysz, J.A. A cobalt templated outer sphere hydrogen bond donor catalyst derived from 2-guanidinobenzimidazole: Synthesis, applications in carbon-carbon bond forming reactions, structure. Tetrahedron Chem 2024, 11, 100078. [Google Scholar] [CrossRef]
- Ali El-Remaily, M.A.E.A.A.; Alzubi, M.S.H.; El-Dabea, T.; El-Khatib, R.M.; Kamel, M.S.; Feizi-Dehnayebi, M.; Abu-Dief, A.M. Insights into microwave-promoted synthesis of 3-methyl-4-phenyl-4,9-dihydro-1H-pyrazolo[3,4-d] [1,2,4]triazolo[1,5-a]pyrimidine derivatives catalyzed using new Pd (II), Cu (II), VO (II), and Ag(I) complexes as a heterogeneous catalyst and computational studies. Appl. Organomet. Chem. 2024, 38, e7587. [Google Scholar] [CrossRef]
- Barba-Behrens, N.; Bautista, J.L.; Ruiz, M.E.; Joseph-Nathan, P.; Flores, A.; and Contreras, R. Coordination compounds derived from the interaction of streptomycin and cobalt, nickel, copper, and calcium salts characterized by 13C NMR and spectroscopic studies. Structure and bonding properties of the streptidine fraction. J. Inorg. Biochem. 1990, 40, 201–205. [Google Scholar] [CrossRef] [PubMed]
- Garcia-Romeu, F. Stimulation of sodium transport in frog skin by 2-imidazolines (guanidinbenzimidazole and phentolamine). Life Sci. 1974, 15, 539–542. [Google Scholar] [CrossRef]
- Ussing, H.H.; Eskesen, K. Mechanism of isotonic water transport in glands. Acta Physiol. Scand. 1989, 136, 547. [Google Scholar] [CrossRef] [PubMed]
- Pinelli, A.; Trivulzo, S.; Malvezzi, L.; Rossoni, G.; Beretta, L. 2-substituted derivatives of benzimidazole inhibiting gastric acid secretion in rats. Arzneim.-Forsh. 1989, 39, 467–469. [Google Scholar]
- Serafin, B.; Borlowska, G.; Glowczyk, J.; Kowalska, Y.; Rump, S. Potential antihypertensive benzimidazole derivatives. Pol. J. Pharmacol. Pharm. 1989, 41, 89–96. [Google Scholar] [PubMed]
- Murthy, G.R.; Reddy, V.M. New hypoglycemic agents. Part III. Synthesis and hypoglycemic activity of some new 1-(2-benzimidazolamidino-3-aryl/cyclohexyl-2-thioureas. Ind. J. Pharm. Sci. 1987, 49, 175. [Google Scholar]
- Szanto, T.G.; Feher, A.; Korpos, E.; Gyongyosi, A.; Kallai, J.; Meszaros, B.; Ovari, K.; Lanyi, A.; Panyi, G.; Varga, Z. Chloro 5-2-Guanidinobenzimidazole (ClGBI) Is a Non-Selective Inhibitor of the Human HV1 Channel. Pharmaceuticals 2023, 16, 656. [Google Scholar] [CrossRef]
- Rosales-Hernández, M.C.; Mendieta-Wejebe, J.E.; Feliciano Tamay-Cach, F.; Cruz, A. Synthetic Procedures to Access 2-Guanidinobenzazoles of Biological Interest. Curr. Org. Synth. 2023, 20, 505–522. [Google Scholar] [CrossRef]
- Acerete, C.; Catalán, J.; Fabero, F.; Sánchez-Cabezudo, M.; Claramunt, R.M.; Elguero, J. Structure and Basicity of 2-Guanidiobenzimidazoles. Heterocycles 1987, 26, 1581–1586. [Google Scholar] [CrossRef]
- Grundemann, E.; Graubaum, H.; Martin, D.; Schiewald, E. NMR investigations on benzheteroazoles. 2NMR investigations of N-acylated 2-aminobenzimidazoles. Magn. Reson. Chem. 1986, 24, 21. [Google Scholar] [CrossRef]
- Bedford, G.R.; Taylor, P.J.; Webb, G.A. 15N NMR studies of guanidines. I-hydrogen bonding and electronic effects in conformationally flexible guanidines. Magn. Reson. Chem. 1995, 33, 383. [Google Scholar] [CrossRef]
- Andrade-López, N.; Ariza-Castolo, A.; Contreras, R.; Tlahuex, H.; Vázquez-Olmos, A.; Barba-Behrens, N. Versatile Behavior of 2-Guanidinobenzimidazole Nitrogen Atoms toward Protonation, Coordination and Methylation. Heteroatom Chem. 1997, 8, 397–410. [Google Scholar] [CrossRef]
- Caira, M.R.; Watson, W.H.; Vogtle, F.; Müller, W. A 1:2 complex between 1,4,7,10,13,16-hexaoxacyclooctadecane (18-crown-6) and 2-(2-benzimidazolyl)-guanidine, C12H24O6.2C8H9N5. Acta Crystallogr. 1984, C40, 1047–1050. [Google Scholar] [CrossRef]
- Steel, P.J. Heterocyclic tautomerism. V. 2-Guanidinobenzimidazole. J. Heterocyclic. Chem. 1991, 28, 1817–1818. [Google Scholar] [CrossRef]
- Hernandez-Garcia, R.M.; Barba-Behrens, N.; Salcedo, R.; Hojer, G. Theoretical study of 2-guanidinobenzimidazole. HF, MP2 and DFT calculations. J. Mol. Struct.-(THEOCHEM) 2003, 637, 55–72. [Google Scholar] [CrossRef]
- Watson, W.H.; Galloy, J.; Grossie, D.A. Host-guest complex chemistry. Structures of 18-crown-6 and diaza-18-crown-6 with neutral molecules. J. Org. Chem. 1984, 49, 347–353. [Google Scholar] [CrossRef]
- Bishop, M.M.; Lindoy, L.F.; Thorn-Seshold, O.T.; Piltz, R.O.; Turner, P. A Supramolecular Assembly Containing an Unusually Short N-H…N Hydrogen Bond—An X-ray and Neutron Diffraction Study. J. Heterocycl. Chem. 2001, 38, 1377–1382. [Google Scholar] [CrossRef]
- Bishop, M.M.; Lee, A.H.W.; Lindoy, L.F.; Turner, P. A comparative study of supramolecular assemblies containing N″-(5,6-dimethyl-1H-benzimidazol-2-yl)-guanidine, 2-guanidinobenzimidazole and their Ni-(II) complexes. Polyhedron 2003, 22, 735–743. [Google Scholar] [CrossRef]
- Blight, B.A.; Hunter, C.A.; Leigh, D.A.; McNab, H.; Thomson, P.I.T. An AAAA–DDDD quadruple hydrogen-bond array. Nat. Chem. 2011, 3, 244–248. [Google Scholar] [CrossRef]
- Padilla-Martinez, I.I.; Andrade-López, N.; Gama-Goicochea, M.; Aguilar-Cruz, E.; Cruz, A.; Contreras, R.; Tlahuext, H. Benzazole-N-(single bond)-BH3 adducts. Reductive transposition of 2-benzimidazole, 2-benzothiazole, and 2-benzoxazole N-(single bond)-BH3 adducts to 1,3,2-benzimidazaborole, 1,3,2-benzoxaborole, and 1,3,2-benzothiazaborole. Heteroatom Chem. 1996, 7, 323–335. [Google Scholar] [CrossRef]
- Andrade-López, N.; Cartas-Rosado, R.; García-Báez, E.; Contreras, R.; Tlahuext, H. Boron Heterocycles Derived from 2-Guanidinobenzimidazole. Heteroatom Chem. 1998, 9, 399–409. [Google Scholar] [CrossRef]
- Fialon, M.P.; Andrade-López, N.; Barba-Behrens, N.; Contreras, R. Tin Complexes Derived from2-Guanidinobenzimidazole. Heteroatom Chem. 1998, 9, 637–641. [Google Scholar] [CrossRef]
- Wolf, I.M. Metal Containing and Metal Free Organocatalysts: New Design Concepts for Hydrogen Bond Donors And Substrate Activation. Ph.D. Thesis, Institut für Organische Chemie der Friedrich-Alexander-Universität Erlangen-Nürnberg, Erlangen, Germany, 2010. Available online: https://open.fau.de/handle/openfau/1091 (accessed on 20 January 2025).
- Yang, Z.; She, M.; Ma, S.; Yin, B.; Liu, P.; Liu, X.; Zhao, S.; Li, J. Rhodamine based guanidinobenzimidazole functionalized fluorescent probe for tetravalent tin and its application in living cells imaging. Sens. Actuators 2017, B242, 872–879. [Google Scholar] [CrossRef]
- Tunç, T.; Koç, Y.; Açık, L.; Karacan, M.S.; Karacan, N. DNA cleavage, antimicrobial studies and a DFT-based QSAR study of new antimony(III) complexes as glutathione reductase inhibitor. Spectrochim. Acta Part A Mol. Biomol. Spectrosc. 2015, 136, 1418–1427. [Google Scholar] [CrossRef]
- Castillo-Blum, S.E.; Barba-Behrens, N. Coordination chemistry of some biologically active ligands. Coord. Chem. Rev. 2000, 196, 3–30. [Google Scholar] [CrossRef]
- Barba-Behrens, N.; Vázquez-Olmos, A.; Castillo-Blum, S.E.; Höjer, G.; Meza-Höjer, S.; Hernández, R.M. Coordination behavior of 2-guanidinobenzimidazole towards cobalt-(II), nickel-(II), copper-(II) and zinc-(II). An experimental and theoretical study. Trans. Met. Chem. 1996, 21, 31–37. [Google Scholar] [CrossRef]
- Ali, T.; Wadud, A.; Hussain, M.S. Thermal Properties of some Nitrogen Ligated Complexes of Co-(II). J. Chem. Soc. Pak. 1982, 4, 1–5. [Google Scholar]
- Sánchez-Guadarrama, O.; López-Sandoval, H.; Sánchez-Bartéz, F.; Gracia-Mora, I.; Höpfl, H.; Barba-Behrens, N. Cytotoxic activity, X-ray crystal structures and spectroscopic characterization of cobalt-(II), copper-(II) and zinc-(II) coordination compounds with 2-substituted benzimidazoles. J. Inorg. Biochem. 2009, 103, 1204–1213. [Google Scholar] [CrossRef] [PubMed]
- Ghosh, S.P.; Banerjee, A.K. A paramagnetic form of bis-(2-guanidinium benzimidazole) nickel (II) iodide. J. Inorg. Nucl. Chem. 1966, 28, 167–170. [Google Scholar] [CrossRef]
- Arablo, N.; Torabi, S.A.A.; Morsali, A.; Skelton, B.W.; White, A.H. Cation Structures in Bis-(2-Guanidino-benzimidazole-)-metal-(II) Complexes: Crystal and Molecular Structure of the Copper-(II) Perchlorate Adduct. Aust. J. Chem. 2003, 56, 945–947. [Google Scholar] [CrossRef]
- Yamini, Y.; Hosseini, M.H.; Morsali, A. Solid Phase Extraction and Flame Atomic Absorption Spectrometric Determination of Trace Amounts of Zinc and Cobalt Ions in Water Samples. Microchim. Acta 2004, 146, 67–72. [Google Scholar] [CrossRef]
- Bishop, M.M.; Lindoy, L.F.; Skelton, B.W.; White, A. Proton Controlled Supramolecular Assembly: A Comparative Structural Study of Bis(2-guanidinobenzimidazole)-nickel-(II) with Bis(2-guanidinobenzimidazole)-nickel-(II) Nitrate and 2-guanidinobenzimidazole. Supramol. Chem. 2001, 13, 293–301. [Google Scholar] [CrossRef]
- Ghosh, S.P.; Bhattacharjee, P. 2-Guanidinobenzimidazole Complexes of Rh-(III) & Ir-(III). Indian J. Chem. 1977, 15A, 886–889. [Google Scholar]
- Bushan, H.; Mishra, L.K.; Jha, N.K. Complexes of Chromium-(III) with 2-Guanidinobenzimidazole, 2-(2′-Pyridyl)-imidazole and 2-2′-Pyridyl)-imidazoline. Indian J. Chem. 1982, 21A, 1135–1136. [Google Scholar]
- Syamal, A.; Mandal, P.K. Studies on mixed ligand complexes, part 5. Heterochelate complexes of cobalt(III) derived from the quadridentate NNNN donor ligand triethylenetetramine and bidentate OO, ON and NN donor ligands. Transit. Met. Chem. 1979, 4, 348–350. [Google Scholar] [CrossRef]
- Ceniceros-Gómez, A.E.; King-Diaz, B.; Barba-Behrens, N.; Lotina-Hennsen, B.; Castillo-Blum, S.E. Two Inhibition Targets by [Cr(2GBI)3]3+ and [Co(2GBI)3]3+ on Redox Enzymes of Spinach Thylakoids. J. Agric. Food Chem. 1999, 47, 3075–3080. [Google Scholar] [CrossRef] [PubMed]
- Ceniceros-Gomez, A.E.; Barba-Behrens, N.; Quiroz-Castro, M.E.; Bernès, S.; Nöth, H.; Castillo-Blum, S.E. Synthesis, X-ray and spectroscopic characterisation of chromium-(III) coordination compounds with benzimidazolic ligands. Polyhedron 2000, 19, 1821–1827. [Google Scholar] [CrossRef]
- Ceniceros-Gómez, A.E.; Barba-Behrens, N.; Bernès, S.; Nöth, H.; Castillo-Blum, S.E. Synthesis, X-ray and NMR Characterisation of cobalt-(III) coordination compounds with 2-guanidinobenzimidazole. Inorg. Chim. Acta 2000, 304, 230–236. [Google Scholar] [CrossRef]
- Bishop, M.M.; Lindoy, L.F.; Turner, P. Supramolecular Assembly: A Comparative Structural Study of the Incorporation of Bis(2-guanidinobenzimidazolo)-nickel-(II) into Supramolecular Arrays. Supramol. Chem. 2002, 14, 179–188. [Google Scholar] [CrossRef]
- Ceniceros-Gómez, A.E.; Del Río-Portilla, F.; Hansson, Ö.; Castillo-Blum, S.E. Electron transfer between plastocyanin and benzimidazolic coordination compounds in DMSO-H2O. Inorg. Chim. Acta 2002, 331, 59–64. [Google Scholar] [CrossRef]
- Bishop, M.M.; Coles, S.J.; Lindoy, L.F.; Parkin, A. A systematic study of ligand intermolecular interactions in crystals of copper-(II) complexes of bidentate guanidino derivatives. Inorg. Chim. Acta 2006, 359, 3565–3580. [Google Scholar] [CrossRef]
- Zheng, L.; Zhang, J.; Yu, M.-M.; Ni, Z.-H.; Kou, H.-Z. Bis(2-guanidinobenzimidazole-k2N,N’)-copper-(II) bis(dicyanamide). Acta Cryst. 2006, E62, m2470–m2472. [Google Scholar] [CrossRef]
- Van Albada, G.A.; Mutikainen, I.; Turpeinen, U.; Reedijk, J. Two different isomers of tetrahedrally distorted square-planar Cu-(II) triflate compounds with 2-guanidinobenzimidazole; synthesis, X-ray and spectroscopic characterization. J. Mol. Struct. 2006, 789, 182–186. [Google Scholar] [CrossRef]
- Amiri, M.G.; Morsali, A.; Bigdeli, F. A New Metal–Organic ZnII Supramolecular Assembled via Hydrogen Bonds and N—N Interactions as a New Precursor for Preparation Zinc-(II) Oxide Nanoparticles, Thermal, Spectroscopic and Structural Studies. J. Inorg. Organomet. Polym. 2011, 21, 195–200. [Google Scholar] [CrossRef]
- Wang, M.; Meng, G.; Wang, Q.; Xu, Q.; Liu, G. A GBI@PPyNWs-based prototype of reusable fluorescence sensor for the detection of Fe3+ in aqueous solution. Anal. Methods 2012, 4, 2653–2656. [Google Scholar] [CrossRef]
- Aremu, J.A.; Durosinmi, L.M.; Oluyemi, E.A. Synthesis, Characterization and Chelating Properties of Guanidinobenzimidazole and Guanidophosphonatebenzimidazole. Ife J. Sci. 2018, 20, 679–704. [Google Scholar] [CrossRef]
- Da, W.; Jones, T.H.; Lin, J.-B.; Blight, B.A. Synthesis and characterization of new Co-(II), Rh-(III), and Pt-(II) guanidine and thiourea complexes. Can. J. Chem. 2023, 101, 177–185. [Google Scholar] [CrossRef]
- Aljohani, F.S.; El-Dabea, T.; El-Khatib, R.M.; Abdou, A.; Alzahrani, S.; Barnawi, I.O.; El-Remaily, M.A.E.A.A.A.; Abu-Dief, M.A. Innovation, structural inspection for new mixed complexes: DNA binding, biomedical applications and molecular docking approaches. J. Taibah Univ. Sci. 2024, 18, 2350087. [Google Scholar] [CrossRef]
- Dutta, R.L.; Satapathi, S.K. phenylmercury-(II) compounds—I: Some novel mononuclear and binuclear phenylmercury-(II) compounds with benzimidazole and 2-substituted benzimidazoles. J. Inorg. Nucl. Chem. 1981, 43, 1533–1539. [Google Scholar] [CrossRef]
- Scherer, A.; Mukherjee, T.; Hampel, F.; Gladysz, J.A. Metal-Templated Hydrogen Bond Donors as Organocatalysts, for Carbon–Carbon Bond Forming Reactions: Syntheses, Structures, and Reactivities of 2-Guanidinobenzimidazole Cyclopentadienyl Ruthenium Complexes. Organometallics 2014, 33, 6709–6722. [Google Scholar] [CrossRef]
- Thomas, C.; Gladysz, J.A. Highly Active Families of Catalysts for the Ring-Opening Polymerization of Lactide: Metal Templated Organic Hydrogen Bond Donors Derived from 2-Guanidinobenzimidazole. ACS Catal. 2014, 4, 1134–1138. [Google Scholar] [CrossRef]
- Wititsuwannakul, T.; Hall, M.B.; John, A.; Gladysz, J.A. A computational study of hydrogen bonding motifs in halide, tetrafluoroborate, hexafluorophosphate, and tetraarylborate salts of chiral cationic ruthenium and cobalt guanidinobenzimidazole hydrogen bond donor catalysts; acceptor properties of the BArf anion. Polyhedron 2020, 187, 114618. [Google Scholar] [CrossRef]
- Mukherjee, T.; Ghosh, S.K.; Wititsuwannakul, T.; Bhuvanesh, N.; Gladysz, J.A. Chiral-at-Metal Ruthenium Complexes with Guanidinobenzimidazole and Pentaphenylcyclopentadienyl Ligands: Synthesis, Resolution, and Preliminary Screening as Enantioselective Second Coordination Sphere Hydrogen Bond Donor Catalysts. Organometallics 2020, 39, 1163–1175. [Google Scholar] [CrossRef]
- Mukherjee, T.; Ganzmann, C.; Bhuvanesh, N.; Gladysz, J.A. Syntheses of Enantiopure Bifunctional 2-Guanidinobenzimidazole Cyclopentadienyl Ruthenium Complexes: Highly Enantioselective Organometallic Hydrogen Bond Donor Catalysts for Carbon–Carbon Bond Forming Reactions. Organometallics 2014, 33, 6723–6737. [Google Scholar] [CrossRef]
- Wititsuwannakul, T.; Mukherjee, T.; Hall, M.B.; John, A.; Gladysz, J.A. Computational Investigations of Enantioselection in Carbon–Carbon Bond Forming Reactions of Ruthenium Guanidinobenzimidazole Second Coordination Sphere Hydrogen Bond Donor Catalyst. Organometallics 2020, 39, 1149–1162. [Google Scholar] [CrossRef]
- Karmakar, J.; Nandy, P.; Das, S.; Bhattacharya, D.; Karmakar, P.; Bhattacharya, B. Utilization of Guanidine-Based Ancillary Ligands in Arene-Ruthenium Complexes for Selective Cytotoxicity. ACS Omega 2021, 6, 8226–8238. [Google Scholar] [CrossRef]
- Balónová, B.; Martir, R.D.; Clark, E.R.; Shepherd, H.J.; Zysman-Colman, E.; Blight, B.A. Influencing the Optoelectronic Properties of a Heteroleptic Iridium Complex by Second-Sphere H-Bonding Interactions. Inorg. Chem. 2018, 57, 8581–8587. [Google Scholar] [CrossRef]
- Yang, L.; Zhang, R.; Balónová, B.; True, A.E.; Chu, K.; Adsetts, J.R.; Zhang, C.; Qin, X.; Zysman-Colman, E.; Blight, B.A.; et al. Insights into the electrochemiluminescence process of a hydrogen bonding iridium-(III) complex. J. Electroanal. Chem. 2022, 920, 116594. [Google Scholar] [CrossRef]
- Balónová, B.; Blight, B.A. Elucidation of Charge Contribution in Iridium-Chelated Hydrogen-Bonding Systems. Front. Chem. 2021, 9, 712698. [Google Scholar] [CrossRef] [PubMed]
- Tunç, T.; Ertabaklar, H.; Karacan, N. In vitro anti-leishmanial activities and structure-activity relationship analysis of new antimony(III) complexes. Indian J. Chem. Sect. A 2020, 59A, 1609–1617. [Google Scholar]
- Hassan, W.; Zafar, M.; Noreen, H.; Bilal, H.; Ibrahim, M.; Ali, N. Iron Chelation, Hydroxyl and DPPH Radical Scavenging Efficacies of Cobalt-(II)-2-Guanidinobenzimidazole Complex. Am. J. Biomed. Sci. Res. 2020, 7, 524–528. [Google Scholar]
- Thomas, S.J.; Balónová, B.; Cinatl, J., Jr.; Wass, M.N.; Serpell, C.J.; Blight, B.A.; Michaelis, M. Thiourea and Guanidine Compounds and Their Iridium Complexes in Drug-Resistant Cancer Cell Lines: Structure-Activity Relationships and Direct Luminescent Imaging. ChemMedChem 2020, 15, 349–353. [Google Scholar] [CrossRef] [PubMed]





































![]() | ||||||||||||
| Substituent | Compounds | |||||||||||
| 1a | 1b | 1c | 1d | 1e | 1f | 1g | 1h | 1i | 1j | 1k | 1l | |
| R | H | Me | H | H | H | H | H | H | H | Me | Me | Me |
| R1 | LP | LP | H | H | H | H | H | BH3 | LP | H | BH3 | Me |
| R2 | LP | LP | LP | H | LP | LP | LP | LP | H | LP | LP | LP |
| Anion | --- | --- | HSO4− | SO42− | BF4− | Cl− | ClO4− | --- | AcO− | Cl− | --- | I− |
| Formula | Num. | Ligands/Anions∙nH2O | |||
|---|---|---|---|---|---|
| Cu(2GBI)2+ | 38 | [38Cl2] | [38Br2] | ||
| Cu(2GBI)22+ | 39 | [39]∙H2O | [39Br2]∙2H2O | [39](NO3)2∙H2O | [39](AcO)2∙H2O |
| Co(2GBI)2+ | 40 | [40Cl2(H2O)2]∙5H2O | |||
| Co(2GBI)22+ | 41 | [41Cl2]∙3H2O | [41(H2O)2](NO3)2∙4H2O | [41(AcO)2]∙2H2O | |
| Zn(2GBI)2+ | 42 | [42Cl2]∙H2O | [42Br2]∙H2O | ||
| Zn(2GBI)22+ | 43 | [43](NO3)2∙H2O | |||
| Ni(2GBI)22+ | 44 | [44Cl2]∙H2O | [44Br2]∙3H2O | [44]∙X2 | |
| Formula | Comp. | Anions·nH2O | |||
|---|---|---|---|---|---|
| Rh(2GBI)23+ | 47 | [47X2]X | [47Cl2]NO3·4H2O | [47(H2O)2]Cl3·H2O | [47(H2O)2](NO3)3·4H2O |
| [47(NH3)2]Cl3 | [47(py)2]Cl3 | [47(pic’)]SO4·4H2O | [47(bipy)]I3 | ||
| [47(pic’)]Cl2·3H2O, | [47(bipy)]Cl3 | [47(o-phen)]Cl3 | [47(o-phen)]I3 | ||
| Rh(2GBI)33+ | 48 | [48]Cl3 | [48](ClO4)3 | ||
| Ir(2GBI)23+ | 49 | [49X2]X | [49Cl2]ClO4 | [49(NH3)2]Cl3 | [49(Py)2]Cl3 |
| [49(bipy)]Cl3 | [49(o-phen)]Cl3 | [49(H2O)2]Cl3·2H2O | |||
![]() | ||||||||
| R | Ph | 3,5-Cl2Ph | 3,5-CH2O2Ph | 2-Furanyl | Ph | Ph | Ph | CH3(CH2)5 |
| R1 | Et | Et | Et | Et | iPr | Me | Me | Et |
| SRu-84cBArf | ||||||||
| %Y | 95 | 99 | 83 | 85 | 75 | 97 | 70 | 49 |
| %ee | 93 | 93 | 91 | 99 | 91 | 91 | 99 | 83 |
| RRu-84cBArf | ||||||||
| %Y | 92 | 96 | 84 | 74 | 70 | 95 | 75 | 41 |
| %ee | 91 | 98 | 89 | 99 | 91 | 9 | 99 | 87 |
| Complex | Biological Activity | Quantitative Parameter | Observations | Ref. |
|---|---|---|---|---|
| [37a,b] | Inhibitors of glutathione reductase (GR) | IC50 (μM) = 5.37 [37a], 4.87 [37b] | Acts as metalonucleases for double-strand cleavage of DNA | [69] |
| [37a] | Anti-leishmaniasis | 3.2% growth inhibition at 31.3 μg/mL | Compared with other Sb complexes with heterocyclic ligands | [105] |
| [54]Cl(ZnCl4) | Inhibit ATP synthesis | IC50 (μM) = 258 | Noncyclic photosynthetic photophosphorylation Inhibit ATP synthesis | [81] |
| IC50 (μM) = 200 | Uncoupled electron transport | [81] | ||
| IC50 (μM) = 95 | Uncoupled photosystem II electron flow | [81] | ||
| [38Br2]∙H2O | Antiproliferative | 48% survival at 10 μg/mL | PC3 (prostate) | [73] |
| [39](NO3)2·4H2O | Antiproliferative | 85% survival at 10 μg/mL | PC3 (prostate) | [73] |
| [40Cl2·2H2O] | Antiproliferative | 76% survival at 10 μg/mL | U373 (glioblastoma) | [73] |
| [43](NO3)2∙H2O | Antiproliferative | 54% survival at 10 μg/mL | HCT-15 (colon) | [73] |
| [39Br2] | Antiproliferative | IC50 (μM) = 115.3 | HeLa (cervical-uterine) | [73] |
| [41Cl2]∙(H2O)2 | Antioxidant | 25 µg/mL, Fe(II) chelation; 29 µg/mL DPPH; 41 µg/mL hydroxyl quenching | Compared with EDTA | [106] |
| [67]H2O [68]AcCH2O2 [69]2H2O [70]OAc | DNA binding | Kb = 0.113 × 104–2.03 × 104 | Calf-thymus model | [93] |
| Antibacterial | %A.I. = 82.9–95.6 (S.T.), 84.7–94.9 (E.C.), 88.1–95.7 (B.C.) | Compared with ofloxacin S.T., S. typhimurium; E.C., E. coli; B.C., B. cereus | [93] | |
| Antifungal | %A.I. = 79.2–93.2 (A.F.), 88.4–95.4 (G.C.) 81.2–93.4 (F.O.) | Compared with ofloxacin A.F., A. flavus; G.C., G. candidum; F.O., F. oxysporum | [93] | |
| Antiproliferative | IC50 (μg/μL) = 6.5–10.1 MCF7; 6.3–11.1 (HCT-116); 4.95–8.75 (Hep-G2) | Compared to dox: IC50 (μg/μL) = 5.0–6.4; Compared to 2GBI: IC50 (μg/μL) = 20.4–26.6 Cancer cell lines: MCF7, breast; HCT-116, colon; Hep-G2, liver | [93] | |
| [85]Cl | DNA binding | Kb = 1.6 × 103 | Calf thymus model | [101] |
| Antiproliferative | IC50 (μM): 40 ± 2 (PC3); 263 ± 2 (BPH1) 69 ± 1 (A549); 70 ± 3 (WI-38) | Cancer cell lines: PC3, prostate; BPH1, human benign prostate tumor; A549, lung cancer; WI-38, normal lung fibroblast. Comparable activity like cisplatin | [101] | |
| [86] | Antiproliferative | IC50 (μM): 1.4 | Human ovarian cancer cell lines EFO-21, EFO-27 and COLO-704 and their cisplatin-resistant sublines. Compared with free NBu-2GBI: IC50 (μM) = 10.1 | [107] |
Disclaimer/Publisher’s Note: The statements, opinions and data contained in all publications are solely those of the individual author(s) and contributor(s) and not of MDPI and/or the editor(s). MDPI and/or the editor(s) disclaim responsibility for any injury to people or property resulting from any ideas, methods, instructions or products referred to in the content. |
© 2025 by the authors. Licensee MDPI, Basel, Switzerland. This article is an open access article distributed under the terms and conditions of the Creative Commons Attribution (CC BY) license (https://creativecommons.org/licenses/by/4.0/).
Share and Cite
Padilla-Martínez, I.I.; Cruz, A.; García-Báez, E.V. 2-Guanidinobenzimidazole as Ligand in Supramolecular, Coordination and Organometallic Chemistry. Int. J. Mol. Sci. 2025, 26, 1063. https://doi.org/10.3390/ijms26031063
Padilla-Martínez II, Cruz A, García-Báez EV. 2-Guanidinobenzimidazole as Ligand in Supramolecular, Coordination and Organometallic Chemistry. International Journal of Molecular Sciences. 2025; 26(3):1063. https://doi.org/10.3390/ijms26031063
Chicago/Turabian StylePadilla-Martínez, Itzia I., Alejandro Cruz, and Efrén V. García-Báez. 2025. "2-Guanidinobenzimidazole as Ligand in Supramolecular, Coordination and Organometallic Chemistry" International Journal of Molecular Sciences 26, no. 3: 1063. https://doi.org/10.3390/ijms26031063
APA StylePadilla-Martínez, I. I., Cruz, A., & García-Báez, E. V. (2025). 2-Guanidinobenzimidazole as Ligand in Supramolecular, Coordination and Organometallic Chemistry. International Journal of Molecular Sciences, 26(3), 1063. https://doi.org/10.3390/ijms26031063



